Dietary Flavonoid Intakes in France Are Linked to Brewed Tea Consumption and to Socioeconomic Status: Analyses of the Third French Individual and National Food Consumption (INCA3) Survey for Children and Adults
Abstract
1. Introduction
2. Materials and Methods
2.1. Multiple 24 h Dietary Recalls
2.2. Participant Characteristics
2.3. Consumption of Tea and Beverages
2.4. Flavonoid Databases
2.5. Data Availability and Ethical Approval
2.6. Statistical Analyses
3. Results
3.1. Tea Consumption and Flavonoid Intake by Socio-Demographics
3.2. Distribution of Flavonoid Intake
3.3. Food and Beverage Sources of Dietary Flavonoids
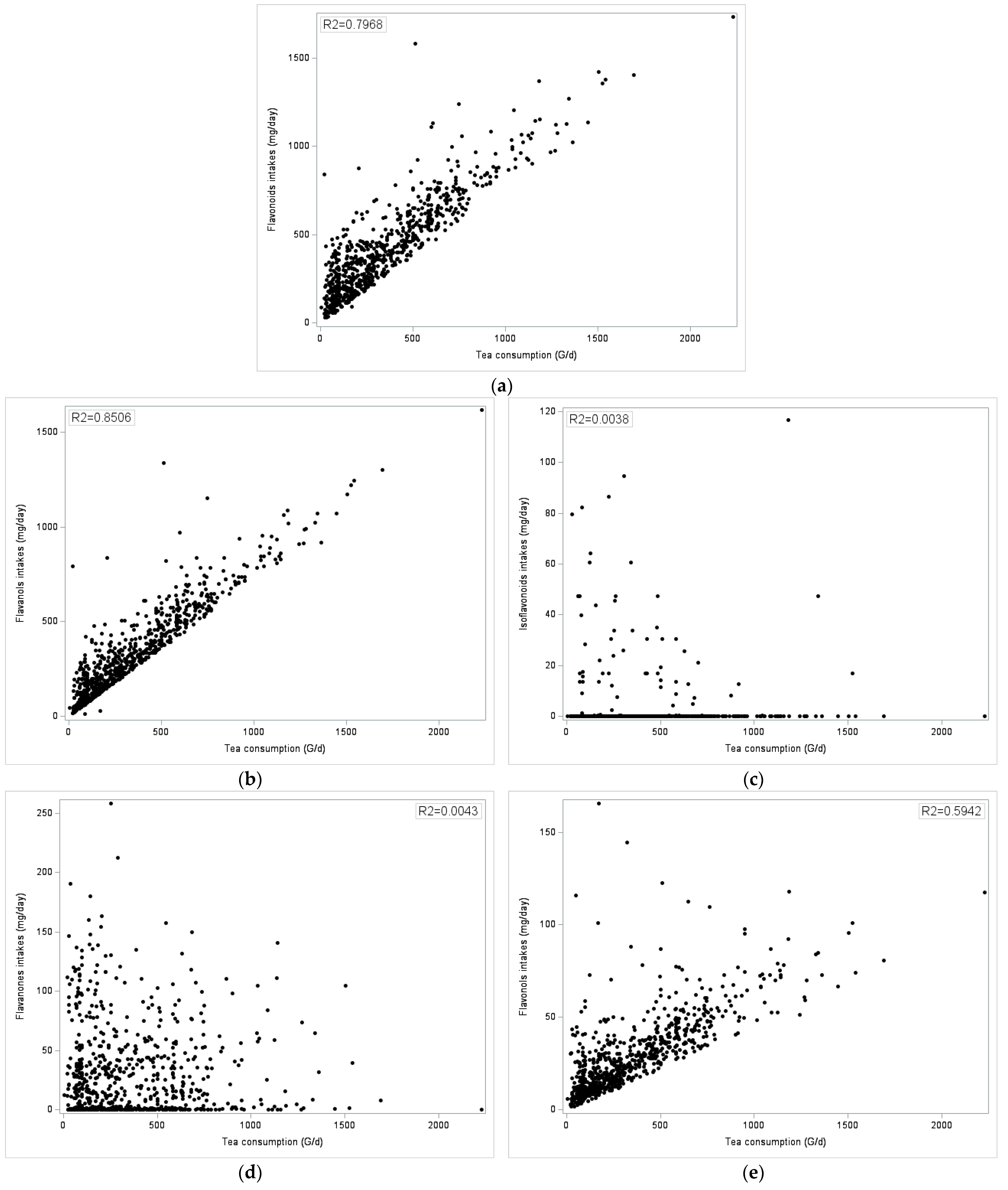
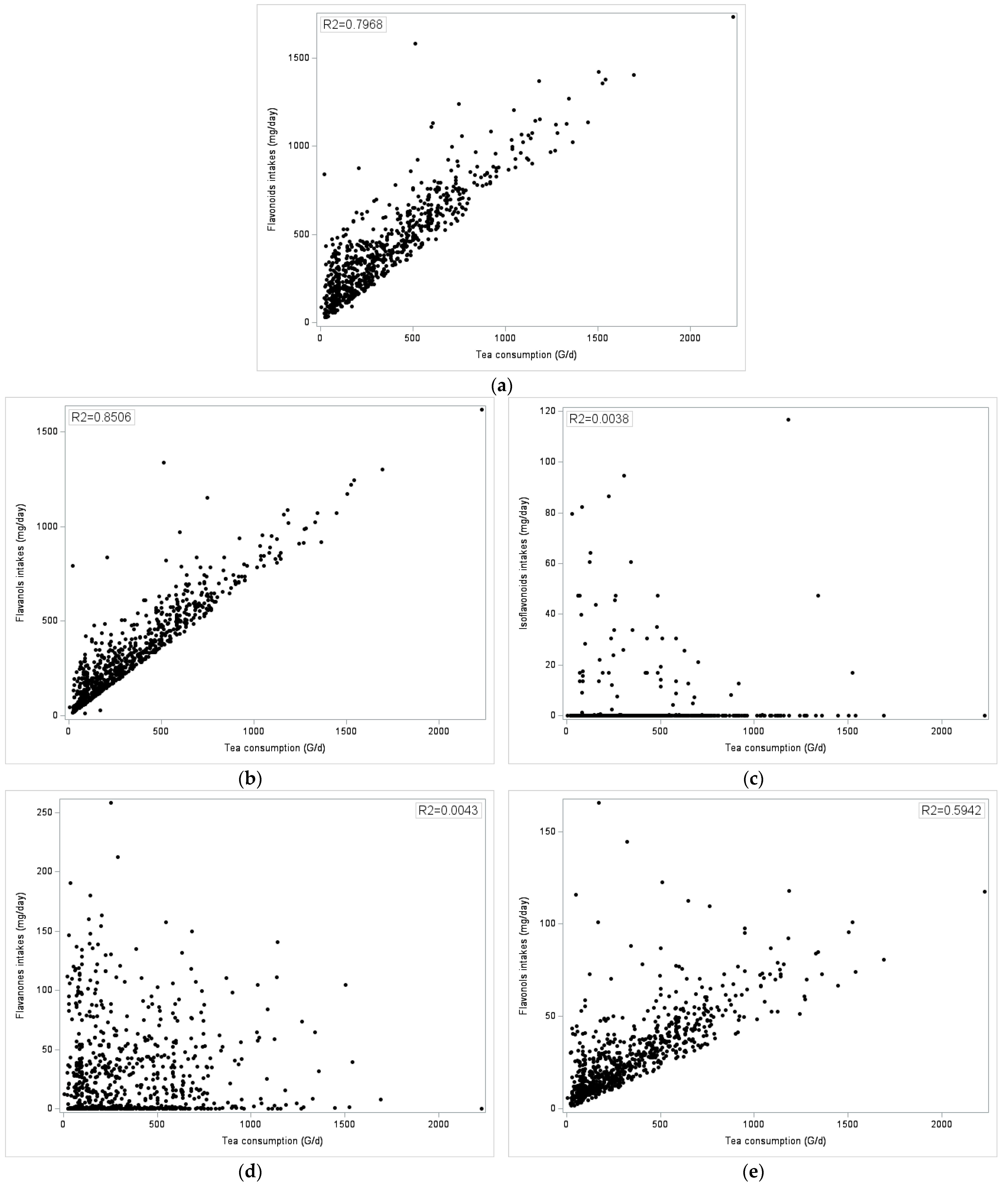
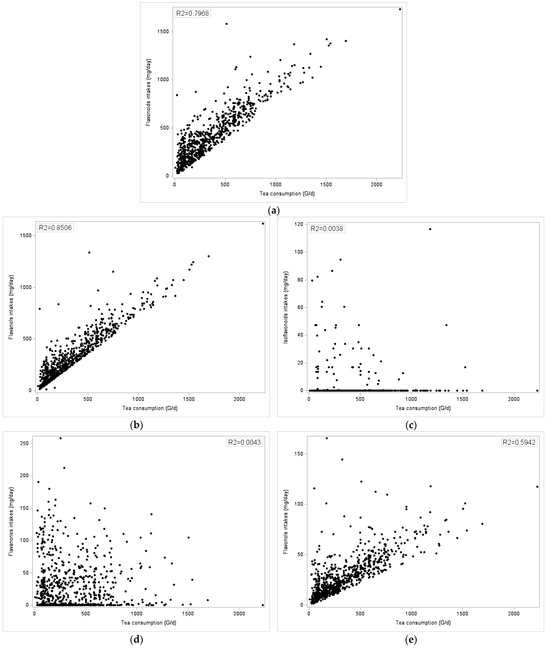
3.4. Brewed Tea as the Main Source of Dietary Flavonoids
4. Discussion
5. Conclusions
Supplementary Materials
Author Contributions
Funding
Institutional Review Board Statement
Informed Consent Statement
Data Availability Statement
Conflicts of Interest
Abbreviations
References
- Vieux, F.; Maillot, M.; Rehm, C.D.; Drewnowski, A. Flavonoid Intakes in the US Diet Are Linked to Higher Socioeconomic Status and to Tea Consumption: Analyses of NHANES 2011–16 Data. J. Nutr. 2020, 150, 2147–2155. [Google Scholar] [CrossRef]
- Sebastian, R.S.; Wilkinson Enns, C.; Goldman, J.D.; Moshfegh, A.J. Dietary Flavonoid Intake Is Inversely Associated with Cardiovascular Disease Risk as Assessed by Body Mass Index and Waist Circumference among Adults in the United States. Nutrients 2017, 9, 827. [Google Scholar] [CrossRef]
