Total and Free Zinc Dynamics as Biomarkers for Neurological Impairment in Traumatic Spinal Cord Injury
Abstract
1. Introduction
2. Materials and Methods
2.1. Data Source
2.1.1. Quantification of Total Serum Zn
2.1.2. fZn Measurement and Ratio of Free to Total Zn
2.2. Participants
2.3. Outcome
2.4. Predictors
2.5. Missing Data
2.6. Related Work
2.7. Statistical Analysis
3. Results
3.1. Demographics
3.2. Correlation of fZn to Total Zn
3.3. Examination of the Complete Patient Group: Trauma Versus Control
3.4. Comparison of Total Zn and fZn Concentrations in Relation to Neurological Remission
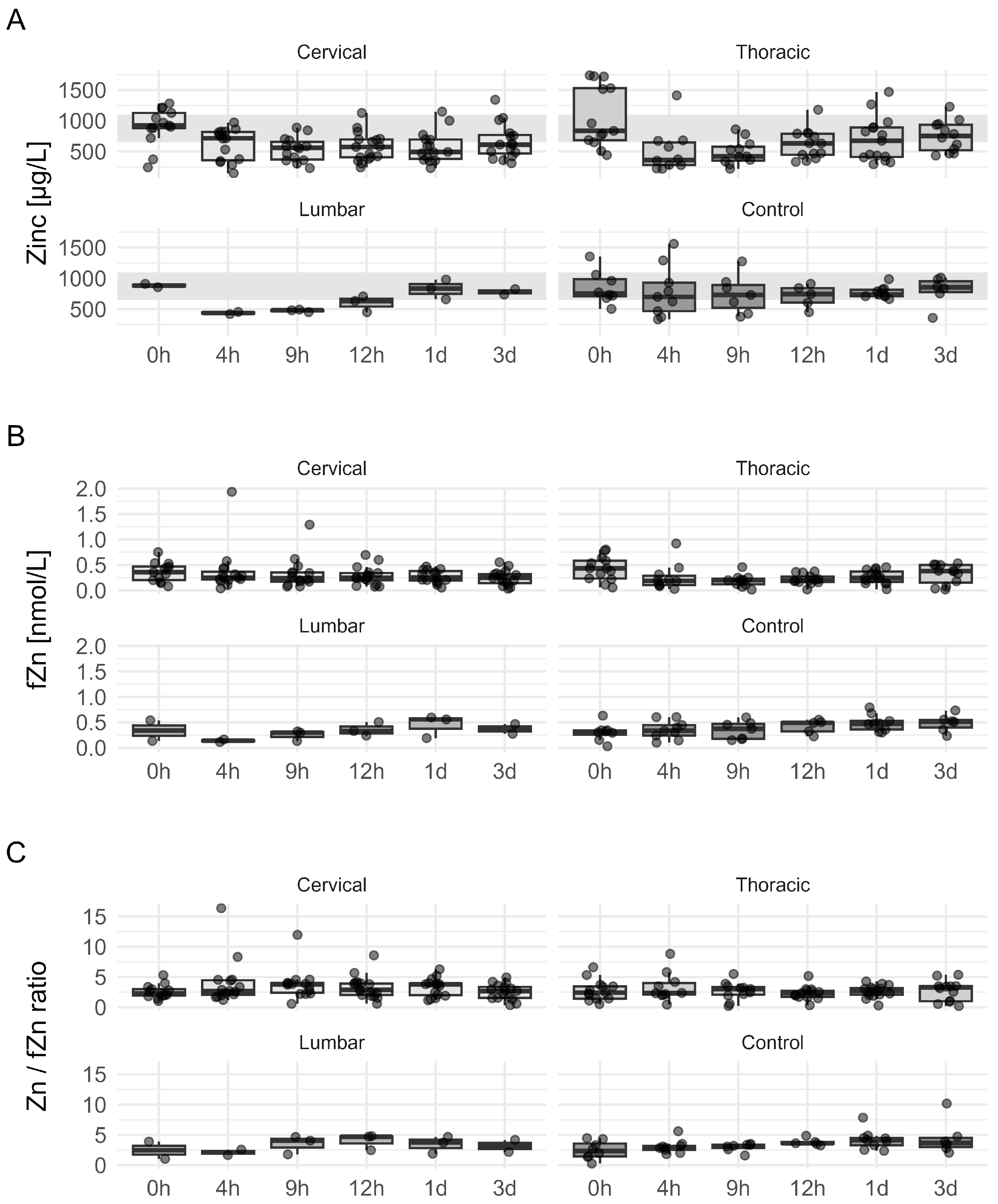
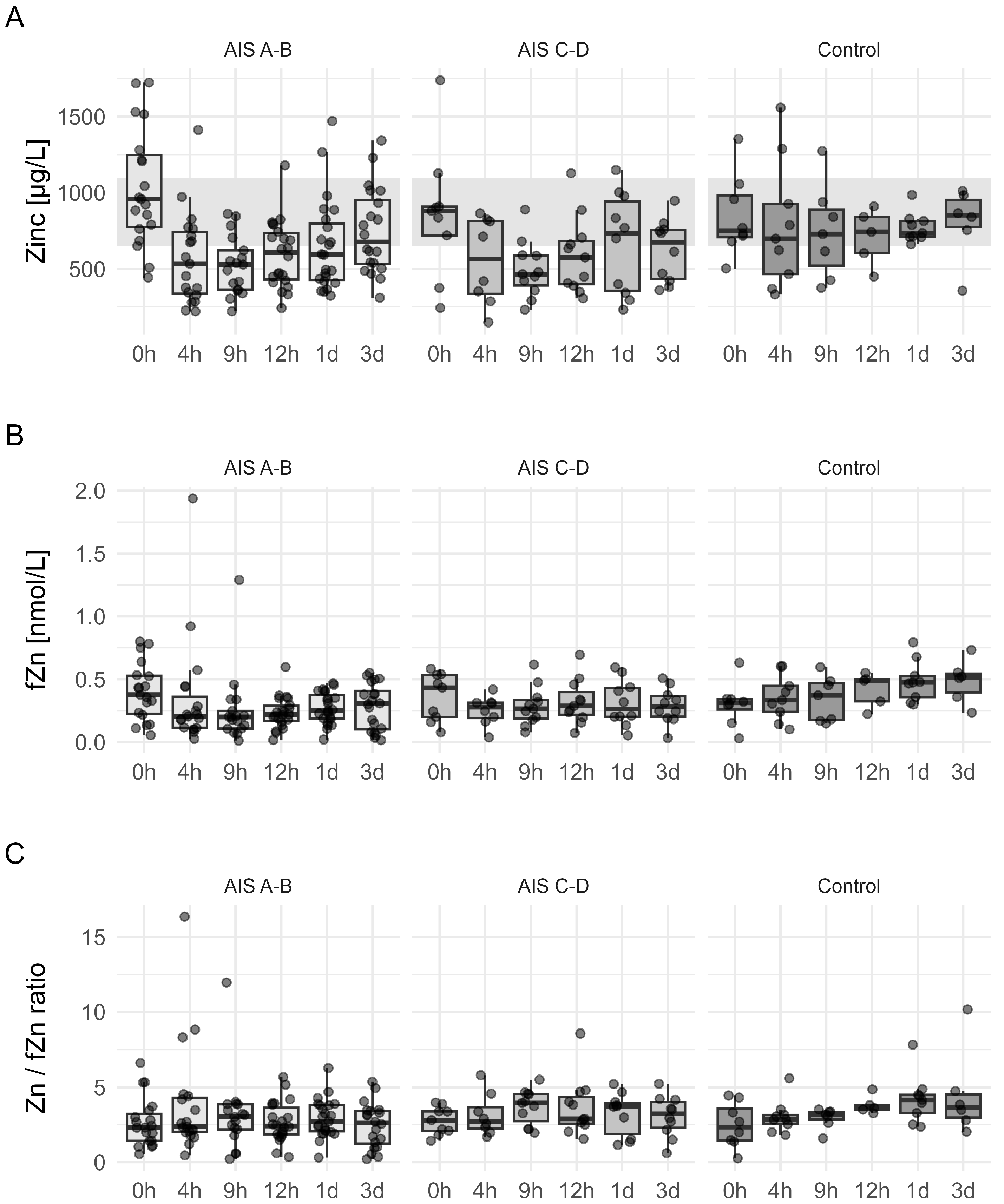
3.5. Serum and fZn Dynamics in TSCI Patients Classified by NLI and Initial Injury Severity
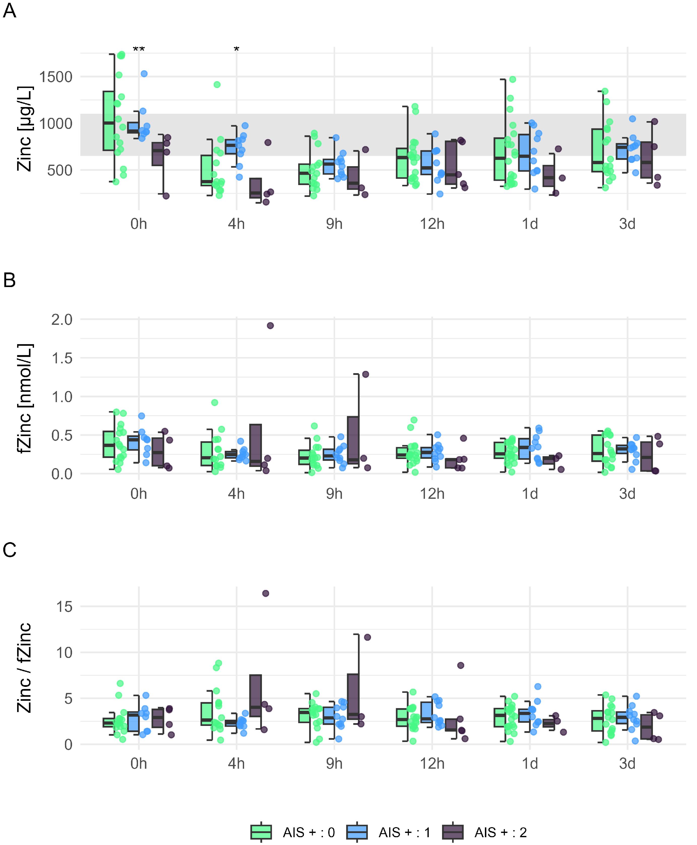
3.6. Overall Comparison of Zn and fZn in Relation to Impairment
3.7. Performance Analysis of Diagnostic Modeling Based on Zn and Free Zn Metrics
4. Discussion
4.1. Zn Dynamics and Unbound Zn in Relation to Neurological Dysfunction
4.2. Diagnostic Value of fZn Measures
4.3. Molecular Mechanisms and Therapeutic Potential of fZn Dynamics in TSCI
4.3.1. The Role of fZn in Immune Cell Signaling
4.3.2. TLR4/NF-B/ZIP8 Pathway Activation and Zn Uptake in Monocytes
4.3.3. Mechanisms of Zn Homeostasis During Traumatic Spinal Cord Injury: Potential Role of Free Fatty Acids and Zn-Binding Proteins
4.4. Zn Dynamics in Relation to Injury Severity and Location
4.5. Clinical Implications
4.6. Limitations and Future Directions
5. Conclusions
Author Contributions
Funding
Institutional Review Board Statement
Informed Consent Statement
Data Availability Statement
Acknowledgments
Conflicts of Interest
Abbreviations
| AIS | American Spinal Injury Association Impairment Scale |
| AUC | Area Under the Curve |
| BDNF | Brain-Derived Neurotrophic Factor |
| CI | Confidence Interval |
| CNS | Central Nervous System |
| FFAs | Free Fatty Acids |
| fZn | Free Zinc |
| HRG | Histidine-Rich Glycoprotein |
| NF-B | Nuclear Factor Kappa B |
| NLI | Neurological Level of Injury |
| TLR4 | Toll-Like Receptor 4 |
| TSCI | Traumatic Spinal Cord Injury |
| Zn | Zinc |
References
- Ackery, A.; Tator, C.; Krassioukov, A. A global perspective on spinal cord injury epidemiology. J. Neurotrauma 2004, 21, 1355–1370. [Google Scholar] [CrossRef] [PubMed]
- Alizadeh, A.; Dyck, S.M.; Karimi-Abdolrezaee, S. Traumatic Spinal Cord Injury: An Overview of Pathophysiology, Models and Acute Injury Mechanisms. Front. Neurol. 2019, 10, 282. [Google Scholar] [CrossRef]
