Abstract
Background: Monitoring bone mineral density (BMD) in adults is critical for early detection of osteoporosis and prevention of fracture, for which quantitative ultrasound (QUS) is a good non-invasive tool. We examined the associations of QUS measures, including stiffness index (SI) and T-score, with socio-demographic, lifestyle, and anthropometric correlates and risk of subsequent fracture. Methods: Calcaneal QUS was performed using GE’s Lunar Achilles EXPII among 24,651 adults (mean age 59.5 years, 61.7% women) from the China Kadoorie Biobank study. Socio-demographic and lifestyle information was collected using an interviewer-administered electronic questionnaire, and anthropometrics were measured following standard protocols. Incidence of fracture and osteoporosis was recorded via linkage with nationwide health insurance database. Linear and Cox regression analyses were conducted, adjusting for potential confounders. Results: On average, men had higher SI (92.8 vs. 86.0) but lower T-score (−0.85 vs. −0.64) than women. In both men and women, advanced age and smoking were inversely associated with SI and T-score, while physical activity and tea drinking were positively so (p < 0.0001 for all). Except for height, all other anthropometric measures were significantly and positively associated with both BMD measures. With each SD lower SI, the risk of subsequent fracture was 26% (95% confidence interval: 10–44%) and 40% (25–57%) higher in men and women, and the corresponding associations of T-score were identical. Conclusions: Among Chinese adults, the SI and T-score provided by Achilles EXPII had similar patterns and predictive values for subsequent fracture, despite the T-score for men and women not being directly comparable because of gender-specific references used. Future studies are needed to confirm or refute the causality of relationship between lifestyle and anthropometric factors and BMD.
1. Introduction
Osteoporosis is a common metabolic disease characterised by reduced bone mass and microarchitectural deterioration of bone tissue, with an increased risk of fracture [1]. Worldwide, osteoporosis causes about 9 million fractures annually. According to the World Health Organisation (WHO), one in three women and one in five men over the age of 50 experience osteoporotic fracture, which causes an annual global loss of 5.8 million healthy life years to disability [2]. With population aging and global urbanisation, the incidence of this disease is expected to increase substantially, having significant social and economic implications [3]. Monitoring bone mineral density (BMD) among older adults is critical for early detection of osteoporosis and prevention of fracture, for which dual-energy X-ray absorptiometry (DXA), particularly when performed at the central skeleton sites like the spine and hip (i.e., central BMD), is one of the gold standard methods [4]. However, it may not be a feasible choice for large-scale community-based epidemiological studies due to the cost and size of devices and the potential risk related to the ionising radiation [5]. Quantitative ultrasound (QUS) is a good non-invasive alternative tool for assessment of BMD and predicting fracture risk in large populations [6,7], particularly in less developed low- and middle-income countries, such as China.
The China Kadoorie Biobank (CKB) study is a large-ongoing prospective study including 0.5 million adults recruited from 10 geographically defined locations in China during 2004–2008 [8]. In 2013–2014, a resurvey of ~5% randomly selected surviving participants of the CKB (~25,000) was conducted, during which calcaneus QUS scan was performed to assess BMD [9]. The device uses low-frequency ultrasonic waves to measure speed of sound (SOS, expressed as m/s) and broadband ultrasound attenuation (BUA, expressed as dH/MHz) and combine them to form a clinical measure called the stiffness index (SI, expressed as a percentage of the result from a healthy reference), which could be considered as an indirect representation of microarchitectural property of bone and a surrogate parameter for BMD assessed by DXA [10,11]. SI was then used to derive the T-score through comparing individual SI measures to the gender-matched young normal reference mean on a standard deviation scale [12].
Besides a few well-established determinants for osteoporosis, such as aging, female sex, and physical inactivity, several risk factors for poor bone health have been identified, including body composition indices and lifestyle factors. However, such associations with SI have not yet been established, particularly in non-Western populations. We therefore aimed to study the patterns as well as lifestyle and anthropometric correlates of BMD parameters (i.e., SI and T-score) in this large group of Chinese men and women aged 40 years and older from the CKB, as well as to investigate and compare predictive values of different BMD parameters for subsequent incidence of fractures. The information would be greatly valuable for understanding the age-, gender-, and other subgroup-specific risks of fracture in the population and the usefulness of QUS measures in assessing osteoporosis risk.
2. Materials and Methods
2.1. Study Population
The CKB study is an ongoing prospective cohort study of 0.5 million Chinese adults, aged 30–79 years at baseline, recruited from 10 geographically diverse regional sites that were chosen according to local disease patterns, exposure to certain risk factors, population stability, quality of death and disease registries, and local commitment and capacity [8,13]. In 2013–2014, a random sample of surviving participants (~34,000) was invited to participate in the resurvey to help assess changes of baseline exposures over time and to collect new data on emerging risk factors for chronic diseases. About ~75% (n = 25,239) of the invitees participated in the resurvey. They were interviewed using a laptop-based interviewer-administered questionnaire (similar to the CKB baseline questionnaire and see https://www.ckbiobank.org/files/qs_2ndresurvey_11dec2013.pdf (accessed on 24 February 2025)) and were measured for a range of parameters including calcaneus QUS scan. Ethics approval was obtained from the University of Oxford Tropical Research Ethics Committee (OXTREC), the Chinese Academy of Medical Sciences, and all regional sites. All participants provided written informed consent.
2.2. Calcaneus QUS Scan
For each participant, right and left calcaneal QUS were performed by trained staff members using Lunar Achilles EXPII (GE healthcare, Chicago, IL, USA), which is a US FDA-approved QUS scanner with a temperature-controlled water-based system used as a coupling medium for wave propagation. This device measures BUA and SOS and calculates SI according to the following equation: SI = (0.67 × BUA + 0.28 × SOS) – 420 [14]. According to the manufacturer, the SI is less dependent on the temperature of the measurement environment than BUA or SOS alone (because BUA and SOS vary in the opposite direction with temperature). T-score was also provided by the device through comparing the SI with imbedded reference databases (Supplementary Table S1). We followed the standard operating procedures provided by the manufacturer, and a reference database for adult Chinese was chosen when setting up the device. Data collection was performed after daily calibration of devices carried out using the quality phantom, according to the manufacturer’s instructions. Mean values of the right and left measurements were used for analyses, although both SI and T-score measurements had essentially the same distributions on the left and right foot across all 10 regions (Supplementary Figure S1).
