Carbohydrate Mouth Rinsing Improves Softball Launch Angle Consistency: A Double-Blind Crossover Study
Abstract
1. Introduction
2. Materials and Methods
2.1. Experimental Design
2.2. Participants
2.3. Sample Size Calculation
2.4. Protocol
2.5. Outcome Measure
2.6. Statistical Analysis
3. Results
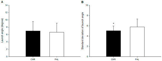
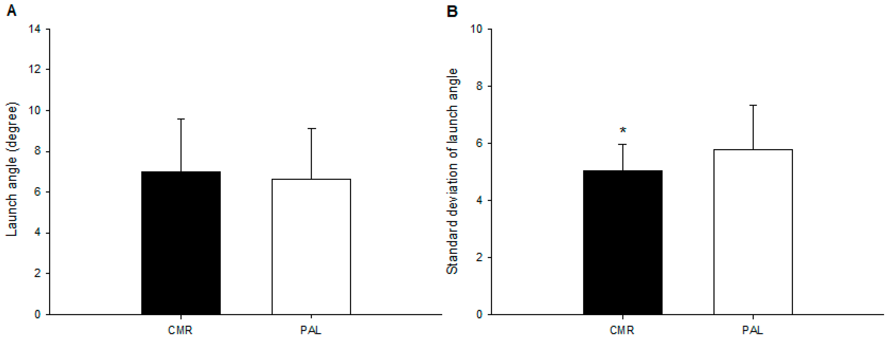
3.1. The Launch Angle and Batting Accuracy
3.2. The Posner Cueing Task
3.3. Grip Strength and Countermovement Jump
3.4. The Exit Velocity
4. Discussion
5. Conclusions
Author Contributions
Funding
Institutional Review Board Statement
Informed Consent Statement
Data Availability Statement
Acknowledgments
Conflicts of Interest
References
- Karelis, A.D.; Smith, J.E.W.; Passe, D.H.; Péronnet, F. Carbohydrate administration and exercise performance. Sports Med. 2010, 40, 747–763. [Google Scholar] [CrossRef]
- Jeukendrup, A.E. Carbohydrate intake during exercise and performance. Nutrition 2004, 20, 669–677. [Google Scholar] [CrossRef] [PubMed]
- Carter, J.M.; Jeukendrup, A.E.; Jones, D.A. The effect of carbohydrate mouth rinse on 1-h cycle time trial performance. Med. Sci. Sports Exerc. 2004, 36, 2107–2111. [Google Scholar] [CrossRef] [PubMed]
- Clarke, N.D.; Hammond, S.; Kornilios, E.; Mundy, P.D. Carbohydrate mouth rinse improves morning high-intensity exercise performance. Eur. J. Sport Sci. 2017, 17, 955–963. [Google Scholar] [CrossRef]
- Decimoni, L.S.; Curty, V.M.; Almeida, L.; Koch, A.J.; Willardson, J.M.; Machado, M. Carbohydrate mouth rinsing improves resistance training session performance. Int. J. Sports Sci. Coach. 2018, 13, 804–809. [Google Scholar] [CrossRef]
- Yang, T.-J.; Shiu, Y.-J.; Chen, C.-H.; Yu, S.-Y.; Hsu, Y.-Y.; Chiu, C.-H. Carbohydrate Mouth Rinses before Exercise Improve Performance of Romanian Deadlift Exercise: A Randomized Crossover Study. Nutrients 2024, 16, 1248. [Google Scholar] [CrossRef]
- Chiu, C.-H.; Chen, C.-H.; Yang, T.-J.; Chou, K.-M.; Chen, B.-W.; Lin, Z.-Y.; Lin, Y.-C. Carbohydrate mouth rinsing decreases fatigue index of taekwondo frequency speed of kick test. J. Physiol. Investig. 2022, 65, 46–50. [Google Scholar] [CrossRef]
- Chambers, E.; Bridge, M.; Jones, D. Carbohydrate sensing in the human mouth: Effects on exercise performance and brain activity. J. Physiol. 2009, 587, 1779–1794. [Google Scholar] [CrossRef] [PubMed]
- Tomporowski, P.D.; Ganio, M.S. Short-term effects of aerobic exercise on executive processing, memory, and emotional reactivity. Int. J. Sport Exerc. Psychol. 2006, 4, 57–72. [Google Scholar] [CrossRef]
- de Salles Painelli, V.; Nicastro, H.; Lancha, A.H. Carbohydrate mouth rinse: Does it improve endurance exercise performance? Nutr. J. 2010, 9, 1–4. [Google Scholar]
- Davis, J.M.; Alderson, N.L.; Welsh, R.S. Serotonin and central nervous system fatigue: Nutritional considerations. Am. J. Clin. Nutr. 2000, 72, 573S–578S. [Google Scholar] [CrossRef] [PubMed]
- Rodrigues Oliveira-Silva, I.G.; Dos Santos, M.P.P.; Learsi da Silva Santos Alves, S.K.; Lima-Silva, A.E.; Araujo, G.G.d.; Ataide-Silva, T. Effect of carbohydrate mouth rinse on muscle strength and muscular endurance: A systematic review with meta-analysis. Crit. Rev. Food Sci. Nutr. 2023, 63, 8796–8807. [Google Scholar] [CrossRef]
- Carrol, A.; Krupp, T.; Tucker, K.; Siekirk, N.J.; Kendall, B.J. The relationship between cognition, preseason hitting assessments, and in-game batting performance in collegiate baseball and softball players. Int. J. Exerc. Sci. 2023, 16, 23. [Google Scholar] [PubMed]
- Szymanski, D.J.; McIntyre, J.S.; Szymanski, J.M.; Bradford, T.J.; Schade, R.L.; Madsen, N.H.; Pascoe, D.D. Effect of torso rotational strength on angular hip, angular shoulder, and linear bat velocities of high school baseball players. J. Strength Cond. Res. 2007, 21, 1117–1125. [Google Scholar]