- Ahuja, C.S.; Badhiwala, J.H.; Fehlings, M.G. “Time is spine”: The importance of early intervention for traumatic spinal cord injury. Spinal Cord 2020, 58, 1037–1039. [Google Scholar] [CrossRef] [PubMed]
- Gammoh, N.Z.; Rink, L. Zinc in Infection and Inflammation. Nutrients 2017, 9, 624. [Google Scholar] [CrossRef]
- Maares, M.; Haase, H. Zinc and immunity: An essential interrelation. Arch. Biochem. Biophys. 2016, 611, 58–65. [Google Scholar] [CrossRef]
- Kijima, K.; Ono, G.; Kobayakawa, K.; Saiwai, H.; Hara, M.; Yoshizaki, S.; Yokota, K.; Saito, T.; Tamaru, T.; Iura, H.; et al. Zinc deficiency impairs axonal regeneration and functional recovery after spinal cord injury by modulating macrophage polarization via NF-kappaB pathway. Front. Immunol. 2023, 14, 1290100. [Google Scholar] [CrossRef] [PubMed]
- Fukada, T.; Yamasaki, S.; Nishida, K.; Murakami, M.; Hirano, T. Zinc homeostasis and signaling in health and diseases: Zinc signaling. J. Biol. Inorg. Chem. 2011, 16, 1123–1134. [Google Scholar] [CrossRef] [PubMed]
- Maares, M.; Hackler, J.; Haupt, A.; Heller, R.A.; Bachmann, M.; Diegmann, J.; Moghaddam, A.; Schomburg, L.; Haase, H. Free Zinc as a Predictive Marker for COVID-19 Mortality Risk. Nutrients 2022, 14, 1407. [Google Scholar] [CrossRef] [PubMed]
- Hoeger, J.; Simon, T.P.; Doemming, S.; Thiele, C.; Marx, G.; Schuerholz, T.; Haase, H. Alterations in zinc binding capacity, free zinc levels and total serum zinc in a porcine model of sepsis. Biometals 2015, 28, 693–700. [Google Scholar] [CrossRef]
- Wessels, I.; Maywald, M.; Rink, L. Zinc as a Gatekeeper of Immune Function. Nutrients 2017, 9, 1286. [Google Scholar] [CrossRef]
- Heller, R.A.; Sperl, A.; Seelig, J.; Haubruck, P.; Bock, T.; Werner, T.; Besseling, A.; Sun, Q.; Schomburg, L.; Moghaddam, A.; et al. Zinc Concentration Dynamics Indicate Neurological Impairment Odds after Traumatic Spinal Cord Injury. Antioxidants 2020, 9, 421. [Google Scholar] [CrossRef] [PubMed]
- Rink, L.; Gabriel, P. Zinc and the immune system. Proc. Nutr. Soc. 2000, 59, 541–552. [Google Scholar] [CrossRef] [PubMed]
- Wessels, I.; Pupke, J.T.; von Trotha, K.T.; Gombert, A.; Himmelsbach, A.; Fischer, H.J.; Jacobs, M.J.; Rink, L.; Grommes, J. Zinc supplementation ameliorates lung injury by reducing neutrophil recruitment and activity. Thorax 2020, 75, 253–261. [Google Scholar] [CrossRef]
