A Multi-Strain Oral Probiotic Improves the Balance of the Vaginal Microbiota in Women with Asymptomatic Bacterial Vaginosis: Preliminary Evidence
Abstract
1. Introduction
2. Materials and Methods
2.1. Study Design and Sample Collection
2.2. Nugent Score Assessment and Calculation
2.3. Metagenomic Analysis of the Vaginal Microbiota Composition
2.3.1. DNA Isolation and Next-Generation Sequencing
2.3.2. 16s rRNA Gene Amplification and Illumina MiSeq Sequencing
2.3.3. Sequencing Data and Bioinformatic Analysis
2.4. Statistical Analysis
3. Results
3.1. Composition of the Vaginal Microbiota in the Study Population
3.1.1. Characterization of the Vaginal Microbiota at Baseline
3.1.2. Characterization of the Vaginal Microbiota after 2 Months of Probiotic Supplementation
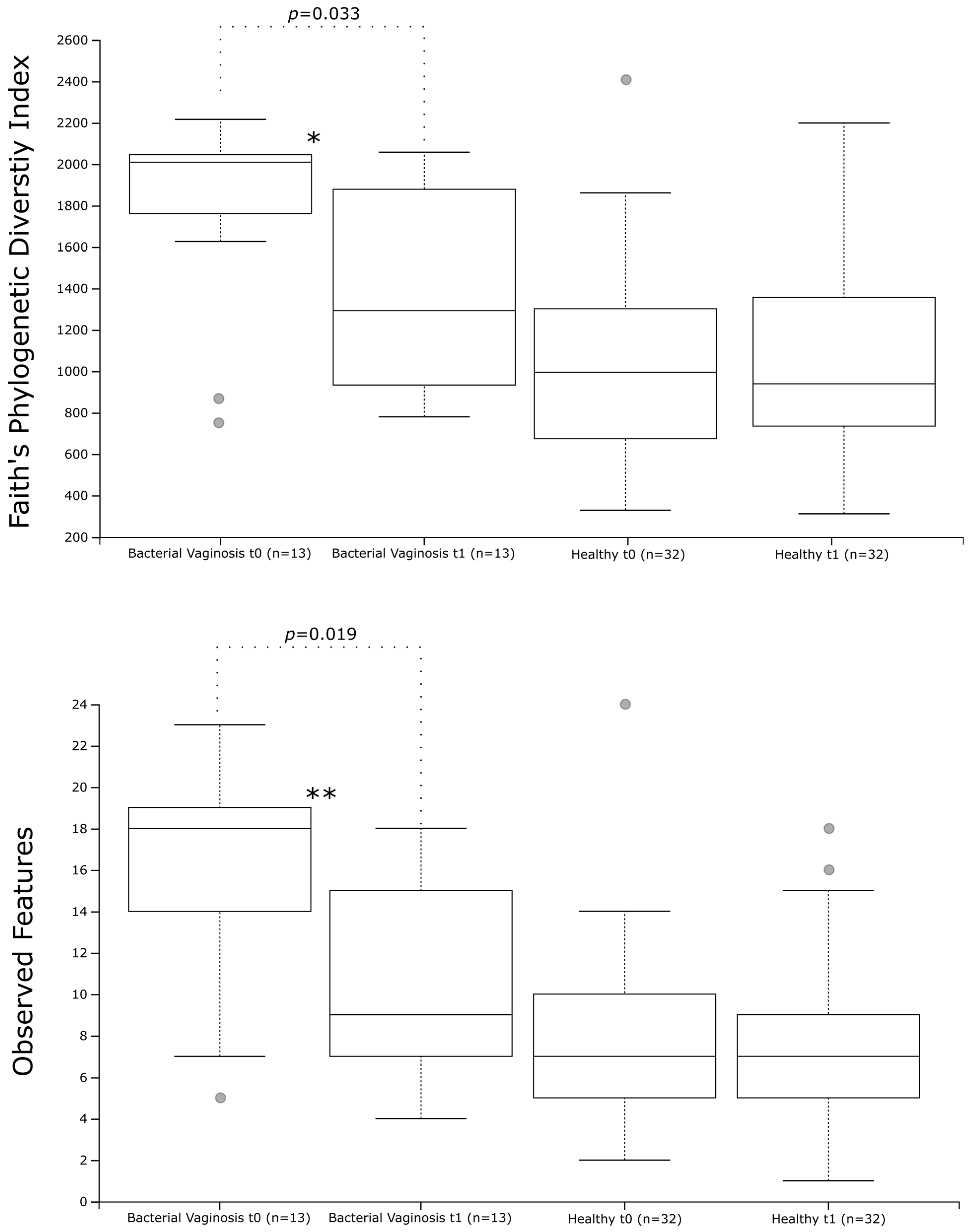
3.2. Alpha- and Beta-Diversities Analysis
3.3. Identification of Specific Taxonomic Units as Potential Biomarkers
4. Discussion
5. Conclusions
Author Contributions
Funding
Institutional Review Board Statement
Informed Consent Statement
Data Availability Statement
Conflicts of Interest
References
- Mirmonsef, P.; Gilbert, D.; Zariffard, M.R.; Hamaker, B.R.; Kaur, A.; Landay, A.L.; Spear, G.T. The Effects of Commensal Bacteria on Innate Immune Responses in the Female Genital Tract. Am. J. Reprod. Immunol. 2011, 65, 190–195. [Google Scholar] [CrossRef] [PubMed]
- Petrova, M.I.; Lievens, E.; Malik, S.; Imholz, N.; Lebeer, S. Lactobacillus Species as Biomarkers and Agents That Can Promote Various Aspects of Vaginal Health. Front. Physiol. 2015, 6, 81. [Google Scholar] [CrossRef] [PubMed]
- Di Pietro, M.; Filardo, S.; Simonelli, I.; Pasqualetti, P.; Sessa, R. Cervicovaginal Microbiota Composition in Chlamydia Trachomatis Infection: A Systematic Review and Meta-Analysis. Int. J. Mol. Sci. 2022, 23, 9554. [Google Scholar] [CrossRef] [PubMed]
- Ravel, J.; Gajer, P.; Abdo, Z.; Schneider, G.M.; Koenig, S.S.K.; McCulle, S.L.; Karlebach, S.; Gorle, R.; Russell, J.; Tacket, C.O.; et al. Vaginal Microbiome of Reproductive-Age Women. Proc. Natl. Acad. Sci. USA 2011, 108, 4680–4687. [Google Scholar] [CrossRef] [PubMed]
- Donders, G.G.G. Definition and Classification of Abnormal Vaginal Flora. Best. Pr. Res. Clin. Obs. Gynaecol. 2007, 21, 355–373. [Google Scholar] [CrossRef]
- Fredricks, D.N.; Fiedler, T.L.; Marrazzo, J.M. Molecular Identification of Bacteria Associated with Bacterial Vaginosis. New Engl. J. Med. 2005, 353, 1899–1911. [Google Scholar] [CrossRef]