- Lockie, R.G.; Patron, J.D.; Dawes, J.J.; Viramontes, E. Lower-Body Strength Relationships with Sprint, Jump, and Sport-Specific Skill Performance in High School Girls Softball Players. Int. J. Exerc. Sci. 2024, 17, 86. [Google Scholar]
- Faul, F.; Erdfelder, E.; Lang, A.-G.; Buchner, A. G* Power 3: A flexible statistical power analysis program for the social, behavioral, and biomedical sciences. Behav. Res. Methods 2007, 39, 175–191. [Google Scholar] [CrossRef] [PubMed]
- Rowlatt, G.; Bottoms, L.; Edmonds, C.J.; Buscombe, R. The effect of carbohydrate mouth rinsing on fencing performance and cognitive function following fatigue-inducing fencing. Eur. J. Sport Sci. 2017, 17, 433–440. [Google Scholar] [CrossRef]
- Spaniol, F.; Bonnette, R.; Melrose, D.; Bohling, M. Physiological predictors of bat speed and batted-ball velocity in NCAA Division I baseball players. J. Strength Cond. Res. 2006, 20, e25. [Google Scholar]
- Posner, M.I. Orienting of attention. Q. J. Exp. Psychol. 1980, 32, 3–25. [Google Scholar] [CrossRef]
- Chang, C.-L.; Gan, Y.-C.; Pan, C.-Y.; Tseng, Y.-T.; Wang, T.-C.; Tsai, C.-L. Neurocognitive performance of badminton players at different competitive levels in visuospatial attention tasks. Exp. Brain Res. 2024, 242, 1933–1946. [Google Scholar] [CrossRef]
- Shiu, Y.-J.; Chen, F.-Y.; Chen, C.-H.; Chen, M.-Y.; Lee, W.-C.; Lin, Y.-Z.; Chiu, C.-H. Caffeinated chewing gum improves the batting and pitching performance of female softball players: A randomized crossover study. J. Sports Med. Phys. Fit. 2024, 64, 1118–1126. [Google Scholar] [CrossRef]
- Liu, H.-S.; Liu, C.-C.; Shiu, Y.-J.; Lan, P.-T.; Wang, A.-Y.; Chiu, C.-H. Caffeinated Chewing Gum Improves Basketball Shooting Accuracy and Physical Performance Indicators of Trained Basketball Players: A Double-Blind Crossover Trial. Nutrients 2024, 16, 1256. [Google Scholar] [CrossRef]
- Higuchi, T.; Nagami, T.; Nakata, H.; Watanabe, M.; Isaka, T.; Kanosue, K. Contribution of visual information about ball trajectory to baseball hitting accuracy. PLoS ONE 2016, 11, e0148498. [Google Scholar] [CrossRef] [PubMed]
- Hartley, C.; Carr, A.; Bowe, S.J.; Bredie, W.L.; Keast, R.S. Maltodextrin-based carbohydrate oral rinsing and exercise performance: Systematic review and meta-analysis. Sports Med. 2022, 52, 1833–1862. [Google Scholar] [CrossRef]





Disclaimer/Publisher’s Note: The statements, opinions and data contained in all publications are solely those of the individual author(s) and contributor(s) and not of MDPI and/or the editor(s). MDPI and/or the editor(s) disclaim responsibility for any injury to people or property resulting from any ideas, methods, instructions or products referred to in the content. |
© 2025 by the authors. Licensee MDPI, Basel, Switzerland. This article is an open access article distributed under the terms and conditions of the Creative Commons Attribution (CC BY) license (https://creativecommons.org/licenses/by/4.0/).
Share and Cite
Hsu, T.-Y.; Hsieh, M.-H.; Shiu, Y.-J.; Chiu, C.-H. Carbohydrate Mouth Rinsing Improves Softball Launch Angle Consistency: A Double-Blind Crossover Study. Nutrients 2025, 17, 167. https://doi.org/10.3390/nu17010167
Hsu T-Y, Hsieh M-H, Shiu Y-J, Chiu C-H. Carbohydrate Mouth Rinsing Improves Softball Launch Angle Consistency: A Double-Blind Crossover Study. Nutrients. 2025; 17(1):167. https://doi.org/10.3390/nu17010167
Chicago/Turabian StyleHsu, Tzu-Yuan, Meng-Hung Hsieh, Yi-Jie Shiu, and Chih-Hui Chiu. 2025. "Carbohydrate Mouth Rinsing Improves Softball Launch Angle Consistency: A Double-Blind Crossover Study" Nutrients 17, no. 1: 167. https://doi.org/10.3390/nu17010167
APA StyleHsu, T.-Y., Hsieh, M.-H., Shiu, Y.-J., & Chiu, C.-H. (2025). Carbohydrate Mouth Rinsing Improves Softball Launch Angle Consistency: A Double-Blind Crossover Study. Nutrients, 17(1), 167. https://doi.org/10.3390/nu17010167