- Haase, H.; Ober-Blobaum, J.L.; Engelhardt, G.; Hebel, S.; Heit, A.; Heine, H.; Rink, L. Zinc signals are essential for lipopolysaccharide-induced signal transduction in monocytes. J. Immunol. 2008, 181, 6491–6502. [Google Scholar] [CrossRef]
- Haase, H.; Hebel, S.; Engelhardt, G.; Rink, L. Flow cytometric measurement of labile zinc in peripheral blood mononuclear cells. Anal. Biochem. 2006, 352, 222–230. [Google Scholar] [CrossRef] [PubMed]
- Hu, H.; Xia, N.; Lin, J.; Li, D.; Zhang, C.; Ge, M.; Tian, H.; Mei, X. Zinc Regulates Glucose Metabolism of the Spinal Cord and Neurons and Promotes Functional Recovery after Spinal Cord Injury through the AMPK Signaling Pathway. Oxid. Med. Cell Longev. 2021, 2021, 4331625. [Google Scholar] [CrossRef]
- Garcia, E.; Hernandez-Ayvar, F.; Rodriguez-Barrera, R.; Flores-Romero, A.; Borlongan, C.; Ibarra, A. Supplementation With Vitamin E, Zinc, Selenium, and Copper Re-Establishes T-Cell Function and Improves Motor Recovery in a Rat Model of Spinal Cord Injury. Cell Transpl. 2022, 31, 9636897221109884. [Google Scholar] [CrossRef]
- Kijima, K.; Kubota, K.; Hara, M.; Kobayakawa, K.; Yokota, K.; Saito, T.; Yoshizaki, S.; Maeda, T.; Konno, D.; Matsumoto, Y.; et al. The acute phase serum zinc concentration is a reliable biomarker for predicting the functional outcome after spinal cord injury. EBioMedicine 2019, 41, 659–669. [Google Scholar] [CrossRef]
- Li, D.; Tian, H.; Li, X.; Mao, L.; Zhao, X.; Lin, J.; Lin, S.; Xu, C.; Liu, Y.; Guo, Y.; et al. Zinc promotes functional recovery after spinal cord injury by activating Nrf2/HO-1 defense pathway and inhibiting inflammation of NLRP3 in nerve cells. Life Sci. 2020, 245, 117351. [Google Scholar] [CrossRef] [PubMed]
- Lin, J.Q.; Tian, H.; Zhao, X.G.; Lin, S.; Li, D.Y.; Liu, Y.Y.; Xu, C.; Mei, X.F. Zinc provides neuroprotection by regulating NLRP3 inflammasome through autophagy and ubiquitination in a spinal contusion injury model. CNS Neurosci. Ther. 2021, 27, 413–425. [Google Scholar] [CrossRef]
- Haruta, Y.; Kobayakawa, K.; Saiwai, H.; Hata, K.; Tamaru, T.; Iura, H.; Ono, G.; Kitade, K.; Kijima, K.; Iida, K.; et al. Zinc chelator treatment in crush syndrome model mice attenuates ischemia-reperfusion-induced muscle injury due to suppressing of neutrophil infiltration. Sci. Rep. 2022, 12, 15580. [Google Scholar] [CrossRef]
- Wu, D.; Lewis, E.D.; Pae, M.; Meydani, S.N. Nutritional Modulation of Immune Function: Analysis of Evidence, Mechanisms, and Clinical Relevance. Front. Immunol. 2018, 9, 3160. [Google Scholar] [CrossRef] [PubMed]