- Filardo, S.; Di Pietro, M.; Tranquilli, G.; Sessa, R. Biofilm in Genital Ecosystem: A Potential Risk Factor for Chlamydia Trachomatis Infection. Can. J. Infect. Dis. Med. Microbiol. 2019, 2019, 1672109. [Google Scholar] [CrossRef]
- Filardo, S.; Pietro, M.D.; Tranquilli, G.; Latino, M.A.; Recine, N.; Porpora, M.G.; Sessa, R. Selected Immunological Mediators and Cervical Microbial Signatures in Women with Chlamydia Trachomatis Infection. mSystems 2019, 4, 10–1128. [Google Scholar] [CrossRef] [PubMed]
- Aldunate, M.; Srbinovski, D.; Hearps, A.C.; Latham, C.F.; Ramsland, P.A.; Gugasyan, R.; Cone, R.A.; Tachedjian, G. Antimicrobial and Immune Modulatory Effects of Lactic Acid and Short Chain Fatty Acids Produced by Vaginal Microbiota Associated with Eubiosis and Bacterial Vaginosis. Front. Physiol. 2015, 6, 164. [Google Scholar] [CrossRef] [PubMed]
- Sobel, J.D. Bacterial Vaginosis. Annu. Rev. Med. 2000, 51, 349–356. [Google Scholar] [CrossRef]
- Van Gerwen, O.T.; Smith, S.E.; Muzny, C.A. Bacterial Vaginosis in Postmenopausal Women. Curr. Infect. Dis. Rep. 2023, 25, 7–15. [Google Scholar] [CrossRef]
- Machado, A.; Cerca, N. Influence of Biofilm Formation by Gardnerella Vaginalis and Other Anaerobes on Bacterial Vaginosis. J. Infect. Dis. 2015, 212, 1856–1861. [Google Scholar] [CrossRef] [PubMed]
- Cruciani, F.; Biagi, E.; Severgnini, M.; Consolandi, C.; Calanni, F.; Donders, G.; Brigidi, P.; Vitali, B. Development of a Microarray-Based Tool to Characterize Vaginal Bacterial Fluctuations and Application to a Novel Antibiotic Treatment for Bacterial Vaginosis. Antimicrob. Agents Chemother. 2015, 59, 2825–2834. [Google Scholar] [CrossRef] [PubMed][Green Version]
- Shipitsyna, E.; Roos, A.; Datcu, R.; Hallén, A.; Fredlund, H.; Jensen, J.S.; Engstrand, L.; Unemo, M. Composition of the Vaginal Microbiota in Women of Reproductive Age--Sensitive and Specific Molecular Diagnosis of Bacterial Vaginosis Is Possible? PLoS ONE 2013, 8, e60670. [Google Scholar] [CrossRef] [PubMed]
- Vitali, B.; Pugliese, C.; Biagi, E.; Candela, M.; Turroni, S.; Bellen, G.; Donders, G.G.G.; Brigidi, P. Dynamics of Vaginal Bacterial Communities in Women Developing Bacterial Vaginosis, Candidiasis, or No Infection, Analyzed by PCR-Denaturing Gradient Gel Electrophoresis and Real-Time PCR. Appl. Env. Microbiol. 2007, 73, 5731–5741. [Google Scholar] [CrossRef]
