Abstract
Background/Objectives: The diverse effects of fructose and glucose on the progression of metabolic dysfunction-associated steatotic liver disease remain uncertain. This study investigated the effects, in animal models, of high-fat diets (HFDs) supplemented with either glucose or fructose. Methods: Six-week-old, male C57BL/6J mice were randomly allocated to four groups: normal diet (ND), HFD, HFD supplemented with fructose (30% w/v, HFD + Fru), and HFD supplemented with glucose (initially 30%, HFD + Glu). After 24 weeks, liver and plasma samples were gathered for analysis. In addition, 39 patients with obesity undergoing bariatric surgery with wedge liver biopsy were enrolled in the clinical study. Results: The HFD + Glu group consumed more water than did the HFD and HFD + Fru groups. Thus, we reduced the glucose concentration from 30% at baseline to 15% at week 2 and 10% starting from week 6. The HFD + Fru and HFD + Glu groups had a similar average caloric intake (p = 0.463). The HFD increased hepatic steatosis, plasma lipid levels, lipogenic enzymes, steatosis-related oxidative stress, hepatic inflammation, and early-stage liver fibrosis. Supplementation with fructose or glucose exacerbated liver damage, but no significant differences were identified between the two. The expression patterns of hepatic ceramides in HFD-fed mice (with or without supplemental fructose or glucose) were similar to those observed in patients with obesity and severe hepatic steatosis or metabolic dysfunction–associated steatohepatitis. Conclusions: Fructose and glucose similarly exacerbated liver damage when added to an HFD. Ceramides may be involved in the progression of hepatic lipotoxicity.
1. Introduction
The prevalence of nonalcoholic fatty liver disease (NAFLD) is escalating, and the condition has become a significant public health issue. Nonalcoholic steatohepatitis (NASH), the aggressive form of NAFLD, has evolved to be the fastest-growing reason for liver transplantation in both America [1] and Europe [2]. Histologically, NAFLD is characterized by the storing of triglyceride fat droplets > 5% of the liver parenchyma [3]. NAFLD manifests a series of hepatic injuries, progressing from simple steatosis to NASH, which involves hepatic necroinflammation and fibrosis, and potentially advancing to liver cirrhosis and hepatocellular carcinoma [4]. The term metabolic dysfunction-associated steatotic liver disease (MASLD) was introduced to better describe the clinical manifestations of cardiometabolic criteria in patients with fatty liver disease in 2023 [5]. Furthermore, metabolic dysfunction-associated steatohepatitis (MASH) has been proposed as a replacement for NASH.
Hepatic steatosis and lipotoxicity are key contributors to the progression of MASLD [6]. The severity of liver disease in patients with MASH is connected to elevated levels of saturated fatty acids [7]. Additional factors that can induce hepatic inflammation and fibrosis include inflammatory cytokines, mitochondrial dysfunction, adipokines, endoplasmic reticulum stress, and oxidative stress [8]. The “multiple-hit pathogenesis” has now replaced the “two-hit hypothesis” model [6]. Sugar-sweetened beverages, which constitute the most significant origin of added sweetening in food (accounting for 15% of total energy intake), substantially lead to the occurrence and progression of MASLD [9]. Glucotoxicity and lipotoxicity are critical factors in the progression of MASLD [6]. Carbohydrates play a crucial role in this process as the primary infrastructure for hepatic de novo lipogenesis (DNL) [10]. Excessive consumption of free sugars is highly associated with the incidence and worsening of MASLD [9,11,12]. However, whether different types of sugars, such as glucose and fructose, have diverse effects on MASLD progression remains unclear. Human interventional studies comparing the effects of fructose and glucose on hepatic fat accumulation and insulin resistance have not reported significant differences [13,14,15]. Thus, the debate over the distinct effects of glucose and fructose on MASLD deterioration continues.
Ceramides, which are components of sphingolipids, are lipotoxic lipids. Sphingolipids are essential constituents of cell membranes and function as potent signaling molecules that regulate diverse cellular processes. Hydrolysis of sphingomyelins is the primary source of ceramide, and ceramide can also come from the re-acylation of sphingosine (salvage pathway) and the synthesis of serine and palmitoyl-CoA (de novo synthesis) [16]. Increased levels of total hepatic ceramides, including C16:0, C22:0, and C24:1 dihydroceramides, were observed in patients with MASH [17]. These ceramides are key mediators of saturated fatty acid lipotoxicity [18]. In addition, diet-induced MASLD mice fed a Western diet combined with sugar water exhibited hepatic steatosis along with increased levels of hepatic ceramides [19].
The aim of this study is to investigate the differential effects of fructose and glucose on the progression of MASLD in animal models fed a high-fat diet (HFD) supplemented with either glucose or fructose. In addition, this study examined the expression of ceramides in both these animal models and in humans with obesity.
2. Materials and Methods
2.1. Animal Protocol
We purchased 5-week-old male C57BL/6J mice from the National Laboratory Animal Center (Taipei, Taiwan) and bred the mice in the Animal Center of China Medical University. The mice were randomly allocated to four groups (n = 12 per group) after a 1-week acclimation period. The mice were retained at 22 °C and had free access to food and water in a 12-h light–dark cycle during the acclimation. The mice were separated into four groups: normal diet [ND] and three HFD subgroups after acclimation. The ND group was fed a chow diet (D12450J, Research Diets, New Brunswick, NJ, USA), and the HFD group was fed an HFD (D12492, Research Diets) for 24 weeks. The chow diet consisted of 20% protein, 10% fat, and 70% carbohydrates (125 g Lodex 10 and 72.8 g sucrose in total 773.85 g chow diet) and had an energy density of 3.82 kcal/g; the HFD consisted of 20% protein, 27% fat (24.5% lard and 2.5% soybean oil), and 20% carbohydrates, and had an energy density of 5.21 kcal/g (60% energy from fat). The mice in the HFD group received either tap water (HFD group), 30% (w/v) fructose in water (HFD + Fru group), or 30% glucose in water (HFD + Glu group) [20]. The mice were weighed weekly. Metabolic parameters were measured at the Institutional Animal Care Facility of China Medical University in vivo. The Institutional Animal Care and Use Committee of China Medical University approved this animal study (CMUIACUC-2020-071) on 30 December 2019, following the Guide for the Care and Use of Laboratory Animals published by the National Academy of Sciences (USA).
The animals were fasted overnight after 24 weeks of feeding, and they were anesthetized with isoflurane and then sacrificed by guillotine. Blood was obtained from the tail vein before sacrifice. Plasma samples were gathered from the blood supernatant centrifuged at 3000× g for 10 min at 4 °C and reserved at −80 °C until analysis. The liver was rapidly removed, the weight was measured following ice-cold phosphate-buffered saline perfusion, and then aliquoted. Portions of the liver were snap-frozen in liquid nitrogen and saved at −80 °C for further investigation. A section of the liver was also embedded in 10% formalin for pathological examination.
