Impact of Protein and Nutritional Support on the Muscular Status of Critically Ill Patients: A Pilot, Perspective, and Exploratory Study
Abstract
1. Introduction
2. Materials and Methods
2.1. Study Protocol
2.2. Nutritional Strategy Scheme
- -
- EN was started 24 or 48 h after ICU admission. It has to cover 50% of caloric requirements;
- -
- After at least 48 h, EN had to reach 80–100% of caloric needs;
- -
- -
- The caloric target was set at 15–20 kcal/kg/day;
- -
- It used a high-protein (containing 100% whey proteins) and casein-free formula, low in carbohydrates (CHO), and with a fat/CHO ratio of 50/50. It was rich in Medium Chain Triglycerides (MCTs) and omega-3 fatty acids, with complete vitamins, minerals, and a trace elements profile.
- Calories:
- In total, 11–14 kcal/kg current body weight/day, for BMI of 30–50 kg/m2;
- In total, 22–25 kcal/kg IBW, for BMI > 50 kg/m2;
- In total, 65–70% of the measured calories.
- Protein intake:
- In total, 2 g/kg IBW for BMI 30–50 kg/m2;
- In total, 2.5 g/kg IBW for BMI > 50 kg/m2.
2.3. Indirect Calorimetric Measurements
2.4. Bioimpedance Vector Analysis
2.5. Nutritional Risk Scores Assessment
2.6. Prognostic Score Assessment
2.7. Muscle Pennation Angle Ultrasound Assessment
2.8. Data Collection
2.9. Statistical Analysis
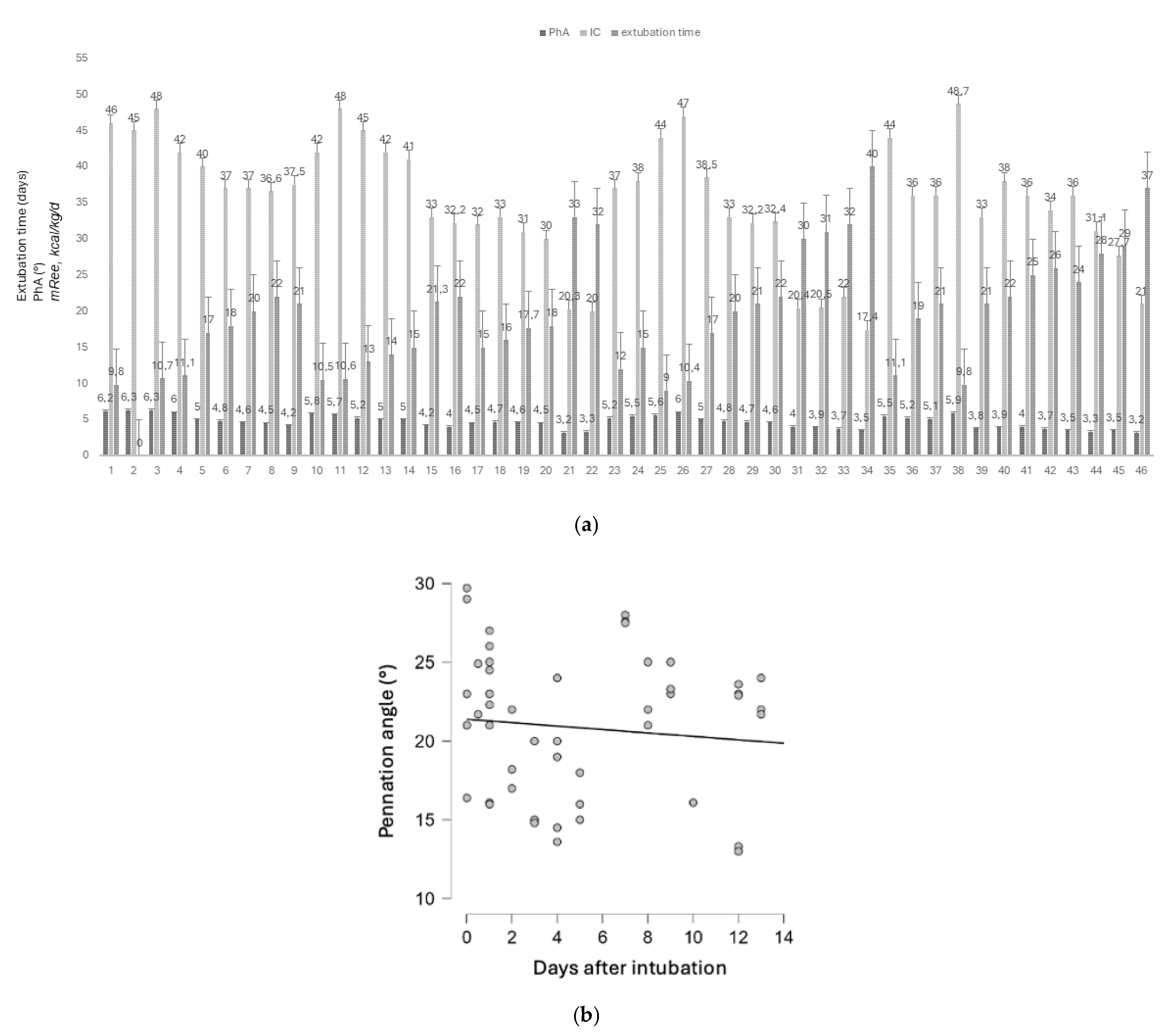
3. Results
4. Discussion
5. Conclusions
Author Contributions
Funding
Institutional Review Board Statement
Informed Consent Statement
Data Availability Statement
Acknowledgments
Conflicts of Interest
References
- Hermans, G.; van den Berghe, G. Clinical review: Intensive care unit acquired weakness. Crit. Care 2015, 19, 274. [Google Scholar] [CrossRef] [PubMed]
- Jaitovich, A.; Khan, M.M.; Itty, R.; Chieng, H.C.; Dumas, C.L.; Nadendla, P.; Fantauzzi, J.P.; Yucel, R.M.; Feustel, P.J.; Judson, M.A. ICU admission muscle and fat mass, survival, and disability at discharge: A prospective cohort study. Chest 2019, 155, 322e30. [Google Scholar] [CrossRef] [PubMed]
- Schefold, J.C.; Wollersheim, T.; Grunow, J.J.; Luedi, M.M.; Z’Graggen, W.J.; Weber-Carstens, S. Muscular weakness and muscle wasting in the critically ill. J. Cachexia Sarcopenia Muscle 2020, 11, 1399e412. [Google Scholar] [CrossRef]
- Jolley, S.E.; Bunnell, A.E.; Hough, C.L. ICU-acquired weakness. Chest 2016, 150, 1129e40. [Google Scholar] [CrossRef]
- Wischmeyer, P.; San-Millan, I. Winning the war against ICU-acquired weakness: New innovations in nutrition and exercise physiology. Crit. Care 2015, 19, S6. [Google Scholar] [CrossRef]
- Bels, J.L.M.; Ali Abdelhamid, Y.; van de Poll, M.C.G. Protein supplementation in critical illness: Why, when and how? Curr. Opin. Clin. Nutr. Metab. Care 2023, 26, 146–153. [Google Scholar] [CrossRef]