- Romero, R.; Hassan, S.S.; Gajer, P.; Tarca, A.L.; Fadrosh, D.W.; Nikita, L.; Galuppi, M.; Lamont, R.F.; Chaemsaithong, P.; Miranda, J.; et al. The Composition and Stability of the Vaginal Microbiota of Normal Pregnant Women Is Different from That of Non-Pregnant Women. Microbiome 2014, 2, 4. [Google Scholar] [CrossRef]
- Huang, B.; Fettweis, J.M.; Brooks, J.P.; Jefferson, K.K.; Buck, G.A. The Changing Landscape of the Vaginal Microbiome. Clin. Lab. Med. 2014, 34, 747–761. [Google Scholar] [CrossRef]
- Forsum, U.; Holst, E.; Larsson, P.G.; Vasquez, A.; Jakobsson, T.; Mattsby-Baltzer, I. Bacterial Vaginosis--a Microbiological and Immunological Enigma. APMIS 2005, 113, 81–90. [Google Scholar] [CrossRef]
- Donders, G.G.G.; Zodzika, J.; Rezeberga, D. Treatment of Bacterial Vaginosis: What We Have and What We Miss. Expert. Opin. Pharmacother. 2014, 15, 645–657. [Google Scholar] [CrossRef]
- Bradshaw, C.S.; Morton, A.N.; Hocking, J.; Garland, S.M.; Morris, M.B.; Moss, L.M.; Horvath, L.B.; Kuzevska, I.; Fairley, C.K. High Recurrence Rates of Bacterial Vaginosis over the Course of 12 Months after Oral Metronidazole Therapy and Factors Associated with Recurrence. J. Infect. Dis. 2006, 193, 1478–1486. [Google Scholar] [CrossRef]
- Reid, G.; Younes, J.A.; Van der Mei, H.C.; Gloor, G.B.; Knight, R.; Busscher, H.J. Microbiota Restoration: Natural and Supplemented Recovery of Human Microbial Communities. Nat. Rev. Microbiol. 2011, 9, 27–38. [Google Scholar] [CrossRef] [PubMed]
- Homayouni, A.; Bastani, P.; Ziyadi, S.; Mohammad-Alizadeh-Charandabi, S.; Ghalibaf, M.; Mortazavian, A.M.; Mehrabany, E.V. Effects of Probiotics on the Recurrence of Bacterial Vaginosis: A Review. J. Low. Genit. Tract. Dis. 2014, 18, 79–86. [Google Scholar] [CrossRef] [PubMed]
- Nugent, R.P.; Krohn, M.A.; Hillier, S.L. Reliability of Diagnosing Bacterial Vaginosis Is Improved by a Standardized Method of Gram Stain Interpretation. J. Clin. Microbiol. 1991, 29, 297–301. [Google Scholar] [CrossRef] [PubMed]
- Filardo, S.; Scalese, G.; Virili, C.; Pontone, S.; Di Pietro, M.; Covelli, A.; Bedetti, G.; Marinelli, P.; Bruno, G.; Stramazzo, I.; et al. The Potential Role of Hypochlorhydria in the Development of Duodenal Dysbiosis: A Preliminary Report. Front. Cell Infect. Microbiol. 2022, 12, 854904. [Google Scholar] [CrossRef] [PubMed]