- Ivey, K.L.; Hodgson, J.M.; Croft, K.D.; Lewis, J.R.; Prince, R.L. Flavonoid Intake and All-Cause Mortality. Am. J. Clin. Nutr. 2015, 101, 1012–1020. [Google Scholar] [CrossRef]
- Goetz, M.E.; Judd, S.E.; Safford, M.M.; Hartman, T.J.; McClellan, W.M.; Vaccarino, V. Dietary Flavonoid Intake and Incident Coronary Heart Disease: The REasons for Geographic and Racial Differences in Stroke (REGARDS) Study. Am. J. Clin. Nutr. 2016, 104, 1236–1244. [Google Scholar] [CrossRef]
- Bertoia, M.L.; Rimm, E.B.; Mukamal, K.J.; Hu, F.B.; Willett, W.C.; Cassidy, A. Dietary Flavonoid Intake and Weight Maintenance: Three Prospective Cohorts of 124,086 US Men and Women Followed for up to 24 Years. BMJ 2016, 352, i17. [Google Scholar] [CrossRef]
- Williamson, G. The Role of Polyphenols in Modern Nutrition. Nutr. Bull. 2017, 42, 226–235. [Google Scholar] [CrossRef]
- Bai, W.; Wang, C.; Ren, C. Intakes of Total and Individual Flavonoids by US Adults. Int. J. Food Sci. Nutr. 2014, 65, 9–20. [Google Scholar] [CrossRef]
- Vieux, F.; Maillot, M.; Rehm, C.; Drewnowski, A. Tea Consumption Patterns in Relation to Diet Quality among Children and Adults in the United States: Analyses of NHANES 2011-16 Data. Nutrients 2019, 11, 2635. [Google Scholar] [CrossRef]
- Drewnowski, A.; Rehm, C.D. Socioeconomic Gradient in Consumption of Whole Fruit and 100% Fruit Juice among US Children and Adults. Nutr. J. 2015, 14, 3. [Google Scholar] [CrossRef]
- French Agency for Food Environmental and Occupational Health & Safety (ANSES). Consumption Data and Eating Habits from the INCA 3 Study. Available online: https://www.data.gouv.fr/en/datasets/donnees-de-consommations-et-habitudes-alimentaires-de-letude-inca-3/ (accessed on 26 January 2024).