- Xu, C.; Zhou, Z.; Zhao, H.; Lin, S.; Zhang, P.; Tian, H.; Mei, X. Zinc Promotes Spinal Cord Injury Recovery by Blocking the Activation of NLRP3 Inflammasome Through SIRT3-Mediated Autophagy. Neurochem. Res. 2023, 48, 435–446. [Google Scholar] [CrossRef]
- Paterniti, I.; Filippone, A.; Naletova, I.; Greco, V.; Sciuto, S.; Esposito, E.; Cuzzocrea, S.; Rizzarelli, E. Trehalose-Carnosine Prevents the Effects of Spinal Cord Injury Through Regulating Acute Inflammation and Zinc(II) Ion Homeostasis. Cell Mol. Neurobiol. 2023, 43, 1637–1659. [Google Scholar] [CrossRef]
- Besecker, B.Y.; Exline, M.C.; Hollyfield, J.; Phillips, G.; Disilvestro, R.A.; Wewers, M.D.; Knoell, D.L. A comparison of zinc metabolism, inflammation, and disease severity in critically ill infected and noninfected adults early after intensive care unit admission. Am. J. Clin. Nutr. 2011, 93, 1356–1364. [Google Scholar] [CrossRef] [PubMed]
- Maywald, M.; Wang, F.; Rink, L. The Intracellular Free Zinc Level Is Vital for Treg Function and a Feasible Tool to Discriminate between Treg and Activated Th Cells. Int. J. Mol. Sci. 2018, 19, 3575. [Google Scholar] [CrossRef]
- Alker, W.; Schwerdtle, T.; Schomburg, L.; Haase, H. A Zinpyr-1-based Fluorimetric Microassay for Free Zinc in Human Serum. Int. J. Mol. Sci. 2019, 20, 4006. [Google Scholar] [CrossRef]
- Coverdale, J.P.C.; Barnett, J.P.; Adamu, A.H.; Griffiths, E.J.; Stewart, A.J.; Blindauer, C.A. A metalloproteomic analysis of interactions between plasma proteins and zinc: Elevated fatty acid levels affect zinc distribution. Metallomics 2019, 11, 1805–1819. [Google Scholar] [CrossRef] [PubMed]
- Coverdale, J.P.C.; Khazaipoul, S.; Arya, S.; Stewart, A.J.; Blindauer, C.A. Crosstalk between zinc and free fatty acids in plasma. Biochim. Biophys. Acta Mol. Cell Biol. Lipids 2019, 1864, 532–542. [Google Scholar] [CrossRef] [PubMed]
- Doering, P.; Stoltenberg, M.; Penkowa, M.; Rungby, J.; Larsen, A.; Danscher, G. Chemical blocking of zinc ions in CNS increases neuronal damage following traumatic brain injury (TBI) in mice. PLoS ONE 2010, 5, e10131. [Google Scholar] [CrossRef] [PubMed]
- Olson, L.M.; Coffey, R.; Porter, K.; Thomas, S.; Bailey, J.K.; Jones, L.M.; Murphy, C.V. The impact of serum zinc normalization on clinical outcomes in severe burn patients. Burns 2020, 46, 589–595. [Google Scholar] [CrossRef]
- Han, M.; Lin, W.H.; Huang, S.H.; Lin, Z.X.; Li, K.S. Association between plasma metal elements and platelet dysfunction in trauma-induced coagulopathy rat model. J. Trace Elem. Med. Biol. 2023, 79, 127210. [Google Scholar] [CrossRef]