- Holecek, M. Beta-hydroxy-beta-methylbutyrate supplementation and skeletal muscle in healthy and muscle-wasting conditions. J. Cachexia Sarcopenia Muscle 2017, 8, 529e41. [Google Scholar] [CrossRef]
- May, P.E.; Barber, A.; D’Olimpio, J.T.; Hourihane, A.; Abumrad, N.N. Reversal of cancer-related wasting using oral supplementation with a combination of beta-hydroxy-beta-methylbutyrate, arginine, and glutamine. Am. J. Surg. 2002, 183, 471e9. [Google Scholar] [CrossRef]
- Mitchell, A.; Clemente, R.; Downer, C.; Greer, F.; Allan, K.; Collinson, A.; Taylor, S. Protein Provision in Critically Ill Adults Requiring Enteral Nutrition: Are Guidelines Being Met? Nutr. Clin. Pract. 2019, 34, 123–130. [Google Scholar] [CrossRef]
- Oshima, T.; Delsoglio, M.; Dupertuis, Y.M.; Singer, P.; De Waele, E.; Veraar, C.; Heidegger, C.P.; Wernermann, J.; Wischmeyer, P.E.; Berger, M.M.; et al. The clinical evaluation of the new indirect calorimeter developed by the ICALIC project. Clin. Nutr. 2020, 39, 3105–3111. [Google Scholar] [CrossRef]
- Mulasi, U.; Kuchnia, A.J.; Cole, A.J.; Earthman, C.P. Bioimpedance at the bedside: Current applications; limitations; and opportunities. Nutr. Clin. Pract. 2015, 30, 180–193. [Google Scholar] [CrossRef] [PubMed]
- Peacock, I.W.F. Use of Bioimpedance Vector Analysis in Critically Ill and Cardiorenal Patients. Contrib. Nephrol. 2010, 165, 226–235. [Google Scholar] [CrossRef]
- Heyland, D.K.; Dhaliwal, R.; Jiang, X.; Day, A.G. Identifying critically ill patients who benefit the most from nutrition therapy: The development and initial validation of a novel risk assessment tool. Crit. Care 2011, 15, R268. [Google Scholar] [CrossRef]
- Gruther, W.; Benesch, T.; Zorn, C.; Paternostro-Sluga, T.; Quittan, M.; Fialka-Moser, V.; Spiss, C.; Kainberger, F.; Crevenna, R. Muscle wasting in intensive care patients: Ultrasound observation of the M. quadriceps femoris muscle layer. J. Rehabil. Med. 2008, 40, 185–189. [Google Scholar] [CrossRef]
- Formenti, P.; Umbrello, M.; Coppola, S.; Froio, S.; Chiumello, D. Clinical review: Peripheral muscular ultrasound in the ICU. Ann. Intensiv. Care 2019, 9, 57. [Google Scholar] [CrossRef]
- Hernández-Socorro, C.R.; Saavedra, P.; López-Fernández, J.C.; Ruiz-Santana, S. Assessment of Muscle Wasting in Long-Stay ICU Patients Using a New Ultrasound Protocol. Nutrients 2018, 10, 1849. [Google Scholar] [CrossRef]
- Niederer, L.E.; Miller, H.; Haines, K.L.; Molinger, J.; Whittle, J.; MacLeod, D.B.; McClave, S.A.; Wischmeyer, P.E. Prolonged progressive hypermetabolism during COVID-19 hospitalization undetected by common predictive energy equations. Clin. Nutr. ESPEN 2021, 45, 341–350. [Google Scholar] [CrossRef]