2.3. Questionnaire Survey and Other Data Collection
Information on demographic, socio-economic, and lifestyle factors (including smoking, alcohol consumption, diet, and physical activity) and family and personal disease history was collected during the questionnaire survey [7,11]. Total physical activity was calculated through combining the activities (in metabolic equivalent of tasks [MET]-hours) from occupation, commuting, household activities, and leisure time exercises [15]. Standing height was measured to the nearest 0.1 cm using a portable stadiometer without shoes. Leg length was calculated as the difference between standing height and sitting height. Weight was measured to the nearest 0.1 kg using the TBF-300 Body Composition Analyzer (Tanita Inc., Tokyo, Japan), and BMI was calculated as weight in kilograms divided by height in meters squared. In addition, TBF-300 used foot-to-foot bioelectrical impedance analysis to measure body fat percentage (BF%) using its built-in proprietary algorithm [16]. Hand grip strength was measured using a hydraulic hand dynamometer (Jamar J00105, Jafayette Instrument Company, Inc., Jafayette, IN, USA) while participants were asked to sit upright in a chair, place their forearms on armrests, and squeeze the handle of the dynamometer as strongly as possible for three seconds [17]. For each participant, one measurement was obtained from each hand and the average of the two measurements was used for this analysis.
2.4. Follow-Up and Outcome Measures
The vital status of each participant was determined periodically through China’s Disease Surveillance Points (DSP) system (i.e., death registry), checked annually against local residential records and health insurance data and supplemented by annual active confirmation through street committees or village administrators, in order to minimise any loss to follow-up [13]. In addition, further information about incidence of major diseases (i.e., ischemic heart disease, stroke, cancer, and diabetes) and episodes of any hospitalisation were collected through electronic linkage with disease registries and nationwide health insurance claim databases (which has almost universal, ~99%, coverage for CKB participants). We used each participant’s unique national identification number as identifier to ensure a correct linkage with clinical records. All deaths and hospital admissions (including osteoporosis and fracture) were coded using the International Classification of Diseases, 10th Revision (ICD-10), by trained clinical staff who had no access to other information collected in the CKB study. By 1 January 2019, only 3498 (0.7% of ~0.5 million baseline participants) were lost to follow-up.
For the present analysis, we defined fracture-prone individuals using ICD-10 codes S02-S92 and M80-82, which cover any fracture and osteoporosis [18]. Only the first hospitalisation of fracture or osteoporosis during the follow-up period was considered and participants contributed person-years from time of resurvey (i.e., the time of BMD measurement) until the date of fracture/osteoporosis incidence, loss to follow-up, or global censoring date (i.e., 1 January 2019).
2.5. Statistical Analyses
Among the 25,239 CKB participants who attended the resurvey, calcaneus QUS data were available among 24,780 men and women. After excluding 129 participants who had missing questionnaire information, 24,651 were included in the current analysis. Means (standard deviations, SDs) or percentages of population characteristics were calculated overall and by men and women separately while adjusting for age and region where appropriate, using either multiple linear (for continuous outcomes) or logistic (for binary outcomes) regression.
Using the same formula (i.e., BMD = 0.002592 × [BUA + SOS] − 3.687) as used in the UK Biobank [19], we estimated BMD for each individual and calculated the Spearman correlation between eBMD and SI provided by the Achilles EXP II (GE Healthcare, Boston, MA, USA). Multiple linear regression analyses were conducted to calculate the least-squares means of SI and T-score for men and women separately in each 5-year age group, in each region and across different groups of age-at-menopause, adjusting for region and age, where appropriate. Similarly, least squares means of these bone health parameters were calculated in men and women by categories of socio-economic and lifestyle factors including education, income, smoking, alcohol consumption, physical activity, and tea consumption, adjusting for age, region, and other factors. Cross-sectional associations of various anthropometric parameters with BMD measurements in men and women separately were also assessed using multiple linear regression adjusting for the covariates mentioned above, plus menopause status in women. Heterogeneity of regression coefficients between men and women was examined using the Z-test. Cox proportional hazards models were used to estimate hazard ratios (HRs) of incident fracture related to each BMD parameter in men and women. Models were stratified by age at risk and region, and they were adjusted for age at QUS measurement; education; income; smoking; physical activity; consumption of alcohol, tea, fresh fruit, wholegrain, and milk, and, in women, menopause status. The proportional hazards assumption was assessed by use of Schoenfeld residual tests, and the results showed no evidence of violation of this assumption. We used group-specific variances to estimate the 95% confidence intervals (CI) for all categories, enabling comparisons between any two categories and not only with the reference group [20]. Each participant’s follow-up time was calculated as the time interval between QUS measurement and death, loss to follow-up, incident fracture, or global censoring date, whichever came first. Heterogeneity of HRs between men and women was estimated using the chi-squared test.
All analyses were conducted using SAS (version 9.3). Graphs were plotted using R 3.3.2.
3. Results
Among the 24,651 participants included in the analysis, the overall mean (SD) age was 59.5 (10.1) years, 61.7% were women, and 43.1% came from urban areas (Table 1). More than half of the male participants were current smokers (50.9%), but only 1.6% of women currently smoked. Alcohol and tea drinking were also more prevalent in men than in women. The overall mean (SD) was 88.6 (16.6) for SI and −0.72 (1.12) for T-score. Although men had a much higher mean SI than women (92.8 vs. 86.0), mean T-score was lower in men than in women (−0.85 vs. −0.64). SI and eBMD were highly correlated with each other (Spearman correlation coefficient = 0.98, Supplementary Figure S2).
Table 1.
Participant characteristics by gender (n = 24,651).
SI and T-score both presented an inverse trend with age (Figure 1). For SI, it was similar in men and women before the age of 50 years, but after that, it dropped linearly and dramatically in women but only slowly in men. For women, SI at about 80 years old was about 25.8% lower when (93.6 vs. 69.5) than those younger than 50 years, corresponding to 10% decline per 10 year of age increase. In men, however, the rate of SI decline was much slower, from 94.6 at around 50 years old to 85.2 at around 80 years old (~3.8% per 10 year). At about 80 years old, men on average had about 18% higher SI than women (85.2 vs. 69.5, Figure 1). The age pattern of T-score was different from that for SI. In the young age group (i.e., before 60 years), women had a much higher T-score than men. This gender difference became smaller with age and disappeared at age 60 years, and it gradually increased after that, but with men having higher T-score than women (Figure 1).
Figure 1.
Adjusted mean levels of stiffness index (SI) and T-score by age and sex. Values were adjusted for region, and vertical lines crossing the dots represent 95% CIs. Solid black dots represent data from men, and open dots represent women.
SI was consistently higher in men than in women across all 10 regions, although large regional variations were observed for mean SI in both men and women (Supplementary Figure S3a). Overall, people from urban areas had higher SI than those from rural areas (90.6 vs. 87.1). For both men and women, those from Suzhou (an urban area near Shanghai) had the highest SI (97.1/89.8 in men/women), while men in Henan and women from Sichuan (both are rural regions) had the lowest values (89.5 and 82.2, respectively). However, for T-score, although the regional variation pattern was similar to that for SI, the gender difference was in an opposite direction, with men having a lower T-score than women across all 10 regions (Supplementary Figure S3b).