2.2. Biochemical Analysis
Alanine aminotransferase (ALT), triglycerides, total cholesterol, high-density lipoprotein cholesterol (HDL-C), and low-density lipoprotein cholesterol (LDL-C) in the plasma were measured by Diasys kits (Holzheim, Germany). Glucose and insulin levels were measured by Randox (Kearneysville, WV, USA) and Mercodia kits (Uppsala, Sweden), respectively, in accordance with the producer’s instructions. Homeostasis model assessment of insulin resistance (HOMA-IR) was performed by following the formula to measure insulin resistance [21]:
HOMA-IR = insulin (μU/mL) × glucose (mg/dL)/405
2.3. Histological Analyses
Liver samples were fixed overnight in 4% formaldehyde and then implanted in paraffin for sectioning. The staining of hematoxylin and eosin was performed on the liver sections to evaluate general tissue morphology. Masson’s trichrome staining was performed to assess the degree of hepatic fibrosis. A light microscope (Leica DMi8, Wetzlar, Germany) gathered histological images of tissue sections. For quantitative analysis, seven fields of interest were randomly selected per slide, and the average values from these fields were calculated for each slide. The severity of liver steatosis, presence of MASH, and severity of hepatic fibrosis were evaluated in accordance with the criteria established by the NASH Clinical Research Network (CRN) [22].
2.4. Real-Time Quantitative Polymerase Chain Reaction
Reverse transcription of 1 μg of total RNA isolated using TRIzol (Invitrogen, Carlsbad, CA, USA) synthesized complementary DNA (cDNA), which was purified by the Aurum Total RNA Fatty and Fibrous Tissue Kit (Bio-Rad, Hercules, CA, USA). Table S1 lists the primer sequences used in real-time quantitative polymerase chain reactions (qPCRs). Quantitative gene expression was examined using a real-time thermocycler (MiniOpticon, Bio-Rad, Hercules, CA, USA). The calculation of 2−ΔΔCt formula was performed to identify each mRNA’s relative expression levels, and glyceraldehyde-3-phosphate dehydrogenase mRNA served as the reference [23].
2.5. Western Blot in Animal and In Vitro Studies
Tissues were lysed, and protein extracts were prepared as described elsewhere [24]. Equal amounts of protein from the liver homogenates of each group were separated through electrophoresis by using sodium dodecyl sulfate–polyacrylamide gels and subsequently transferred onto polyvinylidene difluoride membranes (Millipore, Billerica, MA, USA). The 5% nonfat dry milk in Tris (15 mM)/NaCl (150 mM) buffer (pH 7.4) was used to block the membranes at room temperature for 2 h. After blocking, the membranes were immersed with appropriate primary antibodies, followed by horseradish peroxidase-conjugated secondary antibodies. An enhanced chemiluminescence kit (Bio Kit, Miaoli, Taiwan) was used, and a luminescence image analyzer (Fuji Film LAS-4000, Tokyo, Japan) scanned and visualized the protein bands [25]. The intensities of the bands of interest were measured using Image J (1.50d, National Institute of Mental Health, Bethesda, MD, USA).
2.6. Determination of Lipid Peroxidation in the Liver
Liver homogenates (prepared as 10% w/v of liver tissue in 1.15% KCl) were centrifuged at 10,000× g for 15 min at 4 °C. Measurement of lipid peroxide levels was detected by thiobarbituric acid-reactive substance (TBARS) values in the resulting supernatant following the method described previously [26].
2.7. Analysis of Sphingolipids
Liver specimens were frozen at −80 °C until use. The samples were homogenized by grinding in a mortar with liquid nitrogen before extraction. For lipid extraction, we followed the procedure reported by Bligh and Dyer [27] with some modifications. Sphingolipids were analyzed using an Agilent 1290 ultra-high-performance liquid chromatography system coupled with an Agilent 6460 triple quadrupole liquid chromatograph–mass spectrometer (LC–MS; Agilent Technologies, Santa Clara, CA, USA). Separations were performed on an Agilent Eclipse Plus C18 column (100 × 2.1 mm, 1.8 μm; Agilent Technologies). The mobile phase consisted of solvent A (water, methanol, and formic acid in a 40:60:0.2 ratio [v/v] with 10 mM ammonium acetate) and solvent B (LC–MS-grade isopropanol, methanol, and formic acid in a 40:60:0.2 ratio [v/v] with 10 mM ammonium acetate). The flow rate was set at 0.35 mL/min. The gradient elution program was performed in the following way: 0–2 min linear gradient from 35% to 80% solvent B; 2–7 min linear gradient from 80% to 100% solvent B, and hold at 100% solvent B for 7 min. Sphingolipids were analyzed using electrospray ionization in positive ion mode with the following parameters: dry gas flow rate, 7 L/min; dry gas temperature, 325 °C; sheath gas temperature, 325 °C; nebulizer pressure, 35 psi; capillary voltage, 3500 V; sheath gas flow rate, 11 L/min; and nozzle voltage, 500 V. Sphingolipids were measured in the precursor ion scan mode by scanning the product ions of m/z 636.6 to 264.3 for ceramides (longer carbon chain with higher initial m/z). Multiple reaction monitoring modes were used to confirm sphingolipids and other single-chain sphingolipids further. An internal standard solution containing 100 ng/mL C18 ceramide-d7 (d18:1-d7/18:0) was prepared in methanol/chloroform (2:1, v/v) [28,29].
2.8. Chemicals
Fetal bovine serum was obtained from Gibco Laboratory (Grand Island, NY, USA). The following antibodies were applied in the study: sterol regulatory element-binding protein (SREBP)-1c (NB600−582) from Novus (Littleton, CO, USA); acetyl-CoA carboxylase (ACC, #3676), fatty acid synthase (FAS, #3180), and glutamate–cysteine ligase catalytic subunit (GCLC, ab41463) from Abcam (Cambridge, MA, USA); glutamate–cysteine ligase modifier subunit (GCLM, sc22754) and C/EBP homologous protein (CHOP, sc-61) from Santa Cruz (Santa Cruz, CA, USA); phosphorylated nuclear factor-erythroid 2 (pNrf2, PA5-67520) from Invitrogen (Carlsbad, CA, USA); peroxisome proliferator-activated receptor (PPAR-α, #2443) from Cell Signaling (Danvers, MA, USA); superoxide dismutase 2 (SOD-2, #06-984) and heme oxygenase 1 (HO-1, #374090) from Merck Millipore (Billerica, MA, USA); glutathione peroxidase 2 (GPX2, GTX100292), catalase (GTX110704), α-smooth muscle actin (α-SMA, GTX1000034), and glyceraldehyde-3-phosphate dehydrogenase (GAPDH, #MAB374) from Gene Tex (San Antonio, TX, USA); and nucleotide-binding oligomerization domain leucine-rich repeat and pyrin domain containing 3 (NLRP3, #15101) from Cell Signaling (Danvers, MA, USA).
2.9. Clinical Study
Bariatric surgery results in the amelioration of steatosis, MASH, and liver fibrosis [30,31]. In this study, thirty-nine consecutive patients with morbid obesity who had either a body mass index (BMI) of ≥40 kg/m2 or a BMI of ≥35 kg/m2 plus a metabolic disorder were enrolled. During bariatric surgery, a wedge liver biopsy was performed on the edge of the right lobe. Baseline data were collected, namely BMI, comorbidities, and hematologic and biochemical parameters. The severity of hepatic steatosis, presence of MASH, and liver fibrosis were assessed in accordance with the criteria established by the NASH Clinical Research Network [22]. Hematologic analyses were conducted using a Sysmex HST series system (Kanagawa, Japan), and biochemical analyses were performed using Beckman Coulter instruments (Brea, CA, USA) in the central laboratory of China Medical University Hospital.