- Huang, S.Y.; Huang, J.F.; Chan, S.Y.; Yang, C.H.O.; Cheng, C.T.; Wang, C.C.; Hsu, C.P.; Fu, C.Y.; Liao, C.H. Effect of zinc supplement on patients with trauma: A systematic review and meta-analysis. J. Parenter. Enter. Nutr. 2023, 47, 595–602. [Google Scholar] [CrossRef]
- World Medical Association. World Medical Association Declaration of Helsinki: Ethical principles for medical research involving human subjects. JAMA 2013, 310, 2191–2194. [Google Scholar] [CrossRef]
- Collins, G.S.; Reitsma, J.B.; Altman, D.G.; Moons, K.G. Transparent reporting of a multivariable prediction model for individual prognosis or diagnosis (TRIPOD): The TRIPOD statement. BMJ 2015, 350, g7594. [Google Scholar] [CrossRef]
- Bock, T.; Heller, R.A.; Haubruck, P.; Raven, T.F.; Pilz, M.; Moghaddam, A.; Biglari, B. Pursuing More Aggressive Timelines in the Surgical Treatment of Traumatic Spinal Cord Injury (TSCI): A Retrospective Cohort Study with Subgroup Analysis. J. Clin. Med. 2021, 10, 5977. [Google Scholar] [CrossRef]
- Heller, R.A.; Seelig, J.; Crowell, H.L.; Pilz, M.; Haubruck, P.; Sun, Q.; Schomburg, L.; Daniel, V.; Moghaddam, A.; Biglari, B. Predicting neurological recovery after traumatic spinal cord injury by time-resolved analysis of monocyte subsets. Brain 2021, 144, 3159–3174. [Google Scholar] [CrossRef]
- Magerl, F.; Aebi, M.; Gertzbein, S.D.; Harms, J.; Nazarian, S. A comprehensive classification of thoracic and lumbar injuries. Eur. Spine J. 1994, 3, 184–201. [Google Scholar] [CrossRef] [PubMed]
- Boschloo, R.D. Raised conditional level of significance for the 2 × 2-table when testing the equality of two probabilities. Stat. Neerl. 1970, 24, 1–9. [Google Scholar] [CrossRef]
- R Core Team. R: A Language and Environment for Statistical Computing; R Foundation for Statistical Computing: Vienna, Austria, 2024. [Google Scholar]
- Wickham, H.; Chang, W.; Wickham, M.H. Package ‘ggplot2’. Creat. Elegant Data Vis. Using Gramm. Graphics. Version 2016, 2, 1–189. [Google Scholar]
- Jafari, A.; Noormohammadi, Z.; Askari, M.; Daneshzad, E. Zinc supplementation and immune factors in adults: A systematic review and meta-analysis of randomized clinical trials. Crit. Rev. Food Sci. Nutr. 2022, 62, 3023–3041. [Google Scholar] [CrossRef] [PubMed]
- Hosseini, R.; Ferns, G.A.; Sahebkar, A.; Mirshekar, M.A.; Jalali, M. Zinc supplementation is associated with a reduction in serum markers of inflammation and oxidative stress in adults: A systematic review and meta-analysis of randomized controlled trials. Cytokine 2021, 138, 155396. [Google Scholar] [CrossRef]