- Martin, M. Cutadapt Removes Adapter Sequences from High-Throughput Sequencing Reads. EMBnet J. 2011, 17, 10. [Google Scholar] [CrossRef]
- Bolyen, E.; Rideout, J.R.; Dillon, M.R.; Bokulich, N.A.; Abnet, C.C.; Al-Ghalith, G.A.; Alexander, H.; Alm, E.J.; Arumugam, M.; Asnicar, F.; et al. Reproducible, Interactive, Scalable and Extensible Microbiome Data Science Using QIIME 2. Nat. Biotechnol. 2019, 37, 852–857. [Google Scholar] [CrossRef]
- McDonald, D.; Jiang, Y.; Balaban, M.; Cantrell, K.; Zhu, Q.; Gonzalez, A.; Morton, J.T.; Nicolaou, G.; Parks, D.H.; Karst, S.M.; et al. Greengenes2 Unifies Microbial Data in a Single Reference Tree. Nat. Biotechnol. 2024, 42, 715–718. [Google Scholar] [CrossRef]
- Segata, N.; Izard, J.; Waldron, L.; Gevers, D.; Miropolsky, L.; Garrett, W.S.; Huttenhower, C. Metagenomic Biomarker Discovery and Explanation. Genome Biol. 2011, 12, R60. [Google Scholar] [CrossRef]
- Mandal, S.; Van Treuren, W.; White, R.A.; Eggesbø, M.; Knight, R.; Peddada, S.D. Analysis of Composition of Microbiomes: A Novel Method for Studying Microbial Composition. Microb. Ecol. Health Dis. 2015, 26, 27663. [Google Scholar] [CrossRef]
- France, M.T.; Ma, B.; Gajer, P.; Brown, S.; Humphrys, M.S.; Holm, J.B.; Waetjen, L.E.; Brotman, R.M.; Ravel, J. VALENCIA: A Nearest Centroid Classification Method for Vaginal Microbial Communities Based on Composition. Microbiome 2020, 8, 166. [Google Scholar] [CrossRef]
- Gupta, V.; Mastromarino, P.; Garg, R. Effectiveness of Prophylactic Oral and/or Vaginal Probiotic Supplementation in the Prevention of Recurrent Urinary Tract Infections: A Randomized, Double-Blind, Placebo-Controlled Trial. Clin. Infect. Dis. 2024, 78, 1154–1161. [Google Scholar] [CrossRef] [PubMed]
- Abou Chacra, L.; Fenollar, F.; Diop, K. Bacterial Vaginosis: What Do We Currently Know? Front. Cell Infect. Microbiol. 2021, 11, 672429. [Google Scholar] [CrossRef] [PubMed]
- Filardo, S.; Di Pietro, M.; Porpora, M.G.; Recine, N.; Farcomeni, A.; Latino, M.A.; Sessa, R. Diversity of Cervical Microbiota in Asymptomatic Chlamydia Trachomatis Genital Infection: A Pilot Study. Front. Cell Infect. Microbiol. 2017, 7, 321. [Google Scholar] [CrossRef]
- Park, S.-H.; Lee, E.S.; Park, S.T.; Jeong, S.Y.; Yun, Y.; Kim, Y.; Jeong, Y.; Kang, C.-H.; Choi, H.J. Efficacy and Safety of MED-01 Probiotics on Vaginal Health: A 12-Week, Multicenter, Randomized, Double-Blind, Placebo-Controlled Clinical Trial. Nutrients 2023, 15, 331. [Google Scholar] [CrossRef] [PubMed]