As expected, post-menopausal women on average had lower SI than men and pre-menopausal women (82.5 vs. 93.7 and 90.6, respectively, Supplementary Figure S4a). In addition, women who experienced menopause at a younger age had slightly lower SI than those who had late menopause. However, for T-score, surprisingly the mean value in men (−0.81) was even slightly lower than the average level of post-menopausal women (−0.76), much lower than that in premenopausal women (−0.32) (Supplementary Figure S4b).
Despite the above-described differences in SI and T-score, they had nearly identical associations with socio-economic and lifestyle factors (Table 2). Longer education (in women) and higher household income (in men) tended to be associated with better bone health (i.e., higher SI and T-score), although the multi-adjusted associations were not statistically significant. Never smoking (in men), regular tea drinking (in women), and higher physical activity were related to better bone health (Ptrend < 0.001 for all). For instance, male current smokers had 2.1-unit lower SI and 0.14-unit lower T-score than in male never smokers. The corresponding differences in women were only about half, 1.2 and 0.08 units, respectively (Ptrend = 0.18 for SI and 0.16 for T-score). These differences were quantitatively similar to those between female regular and never tea drinkers, despite the opposite directions, i.e., regular tea drinking was related to 1.2-unit higher SI and 0.07-unit higher T-score in contrast to never tea drinkers (Ptrend = 0.0003 for both). Milk consumption was not associated with bone health in men, but in women, it was inversely related to both SI and T-score, with regular milk consumers having 1.2-unit lower SI and 0.09-unit lower T-score than never consumers (Ptrend < 0.001). Higher consumption of fresh fruit and coarse grains was associated with higher SI and T-score in both men and women (Ptrend < 0.05), but no clear associations were found of other dietary factors (including use of nutrient supplements) and vitamin D level measured at baseline with either SI or T-score.
Table 2.
Socio-economic and lifestyle factors in relation to stiffness index and T-score in men and women.
Among the anthropometric measures studied, BMI was also the strongest correlate of bone health in men (per SD higher BMI was associated with 2.33-unit higher SI and 0.16-unit higher T-score), but in women, body weight had a slightly stronger association with SI and T-score (2.54 and 0.18 unit, respectively) than BMI (2.44 and 0.17 unit, respectively) (Figure 2). In men, lean mass had >70% stronger association with bone health parameters than fat mass (i.e., 1.73 vs. 1.02 SI and 0.12 vs. 0.07 T-score), but in women, the opposite was true, with fat mass having over two times stronger associations with SI (1.92 vs. 0.91) and T-score (0.13 vs. 0.06) than lean mass. Height was weakly but positively associated with SI and T-score in women, but in men, a much stronger but inverse association was observed, with each SD taller height, ~6.5 cm, associated with 1.26-unit lower SI and 0.09-unit lower T-score.
Figure 2.
Associations of anthropometric measures with stiffness index (SI) and T-score. All analyses were adjusted for age; region; education; income; smoking; physical activity; consumption of alcohol, tea, fresh fruit, milk, and coarse grains; and, in women, menopause status. * Analyses were mutually adjusted for fat mass index and lean mass index. Black squares represent values in men and white squares represent values in women. Horizontal lines crossing the point estimates represent 95% CIs. p values for heterogeneity between men and women were <0.05 for all except for BMI, which was 0.60 for SI and 0.45 for T-score. SD↑ indicates per standard deviation higher.
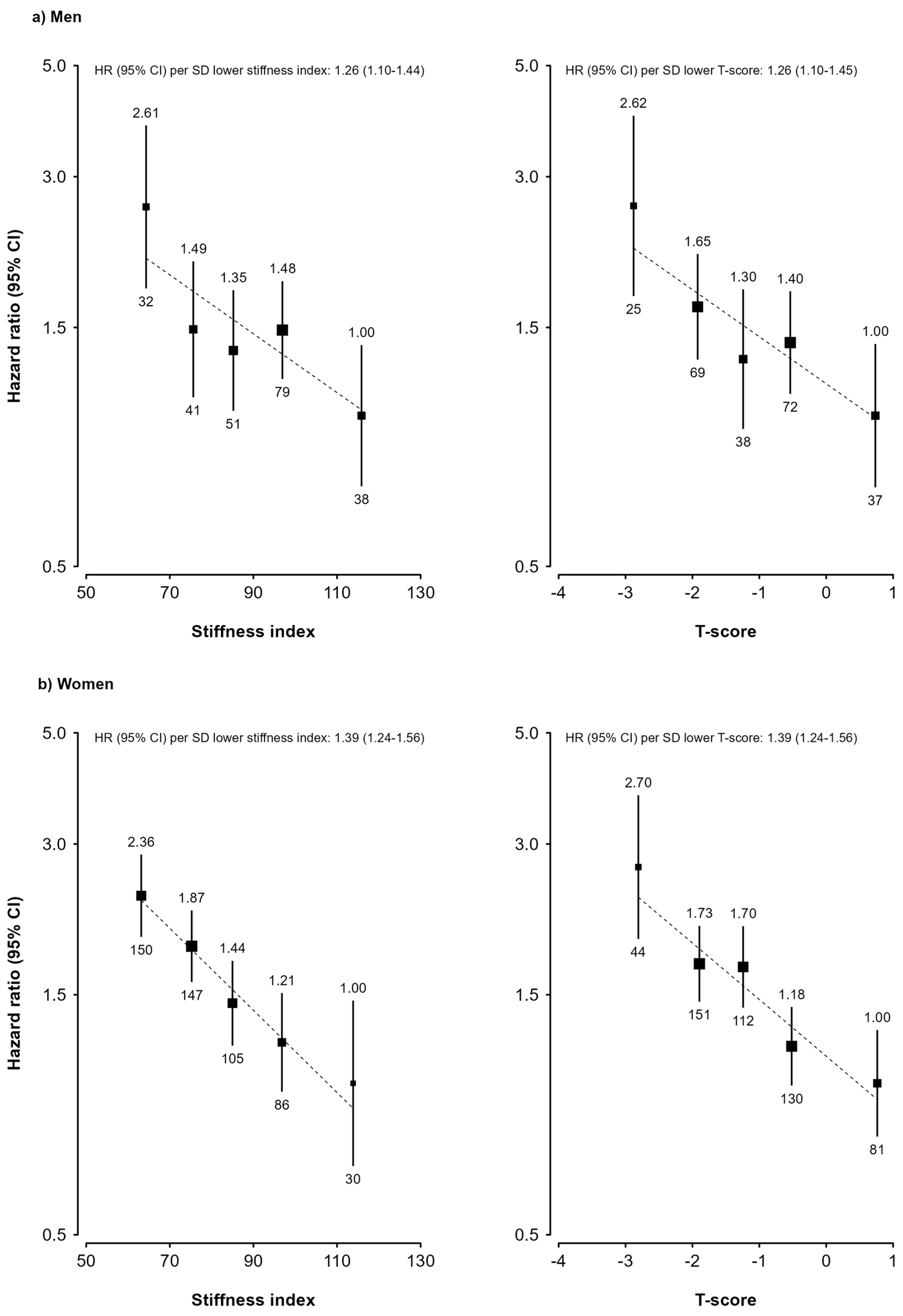
Both SI and T-score were significantly and inversely associated with fracture risk in both men and women, and these associations were in a log-linear manner, with no clear threshold identified at which fracture risk increased (Figure 3). The associations were slightly but non-significantly stronger in women than in men, and with each SD lower SI, the risk of fracture was 26% (95% confidence interval: 10–44%) higher in men and 39% (24–56%) higher in women. T-score had essentially identical linear association with fracture in both men (HR 1.26, 1.10–1.45) and women (HR 1.39, 1.24–1.56). Comparing to those with T-score higher than 0, men with T-score lower than −2.5 had a HR of 2.62 (95%CI: 1.73–3.97), and the corresponding HR in women was 2.70 (95%CI: 1.94–3.75).