- Mousavi, S.M.; Djafarian, K.; Mojtahed, A.; Varkaneh, H.K.; Shab-Bidar, S. The effect of zinc supplementation on plasma C-reactive protein concentrations: A systematic review and meta-analysis of randomized controlled trials. Eur. J. Pharmacol. 2018, 834, 10–16. [Google Scholar] [CrossRef] [PubMed]
- Ahuja, C.S.; Nori, S.; Tetreault, L.; Wilson, J.; Kwon, B.; Harrop, J.; Choi, D.; Fehlings, M.G. Traumatic Spinal Cord Injury-Repair and Regeneration. Neurosurgery 2017, 80, S9–S22. [Google Scholar] [CrossRef]
- Takeda, A. Insight into Glutamate Excitotoxicity from Synaptic Zinc Homeostasis. Int. J. Alzheimer’s Dis. 2011, 2011, 491597. [Google Scholar] [CrossRef]
- Garraway, S.M.; Huie, J.R. Spinal Plasticity and Behavior: BDNF-Induced Neuromodulation in Uninjured and Injured Spinal Cord. Neural Plast. 2016, 2016, 9857201. [Google Scholar] [CrossRef] [PubMed]
- Ritfeld, G.J.; Patel, A.; Chou, A.; Novosat, T.L.; Castillo, D.G.; Roos, R.A.C.; Oudega, M. The Role of Brain-Derived Neurotrophic Factor in Bone Marrow Stromal Cell-Mediated Spinal Cord Repair. Cell Transplant. 2015, 24, 2209–2220. [Google Scholar] [CrossRef]
- Mocchegiani, E.; Giacconi, R.; Cipriano, C.; Malavolta, M. NK and NKT cells in aging and longevity: Role of zinc and metallothioneins. J. Clin. Immunol. 2009, 29, 416–425. [Google Scholar] [CrossRef]
- Fraker, P.J.; King, L.E.; Laakko, T.; Vollmer, T.L. The dynamic link between the integrity of the immune system and zinc status. J. Nutr. 2000, 130, 1399S–1406S. [Google Scholar] [CrossRef] [PubMed]
- Maywald, M.; Wessels, I.; Rink, L. Zinc Signals and Immunity. Int. J. Mol. Sci. 2017, 18, 2222. [Google Scholar] [CrossRef] [PubMed]
- Paolicelli, R.C.; Sierra, A.; Stevens, B.; Tremblay, M.E.; Aguzzi, A.; Ajami, B.; Amit, I.; Audinat, E.; Bechmann, I.; Bennett, M.; et al. Microglia states and nomenclature: A field at its crossroads. Neuron 2022, 110, 3458–3483. [Google Scholar] [CrossRef] [PubMed]
- Shechter, R.; Miller, O.; Yovel, G.; Rosenzweig, N.; London, A.; Ruckh, J.; Kim, K.W.; Klein, E.; Kalchenko, V.; Bendel, P.; et al. Recruitment of beneficial M2 macrophages to injured spinal cord is orchestrated by remote brain choroid plexus. Immunity 2013, 38, 555–569. [Google Scholar] [CrossRef] [PubMed]
- Shechter, R.; London, A.; Varol, C.; Raposo, C.; Cusimano, M.; Yovel, G.; Rolls, A.; Mack, M.; Pluchino, S.; Martino, G.; et al. Infiltrating blood-derived macrophages are vital cells playing an anti-inflammatory role in recovery from spinal cord injury in mice. PLoS Med 2009, 6, e1000113. [Google Scholar] [CrossRef]