- Rowe, B.; Kudsk, K.; Borum, P.; Madsen, D. Effects of whey- and casein-based diets on glutathione and cysteine metabolism in ICU patients. J. Am. Coll. Nutr. 1994, 13, 535. [Google Scholar]
- Xu, J.; Shi, W.; Xie, L.; Xu, J.; Bian, L. Feeding Intolerance in Critically Ill Patients with Enteral Nutrition: A Meta-Analysis and Systematic Review. J. Crit. Care Med. 2024, 10, 7–15. [Google Scholar] [CrossRef]
- Minnelli, N.; Gibbs, L.; Larrivee, J.; Sahu, K.K. Challenges of Maintaining Optimal Nutrition Status in COVID-19 Patients in Intensive Care Settings. JPEN J. Parenter. Enter. Nutr. 2020, 44, 1439–1446. [Google Scholar] [CrossRef]
- Scarcella, M.; Scarpellini, E.; Ascani, A.; Commissari, R.; Scorcella, C.; Zanetti, M.; Parisi, A.; Monti, R.; Milic, N.; Donati, A.; et al. Effect of Whey Proteins on Malnutrition and Extubating Time of Critically Ill COVID-19 Patients. Nutrients 2022, 14, 437. [Google Scholar] [CrossRef] [PubMed]
- Bernstein, L.; Bachman, T.E.; Meguid, M.; Ament, M.; Baumgartner, T.; Kinosian, B.; Martindale, R.; Spiekerman, M. Measurement of visceral protein status in assessing protein and energy malnutrition: Standard of care. Prealbumin in Nu-tritional Care Consensus Group. Nutrition 1995, 11, 169–171. [Google Scholar]
- Davis, C.J.; Sowa, D.; Keim, K.S.; Kinnare, K.; Peterson, S. The use of prealbumin and C-reactive protein for monitoring nutrition support in adult patients receiving enteral nutrition in an urban medical center. JPEN J. Parenter. Enter. Nutr. 2012, 36, 197–204. [Google Scholar] [CrossRef]
- McClave, S.A.; Taylor, B.E.; Martindale, R.G.; Warren, M.M.; Johnson, D.R.; Braunschweig, C.; McCarthy, M.S.; Davanos, E.; Rice, T.W.; Cresci, G.A.; et al. Guidelines for the Provision and Assessment of Nutrition Support Therapy in the Adult Critically Ill Patient: Society of Critical Care Medicine (SCCM) and American Society for Parenteral and Enteral Nutrition (A.S.P.E.N.). JPEN J. Parenter. Enter. Nutr. 2016, 40, 159–211. [Google Scholar] [CrossRef]
- Issever, K.; Genc, A.C.; Cekic, D.; Yildirim, I.; Genc, A.B.; Yaylaci, S. Prealbumin: A New Biomarker for Predicting Prognosis in Patients with Severe COVID-19. J. Coll. Phys. Surg. Pak. 2021, 31, S99–S103. [Google Scholar] [CrossRef]
- Schlossmacher, P.; Hasselmann, M.; Meyer, N.; Kara, F.; Delabranche, X.; Kummerlen, C.; Ingenbleek, Y. The prognostic value of nutritional and inflammatory indices in critically ill patients with acute respiratory failure. Clin. Chem. Lab. Med. 2002, 40, 1339–1343. [Google Scholar] [CrossRef]