Figure 3.
Hazard ratios of stiffness index and T-score with risk of fracture in the China Kadoorie Biobank. Cox regression models were stratified by age-at-risk and region and adjusted for age; education; income; smoking; physical activity; consumption of alcohol, tea, fresh fruit, coarse grains, and milk; and, in women, menopause status. Vertical lines crossing the black squares (point estimates of HRs) represent 95% CIs of HRs. The numbers above the vertical lines are the HRs, and the numbers below the vertical lines are the number of cases. The dashed lines represent linear associations of either SI or T-score with risk of fracture. Panel (a) represents results for men, and panel (b) represents results for women. p values for heterogeneity between men and women was 0.26 for SI and 0.27 for T-score.
4. Discussion
In this relatively large study of Chinese adults from both rural and urban areas, we found that BMD measures assessed using QUS, i.e., SI and T-score, declined with age, particularly in women and from 50 years old. As expected, early menopause, smoking, and low physical activity were associated with lower BMD, while regular tea drinking, regular consumption of fresh fruit and coarse grains, and higher BMI and body weight were related to higher BMD. Although SI was higher in men than in women, the gender difference of T-scores provided by the Lunar Achilles EPXII was in the opposite direction, particularly in those younger than 60 years old. Despite that, T-score and SI had essentially a same association with risk of subsequent fracture incidence, with each SD lower SI or T-score being associated with 26% (95% CI: 10–44%) higher risk in men and 40% (25–57%) or 39% (24–56%), respectively, higher risk in women.
Previous evidence from various populations generally supports a greater BMD in men than in women throughout adulthood. For instance, in the US National Health and Nutrition Examination Survey (NHANES) involving > 13,000 participants aged 20 years and older, BMD was significantly higher in men than in women in every age group, at all skeletal sites, and in every race/ethnic group [21]. In another study by Kruger et al. involving nearly 800,000 Asian adults over 21 years old (that did not include participants from mainland China), SI measured using calcaneal ultrasound (GE-Lunar Achilles) was consistently higher in men than in women, although the differences in 40–50-year-old groups were much smaller [22]. This was similar to what we have observed in our study. However, for T-score, a different age- and sex-pattern (from that of SI) was observed in our study and the study by Kruger et al., showing that the T-score of women was higher than that of men in those younger than 60 years old. Although the International Society for Clinical Densitometry (ISCD) recommends using data from a group of young (i.e., 25–30 years old) white women as a reference for calculating the T-scores for both women and men [23], the GE Achilles EXPII calculates T-score using imbedded values of population- and gender-specific young adults as references. To further confirm that the lower T-score in men than in women in our study, despite a higher SI, was indeed caused by a higher reference database used for male participants, we calculated the a new T-score using the same mean and SD (i.e., 97.5 and 14.1, respectively) values of SI (i.e., derived from female participants younger than 50 years old in the current study) and found that the new T-score was much higher in men than in women and its age- and sex-pattern was very similar to that for SI (Supplementary Figure S5). Although QUS-measured T-score should not be used for the diagnosis of osteoporosis, based on our findings from this current analysis, the T-score provided by GE Lunar Achilles EXPII for Chinese male adults (as well as men of other ethnic groups including Japanese, German, French, and Italian) may have been significantly underestimated and could not be directly compared with the T-score in women. Use of a uniform Caucasian female referent database for T-score calculation in men [24], as is the case for the Hologic Sahara bone sonometer used by the UK Biobank [25], would facilitate the comparison of osteoporosis burden in different genders and across different countries.
Previous evidence supports using calcaneal QUS measures to predict fracture risk [26,27,28]. For instance, in a most recent meta-analysis of nine prospective studies of over 46,000 men and women (mean age 70 years) from Asia, Europe, and North America, both BUA and SOS were significantly and inversely associated with risk of osteoporotic fracture, with HR per 1 SD lower QUS measure being about 1.4, similar to what we found in our prospective analysis associating SI and T-score with risk of total fracture [28]. These findings support the utility of QUS in large-scale population-based epidemiological studies, particularly those conducted in resource-limited areas, given the undeniable advantages of using QUS over an X-ray-based approach to measure BMD (e.g., radiation-free, portability of the device, no need of a registered X-ray technologist to operate and cost effectiveness).
Our findings are in a general agreement with existing literature, supporting the relevance of a healthy lifestyle (i.e., smoking, physical activity, and healthy diet) for bone health. Smoking has long been recognised as a major lifestyle risk factor for poor bone health as it affects the metabolism of hormones, body weight, and antioxidant absorption, as well as increasing oxidative stress, thus disrupting healthy bone resorption and formation [29]. In contrast, previous findings on alcohol consumption and BMD were less consistent, with some showing a U-shaped association [30,31] and others showing no association [32], including our current study. There is also a lack of consistency in terms of tea consumption with BMD and fracture risk in the existing literature [33]. However, in the current study, we observed a clear positive association of tea consumption with SI and T-score (although only borderline significant in men), consistent with few previous reports in China [34] and other populations [35]. Several plausible mechanisms have been proposed, including biologically active compounds in tea, such as polyphenols (or catechins), fluoride, chromium, antioxidants, and phytoestrogens, which are biologically active and can improve bone biology and BMD by enhancing osteoblastic proliferation and differentiation, as well as promoting osteoclast apoptosis [36]. Previous evidence showed that either strenuous exercise, mild exercise, or weight-bearing activities could promote bone formation and bone mineral apposition, thus increasing BMD [37]. Our findings support this, but for the next step, detailed analysis is warranted to better understand the exact relevance of different types of physical activity to bone health and fracture risk. Among the dietary factors investigated, only fresh fruit and coarse grain were positively associated with BMD, while milk consumption was related to a significantly lower BMD in women. Fruit and coarse grain are the two major food groups contributing to the intake of dietary fibre and antioxidants in our study population [38,39]. Although not all consistent, several previous epidemiological studies have reported the potential relevance of fruit and fibre consumption for better bone health [40,41,42], and that the nutritional acid load [43], antioxidant vitamins [44,45] and phytochemicals [46], and gut microbiome [47] may all be involved in the underlying pathways. However, for the latter association, given the cross-sectional nature of the study, reverse causality, i.e., women with a known status of poor BMD potentially having increased their milk intake in order to improve bone health, might have been the main cause of the unexpected result.