The Research Ethics Committee of China Medical University Hospital, Taichung, Taiwan, approved the clinical study (CMUH108-REC1-169) on 20 February 2020, in accordance with ethical guidelines and the principles outlined in the 1975 Declaration of Helsinki. All patients provided written informed consent before enrolment.
2.10. Statistical Analyses
In the clinical study, the median (first–third quartile) is used to express continuous variables, and a Mann–Whitney U test was used to compare between groups. In the rodent study, mean ± standard deviation was used to present data. Data obtained from the Agilent triple quadrupole LC–MS were saved in comma-separated values files and processed using Microsoft Excel (version 2409). Integrated peak areas were normalized by sample wet weights to account for potential differences in sample size. Statistical significance in each group was determined using one-way analyses of variance, followed by Bonferroni post hoc tests. All statistical analyses were conducted using SPSS (version 25.0, IBM, Armonk, NY, USA). A two-sided p-value of <0.05 was considered statistically significant.
3. Results
3.1. Effects of HFD and HFD Supplemented with Fructose or Glucose on Body Weight Gain in Mice
The mean daily dietary intake per mouse during the study duration was 2.33 g in the ND group, 2.13 g in the HFD group, 1.87 g in the HFD + Fru group, and 1.83 g in the HFD + Glu group (Figure S1A). The mean daily drinking water was 2.64 g in the ND group, 2.41 g in the HFD group, 2.47 g in the HFD + Fru group, and 7.49 g in the HFD + Glu group (Figure S1B). Because the HFD + Glu group consumed substantially more water and thus more calories than did the HFD and HFD + Fru groups, we reduced the glucose concentration from 30% at baseline to 15% at week 2 and then to 10% starting from week 6. The average daily calorie intake levels were 8.84 ± 1.15, 11.06 ± 1.29, 12.68 ± 1.45, and 12.94 ± 1.71 kcal/day in the ND, HFD, HFD + Fru, and HFD + Glu groups, respectively (Figure S1C). The HFD group had a significantly higher total calorie intake than did the ND group (p < 0.001), and the HFD + Fru and HFD + Glu groups had a significantly higher total calorie intake than did the HFD group (p < 0.001). No significant difference in average calorie intake was observed between the HFD + Fru and HFD + Glu groups (p = 0.463). Table S2 lists the amounts of food and water consumed per mouse in each group. After 2 weeks of feeding, the body weights in the HFD, HFD + Fru, and HFD + Glu groups were significantly heavier than those in the ND group, and this difference persisted throughout the 24-week period. No significant differences in body weights were noted among the HFD, HFD + Fru, and HFD + Glu groups (Figure 1A).
Figure 1.
Effects of HFD and HFD supplemented with fructose or glucose on body and liver weight, biochemical parameters, and liver histology. (A) Body weight (* p < 0.05 compared with ND group). (B) Liver weight as a percentage of body weight. (C) ALT levels. (D) TG, T-chol, HDL-C, and LDL-C levels. (E) Insulin resistance. (F) Liver histology: hematoxylin and eosin staining (400×, upper panel), Masson’s trichrome staining (200×, lower panel), and NASH CRN score. ND, normal diet; HFD, high-fat diet; HFD + Fru, high-fat diet supplemented with fructose; HFD + Glu, high-fat diet supplemented with glucose; ALT, alanine aminotransferase; HDL-C, high-density lipoprotein cholesterol; HOMA-IR, homeostasis model assessment-insulin resistance; LDL-C, low-density lipoprotein cholesterol; NASH CRN, nonalcoholic steatohepatitis Clinical Research Network; T-chol, total cholesterol; TG, triglyceride. * p < 0.05, ** p < 0.01, *** p < 0.001.
The percentage of liver weight relative to body weight was similar between the HFD and ND groups and higher in the HFD + Fru and HFD + Glu groups than in the ND and HFD groups (Figure 1B).
3.2. Effects of HFD and HFD Supplemented with Fructose or Glucose on Blood Biochemical Parameters
After 24 weeks of feeding, the HFD group had higher levels of ALT (Figure 1C), total cholesterol, HDL-C, LDL-C (Figure 1D), and greater insulin resistance (Figure 1E) than did the ND group. The HFD + Fru and HFD + Glu groups had higher levels of ALT (Figure 1C), triglycerides, total cholesterol, HDL-C, and LDL-C (Figure 1D) and greater insulin resistance (Figure 1E) than did the HFD group. No differences in biochemical parameters were observed between the HFD + Fru and HFD + Glu groups.
3.3. Effects of HFD and HFD Supplemented with Fructose or Glucose on Histology
Histological examination revealed steatosis in more than 5% of hepatocytes in the HFD, HFD + Fru, and HFD + Glu groups. In addition, hepatocellular ballooning was observed in the HFD, HFD + Fru, and HFD + Glu groups. However, lobular inflammation was minimal, and no substantial hepatic fibrosis was detected (Figure 1F). Table S3 lists the NASH CRN scores for each group.
3.4. Effects of HFD and HFD Supplemented with Fructose or Glucose on Lipogenic Enzymes, Oxidative Stress, and Lipid Peroxidation
The HFD group displayed higher SREBP-1c mRNA expression and decreased ACC and FAS mRNA expression compared with the ND group. Furthermore, the HFD + Fru and HFD + Glu groups exhibited decreased ACC and FAS mRNA expressions compared with the ND group (Figure 2A). The HFD group displayed higher ACC protein levels compared with the ND group, and the HFD + Fru and HFD + Glu groups exhibited increased protein levels of SREBP-1c and ACC compared with the HFD group. The HFD group exhibited decreased FAS protein levels compared with the ND group (Figure 2B). The HFD + Fru and HFD + Glu groups displayed decreased PPAR-α protein levels compared with the ND and HFD groups (Figure 2B, right panel).
Figure 2.
Effects of HFD and HFD supplemented with fructose or glucose on lipogenic enzymes, oxidative stress markers, and lipid peroxidation. (A) mRNA levels of SREBP-1c, ACC, and FAS. (B) Protein levels of SREBP-1c, ACC, FAS, and PPAR-α. (C) Protein levels of p-Nrf2, GCLM, GCLC, and GPX2. (D) Protein levels of SOD-2, HO-1, and catalase. (E) TBARS values. ND, normal diet; HFD, high-fat diet; HFD + Fru, high-fat diet supplemented with fructose; HFD + Glu, high-fat diet supplemented with glucose; ACC, acetyl-CoA carboxylase; FAS, fatty acid synthase; GCLC, glutamate–cysteine ligase catalytic subunit; GCLM, glutamate–cysteine ligase modifier subunit; GPX2, glutathione peroxidase 2; HO-1, heme oxygenase 1; pNrf2, phosphorylated nuclear factor-erythroid 2; PPAR-α, peroxisome proliferator-activated receptor α; SOD-2, superoxide dismutase 2; SREBP-1c, sterol regulatory element-binding protein-1c; TBARS, thiobarbituric acid-reactive substance. * p < 0.05, ** p < 0.01, *** p < 0.001.