- Rostok, M.; Hütt, P.; Rööp, T.; Smidt, I.; Štšepetova, J.; Salumets, A.; Mändar, R. Potential Vaginal Probiotics: Safety, Tolerability and Preliminary Effectiveness. Benef. Microbes 2019, 10, 385–393. [Google Scholar] [CrossRef] [PubMed]
- Vujic, G.; Jajac Knez, A.; Despot Stefanovic, V.; Kuzmic Vrbanovic, V. Efficacy of Orally Applied Probiotic Capsules for Bacterial Vaginosis and Other Vaginal Infections: A Double-Blind, Randomized, Placebo-Controlled Study. Eur. J. Obs. Gynecol. Reprod. Biol. 2013, 168, 75–79. [Google Scholar] [CrossRef]
- Ansari, A.; Son, D.; Hur, Y.M.; Park, S.; You, Y.-A.; Kim, S.M.; Lee, G.; Kang, S.; Chung, Y.; Lim, S.; et al. Lactobacillus Probiotics Improve Vaginal Dysbiosis in Asymptomatic Women. Nutrients 2023, 15, 1862. [Google Scholar] [CrossRef]
- Shen, L.; Zhang, W.; Yuan, Y.; Zhu, W.; Shang, A. Vaginal Microecological Characteristics of Women in Different Physiological and Pathological Period. Front. Cell Infect. Microbiol. 2022, 12, 959793. [Google Scholar] [CrossRef]
- López-Moreno, A.; Aguilera, M. Vaginal Probiotics for Reproductive Health and Related Dysbiosis: Systematic Review and Meta-Analysis. J. Clin. Med. 2021, 10, 1461. [Google Scholar] [CrossRef]
- de Simone, C. The Unregulated Probiotic Market. Clin. Gastroenterol. Hepatol. 2019, 17, 809–817. [Google Scholar] [CrossRef]
- Martelli, N.; Eskenazy, D.; Déan, C.; Pineau, J.; Prognon, P.; Chatellier, G.; Sapoval, M.; Pellerin, O. New European Regulation for Medical Devices: What Is Changing? Cardiovasc. Interv. Radiol. 2019, 42, 1272–1278. [Google Scholar] [CrossRef] [PubMed]
- Mändar, R.; Sõerunurk, G.; Štšepetova, J.; Smidt, I.; Rööp, T.; Kõljalg, S.; Saare, M.; Ausmees, K.; Le, D.D.; Jaagura, M.; et al. Impact of Lactobacillus Crispatus-Containing Oral and Vaginal Probiotics on Vaginal Health: A Randomised Double-Blind Placebo Controlled Clinical Trial. Benef. Microbes 2023, 14, 143–152. [Google Scholar] [CrossRef] [PubMed]





| Asymptomatic BV Patients (n = 13) | Women with Healthy Vaginal Microbiota (n = 37) | |
|---|---|---|
| Age (mean ± SD) | 28.6 ± 3.1 | 25 ± 5.7 |
| BMI (mean ± SD) | 23.2 ± 3.4 | 22.7 ± 4.5 |
| Age at menarche (mean ± SD) | 11.9 ± 1.1 | 12.1 ± 1.5 |
| Smoke [n (%)] | 4 (26.7) | 8 (21.6) |
| Nugent score (mean ± SD) | 7.5 ± 0.5 | 2.25 ± 1.33 |