Low BMI is a well-established risk factor for low BMD and fracture, particularly hip fracture in adult men and women. Our results on anthropometrics, including adiposity measures and hand grip strength, in relation to BMD measures, are broadly supporting of this [48]. However, there is still a lack of consistency in the literature regarding the relative contributions of lean and fat mass to BMD [49]. The gender-dependent patterns of the body composition–bone relationship observed in this study (i.e., fat mass was more strongly associated with BMD than lean mass in women, while the opposite was observed in men) was in broad agreement with some, but not all, previous reports [50,51]. Although the positive association between adiposity and BMD should not be utilised to challenge public health recommendations to reduce obesity, given its many other undesirable health impacts, a better understanding of the exact pathways linking body fat mass and BMD would greatly benefit global strategies for prevention of osteoporosis and fracture. This is the same for height, which was found to have a significant inverse association with bone health in men, but not in women, in our study. This was consistent with the findings from a study involving 2000 adults in Australia [52], 8000 adolescents in China [53], and 400 peripubertal children in Japan [54]. More recently, Mendelian randomisation analyses of data from the UK Biobank have found a similar inverse association between height and BMD [55]. Together, these results suggest a critical role of sex hormones and growth factors in bone mass acquisition, accumulation, and loss.
The strength of this study is its large sample size and the availability of a wide range of lifestyle and anthropometric variables as well as data on subsequent fracture incidence, allowing us to examine the value of BMD measures in predicting fracture risk. However, this study has several limitations too. Firstly, participants who attended this resurvey might have included a large proportion of healthy volunteers because those who were severely handicapped may not have been able to travel to the survey clinics. Therefore, the prevalence of possible osteoporosis (i.e., T-score < −2.5) in our study might be much lower than the actual prevalence in Chinese adults. But this should not bias the observed associations. Secondly, we only had QUS measurement at one peripheral body site (calcaneus), and therefore the SI and T-score observed in the current study may not reflect BMD at other body sites or of the whole body. Previous studies, however, have found that QUS measures were well correlated with DXA-measured BMD in multiple body sites (e.g., femur neck and lumbar spine) [6], supporting the validity of QUS measures as BMD markers in association studies. Thirdly, the fracture and osteoporosis events in our follow-up data were identified using electronic health records of hospitalisations (i.e., from mortality and morbidity registries as well as health insurance databases), and no separate validation study has been conducted to examine the accuracy of these clinical diagnoses. However, results from a previous CKB publication support the quality of our follow-up data on fracture and osteoporosis [18]. Moreover, potential misclassification in analysis outcome would most possibly be non-differential, and therefore the observed relative risks (HRs) would not be biased [56]. Finally, as mentioned above, the cross-sectional nature of the analysis excludes the possibility of confirming the direction of associations of lifestyle and anthropometric factors with BMD.
5. Conclusions
In summary, our findings suggest people (particularly women who experienced early menopause) of advanced age with lower BMI may have a lower BMD. QUS measures could predict fracture risk, although the absolute T-score was comparable between men and women because of the gender-specific reference databases used. It could be a practical tool for monitoring bone health in resource-limited settings. Several lifestyle factors (such as smoking, physical activity, tea drinking, and fresh fruit and coarse grain consumption) and anthropometrics (e.g., BMI) might be involved in the pathogenesis of osteoporosis, but future studies are necessary to determine the causality of these relationships.
Supplementary Materials
The following supporting information can be downloaded at: https://www.mdpi.com/article/10.3390/nu17050865/s1, Table S1: Reference population data imbedded in the GE Achilles EXPII quantitative ultrasound (QUS) device; Figure S1: Distribution of stiffness index and T-score in right and left feet across 10 regions; Figure S2: Correlation between stiffness index and estimated bone mineral density; Figure S3: Adjusted mean levels of stiffness index (SI) (a) and T-score (b) across 10 regions; Figure S4: Adjusted mean levels of stiffness index (SI) (a) and T-score (b) by menopause status. Figure S5: Adjusted mean levels of re-calculated T-score using CKB young female participants’ SI as reference for both men and women.
Author Contributions
C.C., A.I. and H.D.: have full access to all of the data in the study and take responsibility for the integrity of the data and the accuracy of the data analysis. Concept and design: P.P. (Peng Peng) and H.D. Acquisition, analysis, or interpretation of data: P.P. (Pei Pei), J.C., X.X., P.P. (Peng Peng), C.C., A.I. and H.D. Drafting of the manuscript: P.P. (Peng Peng), C.C., A.I. and H.D. Critical revision of the manuscript for important intellectual content: N.W., P.Y., Y.C., L.Y., D.S. (Dianjianyi Sun), C.Y., J.L., L.L., Z.C. and H.D. Statistical analysis: P.P. (Peng Peng), C.C., A.I. and N.W. Obtained funding: Z.C. and L.L. Administrative, technical, or material support: P.P. (Pei Pei), D.S. (Dan Schmidt), R.S., Y.C., L.Y. and H.D. All authors have read and agreed to the published version of the manuscript.
Funding
The CKB baseline survey and the first re-survey were supported by the Kadoorie Charitable Foundation in Hong Kong. The long-term follow-up has been supported by Wellcome grants to Oxford University (212946/Z/18/Z, 202922/Z/16/Z, 104085/Z/14/Z, 088158/Z/09/Z) and grants from the National Natural Science Foundation of China (82192900, 82192901, 82192904) and from the National Key Research and Development Program of China (2016YFC0900500). The UK Medical Research Council (MC_UU_00017/1, MC_UU_12026/2, MC_U137686851), Cancer Research UK (C16077/A29186; C500/A16896), and the British Heart Foundation (CH/1996001/9454) provide core funding to the Clinical Trial Service Unit and Epidemiological Studies Unit at Oxford University for the project. This research was funded in whole, or in part, by the Wellcome Trust (212946/Z/18/Z, 202922/Z/16/Z, 104085/Z/14/Z, 088158/Z/09/Z). For the purpose of Open Access, the authors have applied a CC-BY public copyright licence to any Author Accepted Manuscript version arising from this submission.
Institutional Review Board Statement
The study was conducted in accordance with the Declaration of Helsinki and approved by the Institutional Review Board (or Ethics Committee) of the Chinese Academy of Medical Sciences (protocol code X1303262001 and date of approval 26 March 2013).