- Neveu, V.; Perez-Jiménez, J.; Vos, F.; Crespy, V.; du Chaffaut, L.; Mennen, L.; Knox, C.; Eisner, R.; Cruz, J.; Wishart, D.; et al. Phenol-Explorer: An Online Comprehensive Database on Polyphenol Contents in Foods. Database 2010, 2010, bap024. [Google Scholar] [CrossRef]
- Rothwell, J.A.; Urpi-Sarda, M.; Boto-Ordoñez, M.; Knox, C.; Llorach, R.; Eisner, R.; Cruz, J.; Neveu, V.; Wishart, D.; Manach, C.; et al. Phenol-Explorer 2.0: A Major Update of the Phenol-Explorer Database Integrating Data on Polyphenol Metabolism and Pharmacokinetics in Humans and Experimental Animals. Database 2012, 2012, bas031. [Google Scholar] [CrossRef]
- Rothwell, J.A.; Perez-Jimenez, J.; Neveu, V.; Medina-Remón, A.; M’hiri, N.; García-Lobato, P.; Manach, C.; Knox, C.; Eisner, R.; Wishart, D.S.; et al. Phenol-Explorer 3.0: A Major Update of the Phenol-Explorer Database to Incorporate Data on the Effects of Food Processing on Polyphenol Content. Database 2013, 2013, bat070. [Google Scholar] [CrossRef]
- Bhagwat, S.; Haytowitz, D.B.; Wasswa-Kintu, S. USDA’s Expanded Flavonoid Database for the Assessment of Dietary Intakes. Available online: https://www.ars.usda.gov/ARSUserFiles/80400535/Data/Flav/FDB-EXP.pdf (accessed on 26 January 2024).
- Bhagwat, S.; Haytowitz, D.B. USDA Database for the Flavonoid Content of Selected Foods Release 3.2. Available online: https://www.ars.usda.gov/ARSUserFiles/80400525/Data/Flav/Flav3.2.pdf (accessed on 26 January 2024).
- Sebastian, R.S.; Enns, C.W.; Goldman, J.D.; Steinfeldt, L.C.; Martin, C.L.; Moshfegh, A.J. Flavonoid Values for USDA Survey Foods and Beverages 2007–2010. Available online: https://www.ars.usda.gov/ARSUserFiles/80400530/pdf/fndds/FlavonoidDB_documentation_0710.pdf (accessed on 26 January 2024).
- Sebastian, R.S.; Wilkinson Enns, C.; Goldman, J.D.; Martin, C.L.; Steinfeldt, L.C.; Murayi, T.; Moshfegh, A.J. A New Database Facilitates Characterization of Flavonoid Intake, Sources, and Positive Associations with Diet Quality among US Adults. J. Nutr. 2015, 145, 1239–1248. [Google Scholar] [CrossRef]
- Slimani, N.; Casagrande, C.; Nicolas, G.; Freisling, H.; Huybrechts, I.; Ocké, M.C.; Niekerk, E.M.; Van Rossum, C.; Bellemans, M.; De Maeyer, M.; et al. The standardized computerized 24-h dietary recall method EPIC-Soft adapted for pan-European dietary monitoring. Eur. J. Clin. Nutr. 2011, 65, S5–S15. [Google Scholar] [CrossRef]
- International Labour Office. International Standard Classification of Occupations: ISCO-08; International Labour Office: Geneva, Switzerland, 2012; Volume 1, ISBN 978-92-2-125953-4. [Google Scholar]
- French Agency for Food, Environmental and Occupational Health & Safety (ANSES). French Individual and National Food Consumption (INCA3). Available online: https://medias.vie-publique.fr/data_storage_s3/rapport/pdf/174000565.pdf (accessed on 26 January 2024).