| Vaginal Microbiota Classification [n (%)] | ||
| CST-I (L. crispatus) | 1 (7.7) | 27 (73.0) |
| CST-II (L. gasseri) | 2 (15.4) | 0 (0) |
| CST-III (L. iners) | 1 (7.7) | 8 (21.6) |
| CST-IV B (G. vaginalis, F. vaginae) | 6 (46.2) | 2 (5.4) |
| CST-IV C (Streptococcus spp.) | 3 (23.1) | 0 |
| Asymptomatic BV (n = 13) | Healthy Microbiota (n = 37) | p Values | |
|---|---|---|---|
| Streptococcus | 27.9 ± 17.1 | 0.1 ± 0.03 | 0.006 |
| Gardnerella | 19.7 ± 7.2 | 0.5 ± 0.4 | 0.00006 |
| Lactobacillus | 17.2 ± 8.4 | 95.4 ± 17.4 | 0.00000005 |
| Alloscardovia | 10.6 ± 8.7 | 0.003 ± 0.002 | 0.002 |
| Escherichia | 4.8 ± 2.3 | 1.6 ± 0.8 | NS |
| Fannyhessea | 4.2 ± 2.0 | 0.01 ± 0.01 | 0.0000001 |
| Prevotella | 3.9 ± 1.7 | 0.1 ± 0.1 | 0.0002 |
| Megasphaera | 3.6 ± 1.6 | 0.002 ± 0.001 | 0.000003 |
| Sneathia | 2.5 ± 1.4 | 0.004 ± 0.004 | 0.0004 |
| Mageeibacillus | 1.1 ± 0.6 | 0.006 ± 0.005 | NS |
| Botrimarina | 1.0 ± 0.8 | 1.0 ± 0.3 | NS |
| Ureaplasma | 0.5 ± 0.4 | 0.1 ± 0.1 | NS |
| Dialister | 0.4 ± 0.2 | 0.001 ± 0.001 | NS |
| Cutibacterium | 0.1 ± 0.1 | 0.02 ± 0.01 | NS |
| Aerococcus | 0.3 ± 0.1 | 0.001 ± 0.001 | 0.000003 |
| Adlercreutzia | 0.3 ± 0.1 | 0.0 ± 0.0 | NS |
| Lawsonella | 0.2 ± 0.2 | 0.05 ± 0.03 | NS |
| Methylorubrum | 0.2 ± 0.1 | 0.1 ± 0.03 | NS |
| Bifidobacterium | 0.1 ± 0.05 | 0.003 ± 0.004 | NS |
| Enterococcus | 0.01 ± 0.01 | 0.01 ± 0.01 | NS |
| Others | 1.4 ± 0.4 | 1.1 ± 0.3 | NS |
| Asymptomatic BV (n = 13) | Healthy Microbiota (n = 37) | |||
|---|---|---|---|---|
| t0 | t1 | t0 | t1 | |
| Streptococcus | 27.9 ± 17.1 | 17.0 ± 11.9 | 0.1 ± 0.03 | 0.1 ± 0.1 |
| Gardnerella | 19.7 ± 7.2 | 20.3 ± 10.1 | 0.5 ± 0.4 | 2.0 ± 1.6 |
| Lactobacillus | 17.2 ± 8.4 | 39.8 ± 22.3 | 95.4 ± 17.4 | 94.6 ± 18.1 |
| Alloscardovia | 10.6 ± 8.7 | 3.3 ± 3.3 | 0.003 ± 0.002 | 0.0 ± 0.0 |
| Escherichia | 4.8 * ± 2.3 | 1.0 ± 0.7 | 1.6 ± 0.8 | 0.7 ± 0.3 |
| Fannyhessea | 4.2 ± 2.0 | 6.8 ± 5.1 | 0.01 ± 0.01 | 0.01 ± 0.01 |
| Prevotella | 3.9 ± 1.7 | 2.2 ± 1.1 | 0.1 ± 0.1 | 0.02 ± 0.01 |
| Megasphaera | 3.6 * ± 1.6 | 1.3 ± 0.7 | 0.002 ± 0.001 | 0.004 ± 0.003 |
| Sneathia | 2.5 ± 1.4 | 1.2 ± 0.8 | 0.004 ± 0.004 | 0.008 ± 0.007 |
| Mageeibacillus | 1.1 ± 0.6 | 0.5 ± 0.3 | 0.006 ± 0.005 | 0.005 ± 0.003 |
| Botrimarina | 1.0 ± 0.8 | 0.8 ± 0.3 | 1.0 ± 0.3 | 1.1 ± 0.3 |
| Ureaplasma | 0.5 ± 0.4 | 0.2 ± 0.2 | 0.1 ± 0.1 | 0.2 ± 0.2 |