Informed Consent Statement
Informed consent was obtained from all subjects involved in the study.
Data Availability Statement
The China Kadoorie Biobank (CKB) is a global resource for the investigation of lifestyle, environmental, blood biochemical, and genetic factors as determinants of common diseases. The CKB study group is committed to making the cohort data available to the scientific community in China, the UK, and worldwide to advance knowledge about the causes, prevention, and treatment of disease. For detailed information on what data are currently available to open access users and how to apply for them, visit https://www.ckbiobank.org/data-access (accessed on 24 February 2025). Researchers who are interested in obtaining the raw data from the China Kadoorie Biobank study that underlines this paper should contact ckbaccess@ndph.ox.ac.uk. A research proposal will be requested to ensure that any analysis is performed by bona fide researchers and—where data are not currently available to open access researchers—is restricted to the topic covered in this paper.
Acknowledgments
The chief acknowledgment is to the participants, the project staff, and the China National Centre for Disease Control and Prevention (CDC) and its regional offices for assisting with the fieldwork. We thank Judith Mackay in Hong Kong; Yu Wang, Gonghuan Yang, Zhengfu Qiang, Lin Feng, Maigeng Zhou, Wenhua Zhao, and Yan Zhang at China CDC; Lingzhi Kong, Xiucheng Yu, and Kun Li at the Chinese Ministry of Health; and Garry Lancaster, Sarah Clark, Martin Radley, Mike Hill, Hongchao Pan, and Jill Boreham at the CTSU, Oxford, for assisting with the design, planning, organisation, and conduct of the study.
Conflicts of Interest
The authors declare no conflict of interest.
References
- Borrelli, J. Taking control: The osteoporosis epidemic. Injury 2012, 43, 1235–1236. [Google Scholar] [CrossRef]
- International Osteoporosis Foundation (IOF). Factsheet About Osteoporosis. Available online: https://www.osteoporosis.foundation/sites/iofbonehealth/files/2019-06/AboutOsteoporosis_FactSheet_English.pdf (accessed on 18 February 2025).
- Collaborators, G.B.D.F. Global, regional, and national burden of bone fractures in 204 countries and territories, 1990-2019: A systematic analysis from the Global Burden of Disease Study 2019. Lancet Healthy Longev. 2021, 2, e580–e592. [Google Scholar] [CrossRef]
- Choksi, P.; Jepsen, K.J.; Clines, G.A. The challenges of diagnosing osteoporosis and the limitations of currently available tools. Clin. Diabetes Endocrinol. 2018, 4, 12. [Google Scholar] [CrossRef]
- Pisani, P.; Renna, M.D.; Conversano, F.; Casciaro, E.; Muratore, M.; Quarta, E.; Paola, M.D.; Casciaro, S. Screening and early diagnosis of osteoporosis through X-ray and ultrasound based techniques. World J. Radiol. 2013, 5, 398–410. [Google Scholar] [CrossRef]
- Trimpou, P.; Bosaeus, I.; Bengtsson, B.A.; Landin-Wilhelmsen, K. High correlation between quantitative ultrasound and DXA during 7 years of follow-up. Eur. J. Radiol. 2010, 73, 360–364. [Google Scholar] [CrossRef]
- Escobio-Prieto, I.; Blanco-Diaz, M.; Pinero-Pinto, E.; Rodriguez-Rodriguez, A.M.; Ruiz-Dorantes, F.J.; Albornoz-Cabello, M. Quantitative Ultrasound and Bone Health in Elderly People, a Systematic Review. Biomedicines 2023, 11, 1175. [Google Scholar] [CrossRef]
- Chen, Z.; Lee, L.; Chen, J.; Collins, R.; Wu, F.; Guo, Y.; Linksted, P.; Peto, R. Cohort profile: The Kadoorie Study of Chronic Disease in China (KSCDC). Int. J. Epidemiol. 2005, 34, 1243–1249. [Google Scholar] [CrossRef]
- Li, X.; Qiao, Y.; Yu, C.; Guo, Y.; Bian, Z.; Yang, L.; Chen, Y.; Yan, S.; Xie, X.; Huang, D.; et al. Tea consumption and bone health in Chinese adults: A population-based study. Osteoporos. Int. 2019, 30, 333–341. [Google Scholar] [CrossRef]
- Sheu, A.; Diamond, T. Bone mineral density: Testing for osteoporosis. Aust. Prescr. 2016, 39, 35–39. [Google Scholar] [CrossRef]
- Xu, Y.; Guo, B.; Gong, J.; Xu, H.; Bai, Z. The correlation between calcaneus stiffness index calculated by QUS and total body BMD assessed by DXA in Chinese children and adolescents. J. Bone Miner. Metab. 2014, 32, 159–166. [Google Scholar] [CrossRef]
- General Electric Company. Achilles EXPII: Affordable and Convenient Fracture Risk Assessment Using Quantitative Ultrasound. Available online: https://medford.pro/wp-content/uploads/2020/02/Brochure-Achilles-EXPII-QUS-from-GE-Healthcare-JB52895XX.pdf (accessed on 18 February 2025).