- Kim, K.; Vance, T.M.; Chun, O.K. Estimated Intake and Major Food Sources of Flavonoids among US Adults: Changes between 1999–2002 and 2007–2010 in NHANES. Eur. J. Nutr. 2016, 55, 833–843. [Google Scholar] [CrossRef]
- Kim, K.; Vance, T.M.; Chun, O.K. Greater Flavonoid Intake Is Associated with Improved CVD Risk Factors in US Adults. Br. J. Nutr. 2016, 115, 1481–1488. [Google Scholar] [CrossRef]
- Kuczmarski, M.F.; Sebastian, R.S.; Goldman, J.D.; Murayi, T.; Steinfeldt, L.C.; Eosso, J.R.; Moshfegh, A.J.; Zonderman, A.B.; Evans, M.K. Dietary Flavonoid Intakes Are Associated with Race but Not Income in an Urban Population. Nutrients 2018, 10, 1749. [Google Scholar] [CrossRef]
- Maras, J.E.; Talegawkar, S.A.; Qiao, N.; Lyle, B.; Ferrucci, L.; Tucker, K.L. Flavonoid Intakes in the Baltimore Longitudinal Study of Aging. J. Food Compos. Anal. 2011, 24, 1103–1109. [Google Scholar] [CrossRef]
- Amiot, M.-J.; Latgé, C.; Plumey, L.; Raynal, S. Intake Estimation of Phytochemicals in a French Well-Balanced Diet. Nutrients 2021, 13, 3628. [Google Scholar] [CrossRef]
- Crowe-White, K.M.; Evans, L.W.; Kuhnle, G.G.C.; Milenkovic, D.; Stote, K.; Wallace, T.; Handu, D.; Senkus, K.E. Flavan-3-ols and Cardiometabolic Health: First Ever Dietary Bioactive Guideline. Adv. Nutr. 2022, 13, 2070–2083. [Google Scholar] [CrossRef]
- Wedick, N.M.; Pan, A.; Cassidy, A.; Rimm, E.B.; Sampson, L.; Rosner, B.; Willett, W.; Hu, F.B.; Sun, Q.; van Dam, R.M. Dietary Flavonoid Intakes and Risk of Type 2 Diabetes in US Men and Women. Am. J. Clin. Nutr. 2012, 95, 925–933. [Google Scholar] [CrossRef]
- Lajous, M.; Rossignol, E.; Fagherazzi, G.; Perquier, F.; Scalbert, A.; Clavel-Chapelon, F.; Boutron-Ruault, M.-C. Flavonoid Intake and Incident Hypertension in Women. Am. J. Clin. Nutr. 2016, 103, 1091–1098. [Google Scholar] [CrossRef]
- Cassidy, A.; Bertoia, M.; Chiuve, S.; Flint, A.; Forman, J.; Rimm, E.B. Habitual Intake of Anthocyanins and Flavanones and Risk of Cardiovascular Disease in Men. Am. J. Clin. Nutr. 2016, 104, 587–594. [Google Scholar] [CrossRef]
- Greyling, A.; Ras, R.T.; Zock, P.L.; Lorenz, M.; Hopman, M.T.; Thijssen, D.H.J.; Draijer, R. The Effect of Black Tea on Blood Pressure: A Systematic Review with Meta-Analysis of Randomized Controlled Trials. PLoS ONE 2014, 9, e103247. [Google Scholar] [CrossRef]
- Mazidi, M.; Katsiki, N.; Banach, M. A Higher Flavonoid Intake Is Associated with Less Likelihood of Nonalcoholic Fatty Liver Disease: Results from a Multiethnic Study. J. Nutr. Biochem. 2019, 65, 66–71. [Google Scholar] [CrossRef]
- Laouali, N.; Berrandou, T.; A Rothwell, J.; Shah, S.; El Fatouhi, D.; Romana Mancini, F.; Boutron-Ruault, M.-C.; Fagherazzi, G. Profiles of Polyphenol Intake and Type 2 Diabetes Risk in 60,586 Women Followed for 20 Years: Results from the E3N Cohort Study. Nutrients 2020, 12, 1934. [Google Scholar] [CrossRef]
- Esposito, S.; Gialluisi, A.; Costanzo, S.; Di Castelnuovo, A.; Ruggiero, E.; De Curtis, A.; Persichillo, M.; Cerletti, C.; Donati, M.B.; de Gaetano, G.; et al. Dietary Polyphenol Intake Is Associated with Biological Aging, a Novel Predictor of Cardiovascular Disease: Cross-Sectional Findings from the Moli-Sani Study. Nutrients 2021, 13, 1701. [Google Scholar] [CrossRef]





| Tea (g/d) | Total Flavonoids (mg/d) | Flavan-3-ols (mg/d) | Flavanones (mg/d) | Flavonols (mg/d) | Flavones (mg/d) | Anthocyanins (mg/d) | Isoflavones (mg/d) | |||||||||||
|---|---|---|---|---|---|---|---|---|---|---|---|---|---|---|---|---|---|---|