| Dialister | 0.4 ± 0.2 | 0.2 ± 0.1 | 0.001 ± 0.001 | 0.0003 ± 0.0003 |
| Cutibacterium | 0.1 ± 0.1 | 0.1 ± 0.04 | 0.02 ± 0.01 | 0.1 ± 0.03 |
| Aerococcus | 0.3 ± 0.1 | 0.2 ± 0.1 | 0.001 ± 0.001 | 0.0 ± 0.0 |
| Adlercreutzia | 0.3 ± 0.1 | 0.2 ± 0.1 | 0.0 ± 0.0 | 0.0 ± 0.0 |
| Lawsonella | 0.2 ± 0.2 | 0.2 ± 0.2 | 0.05 ± 0.03 | 0.1 ± 0.1 |
| Methylorubrum | 0.2 ± 0.1 | 0.1 ± 0.1 | 0.1 ± 0.03 | 0.1 ± 0.04 |
| Bifidobacterium | 0.1 ± 0.05 | 0 ± 0 | 0.003 ± 0.004 | 0.003 ± 0.004 |
| Enterococcus | 0.01 ± 0.01 | 4.1 ± 4.1 | 0.01 ± 0.01 | 0.002 ± 0.002 |
| Others | 1.4 ± 0.4 | 0.6 ± 0.2 | 1.1 ± 0.3 | 0.8 ± 0.2 |
Disclaimer/Publisher’s Note: The statements, opinions and data contained in all publications are solely those of the individual author(s) and contributor(s) and not of MDPI and/or the editor(s). MDPI and/or the editor(s) disclaim responsibility for any injury to people or property resulting from any ideas, methods, instructions or products referred to in the content. |
© 2024 by the authors. Licensee MDPI, Basel, Switzerland. This article is an open access article distributed under the terms and conditions of the Creative Commons Attribution (CC BY) license (https://creativecommons.org/licenses/by/4.0/).
Share and Cite
Filardo, S.; Di Pietro, M.; Mastromarino, P.; Porpora, M.G.; Sessa, R. A Multi-Strain Oral Probiotic Improves the Balance of the Vaginal Microbiota in Women with Asymptomatic Bacterial Vaginosis: Preliminary Evidence. Nutrients 2024, 16, 3469. https://doi.org/10.3390/nu16203469
Filardo S, Di Pietro M, Mastromarino P, Porpora MG, Sessa R. A Multi-Strain Oral Probiotic Improves the Balance of the Vaginal Microbiota in Women with Asymptomatic Bacterial Vaginosis: Preliminary Evidence. Nutrients. 2024; 16(20):3469. https://doi.org/10.3390/nu16203469
Chicago/Turabian StyleFilardo, Simone, Marisa Di Pietro, Paola Mastromarino, Maria Grazia Porpora, and Rosa Sessa. 2024. "A Multi-Strain Oral Probiotic Improves the Balance of the Vaginal Microbiota in Women with Asymptomatic Bacterial Vaginosis: Preliminary Evidence" Nutrients 16, no. 20: 3469. https://doi.org/10.3390/nu16203469
APA StyleFilardo, S., Di Pietro, M., Mastromarino, P., Porpora, M. G., & Sessa, R. (2024). A Multi-Strain Oral Probiotic Improves the Balance of the Vaginal Microbiota in Women with Asymptomatic Bacterial Vaginosis: Preliminary Evidence. Nutrients, 16(20), 3469. https://doi.org/10.3390/nu16203469