The HFD and HFD + Fru groups exhibited increased protein levels of p-Nrf2, GCLM, and GCLC compared with the ND group. However, the HFD + Glu group did not exhibit higher levels of these proteins compared with the ND group (Figure 2C). Furthermore, the HFD, HFD + Fru, and HFD + Glu groups displayed increased protein levels of GPX2 compared with the ND group (Figure 2C, right panel). The HFD + Fru and HFD + Glu groups displayed decreased protein levels of SOD-2, HO-1, and catalase (Figure 2D) and higher TBARS values compared with the ND group (Figure 2E).
3.5. Effects of HFD and HFD Supplemented with Fructose or Glucose on Hepatic Apoptosis, Inflammation, and Fibrosis
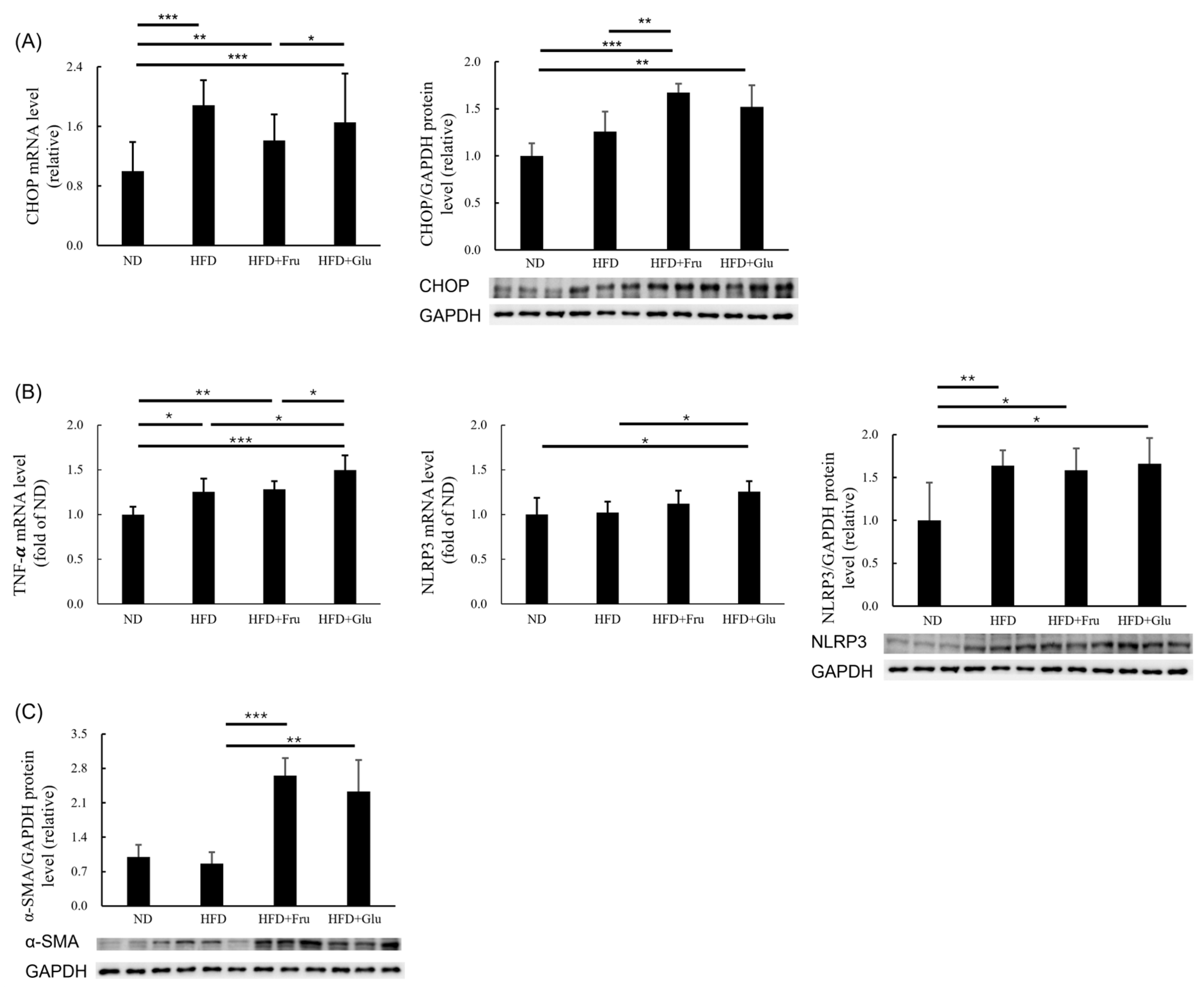
The HFD, HFD + Fru, and HFD + Glu groups displayed increased CHOP mRNA expression compared with the ND group, and the HFD + Fru and HFD + Glu groups displayed increased protein levels of CHOP compared with the HFD and ND groups (Figure 3A). The HFD, HFD + Fru, and HFD + Glu groups displayed increased TNF-α mRNA expression compared with the ND group, with the HFD + Glu group having the highest TNF-α expression. Furthermore, the HFD + Fru and HFD + Glu groups had higher increased protein levels of NLRP3 than did the ND group, and the HFD + Glu group also exhibited a higher increased NLRP3 mRNA expression than did the ND group (Figure 3B). The α-SMA protein level was higher in the HFD + Fru and HFD + Glu groups than in the HFD group, and no difference in the α-SMA protein level was detected between the ND and HFD groups (Figure 3C).
Figure 3.
Effects of HFD and HFD supplemented with fructose or glucose on hepatic apoptosis, inflammation, and fibrosis. (A) mRNA and protein levels of CHOP. (B) mRNA levels of TNF-α and NLRP3 and protein level of NLRP3. (C) Protein level of αSMA. ND, normal diet; HFD, high-fat diet; HFD + Fru, high-fat diet supplemented with fructose; HFD + Glu, high-fat diet supplemented with glucose; α-SMA, α-smooth muscle actin; CHOP, C/EBP homologous protein; NLRP3, nucleotide-binding oligomerization domain leucine-rich repeat and pyrin domain containing 3; TNF-α, tumor necrosis factor α. * p < 0.05, ** p < 0.01, *** p < 0.001.
3.6. Effects of HFD and HFD Supplemented with Fructose or Glucose on Hepatic Ceramides
We analyzed nine hepatic ceramide species, namely C16:0, C16:1, C18:0, C18:1, C20:0, C22:0, C22:1, C24:0, and C24:1. Because of its concentration being below the detection limit, C16:1 ceramide is not shown. We observed a general trend of increasing levels of C16:0, C18:0, C18:1, C20:0, and C22:0 ceramides, with the highest levels found in the HFD + Fru and HFD + Glu groups, followed by the HFD group and then the ND group. No differences in ceramide levels were noted between the HFD + Fru and HFD + Glu groups (Figure 4A). Because of the low levels of C18 and C18:1 ceramides, we present their fold changes in Figure 4B.
Figure 4.