| N | Mean | SD | Mean | SD | Mean | SD | Mean | SD | Mean | SD | Mean | SD | Mean | SD | Mean | SD | ||
| Adults | All | 2121 | 106.8 | 220.8 | 210.0 | 213.4 | 146.9 | 186.0 | 29.2 | 42.9 | 15.0 | 16.7 | 2.6 | 3.4 | 15.3 | 30.7 | 1.0 | 7.0 |
| Gender | Men | 887 | 70.1 | 176.7 | 205.5 | 195.1 | 133.6 | 163.2 | 32.9 | 49.3 | 14.8 | 15.9 | 2.8 | 3.7 | 20.6 | 36.9 | 0.8 | 7.2 |
| Women | 1234 | 141.4 | 250.6 | 214.3 | 229.2 | 159.4 | 204.4 | 25.8 | 35.5 | 15.1 | 17.5 | 2.3 | 3.0 | 10.4 | 22.4 | 1.2 | 6.8 | |
| p < 0.0001 | p = 0.4619 | p = 0.0139 | p = 0.0064 | p = 0.7088 | p = 0.0093 | p = 0001 | p = 0.1804 | |||||||||||
| Age | 18–44 y.o. | 783 | 96.2 | 204.5 | 176.9 | 190.5 | 120.4 | 169.6 | 32.4 | 42.9 | 11.8 | 14.7 | 2.9 | 3.5 | 8.6 | 18.6 | 0.7 | 5.2 |
| 45–64 y.o. | 827 | 118.4 | 237.7 | 232.0 | 230.1 | 166.1 | 200.2 | 26.9 | 44.9 | 16.7 | 18.0 | 2.2 | 3.0 | 18.8 | 35.9 | 1.3 | 8.4 | |
| 65–79 y.o. | 511 | 110.6 | 224.3 | 250.8 | 221.0 | 176.1 | 187.0 | 25.7 | 37.7 | 19.7 | 17.4 | 2.5 | 3.5 | 25.6 | 39.3 | 1.3 | 7.7 | |
| p = 0.3339 | p < 0.0001 | p < 0.0001 | p = 0.0886 | p < 0.0001 | p = 0.0096 | p < 0.0001 | p = 0.1940 | |||||||||||
| ICU EUR/m/CU | <900 | 358 | 82.1 | 204.4 | 170.2 | 204.0 | 113.5 | 176.7 | 28.1 | 41.7 | 13.2 | 16.5 | 2.4 | 3.2 | 12.5 | 32.3 | 0.6 | 5.9 |
| [900–1340] | 421 | 89.3 | 187.8 | 178.1 | 186.0 | 125.6 | 159.9 | 25.4 | 36.2 | 12.8 | 15.7 | 2.1 | 2.8 | 11.3 | 25.1 | 0.7 | 5.6 | |
| [1340–1850] | 471 | 123.2 | 243.1 | 243.0 | 230.1 | 171.1 | 204.5 | 33.4 | 44.7 | 16.7 | 17.3 | 3.1 | 3.6 | 17.5 | 31.4 | 1.3 | 7.8 | |
| >=1850 | 708 | 122.3 | 230.5 | 240.6 | 216.8 | 169.6 | 190.2 | 30.2 | 48.8 | 16.7 | 16.6 | 2.7 | 3.8 | 19.9 | 33.3 | 1.4 | 8.0 | |
| Unknown | 163 | 132.1 | 243.3 | 218.4 | 219.3 | 159.8 | 188.9 | 27.6 | 32.9 | 15.4 | 18.1 | 2.2 | 2.6 | 12.2 | 25.1 | 1.1 | 6.8 | |
| p = 0.1287 | p < 0.0001 | p = 0.0010 | p = 0.2076 | p = 0.0152 | p = 0.0059 | p = 0.0029 | p = 0.2525 | |||||||||||
| SPC | Low | 499 | 75.4 | 171.9 | 160.0 | 179.7 | 108.3 | 156.0 | 30.6 | 47.8 | 10.4 | 14.2 | 2.7 | 3.5 | 7.3 | 18.1 | 0.8 | 7.0 |
| Medium | 435 | 142.1 | 262.1 | 226.4 | 238.7 | 168.7 | 209.2 | 21.9 | 35.0 | 16.9 | 18.3 | 2.0 | 2.9 | 15.4 | 33.8 | 1.4 | 8.3 | |
| High | 349 | 149.3 | 251.5 | 265.8 | 222.5 | 189.1 | 200.0 | 34.5 | 41.1 | 17.4 | 16.1 | 2.9 | 3.1 | 21.0 | 30.9 | 0.9 | 5.6 | |
| Not Working | 837 | 91.7 | 206.7 | 215.9 | 209.0 | 146.1 | 180.0 | 30.6 | 43.6 | 16.3 | 17.2 | 2.7 | 3.6 | 19.2 | 35.0 | 1.0 | 6.6 | |
| p = 0.0009 | p < 0.0001 | p < 0.0001 | p = 0.0026 | p < 0.0001 | p = 0.0078 | p < 0.0001 | p = 0.5746 | |||||||||||
| Education BMI (kg/m2) | <12 y | 803 | 69.7 | 175.4 | 174.1 | 183.3 | 116.0 | 152.8 | 25.9 | 39.4 | 13.0 | 15.4 | 2.3 | 3.2 | 16.2 | 35.3 | 0.6 | 5.1 |
| 12 y | 441 | 113.4 | 225.0 | 196.0 | 222.1 | 140.3 | 197.7 | 28.2 | 41.2 | 14.1 | 17.0 | 2.5 | 3.5 | 9.6 | 21.8 | 1.2 | 9.4 | |
| 12–16 y | 448 | 144.2 | 240.6 | 265.4 | 227.7 | 189.5 | 202.7 | 37.3 | 56.6 | 17.7 | 18.5 | 3.1 | 3.9 | 15.8 | 26.1 | 2.0 | 9.2 | |
| ≥16 y | 428 | 169.2 | 283.1 | 273.6 | 241.5 | 200.6 | 219.0 | 31.8 | 36.8 | 18.8 | 17.2 | 2.7 | 3.0 | 18.6 | 28.5 | 1.0 | 5.6 | |
| p < 0.0001 | p < 0.0001 | p < 0.0001 | p = 0.0571 | p = 0.0001 | p = 0.1230 | p < 0.0001 | p = 0.0708 | |||||||||||
| Thin | 53 | 192.4 | 295.2 | 243.8 | 234.5 | 182.7 | 223.5 | 32.3 | 35.4 | 17.4 | 16.6 | 3.7 | 4.2 | 6.2 | 12.4 | 1.4 | 7.0 | |
| Normal | 993 | 127.1 | 232.8 | 223.5 | 221.0 | 161.5 | 197.3 | 30.5 | 44.5 | 15.1 | 16.4 | 2.7 | 3.6 | 12.5 | 23.3 | 1.2 | 6.8 | |