- Chiang, C.Y.; Lan, C.C.; Yang, C.H.; Hou, Y.C. Investigating the differences in nutritional status between successfully weaned and unsuccessfully weaned respirator patients. Sci. Rep. 2023, 13, 7144. [Google Scholar] [CrossRef]
- Chen, Q.; Hao, Q.; Ding, Y.; Dong, B. The Association between Sarcopenia and Prealbumin Levels among Elderly Chinese Inpatients. J. Nutr. Health Aging 2019, 23, 122–127. [Google Scholar] [CrossRef]
- Lennmarken, C.; Sandstedt, S.; Schenck, H.V.; Larsson, J. The effect of starvation on skeletal muscle function in man. Clin. Nutr. 1986, 5, 99–103. [Google Scholar] [CrossRef]
- Saiphoklang, N.; Tepwimonpetkun, C. Interest of hand grip strength to predict outcome in mechanically ventilated patients. Heart Lung. 2020, 49, 637–640. [Google Scholar] [CrossRef]
- Bear, D.E.; Langan, A.; Dimidi, E.; Wandrag, L.; Harridge, S.D.R.; Hart, N.; Connolly, B.; Whelan, K. β-Hydroxy-β-methylbutyrate and its impact on skeletal muscle mass and physical function in clinical practice: A systematic review and meta-analysis. Am. J. Clin. Nutr. 2019, 109, 1119–1132. [Google Scholar] [CrossRef] [PubMed]
- Kuhls, D.A.; Rathmacher, J.A.; Musngi, M.D.; Frisch, D.A.; Nielson, J.; Barber, A.; MacIntyre, A.D.; Coates, J.E.; Fildes, J.J. Beta-hydroxy-beta-methylbutyrate supplementation in critically ill trauma patients. J. Trauma 2007, 62, 125–131; discussion 131–132. [Google Scholar] [CrossRef] [PubMed]
- Hsieh, L.C.; Chien, S.L.; Huang, M.S.; Tseng, H.F.; Chang, C.K. Anti-inflammatory and anticatabolic effects of short-term beta-hydroxy-beta-methylbutyrate supplementation on chronic obstructive pulmonary disease patients in intensive care unit. Asia Pac. J. Clin. Nutr. 2006, 15, 544–550. [Google Scholar] [PubMed]
- Nakamura, K.; Kihata, A.; Naraba, H.; Kanda, N.; Takahashi, Y.; Sonoo, T.; Hashimoto, H.; Morimura, N. β-Hydroxy-β-methylbutyrate, Arginine, and Glutamine Complex on Muscle Volume Loss in Critically Ill Patients: A Randomized Control Trial. JPEN J. Parenter. Enter. Nutr. 2020, 44, 205–212. [Google Scholar] [CrossRef]
- Viana, M.V.; Becce, F.; Pantet, O.; Schmidt, S.; Bagnoud, G.; Thaden, J.J.; Ten Have, G.A.M.; Engelen, M.P.K.J.; Voidey, A.; Deutz, N.E.P.; et al. Impact of β-hydroxy-β-methylbutyrate (HMB) on muscle loss and protein metabolism in critically ill patients: A RCT. Clin. Nutr. 2021, 40, 4878–4887. [Google Scholar] [CrossRef]
- Wittholz, K.; Bongetti, A.J.; Fetterplace, K.; Caldow, M.K.; Karahalios, A.; De Souza, D.P.; Elahee Doomun, S.N.; Rooyackers, O.; Koopman, R.; Lynch, G.S.; et al. Plasma beta-hydroxy-beta-methylbutyrate availability after enteral administration during critical illness after trauma: An exploratory study. JPEN J. Parenter. Enter. Nutr. 2024, 48, 421–428. [Google Scholar] [CrossRef]