- Chen, Z.; Chen, J.; Collins, R.; Guo, Y.; Peto, R.; Wu, F.; Li, L.; China Kadoorie Biobank collaborative, g. China Kadoorie Biobank of 0.5 million people: Survey methods, baseline characteristics and long-term follow-up. Int. J. Epidemiol. 2011, 40, 1652–1666. [Google Scholar] [CrossRef]
- Hadji, P.; Hars, O.; Wuster, C.; Bock, K.; Alberts, U.S.; Bohnet, H.G.; Emons, G.; Schulz, K.D. Stiffness index identifies patients with osteoporotic fractures better than ultrasound velocity or attenuation alone. Maturitas 1999, 31, 221–226. [Google Scholar] [CrossRef] [PubMed]
- Du, H.; Li, L.; Whitlock, G.; Bennett, D.; Guo, Y.; Bian, Z.; Chen, J.; Sherliker, P.; Huang, Y.; Zhang, N.; et al. Patterns and socio-demographic correlates of domain-specific physical activities and their associations with adiposity in the China Kadoorie Biobank study. BMC Public Health 2014, 14, 826. [Google Scholar] [CrossRef] [PubMed]
- Bragg, F.; Tang, K.; Guo, Y.; Iona, A.; Du, H.; Holmes, M.V.; Bian, Z.; Kartsonaki, C.; Chen, Y.; Yang, L.; et al. Associations of General and Central Adiposity With Incident Diabetes in Chinese Men and Women. Diabetes Care 2018, 41, 494–502. [Google Scholar] [CrossRef] [PubMed]
- McNicholl, T.; Curtis, L.; Dubin, J.A.; Mourtzakis, M.; Nasser, R.; Laporte, M.; Keller, H. Handgrip strength predicts length of stay and quality of life in and out of hospital. Clin. Nutr. 2020, 39, 2501–2509. [Google Scholar] [CrossRef]
- Yao, P.; Parish, S.; Bennett, D.A.; Du, H.; Yang, L.; Chen, Y.; Guo, Y.; Yu, C.; Zhou, G.; Lv, J.; et al. Gender differences in modifiable risk factors for hip fracture: 10-year follow-up of a prospective study of 0.5 million Chinese adults. J. Intern. Med. 2022, 291, 481–492. [Google Scholar] [CrossRef]
- Kemp, J.P.; Morris, J.A.; Medina-Gomez, C.; Forgetta, V.; Warrington, N.M.; Youlten, S.E.; Zheng, J.; Gregson, C.L.; Grundberg, E.; Trajanoska, K.; et al. Identification of 153 new loci associated with heel bone mineral density and functional involvement of GPC6 in osteoporosis. Nat. Genet. 2017, 49, 1468–1475. [Google Scholar] [CrossRef]
- Easton, D.F.; Peto, J.; Babiker, A.G. Floating absolute risk: An alternative to relative risk in survival and case-control analysis avoiding an arbitrary reference group. Stat. Med. 1991, 10, 1025–1035. [Google Scholar] [CrossRef]
- Looker, A.C.; Melton, L.J., 3rd; Harris, T.; Borrud, L.; Shepherd, J.; McGowan, J. Age, gender, and race/ethnic differences in total body and subregional bone density. Osteoporos. Int. 2009, 20, 1141–1149. [Google Scholar] [CrossRef]
- Kruger, M.C.; Todd, J.M.; Schollum, L.M.; Kuhn-Sherlock, B.; McLean, D.W.; Wylie, K. Bone health comparison in seven Asian countries using calcaneal ultrasound. BMC Musculoskelet. Disord. 2013, 14, 81. [Google Scholar] [CrossRef]
- Dimai, H.P. Use of dual-energy X-ray absorptiometry (DXA) for diagnosis and fracture risk assessment; WHO-criteria, T- and Z-score, and reference databases. Bone 2017, 104, 39–43. [Google Scholar] [CrossRef]
- Binkley, N.; Adler, R.; Bilezikian, J.P. Osteoporosis diagnosis in men: The T-score controversy revisited. Curr. Osteoporos. Rep. 2014, 12, 403–409. [Google Scholar] [CrossRef] [PubMed]
- Hologic, I. Sahara Clinical Bone Sonometer User Guide; Hologic, Inc.: Waltham, MA USA, 1998. [Google Scholar]
- Hans, D.; Dargent-Molina, P.; Schott, A.M.; Sebert, J.L.; Cormier, C.; Kotzki, P.O.; Delmas, P.D.; Pouilles, J.M.; Breart, G.; Meunier, P.J. Ultrasonographic heel measurements to predict hip fracture in elderly women: The EPIDOS prospective study. Lancet 1996, 348, 511–514. [Google Scholar] [CrossRef]
- Fujiwara, S.; Sone, T.; Yamazaki, K.; Yoshimura, N.; Nakatsuka, K.; Masunari, N.; Fujita, S.; Kushida, K.; Fukunaga, M. Heel bone ultrasound predicts non-spine fracture in Japanese men and women. Osteoporos. Int. 2005, 16, 2107–2112. [Google Scholar] [CrossRef] [PubMed]
- McCloskey, E.V.; Kanis, J.A.; Oden, A.; Harvey, N.C.; Bauer, D.; Gonzalez-Macias, J.; Hans, D.; Kaptoge, S.; Krieg, M.A.; Kwok, T.; et al. Predictive ability of heel quantitative ultrasound for incident fractures: An individual-level meta-analysis. Osteoporos. Int. 2015, 26, 1979–1987. [Google Scholar] [CrossRef]
- Al-Bashaireh, A.M.; Haddad, L.G.; Weaver, M.; Chengguo, X.; Kelly, D.L.; Yoon, S. The Effect of Tobacco Smoking on Bone Mass: An Overview of Pathophysiologic Mechanisms. J. Osteoporos. 2018, 2018, 1206235. [Google Scholar] [CrossRef] [PubMed]
- Cho, Y.; Choi, S.; Kim, K.; Lee, G.; Park, S.M. Association between alcohol consumption and bone mineral density in elderly Korean men and women. Arch. Osteoporos. 2018, 13, 46. [Google Scholar] [CrossRef]
- Jang, H.D.; Hong, J.Y.; Han, K.; Lee, J.C.; Shin, B.J.; Choi, S.W.; Suh, S.W.; Yang, J.H.; Park, S.Y.; Bang, C. Relationship between bone mineral density and alcohol intake: A nationwide health survey analysis of postmenopausal women. PLoS ONE 2017, 12, e0180132. [Google Scholar] [CrossRef]
- Cheung, E.Y.; Ho, A.Y.; Lam, K.F.; Tam, S.; Kung, A.W. Determinants of bone mineral density in Chinese men. Osteoporos. Int. 2005, 16, 1481–1486. [Google Scholar] [CrossRef]
- Chen, C.C.; Shen, Y.M.; Li, S.B.; Huang, S.W.; Kuo, Y.J.; Chen, Y.P. Association of Coffee and Tea Intake with Bone Mineral Density and Hip Fracture: A Meta-Analysis. Medicina 2023, 59, 1177. [Google Scholar] [CrossRef]
- Ni, S.; Wang, L.; Wang, G.; Lin, J.; Ma, Y.; Zhao, X.; Ru, Y.; Zheng, W.; Zhang, X.; Zhu, S. Drinking tea before menopause is associated with higher bone mineral density in postmenopausal women. Eur. J. Clin. Nutr. 2021, 75, 1454–1464. [Google Scholar] [CrossRef] [PubMed]
- Hamdi Kara, I.; Aydin, S.; Gemalmaz, A.; Akturk, Z.; Yaman, H.; Bozdemir, N.; Kurdak, H.; Sitmapinar, K.; Devran Sencar, I.; Basak, O.; et al. Habitual tea drinking and bone mineral density in postmenopausal Turkish women: Investigation of prevalence of postmenopausal osteoporosis in Turkey (IPPOT Study). Int. J. Vitam. Nutr. Res. 2007, 77, 389–397. [Google Scholar] [CrossRef] [PubMed]