| Overweight | 718 | 94.7 | 217.9 | 211.7 | 216.5 | 144.4 | 181.8 | 27.4 | 41.7 | 16.1 | 18.1 | 2.4 | 3.2 | 20.4 | 38.9 | 0.9 | 7.9 | |
| Obesity | 250 | 73.5 | 177.7 | 180.4 | 191.9 | 122.4 | 160.6 | 26.4 | 38.1 | 12.1 | 12.6 | 2.2 | 2.9 | 16.7 | 32.2 | 0.6 | 5.1 | |
| Morbid obesity | 102 | 41.7 | 116.2 | 131.2 | 113.6 | 73.7 | 100.0 | 35.6 | 52.6 | 11.8 | 18.1 | 2.4 | 3.1 | 6.9 | 21.2 | 0.6 | 5.1 | |
| p < 0.0001 | p < 0.0001 | p < 0.0001 | 0.6749 | 0.0215 | 0.1368 | 0.0005 | 0.4028 | |||||||||||
| Children | All | 1775 | 5.8 | 37.2 | 97.4 | 112.3 | 45.7 | 83.2 | 38.0 | 49.2 | 5.1 | 8.2 | 3.2 | 3.8 | 5.0 | 17.1 | 0.3 | 2.8 |
| N | Total Flavonoids | SD | P5 | P15 | P25 | P50 | P75 | P85 | P95 | ||
|---|---|---|---|---|---|---|---|---|---|---|---|
| Adults | All | 2121 | 210.0 | 213.4 | 4.9 | 29.7 | 58.1 | 138.9 | 298.9 | 426.8 | 634.8 |
| Gender | Men | 887 | 205.5 | 195.1 | 4.9 | 35.1 | 62.2 | 142.8 | 308.3 | 395.1 | 566.1 |
| Women | 1234 | 214.3 | 229.2 | 4.0 | 27.1 | 53.8 | 131.0 | 292.7 | 440.6 | 691.5 | |
| Age * | 18–44 y.o. | 783 | 176.9 | 190.5 | 3.0 | 23.0 | 48.0 | 111.8 | 231.3 | 355.5 | 577.6 |
| 45–64 y.o. | 827 | 232.0 | 230.1 | 3.9 | 31.0 | 62.0 | 156.2 | 350.1 | 440.6 | 640.5 | |
| 65–79 y.o. | 511 | 250.8 | 221.0 | 17.8 | 48.6 | 86.3 | 177.8 | 364.3 | 471.4 | 710.1 | |
| ICU * | <900 EUR/m/CU | 358 | 170.2 | 204.0 | 1.2 | 13.4 | 35.7 | 101.6 | 206.2 | 366.5 | 555.0 |
| [900–1340] EUR/m/CU | 421 | 178.1 | 186.0 | 2.7 | 17.7 | 44.5 | 109.6 | 266.9 | 373.6 | 551.7 | |
| [1340–1850] EUR/m/CU | 471 | 243.0 | 230.1 | 8.7 | 45.0 | 72.1 | 187.2 | 362.2 | 439.5 | 711.4 | |
| >=1850 EUR/m/CU | 708 | 240.6 | 216.9 | 18.4 | 54.8 | 83.4 | 174.5 | 342.5 | 454.4 | 652.6 | |
| Unknown | 163 | 218.4 | 219.3 | 6.9 | 34.5 | 49.6 | 133.3 | 328.2 | 519.5 | 653.4 | |
| SPC * | Low | 499 | 160.0 | 179.7 | 1.5 | 15.2 | 41.5 | 98.8 | 217.6 | 299.8 | 546.8 |
| Medium | 435 | 226.4 | 238.7 | 3.7 | 17.6 | 54.8 | 138.9 | 357.5 | 440.6 | 757.1 | |
| High | 349 | 265.8 | 222.5 | 17.5 | 59.8 | 100.2 | 206.6 | 390.1 | 522.5 | 653.4 | |
| Not Working | 837 | 215.9 | 209.0 | 12.4 | 39.3 | 66.7 | 141.0 | 306.9 | 423.8 | 651.3 | |
| Education * | <12 y | 803 | 174.1 | 183.3 | 3.6 | 20.6 | 48.6 | 107.0 | 241.2 | 364.3 | 543.0 |
| 12 y | 441 | 196.0 | 222.1 | 1.6 | 13.8 | 41.6 | 120.1 | 271.6 | 387.1 | 689.0 | |
| 12–16 y | 448 | 265.4 | 227.7 | 16.5 | 56.4 | 88.9 | 207.6 | 381.4 | 466.1 | 699.8 | |
| ≥16 y | 428 | 273.6 | 241.5 | 15.8 | 65.5 | 107.4 | 208.3 | 368.6 | 526.8 | 654.7 | |
| BMI * | Thin | 53 | 243.8 | 234.5 | 11.6 | 39.0 | 70.6 | 160.4 | 496.0 | 566.1 | 626.2 |
| Normal | 993 | 223.5 | 221.0 | 8.3 | 36.4 | 62.5 | 145.3 | 325.1 | 447.3 | 654.7 | |
| Overweight | 718 | 211.7 | 216.5 | 3.7 | 31.8 | 59.0 | 138.9 | 311.3 | 397.9 | 621.0 | |
| Obesity | 250 | 180.4 | 191.9 | 2.1 | 17.8 | 34.5 | 129.7 | 271.6 | 335.9 | 607.9 | |
| Morbid obesity | 102 | 131.2 | 113.6 | 1.1 | 15.8 | 51.5 | 107.0 | 182.5 | 254.9 | 324.8 | |
| Children | All | 1775 | 97.4 | 112.3 | 1.6 | 18.1 | 33.7 | 70.0 | 127.0 | 169.5 | 269.3 |
| Quantity (g/d) | Total Flavonoids (mg/d) | Flavan-3-ols (mg/d) | Flavanones (mg/d) | Flavonols (mg/d) | Flavones (mg/d) | Anthocyanins (mg/d) | Isoflavones (mg/d) | |
|---|---|---|---|---|---|---|---|---|
| Mean (SD) | Mean (SD) | Mean (SD) | Mean (SD) | Mean (SD) | Mean (SD) | Mean (SD) | Mean (SD) | |
| Brewed tea | 106.8 (220.8) | 82.8 (171.4) | 77.2 (159.9) | 0.0 (0.0) | 5.7 (11.7) | 0.0 (0.0) | 0.0 (0.0) | 0.0 (0.0) |