Effects of HFD and HFD supplemented with fructose or glucose on hepatic ceramides. (A) Levels of C16:0, C16:1, C18:0, C18:1, C20:0, C22:0, C22:1, C24:0, and C24:1 ceramides. (B) Levels of C18:0 and C18:1 ceramides. ND, normal diet; HFD, high-fat diet; HFD + Fru, high-fat diet supplemented with fructose; HFD + Glu, high-fat diet supplemented with glucose. * p < 0.05, ** p < 0.01, *** p < 0.001.
3.7. Result of Clinical Study
Thirty-nine patients with morbid obesity who were receiving bariatric surgery were included in this study. We categorized the patients into two groups on the basis of steatosis severity: mild (fatty liver with mild steatosis and a NASH CRN steatosis score of 0 or 1, n = 18) or severe (fatty liver with marked steatosis and a NASH CRN steatosis score of 2 or 3 or MASH, n = 21). The severe group had higher ALT (Figure 5B), greater insulin resistance (Figure 5D), and higher NASH CRN scores (Figure 5E) than did the mild group. In addition, the severe group tended to have higher BMI and higher total cholesterol and LDL-C levels than did the mild group.
Figure 5.
Clinical study results. (A) BMI. (B) ALT. (C) TG, T-chol, HDL-C, and LDL-C levels. (D) Insulin resistance. (E) NASH CRN score. (F) Hepatic ceramide levels. The “mild” group refers to patients with a NASH CRN steatosis score of 0 or 1, whereas the “severe” group includes those with a NASH CRN steatosis score of 2 or 3 or metabolic dysfunction-associated steatohepatitis; ALT, alanine aminotransferase; BMI, body mass index; Cer, ceramide; HDL-C, high-density lipoprotein cholesterol; HOMA-IR, homeostasis model assessment-insulin resistance; LDL-C, low-density lipoprotein cholesterol; NASH CRN, nonalcoholic steatoheaptitis Clinical Research Network; T-chol, total cholesterol; TG, triglyceride. * p < 0.05, ** p < 0.01, *** p < 0.001.
We analyzed the same nine hepatic ceramides (C16:0, C16:1, C18:0, C18:1, C20:0, C22:0, C22:1, C24:0, and C24:1) in these patients with obesity. Given the small tissue specimens and low ceramide levels, we present the fold changes in ceramides compared with the mild group. Overall, the ceramide levels revealed little change in these patients. The severe group had higher C16:0, C18:0, and C20:0 ceramide levels than did the mild group (Figure 5F). The results are close to the findings in the animal investigations, where C16:0, C18:0, and C20:0 ceramide levels were higher in the HFD, HFD + Fru, and HFD + Glu groups than in the ND group (Figure 4A).
4. Discussion
Compared with the ND, the HFD increased hepatic steatosis, plasma lipid levels, steatosis-related hepatic inflammation, and early-stage liver fibrosis by elevating lipid synthetic enzymes, oxidative stress, apoptosis, and inflammatory cytokines. Supplementation with fructose or glucose exacerbated liver damage, but no significant differences were detected between the impacts of glucose and fructose addendum. The expression patterns of hepatic ceramides in mice nourished on an HFD, whether added with glucose or fructose, were similar to those observed in patients with obesity who had severe hepatic steatosis or MASH. These findings suggest the involvement of ceramides in the progression of hepatic lipotoxicity.
The HFD + Glu group consumed more water than did the other groups (Figure S1B). This result is similar to that of a study in which mice fed glucose water drank more than did mice fed fructose water [20]. Our study compared the effects of fructose and glucose under similar caloric status. Thus, we adjusted the glucose concentration at weeks 2 and 6. After these adjustments, the caloric intake was similar between the HFD + Fru and HFD + Glu groups (Figure S1C).
In hepatic DNL, insulin induces SREBP-1c, which transcriptionally stimulates genes engaged in fatty acid synthesis. ACC and FAS are key enzymes in DNL [31]. Because of substantial steatosis and increased protein levels of SREBP-1c and ACC in the HFD + Fru and HFD + Glu groups, the mRNA expression levels of SREBP-1c and ACC were downregulated. A phase II trial reported that patients who received an FAS inhibitor (TVB-2640) exhibited decreased liver fat content [32]. The observed decrease in FAS mRNA and protein levels in the HFD, HFD + Fru, and HFD + Glu groups, despite repeated measurements, is difficult to explain. In addition, the PPAR-α protein level was downregulated in the HFD + Fru and HFD + Glu groups (Figure 2B); this finding is consistent with that of another study [33]. In this study, we identified that the SOD-2, HO-1, and catalase protein levels were downregulated in the animal model nourished an HFD with or without glucose or fructose supplementation (Figure 2D). Moreover, the TBARS values were higher in the HFD + Fru and HFD + Glu groups (Figure 2E). The protein levels of p-Nrf2, GCLM, and GCLC were increased in the HFD and HFD + Fru groups but decreased in the HFD + Glu group. In addition, the GPX2 protein level was increased in the HFD, HFD + Fru, and HFD + Glu groups. These glutathione precursors may be upregulated as a compensatory response to oxidative stress in mice with hepatic steatosis and inflammation (Figure 2C). Increased hepatic apoptosis, necroinflammation, and fibrosis in the HFD, HFD + Fru, and HFD + Glu groups were indicated by elevated mRNA and protein levels of CHOP, TNF-α, NLRP3, and α-SMA (Figure 3).
Softic et al. demonstrated that mice fed an HFD with added fructose had more obvious obesity, insulin resistance, and hepatomegaly compared with mice fed an HFD with added glucose. In their study, mice could drink water freely (30% w/v glucose or fructose), and the mice that received an HFD with added glucose consumed approximately twice as much water as did the mice that received an HFD with added fructose [20]. In this study, we noted that additional carbohydrate energy resulted in increased liver damage; however, when comparing isocaloric intake, fructose and glucose caused similar levels of liver damage.
Pancreatic β-cell insulin secretion is not stimulated by fructose [34]. However, fructose contributes to hepatic insulin resistance through increased accumulation of hepatic diacylglycerol, activation of protein kinase C, impairment of insulin-mediated Akt2 activation, and blocking of hepatic β-fatty acid oxidation [35,36]. The findings suggest that fructose works as a pure lipogenic molecule in the liver. Although small amounts of dietary fructose increase hepatic glucose uptake through glucokinase activation [37], overt fructose intake is related to impaired glucose uptake and decreased glucokinase activity and liver glycogen content [38]. However, human interventional studies comparing the impacts of glucose and fructose on insulin resistance and hepatic fat content have not demonstrated substantial differences [13,14,15,39,40,41]. These intervention periods were relatively short (ranging from 7 days to 10 weeks), and the long-lasting diverse impacts of glucose and fructose on MASLD progression remain inconclusive. In summary, the debate regarding the distinct impacts of glucose and fructose on MASLD deterioration continues.