| Patients (n) | Age (years) | SAPS II | IC (mRee, kcal/kg/d) | BIVA (PhA, °) | mNUTRIC Score | |
|---|---|---|---|---|---|---|
| All patients | 54 | 66.1 ± 5.6 | 58.1 ± 9.0 | 21.3 ± 1.0 | 4.6 | 3 |
| Non survivors | 8 | 75.7 ± 8.7 * | 70.2 ± 5.9 ** | 25.4 ± 1.2 | 3.8 | 7 |
| Survivors | 46 | 64.2 ± 6.3 | 50.4 ± 4.7 | 22.1 ± 1.1 | 4.7 *** | 3 **** |
| p-value | <0.05 | <0.05 | NS | <0.05 | <0.05 |
Disclaimer/Publisher’s Note: The statements, opinions and data contained in all publications are solely those of the individual author(s) and contributor(s) and not of MDPI and/or the editor(s). MDPI and/or the editor(s) disclaim responsibility for any injury to people or property resulting from any ideas, methods, instructions or products referred to in the content. |
© 2025 by the authors. Licensee MDPI, Basel, Switzerland. This article is an open access article distributed under the terms and conditions of the Creative Commons Attribution (CC BY) license (https://creativecommons.org/licenses/by/4.0/).
Share and Cite
Scarcella, M.; Scarpellini, E.; De Rosa, S.; Umbrello, M.; Petroni, G.M.; Monti, R.; Fusco, P.; De Robertis, E.; Commissari, R.; Abenavoli, L.; et al. Impact of Protein and Nutritional Support on the Muscular Status of Critically Ill Patients: A Pilot, Perspective, and Exploratory Study. Nutrients 2025, 17, 497. https://doi.org/10.3390/nu17030497
Scarcella M, Scarpellini E, De Rosa S, Umbrello M, Petroni GM, Monti R, Fusco P, De Robertis E, Commissari R, Abenavoli L, et al. Impact of Protein and Nutritional Support on the Muscular Status of Critically Ill Patients: A Pilot, Perspective, and Exploratory Study. Nutrients. 2025; 17(3):497. https://doi.org/10.3390/nu17030497
Chicago/Turabian StyleScarcella, Marialaura, Emidio Scarpellini, Silvia De Rosa, Michele Umbrello, Gian Marco Petroni, Riccardo Monti, Pierfrancesco Fusco, Edoardo De Robertis, Rita Commissari, Ludovico Abenavoli, and et al. 2025. "Impact of Protein and Nutritional Support on the Muscular Status of Critically Ill Patients: A Pilot, Perspective, and Exploratory Study" Nutrients 17, no. 3: 497. https://doi.org/10.3390/nu17030497
APA StyleScarcella, M., Scarpellini, E., De Rosa, S., Umbrello, M., Petroni, G. M., Monti, R., Fusco, P., De Robertis, E., Commissari, R., Abenavoli, L., & Tack, J. (2025). Impact of Protein and Nutritional Support on the Muscular Status of Critically Ill Patients: A Pilot, Perspective, and Exploratory Study. Nutrients, 17(3), 497. https://doi.org/10.3390/nu17030497