| Fruits, nuts, and seeds | 147.1 (139.8) | 46.4 (69.8) | 29.7 (48.8) | 7.8 (22.9) | 2.0 (3.3) | 0.3 (0.7) | 6.6 (21.2) | 0.0 (0.0) |
| Alcoholic beverages | 128.4 (247.4) | 25.9 (64.5) | 15.3 (37.7) | 0.2 (0.4) | 1.8 (4.4) | 0.0 (0.0) | 8.6 (21.9) | 0.0 (0.0) |
| Fruit and vegetable juices | 66.0 (102.1) | 23.2 (40.5) | 0.0 (0.0) | 21.0 (37.4) | 0.3 (0.6) | 1.9 (3.0) | 0.0 (0.0) | 0.0 (0.0) |
| Chocolate confectionery | 6.7 (14.8) | 14.6 (43.5) | 14.3 (42.3) | 0.0 (0.0) | 0.4 (1.2) | 0.0 (0.0) | 0.0 (0.0) | 0.0 (0.0) |
| Dairy products and substitutes | 251.6 (217.6) | 7.9 (32.7) | 6.9 (32.0) | 0.0 (0.0) | 0.1 (0.1) | 0.0 (0.0) | 0.0 (0.0) | 0.9 (6.6) |
| Vegetables | 136.2 (113.8) | 4.5 (9.6) | 0.1 (0.4) | 0.2 (0.5) | 4.1 (9.4) | 0.1 (0.3) | 0.0 (0.1) | 0.0 (0.0) |
| Coffee and herbal teas | 340.0 (316.5) | 3.1 (23.2) | 3.1 (23.2) | 0.0 (0.0) | 0.0 (0.0) | 0.0 (0.0) | 0.0 (0.0) | 0.0 (0.0) |
| Legumes | 7.9 (25.3) | 0.5 (1.9) | 0.1 (0.4) | 0.0 (0.0) | 0.4 (1.7) | 0.0 (0.1) | 0.0 (0.0) | 0.0 (0.0) |
| Potatoes and other tubers | 55.8 (80.6) | 0.4 (0.8) | 0.0 (0.0) | 0.0 (0.0) | 0.4 (0.8) | 0.0 (0.0) | 0.0 (0.0) | 0.0 (0.0) |
| Condiments, spices, and sauces | 24.3 (29.1) | 0.3 (1.4) | 0.0 (0.0) | 0.0 (0.0) | 0.0 (0.1) | 0.2 (1.4) | 0.0 (0.0) | 0.0 (0.0) |
| Sugar, honey, jam, syrup | 19.4 (22.3) | 0.2 (0.4) | 0.1 (0.2) | 0.0 (0.0) | 0.0 (0.0) | 0.0 (0.0) | 0.1 (0.2) | 0.0 (0.0) |
| Meat, meat products, substitutes | 106.4 (75.0) | 0.1 (1.2) | 0.0 (0.0) | 0.0 (0.0) | 0.0 (0.0) | 0.0 (0.0) | 0.0 (0.0) | 0.1 (1.2) |
| Carbonated soft isotonic drinks | 99.8 (216.9) | 0.0 (0.1) | 0.0 (0.1) | 0.0 (0.0) | 0.0 (0.0) | 0.0 (0.0) | 0.0 (0.0) | 0.0 (0.0) |
| Cereals and cereal products | 190.0 (118.8) | 0.0 (0.1) | 0.0 (0.0) | 0.0 (0.0) | 0.0 (0.1) | 0.0 (0.1) | 0.0 (0.0) | 0.0 (0.0) |
| Fats and oils | 14.50 (13.3) | 0.0 (0.0) | 0.0 (0.0) | 0.0 (0.0) | 0.0 (0.0) | 0.0 (0.0) | 0.0 (0.0) | 0.0 (0.0) |
| Miscellaneous | 1.6 (13.8) | 0.0 (0.1) | 0.0 (0.0) | 0.0 (0.0) | 0.0 (0.0) | 0.0 (0.0) | 0.0 (0.0) | 0.0 (0.1) |
| TOTAL | 1703 | 210.0 | 146.9 | 29.2 | 15.0 | 2.6 | 15.3 | 1.0 |
| Quantity (g/d) | Total Flavonoids (mg/d) | Flavan-3-ols (mg/d) | Flavanones (mg/d) | Flavonols (mg/d) | Flavones (mg/d) | Anthocyanins (mg/d) | Isoflavonoids (mg/d) | |
|---|---|---|---|---|---|---|---|---|
| Mean (SD) | Mean (SD) | Mean (SD) | Mean (SD) | Mean (SD) | Mean (SD) | Mean (SD) | Mean (SD) | |
| Fruit and vegetable juices | 103.5 (123.1) | 38.2 (50.9) | 0.0 (0.0) | 34.9 (47.2) | 0.4 (0.7) | 2.9 (3.7) | 0.0 (0.0) | 0.0 (0.0) |
| Fruits, nuts, and seeds | 110.6 (99.4) | 26.3 (44.4) | 17.0 (29.0) | 3.0 (11.1) | 1.1 (1.9) | 0.2 (0.5) | 5.0 (17.0) | 0.0 (0.0) |
| Dairy products and substitutes | 364.8 (228.1) | 12.6 (22.5) | 12.2 (22.2) | 0.0 (0.0) | 0.1 (0.2) | 0.0 (0.0) | 0.0 (0.0) | 0.3 (2.5) |
| Chocolate confectionery | 13.0 (21.5) | 12.3 (72.3) | 12.0 (70.6) | 0.0 (0.0) | 0.3 (1.9) | 0.0 (0.0) | 0.0 (0.0) | 0.0 (0.0) |
| Brewed tea | 5.8 (37.2) | 4.4 (28.6) | 4.1 (26.7) | 0.0 (0.0) | 0.3 (1.9) | 0.0 (0.0) | 0.0 (0.0) | 0.0 (0.0) |
| Vegetables | 79.7 (73.0) | 2.6 (6.7) | 0.0 (0.2) | 0.2 (0.4) | 2.3 (6.5) | 0.1 (0.1) | 0.0 (0.2) | 0.0 (0.0) |
| Legumes | 4.7 (15.7) | 0.3 (1.2) | 0.1 (0.2) | 0.0 (0.0) | 0.2 (1.1) | 0.0 (0.0) | 0.0 (0.0) | 0.0 (0.0) |
| Potatoes and other tubers | 52.7 (55.3) | 0.3 (0.4) | 0.0 (0.0) | 0.0 (0.0) | 0.3 (0.4) | 0.0 (0.0) | 0.0 (0.0) | 0.0 (0.0) |
| Coffee and herbal teas | 11.9 (57.2) | 0.2 (2.7) | 0.2 (2.7) | 0.0 (0.0) | 0.0 (0.0) | 0.0 (0.0) | 0.0 (0.0) | 0.0 (0.0) |