Emerging data indicate that glucagon-like peptide-1 receptor agonists could alleviate liver steatosis and DNL in patients with obesity [42]. Resmetirom, a liver-directed thyroid hormone receptor, revealed promising results in this context [43]. Although pharmacological interventions are being explored, lifestyle modification and dietary changes remain effective alternatives for managing fatty liver disease. Fucho et al. reported that C16 ceramide induces oxidative stress and impairs fatty acid oxidation, resulting in lipid accumulation in the liver [44]. In addition, in individuals with obesity, overexpression of ceramide synthase 6 mRNA in adipose tissue has been correlated with insulin resistance [45]. Ceramides can also promote the generation of reactive oxygen species in cultured hepatocytes by impairing mitochondrial electron transport activities [46]. Our animal study demonstrated a trend of increasing levels of C16:0, C18:0, C18:1, C20:0, and C22:0 ceramides, with the highest levels found in the HFD + Fru and HFD + Glu groups, followed by the HFD group and the ND group. Similarly, patients with obesity with severe fatty liver or MASH had higher C16, C18, and C20 ceramide levels (by an average of 22–36%) than did those with mild fatty liver. The increased ceramide may come from the accumulation of serine and palmitoyl-CoA. The synthesis of ceramide is activated by oxidative stress, inflammation, and overt free fatty acids [47]. The patients also had higher ALT and NASH CRN scores than did those with mild steatosis. However, we cannot ascertain whether patients with severe steatosis had been on a high carbohydrate diet. These findings suggest that ceramides could be an imaginable therapeutic target in the subsequent study.
5. Conclusions
The HFD increased hepatic steatosis, plasma lipid levels, steatosis-related hepatic inflammation, and early-stage liver fibrosis. Supplementation with fructose or glucose exacerbated liver damage, but no significant disparity between the influences of fructose and glucose supplementation were noted. Dietary composition, including ceramides, might be a promising therapy in the subsequent study.
Supplementary Materials
The following supporting information can be downloaded at: https://www.mdpi.com/article/10.3390/nu16203571/s1, Figure S1: Food, water, and energy intake of mice; Table S1: Primers used in this study; Table S2: Amount of food and drinking water consumed per mouse in each group; Table S3: NASH CRN scores in each group.
Author Contributions
W.-F.H. designed the study. W.-F.H. collected and analyzed the data, performed the research, and wrote the paper. C.-K.L. performed the basic and animal studies. M.-H.L. performed the bariatric surgeries. C.-Y.P. and C.-K.L. supervised the study and critically revised the manuscript. All authors have read and agreed to the published version of the manuscript.
Funding
This study was supported partially by grants (DMR-107-211, DMR-108-225, DMR-109-252, and DMR-110-241) from China Medical University Hospital in Taichung, Taiwan, and partially by a grant (MOST111-2314-B-039-061-MY3) from the Ministry of Science and Technology, Taiwan.
Institutional Review Board Statement
The Institutional Animal Care and Use Committee of China Medical University approved this animal study (CMUIACUC-2020-071) on 30 December 2019, and the Research Ethics Committee of China Medical University Hospital, Taichung, Taiwan approved the clinical study (CMUH108-REC1-169) on 20 February 2020.
Informed Consent Statement
The Research Ethics Committee of China Medical University Hospital, Taichung, Taiwan approved the clinical study (CMUH108-REC1-169) on 20 February 2020. All patients provided written informed consent before enrolment.
Data Availability Statement
The data presented in this study are available upon reasonable request from the corresponding author.
Conflicts of Interest
Cheng-Yuan Peng has served on advisory committees for AbbVie, Bristol-Myers Squibb, Gilead, and Merck Sharp & Dohme. All other coauthors have no conflicts of interest to declare.
References
- Younossi, Z.M.; Stepanova, M.; Ong, J.; Trimble, G.; AlQahtani, S.; Younossi, I.; Ahmed, A.; Racila, A.; Henry, L. Nonalcoholic Steatohepatitis Is the Most Rapidly Increasing Indication for Liver Transplantation in the United States. Clin. Gastroenterol. Hepatol. 2021, 19, 580–589.e585. [Google Scholar] [CrossRef] [PubMed]
- Terrault, N.A.; Pageaux, G.P. A changing landscape of liver transplantation: King HCV is dethroned, ALD and NAFLD take over! J. Hepatol. 2018, 69, 767–768. [Google Scholar] [CrossRef]
- Brunt, E.M.; Janney, C.G.; Di Bisceglie, A.M.; Neuschwander-Tetri, B.A.; Bacon, B.R. Nonalcoholic steatohepatitis: A proposal for grading and staging the histological lesions. Am. J. Gastroenterol. 1999, 94, 2467–2474. [Google Scholar] [CrossRef]
- Pais, R.; Charlotte, F.; Fedchuk, L.; Bedossa, P.; Lebray, P.; Poynard, T.; Ratziu, V.; Group, L.S. A systematic review of follow-up biopsies reveals disease progression in patients with non-alcoholic fatty liver. J. Hepatol. 2013, 59, 550–556. [Google Scholar] [CrossRef] [PubMed]
- Rinella, M.E.; Lazarus, J.V.; Ratziu, V.; Francque, S.M.; Sanyal, A.J.; Kanwal, F.; Romero, D.; Abdelmalek, M.F.; Anstee, Q.M.; Arab, J.P.; et al. A multisociety Delphi consensus statement on new fatty liver disease nomenclature. Hepatology 2023, 78, 1966–1986. [Google Scholar] [CrossRef]
- Buzzetti, E.; Pinzani, M.; Tsochatzis, E.A. The multiple-hit pathogenesis of non-alcoholic fatty liver disease (NAFLD). Metabolism 2016, 65, 1038–1048. [Google Scholar] [CrossRef]
- Chiappini, F.; Coilly, A.; Kadar, H.; Gual, P.; Tran, A.; Desterke, C.; Samuel, D.; Duclos-Vallee, J.C.; Touboul, D.; Bertrand-Michel, J.; et al. Metabolism dysregulation induces a specific lipid signature of nonalcoholic steatohepatitis in patients. Sci. Rep. 2017, 7, 46658. [Google Scholar] [CrossRef]