- Aguilar-Peralta, A.K.; Gonzalez-Vazquez, A.; Tomas-Sanchez, C.; Blanco-Alvarez, V.M.; Martinez-Fong, D.; Gonzalez-Barrios, J.A.; Limon, I.D.; Millán-Perez Peña, L.; Flores, G.; Soto-Rodriguez, G.; et al. Prophylactic Zinc Administration Combined with Swimming Exercise Prevents Cognitive-Emotional Disturbances and Tissue Injury following a Transient Hypoxic-Ischemic Insult in the Rat. Behav. Neurol. 2022, 2022, 5388944. [Google Scholar] [CrossRef]
- Hoekstra, F.; Trigo, F.; Sibley, K.M.; Graham, I.D.; Kennefick, M.; Mrklas, K.J.; Nguyen, T.; Vis-Dunbar, M.; Gainforth, H.L. Systematic overviews of partnership principles and strategies identified from health research about spinal cord injury and related health conditions: A scoping review. J. Spinal Cord Med. 2023, 46, 614–631. [Google Scholar] [CrossRef]
- Noonan, V.K.; Chan, E.; Bassett-Spiers, K.; Berlowitz, D.J.; Biering-Sørensen, F.; Charlifue, S.; Graco, M.; Hayes, K.C.; Horsewell, J.; Joshi, P.; et al. Facilitators and Barriers to International Collaboration in Spinal Cord Injury: Results from a Survey of Clinicians and Researchers. J. Neurotrauma 2017, 35, 478–485. [Google Scholar] [CrossRef]
- Kirshblum, S.; Snider, B.; Eren, F.; Guest, J. Characterizing Natural Recovery after Traumatic Spinal Cord Injury. J. Neurotrauma 2020, 38, 1267–1284. [Google Scholar] [CrossRef] [PubMed]









| Variables | AIS+:0 (N = 21) | AIS+: ≥1 (N = 18) | Total (N = 39) | p-Value |
|---|---|---|---|---|
| Sex | 0.139 () | |||
| M | 19 (90%) | 13 (72%) | 32 (82%) | |
| F | 2 (10%) | 5 (28%) | 7 (18%) | |
| Age | 0.183 (t-test) | |||
| N | 21 | 18 | 39 | |
| Mean | 57 | 49 | 54 | |
| SD | 20 | 18 | 19 | |
| Median | 60 | 52 | 53 | |
| Q1–Q3 | 41–76 | 34–59 | 36–67 | |
| Min–Max | 22–85 | 20–79 | 20–85 | |
| AO Classification | 0.186 () | |||
| A | 8 (38%) | 12 (67%) | 20 (51%) | |
| B | 3 (14%) | 2 (11%) | 5 (13%) | |
| C | 10 (48%) | 4 (22%) | 14 (36%) | |
| NLI | 0.213 () | |||
| Thoracical | 11 (52%) | 5 (28%) | 16 (41%) | |
| Lumbar | 1 (5%) | 3 (17%) | 4 (10%) | |
| Cervical | 9 (43%) | 10 (56%) | 19 (49%) |
| Variables | Control (C, N = 9) | Study (S, N = 39) | p-Value |
|---|---|---|---|
| Sex | 0.019 () | ||
| F | 5 (56%) | 7 (18%) | |
| M | 4 (44%) | 32 (82%) | |
| Age | 0.224 (t-test) | ||
| N | 9 | 39 | |
| Mean | 46 | 54 | |
| SD | 16 | 19 | |
| Median | 40 | 53 | |
| Q1–Q3 | 32–59 | 36–67 | |
| Min–Max | 27–71 | 20–85 | |