| Condiments, spices, and sauces | 20.3 (28.0) | 0.1 (0.3) | 0.0 (0.0) | 0.0 (0.0) | 0.0 (0.0) | 0.1 (0.3) | 0.0 (0.0) | 0.0 (0.0) |
| Sugar, honey, jam, syrup | 7.1 (12.9) | 0.1 (0.2) | 0.0 (0.1) | 0.0 (0.0) | 0.0 (0.0) | 0.0 (0.0) | 0.0 (0.1) | 0.0 (0.0) |
| Meat, meat products, and substitutes | 85.5 (54.8) | 0.1 (1.0) | 0.0 (0.0) | 0.0 (0.0) | 0.0 (0.0) | 0.0 (0.0) | 0.0 (0.0) | 0.1 (1.0) |
| Carbonated soft isotonic drinks | 121.0 (176.7) | 0.0 (0.0) | 0.0 (0.0) | 0.0 (0.0) | 0.0 (0.0) | 0.0 (0.0) | 0.0 (0.0) | 0.0 (0.0) |
| Miscellaneous | 1.2 (10.7) | 0.0 (0.4) | 0.0 (0.0) | 0.0 (0.0) | 0.0 (0.0) | 0.0 (0.0) | 0.0 (0.0) | 0.0 (0.4) |
| Alcoholic beverages | 2.0 (20.0) | 0.0 (0.1) | 0.0 (0.1) | 0.0 (0.0) | 0.0 (0.0) | 0.0 (0.0) | 0.0 (0.0) | 0.0 (0.0) |
| Cereals and cereal products | 158.1 (103.8) | 0.0 (0.0) | 0.0 (0.0) | 0.0 (0.0) | 0.0 (0.0) | 0.0 (0.0) | 0.0 (0.0) | 0.0 (0.0) |
| Fats and oils | 8.4 (8.2) | 0.0 (0.0) | 0.0 (0.0) | 0.0 (0.0) | 0.0 (0.0) | 0.0 (0.0) | 0.0 (0.0) | 0.0 (0.0) |
| TOTAL | 1150 | 97.4 | 45.7 | 38.0 | 5.1 | 3.2 | 5.0 | 0.3 |
| ADULTS | Tea Non-Consumers (N = 1363) | Tea Consumers (N = 758) | p-Value (Unadjusted) | p-Value Adjusted ** |
|---|---|---|---|---|
| Total flavonoids (mg) | 128.0 | 385.4 | <0.0001 | <0.0001 |
| Flavan-3-ols (mg) | 69.4 | 312.6 | <0.0001 | <0.0001 |
| Flavanones (mg) | 29.5 | 28.7 | 0.7349 | 0.7696 |
| Flavonols (mg) | 9.5 | 26.7 | <0.0001 | <0.0001 |
| Flavones (mg) | 2.6 | 2.5 | 0.6157 | 0.8952 |
| Anthocyanins (mg) | 16.3 | 13.4 | 0.1535 | 0.1095 |
| Isoflavones (mg) | 0.7 | 1.6 | 0.0123 | 0.2172 |
Disclaimer/Publisher’s Note: The statements, opinions and data contained in all publications are solely those of the individual author(s) and contributor(s) and not of MDPI and/or the editor(s). MDPI and/or the editor(s) disclaim responsibility for any injury to people or property resulting from any ideas, methods, instructions or products referred to in the content. |
© 2024 by the authors. Licensee MDPI, Basel, Switzerland. This article is an open access article distributed under the terms and conditions of the Creative Commons Attribution (CC BY) license (https://creativecommons.org/licenses/by/4.0/).
Share and Cite
Vieux, F.; Maillot, M.; Drewnowski, A. Dietary Flavonoid Intakes in France Are Linked to Brewed Tea Consumption and to Socioeconomic Status: Analyses of the Third French Individual and National Food Consumption (INCA3) Survey for Children and Adults. Nutrients 2024, 16, 1118. https://doi.org/10.3390/nu16081118
Vieux F, Maillot M, Drewnowski A. Dietary Flavonoid Intakes in France Are Linked to Brewed Tea Consumption and to Socioeconomic Status: Analyses of the Third French Individual and National Food Consumption (INCA3) Survey for Children and Adults. Nutrients. 2024; 16(8):1118. https://doi.org/10.3390/nu16081118
Chicago/Turabian StyleVieux, Florent, Matthieu Maillot, and Adam Drewnowski. 2024. "Dietary Flavonoid Intakes in France Are Linked to Brewed Tea Consumption and to Socioeconomic Status: Analyses of the Third French Individual and National Food Consumption (INCA3) Survey for Children and Adults" Nutrients 16, no. 8: 1118. https://doi.org/10.3390/nu16081118
APA StyleVieux, F., Maillot, M., & Drewnowski, A. (2024). Dietary Flavonoid Intakes in France Are Linked to Brewed Tea Consumption and to Socioeconomic Status: Analyses of the Third French Individual and National Food Consumption (INCA3) Survey for Children and Adults. Nutrients, 16(8), 1118. https://doi.org/10.3390/nu16081118