- Ratziu, V.; Bellentani, S.; Cortez-Pinto, H.; Day, C.; Marchesini, G. A position statement on NAFLD/NASH based on the EASL 2009 special conference. J. Hepatol. 2010, 53, 372–384. [Google Scholar] [CrossRef]
- Jensen, T.; Abdelmalek, M.F.; Sullivan, S.; Nadeau, K.J.; Green, M.; Roncal, C.; Nakagawa, T.; Kuwabara, M.; Sato, Y.; Kang, D.H.; et al. Fructose and sugar: A major mediator of non-alcoholic fatty liver disease. J. Hepatol. 2018, 68, 1063–1075. [Google Scholar] [CrossRef] [PubMed]
- Silva, J.C.P.; Marques, C.; Martins, F.O.; Viegas, I.; Tavares, L.; Macedo, M.P.; Jones, J.G. Determining contributions of exogenous glucose and fructose to de novo fatty acid and glycerol synthesis in liver and adipose tissue. Metab. Eng. 2019, 56, 69–76. [Google Scholar] [CrossRef]
- Malik, V.S.; Popkin, B.M.; Bray, G.A.; Despres, J.P.; Hu, F.B. Sugar-sweetened beverages, obesity, type 2 diabetes mellitus, and cardiovascular disease risk. Circulation 2010, 121, 1356–1364. [Google Scholar] [CrossRef] [PubMed]
- Schwimmer, J.B.; Ugalde-Nicalo, P.; Welsh, J.A.; Angeles, J.E.; Cordero, M.; Harlow, K.E.; Alazraki, A.; Durelle, J.; Knight-Scott, J.; Newton, K.P.; et al. Effect of a Low Free Sugar Diet vs Usual Diet on Nonalcoholic Fatty Liver Disease in Adolescent Boys: A Randomized Clinical Trial. JAMA 2019, 321, 256–265. [Google Scholar] [CrossRef] [PubMed]
- Johnston, R.D.; Stephenson, M.C.; Crossland, H.; Cordon, S.M.; Palcidi, E.; Cox, E.F.; Taylor, M.A.; Aithal, G.P.; Macdonald, I.A. No difference between high-fructose and high-glucose diets on liver triacylglycerol or biochemistry in healthy overweight men. Gastroenterology 2013, 145, 1016–1025.e1012. [Google Scholar] [CrossRef] [PubMed]
- Lecoultre, V.; Egli, L.; Carrel, G.; Theytaz, F.; Kreis, R.; Schneiter, P.; Boss, A.; Zwygart, K.; Le, K.A.; Bortolotti, M.; et al. Effects of fructose and glucose overfeeding on hepatic insulin sensitivity and intrahepatic lipids in healthy humans. Obesity 2013, 21, 782–785. [Google Scholar] [CrossRef] [PubMed]
- Schwarz, J.M.; Noworolski, S.M.; Wen, M.J.; Dyachenko, A.; Prior, J.L.; Weinberg, M.E.; Herraiz, L.A.; Tai, V.W.; Bergeron, N.; Bersot, T.P.; et al. Effect of a High-Fructose Weight-Maintaining Diet on Lipogenesis and Liver Fat. J. Clin. Endocrinol. Metab. 2015, 100, 2434–2442. [Google Scholar] [CrossRef]
- King, A.; Houlihan, D.D.; Kavanagh, D.; Haldar, D.; Luu, N.; Owen, A.; Suresh, S.; Than, N.N.; Reynolds, G.; Penny, J.; et al. Sphingosine-1-Phosphate Prevents Egress of Hematopoietic Stem Cells From Liver to Reduce Fibrosis. Gastroenterology 2017, 153, 233–248.e216. [Google Scholar] [CrossRef]
- Apostolopoulou, M.; Gordillo, R.; Koliaki, C.; Gancheva, S.; Jelenik, T.; De Filippo, E.; Herder, C.; Markgraf, D.; Jankowiak, F.; Esposito, I.; et al. Specific Hepatic Sphingolipids Relate to Insulin Resistance, Oxidative Stress, and Inflammation in Nonalcoholic Steatohepatitis. Diabetes Care 2018, 41, 1235–1243. [Google Scholar] [CrossRef]
- Holland, W.L.; Bikman, B.T.; Wang, L.P.; Yuguang, G.; Sargent, K.M.; Bulchand, S.; Knotts, T.A.; Shui, G.; Clegg, D.J.; Wenk, M.R.; et al. Lipid-induced insulin resistance mediated by the proinflammatory receptor TLR4 requires saturated fatty acid-induced ceramide biosynthesis in mice. J. Clin. Investig. 2011, 121, 1858–1870. [Google Scholar] [CrossRef]
- Banini, B.A.; Kumar, D.P.; Cazanave, S.; Seneshaw, M.; Mirshahi, F.; Santhekadur, P.K.; Wang, L.; Guan, H.P.; Oseini, A.M.; Alonso, C.; et al. Identification of a Metabolic, Transcriptomic, and Molecular Signature of Patatin-Like Phospholipase Domain Containing 3-Mediated Acceleration of Steatohepatitis. Hepatology 2021, 73, 1290–1306. [Google Scholar] [CrossRef]
- Softic, S.; Gupta, M.K.; Wang, G.X.; Fujisaka, S.; O'Neill, B.T.; Rao, T.N.; Willoughby, J.; Harbison, C.; Fitzgerald, K.; Ilkayeva, O.; et al. Divergent effects of glucose and fructose on hepatic lipogenesis and insulin signaling. J. Clin. Investig. 2017, 127, 4059–4074. [Google Scholar] [CrossRef]
- Matthews, D.R.; Hosker, J.P.; Rudenski, A.S.; Naylor, B.A.; Treacher, D.F.; Turner, R.C. Homeostasis model assessment: Insulin resistance and beta-cell function from fasting plasma glucose and insulin concentrations in man. Diabetologia 1985, 28, 412–419. [Google Scholar] [CrossRef] [PubMed]
- Puri, P.; Sanyal, A.J. Nonalcoholic fatty liver disease: Definitions, risk factors, and workup. Clin. Liver. Dis. 2012, 1, 99–103. [Google Scholar] [CrossRef] [PubMed]
- Chen, H.W.; Yen, C.C.; Kuo, L.L.; Lo, C.W.; Huang, C.S.; Chen, C.C.; Lii, C.K. Benzyl isothiocyanate ameliorates high-fat/cholesterol/cholic acid diet-induced nonalcoholic steatohepatitis through inhibiting cholesterol crystal-activated NLRP3 inflammasome in Kupffer cells. Toxicol. Appl. Pharmacol. 2020, 393, 114941. [Google Scholar] [CrossRef]
- Yao, H.T.; Lii, C.K.; Chou, R.H.; Lin, J.H.; Yang, H.T.; Chiang, M.T. Effect of chitosan on hepatic drug-metabolizing enzymes and oxidative stress in rats fed low- and high-fat diets. J. Agric. Food. Chem. 2010, 58, 5187–5193. [Google Scholar] [CrossRef] [PubMed]
- Lin, H.C.; Li, C.C.; Yang, Y.C.; Chiu, T.H.; Liu, K.L.; Lii, C.K.; Chen, H.W. Andrographis paniculata diterpenoids and ethanolic extract inhibit TNFalpha-induced ICAM-1 expression in EA.hy926 cells. Phytomedicine 2019, 52, 157–167. [Google Scholar] [CrossRef]
- Mihara, M.; Uchiyama, M. Determination of malonaldehyde precursor in tissues by thiobarbituric acid test. Anal. Biochem. 1978, 86, 271–278. [Google Scholar]
- Bligh, E.G.; Dyer, W.J. A rapid method of total lipid extraction and purification. Can. J. Biochem. Physiol. 1959, 37, 911–917. [Google Scholar] [CrossRef]