| AO Classification | 0.067 () | ||
| A | 6 (67%) | 20 (51%) | |
| B | 3 (33%) | 5 (13%) | |
| C | 0 (0%) | 14 (36%) |
| Model 1 | Model 2 | Model 3 | Cohen’s d | |
|---|---|---|---|---|
| (Intercept) | 1.64 ** [0.64, 2.63] | 1.79 *** [0.74, 2.83] | 1.48 *** [0.64, 2.33] | |
| Zn 9 h | −1.02 * [−1.97, −0.06] | 0.90 large | ||
| fZn 24 h | −1.54 ** [−2.67, −0.40] | 1.33 large | ||
| Zn/fZn 1 d | −0.89 * [−1.76, −0.02] | 0.82 large | ||
| N | 35 | 42 | 42 | |
| AIC | 33.61 | 36.25 | 42.66 | |
| BIC | 36.72 | 39.72 | 46.14 | |
| Pseudo R2 | 0.23 | 0.37 | 0.17 |
Disclaimer/Publisher’s Note: The statements, opinions and data contained in all publications are solely those of the individual author(s) and contributor(s) and not of MDPI and/or the editor(s). MDPI and/or the editor(s) disclaim responsibility for any injury to people or property resulting from any ideas, methods, instructions or products referred to in the content. |
© 2025 by the authors. Licensee MDPI, Basel, Switzerland. This article is an open access article distributed under the terms and conditions of the Creative Commons Attribution (CC BY) license (https://creativecommons.org/licenses/by/4.0/).
Share and Cite
Heller, R.A.; Maares, M.; Chillon, T.S.; Witte, H.; Al-Halabi, O.T.; Heene, S.; Younsi, A.; Haubruck, P.; Schomburg, L.; Moghaddam, A.; et al. Total and Free Zinc Dynamics as Biomarkers for Neurological Impairment in Traumatic Spinal Cord Injury. Nutrients 2025, 17, 496. https://doi.org/10.3390/nu17030496
Heller RA, Maares M, Chillon TS, Witte H, Al-Halabi OT, Heene S, Younsi A, Haubruck P, Schomburg L, Moghaddam A, et al. Total and Free Zinc Dynamics as Biomarkers for Neurological Impairment in Traumatic Spinal Cord Injury. Nutrients. 2025; 17(3):496. https://doi.org/10.3390/nu17030496
Chicago/Turabian StyleHeller, Raban Arved, Maria Maares, Thilo Samson Chillon, Hanno Witte, Obada T. Al-Halabi, Stefan Heene, Alexander Younsi, Patrick Haubruck, Lutz Schomburg, Arash Moghaddam, and et al. 2025. "Total and Free Zinc Dynamics as Biomarkers for Neurological Impairment in Traumatic Spinal Cord Injury" Nutrients 17, no. 3: 496. https://doi.org/10.3390/nu17030496
APA StyleHeller, R. A., Maares, M., Chillon, T. S., Witte, H., Al-Halabi, O. T., Heene, S., Younsi, A., Haubruck, P., Schomburg, L., Moghaddam, A., Biglari, B., & Haase, H. (2025). Total and Free Zinc Dynamics as Biomarkers for Neurological Impairment in Traumatic Spinal Cord Injury. Nutrients, 17(3), 496. https://doi.org/10.3390/nu17030496