- Nash, L.A.; Ward, W.E. Tea and bone health: Findings from human studies, potential mechanisms, and identification of knowledge gaps. Crit. Rev. Food Sci. Nutr. 2017, 57, 1603–1617. [Google Scholar] [CrossRef]
- Weaver, C.M.; Gordon, C.M.; Janz, K.F.; Kalkwarf, H.J.; Lappe, J.M.; Lewis, R.; O’Karma, M.; Wallace, T.C.; Zemel, B.S. The National Osteoporosis Foundation’s position statement on peak bone mass development and lifestyle factors: A systematic review and implementation recommendations. Osteoporos. Int. 2016, 27, 1281–1386. [Google Scholar] [CrossRef]
- Yang, J.; Du, H.; Guo, Y.; Bian, Z.; Yu, C.; Chen, Y.; Yang, L.; Liu, J.; Han, X.; Chen, J.; et al. Coarse Grain Consumption and Risk of Cardiometabolic Diseases: A Prospective Cohort Study of Chinese Adults. J. Nutr. 2022, 152, 1476–1486. [Google Scholar] [CrossRef] [PubMed]
- Liu, R.H. Health benefits of fruit and vegetables are from additive and synergistic combinations of phytochemicals. Am. J. Clin. Nutr. 2003, 78, 517S–520S. [Google Scholar] [CrossRef]
- Shin, S.; Sung, J.; Joung, H. A fruit, milk and whole grain dietary pattern is positively associated with bone mineral density in Korean healthy adults. Eur. J. Clin. Nutr. 2015, 69, 442–448. [Google Scholar] [CrossRef]
- Shivappa, N.; Hebert, J.R.; Karamati, M.; Shariati-Bafghi, S.E.; Rashidkhani, B. Increased inflammatory potential of diet is associated with bone mineral density among postmenopausal women in Iran. Eur. J. Nutr. 2016, 55, 561–568. [Google Scholar] [CrossRef]
- Qiu, R.; Cao, W.T.; Tian, H.Y.; He, J.; Chen, G.D.; Chen, Y.M. Greater Intake of Fruit and Vegetables Is Associated with Greater Bone Mineral Density and Lower Osteoporosis Risk in Middle-Aged and Elderly Adults. PLoS ONE 2017, 12, e0168906. [Google Scholar] [CrossRef]
- Burckhardt, P. The role of low acid load in vegetarian diet on bone health: A narrative review. Swiss Med. Wkly. 2016, 146, w14277. [Google Scholar] [CrossRef]
- Zhou, P.; Shao, R.; Wang, H.; Miao, J.; Wang, X. Dietary vitamin A, C, and E intake and subsequent fracture risk at various sites: A meta-analysis of prospective cohort studies. Medicine 2020, 99, e20841. [Google Scholar] [CrossRef] [PubMed]
- Zeng, L.F.; Luo, M.H.; Liang, G.H.; Yang, W.Y.; Xiao, X.; Wei, X.; Yu, J.; Guo, D.; Chen, H.Y.; Pan, J.K.; et al. Can Dietary Intake of Vitamin C-Oriented Foods Reduce the Risk of Osteoporosis, Fracture, and BMD Loss? Systematic Review With Meta-Analyses of Recent Studies. Front. Endocrinol. 2019, 10, 844. [Google Scholar] [CrossRef] [PubMed]
- Yoo, H.; Park, K. Association between Phytochemical Index and Osteoporosis in Women: A Prospective Cohort Study in Korea. Nutrients 2023, 15, 1605. [Google Scholar] [CrossRef]
- Wallace, T.C.; Marzorati, M.; Spence, L.; Weaver, C.M.; Williamson, P.S. New Frontiers in Fibers: Innovative and Emerging Research on the Gut Microbiome and Bone Health. J. Am. Coll. Nutr. 2017, 36, 218–222. [Google Scholar] [CrossRef] [PubMed]
- Park, S.M.; Park, J.; Han, S.; Jang, H.D.; Hong, J.Y.; Han, K.; Kim, H.J.; Yeom, J.S. Underweight and risk of fractures in adults over 40 years using the nationwide claims database. Sci. Rep. 2023, 13, 8013. [Google Scholar] [CrossRef]
- Ho-Pham, L.T.; Nguyen, N.D.; Lai, T.Q.; Nguyen, T.V. Contributions of lean mass and fat mass to bone mineral density: A study in postmenopausal women. BMC Musculoskelet. Disord. 2010, 11, 59. [Google Scholar] [CrossRef]
- Gjesdal, C.G.; Halse, J.I.; Eide, G.E.; Brun, J.G.; Tell, G.S. Impact of lean mass and fat mass on bone mineral density: The Hordaland Health Study. Maturitas 2008, 59, 191–200. [Google Scholar] [CrossRef]
- Garvey, M.E.; Shi, L.; Gona, P.N.; Troped, P.J.; Camhi, S.M. Age, Sex, and Race/Ethnicity Associations between Fat Mass and Lean Mass with Bone Mineral Density: NHANES Data. Int. J. Environ. Res. Public Health 2021, 18, 12606. [Google Scholar] [CrossRef]
- Gould, H.; Brennan, S.L.; Nicholson, G.C.; Kotowicz, M.A.; Henry, M.J.; Pasco, J.A. Calcaneal ultrasound reference ranges for Australian men and women: The Geelong Osteoporosis Study. Osteoporos. Int. 2013, 24, 1369–1377. [Google Scholar] [CrossRef]
- Yu, C.; Wang, S.; Meng, X.; Li, W.; Deng, Y.; Li, N.; Xu, Z.; Wang, L.; Zhao, M.; Leng, J. The impact of height on low/reduced bone mineral density in Chinese adolescents aged 12–14 years old: Gender differences. Arch. Osteoporos. 2019, 14, 78. [Google Scholar] [CrossRef]
- Naka, H.; Iki, M.; Morita, A.; Ikeda, Y. Effects of pubertal development, height, weight, and grip strength on the bone mineral density of the lumbar spine and hip in peripubertal Japanese children: Kyoto kids increase density in the skeleton study (Kyoto KIDS study). J. Bone Miner. Metab. 2005, 23, 463–469. [Google Scholar] [CrossRef] [PubMed]
- Ma, B.; Li, C.; Pan, J.; Zhang, S.; Dong, H.; Wu, Y.; Lv, J. Causal Associations of Anthropometric Measurements With Fracture Risk and Bone Mineral Density: A Mendelian Randomization Study. J. Bone Miner. Res. Off. J. Am. Soc. Bone Miner. Res. 2021, 36, 1281–1287. [Google Scholar] [CrossRef] [PubMed]
- Yland, J.J.; Wesselink, A.K.; Lash, T.L.; Fox, M.P. Misconceptions About the Direction of Bias From Nondifferential Misclassification. Am. J. Epidemiol. 2022, 191, 1485–1495. [Google Scholar] [CrossRef] [PubMed]
Disclaimer/Publisher’s Note: The statements, opinions and data contained in all publications are solely those of the individual author(s) and contributor(s) and not of MDPI and/or the editor(s). MDPI and/or the editor(s) disclaim responsibility for any injury to people or property resulting from any ideas, methods, instructions or products referred to in the content. |
© 2025 by the authors. Licensee MDPI, Basel, Switzerland. This article is an open access article distributed under the terms and conditions of the Creative Commons Attribution (CC BY) license (https://creativecommons.org/licenses/by/4.0/).