- Chao, H.C.; Lee, T.H.; Chiang, C.S.; Yang, S.Y.; Kuo, C.H.; Tang, S.C. Sphingolipidomics Investigation of the Temporal Dynamics after Ischemic Brain Injury. J. Proteome. Res. 2019, 18, 3470–3478. [Google Scholar] [CrossRef]
- Lai, Y.S.; Chen, W.C.; Kuo, T.C.; Ho, C.T.; Kuo, C.H.; Tseng, Y.J.; Lu, K.H.; Lin, S.H.; Panyod, S.; Sheen, L.Y. Mass-Spectrometry-Based Serum Metabolomics of a C57BL/6J Mouse Model of High-Fat-Diet-Induced Non-alcoholic Fatty Liver Disease Development. J. Agric. Food. Chem. 2015, 63, 7873–7884. [Google Scholar] [CrossRef]
- Lassailly, G.; Caiazzo, R.; Ntandja-Wandji, L.C.; Gnemmi, V.; Baud, G.; Verkindt, H.; Ningarhari, M.; Louvet, A.; Leteurtre, E.; Raverdy, V.; et al. Bariatric Surgery Provides Long-term Resolution of Nonalcoholic Steatohepatitis and Regression of Fibrosis. Gastroenterology 2020, 159, 1290–1301 e1295. [Google Scholar] [CrossRef]
- Tai, C.M.; Huang, C.K.; Hwang, J.C.; Chiang, H.; Chang, C.Y.; Lee, C.T.; Yu, M.L.; Lin, J.T. Improvement of nonalcoholic fatty liver disease after bariatric surgery in morbidly obese Chinese patients. Obes. Surg. 2012, 22, 1016–1021. [Google Scholar] [CrossRef] [PubMed]
- Singh, S.; Karthikeyan, C.; Moorthy, N. Recent Advances in the Development of Fatty Acid Synthase Inhibitors as Anticancer Agents. Mini. Rev. Med. Chem. 2020, 20, 1820–1837. [Google Scholar] [CrossRef] [PubMed]
- Ge, C.X.; Yu, R.; Xu, M.X.; Li, P.Q.; Fan, C.Y.; Li, J.M.; Kong, L.D. Betaine prevented fructose-induced NAFLD by regulating LXRalpha/PPARalpha pathway and alleviating ER stress in rats. Eur. J. Pharmacol. 2016, 770, 154–164. [Google Scholar] [CrossRef] [PubMed]
- Adams, S.H.; Stanhope, K.L.; Grant, R.W.; Cummings, B.P.; Havel, P.J. Metabolic and endocrine profiles in response to systemic infusion of fructose and glucose in rhesus macaques. Endocrinology 2008, 149, 3002–3008. [Google Scholar] [CrossRef][Green Version]
- Samuel, V.T.; Liu, Z.X.; Qu, X.; Elder, B.D.; Bilz, S.; Befroy, D.; Romanelli, A.J.; Shulman, G.I. Mechanism of hepatic insulin resistance in non-alcoholic fatty liver disease. J. Biol. Chem. 2004, 279, 32345–32353. [Google Scholar] [CrossRef]
- Kumashiro, N.; Erion, D.M.; Zhang, D.; Kahn, M.; Beddow, S.A.; Chu, X.; Still, C.D.; Gerhard, G.S.; Han, X.; Dziura, J.; et al. Cellular mechanism of insulin resistance in nonalcoholic fatty liver disease. Proc. Natl. Acad. Sci. USA 2011, 108, 16381–16385. [Google Scholar] [CrossRef]
- Agius, L. Hormonal and Metabolite Regulation of Hepatic Glucokinase. Annu. Rev. Nutr. 2016, 36, 389–415. [Google Scholar] [CrossRef]
- Coate, K.C.; Kraft, G.; Moore, M.C.; Smith, M.S.; Ramnanan, C.; Irimia, J.M.; Roach, P.J.; Farmer, B.; Neal, D.W.; Williams, P.; et al. Hepatic glucose uptake and disposition during short-term high-fat vs. high-fructose feeding. Am. J. Physiol. Endocrinol. Metab. 2014, 307, E151–E160. [Google Scholar] [CrossRef]
- Ngo Sock, E.T.; Le, K.A.; Ith, M.; Kreis, R.; Boesch, C.; Tappy, L. Effects of a short-term overfeeding with fructose or glucose in healthy young males. Br. J. Nutr. 2010, 103, 939–943. [Google Scholar] [CrossRef]
- Silbernagel, G.; Machann, J.; Unmuth, S.; Schick, F.; Stefan, N.; Haring, H.U.; Fritsche, A. Effects of 4-week very-high-fructose/glucose diets on insulin sensitivity, visceral fat and intrahepatic lipids: An exploratory trial. Br. J. Nutr. 2011, 106, 79–86. [Google Scholar] [CrossRef]
- Bravo, S.; Lowndes, J.; Sinnett, S.; Yu, Z.; Rippe, J. Consumption of sucrose and high-fructose corn syrup does not increase liver fat or ectopic fat deposition in muscles. Appl. Physiol. Nutr. Metab. 2013, 38, 681–688. [Google Scholar] [CrossRef] [PubMed]
- Giannakogeorgou, A.; Roden, M. Role of lifestyle and glucagon-like peptide-1 receptor agonists for weight loss in obesity, type 2 diabetes and steatotic liver diseases. Aliment. Pharmacol. Ther. 2024, 59 (Suppl. S1), S52–S75. [Google Scholar] [CrossRef] [PubMed]
- Harrison, S.A.; Bedossa, P.; Guy, C.D.; Schattenberg, J.M.; Loomba, R.; Taub, R.; Labriola, D.; Moussa, S.E.; Neff, G.W.; Rinella, M.E.; et al. A Phase 3, Randomized, Controlled Trial of Resmetirom in NASH with Liver Fibrosis. N. Engl. J. Med. 2024, 390, 497–509. [Google Scholar] [CrossRef] [PubMed]
- Fucho, R.; Casals, N.; Serra, D.; Herrero, L. Ceramides and mitochondrial fatty acid oxidation in obesity. FASEB J. 2017, 31, 1263–1272. [Google Scholar] [CrossRef]
- Turpin, S.M.; Nicholls, H.T.; Willmes, D.M.; Mourier, A.; Brodesser, S.; Wunderlich, C.M.; Mauer, J.; Xu, E.; Hammerschmidt, P.; Bronneke, H.S.; et al. Obesity-induced CerS6-dependent C16:0 ceramide production promotes weight gain and glucose intolerance. Cell Metab. 2014, 20, 678–686. [Google Scholar] [CrossRef]
- Garcia-Ruiz, C.; Colell, A.; Mari, M.; Morales, A.; Fernandez-Checa, J.C. Direct effect of ceramide on the mitochondrial electron transport chain leads to generation of reactive oxygen species. Role of mitochondrial glutathione. J. Biol. Chem. 1997, 272, 11369–11377. [Google Scholar] [CrossRef] [PubMed]
- Kang, S.C.; Kim, B.R.; Lee, S.Y.; Park, T.S. Sphingolipid metabolism and obesity-induced inflammation. Front. Endocrinol. 2013, 4, 67. [Google Scholar] [CrossRef]
Disclaimer/Publisher’s Note: The statements, opinions and data contained in all publications are solely those of the individual author(s) and contributor(s) and not of MDPI and/or the editor(s). MDPI and/or the editor(s) disclaim responsibility for any injury to people or property resulting from any ideas, methods, instructions or products referred to in the content. |
© 2024 by the authors. Licensee MDPI, Basel, Switzerland. This article is an open access article distributed under the terms and conditions of the Creative Commons Attribution (CC BY) license (https://creativecommons.org/licenses/by/4.0/).




