Association between Visceral Adiposity Index and Hyperuricemia among Steelworkers: The Moderating Effects of Drinking Tea
Abstract
1. Introduction
2. Materials and Methods
2.1. Study Design and Participants
2.2. Date Collection and Measurement
2.3. VAI Calculations and Variable Definitions
2.4. Statistical Analysis
3. Results
3.1. General Characteristics of Participants
3.2. The Association between VAI and Hyperuricemia
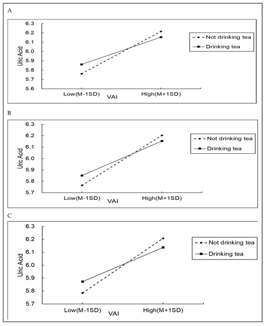
3.3. Moderating Effect of Drinking Tea on the Relationship between VAI and Uric Acid
4. Discussion
5. Conclusions
Supplementary Materials
Author Contributions
Funding
Institutional Review Board Statement
Informed Consent Statement
Data Availability Statement
Acknowledgments
Conflicts of Interest
References
- Liu, H.; Zhang, X.M.; Wang, Y.L.; Liu, B.C. Prevalence of hyperuricemia among Chinese adults: A national cross-sectional survey using multistage, stratified sampling. J. Nephrol. 2014, 27, 653–658. [Google Scholar] [CrossRef]
- Zhang, M.; Zhu, X.; Wu, J.; Huang, Z.; Zhao, Z.; Zhang, X.; Xue, Y.; Wan, W.; Li, C.; Zhang, W.; et al. Prevalence of Hyperuricemia Among Chinese Adults: Findings from Two Nationally Representative Cross-Sectional Surveys in 2015–16 and 2018–19. Front. Immunol. 2021, 12, 791983. [Google Scholar] [CrossRef]
- Chen, Y.; Yang, Y.; Zheng, Z.; Wang, H.; Wang, X.; Si, Z.; Meng, R.; Wang, G.; Wu, J. Influence of occupational exposure on hyperuricemia in steelworkers: A nested case-control study. BMC Public Health 2022, 22, 1508. [Google Scholar] [CrossRef]
- George, C.; Minter, D.A. Hyperuricemia. In StatPearls; StatPearls Publishing: Treasure Island, FL, USA, 2023. [Google Scholar]
- Chen, L.Y.; Zhu, W.H.; Chen, Z.W.; Dai, H.L.; Ren, J.J.; Chen, J.H.; Chen, L.Q.; Fang, L.Z. Relationship between hyperuricemia and metabolic syndrome. J. Zhejiang Univ. Sci. B 2007, 8, 593–598. [Google Scholar] [CrossRef]
- Ponticelli, C.; Podestà, M.A.; Moroni, G. Hyperuricemia as a trigger of immune response in hypertension and chronic kidney disease. Kidney Int. 2020, 98, 1149–1159. [Google Scholar] [CrossRef]
- Srivastava, A.; Kaze, A.D.; McMullan, C.J.; Isakova, T.; Waikar, S.S. Uric Acid and the Risks of Kidney Failure and Death in Individuals With CKD. Am. J. Kidney Dis. 2018, 71, 362–370. [Google Scholar] [CrossRef]
- Sluijs, I.; Beulens, J.W.; van der, A.D.; Spijkerman, A.M.; Schulze, M.B.; van der Schouw, Y.T. Plasma uric acid is associated with increased risk of type 2 diabetes independent of diet and metabolic risk factors. J. Nutr. 2013, 143, 80–85. [Google Scholar] [CrossRef]
- Gustafsson, D.; Unwin, R. The pathophysiology of hyperuricaemia and its possible relationship to cardiovascular disease, morbidity and mortality. BMC Nephrol. 2013, 14, 164. [Google Scholar] [CrossRef]
- Gao, Y.; Jia, S.; Li, D.; Huang, C.; Meng, Z.; Wang, Y.; Yu, M.; Xu, T.; Liu, M.; Sun, J.; et al. Prediction model of random forest for the risk of hyperuricemia in a Chinese basic health checkup test. Biosci. Rep. 2021, 41, BSR20203859. [Google Scholar] [CrossRef]
- Zhang, N.; Chang, Y.; Guo, X.; Chen, Y.; Ye, N.; Sun, Y. A Body Shape Index and Body Roundness Index: Two new body indices for detecting association between obesity and hyperuricemia in rural area of China. Eur. J. Intern. Med. 2016, 29, 32–36. [Google Scholar] [CrossRef]
- Zhang, Z.Q.; Deng, J.; He, L.P.; Ling, W.H.; Su, Y.X.; Chen, Y.M. Comparison of various anthropometric and body fat indices in identifying cardiometabolic disturbances in Chinese men and women. PLoS ONE 2013, 8, e70893. [Google Scholar] [CrossRef] [PubMed]
- Jiang, J.; Cui, J.; Yang, X.; Wang, A.; Mu, Y.; Dong, L.; Wang, S.; Gaisano, H.; Dou, J.; He, Y. Neck Circumference, a Novel Indicator for Hyperuricemia. Front. Physiol. 2017, 8, 965. [Google Scholar] [CrossRef]
- Nevill, A.M.; Stewart, A.D.; Olds, T.; Holder, R. Relationship between adiposity and body size reveals limitations of BMI. Am. J. Phys. Anthropol. 2006, 129, 151–156. [Google Scholar] [CrossRef]
- Burton, J.O.; Gray, L.J.; Webb, D.R.; Davies, M.J.; Khunti, K.; Crasto, W.; Carr, S.J.; Brunskill, N.J. Association of anthropometric obesity measures with chronic kidney disease risk in a non-diabetic patient population. Nephrol. Dial. Transplant. 2012, 27, 1860–1866. [Google Scholar] [CrossRef]
- Amato, M.C.; Giordano, C.; Galia, M.; Criscimanna, A.; Vitabile, S.; Midiri, M.; Galluzzo, A. Visceral Adiposity Index: A reliable indicator of visceral fat function associated with cardiometabolic risk. Diabetes Care 2010, 33, 920–922. [Google Scholar] [CrossRef] [PubMed]
- Yu, J.; Yi, Q.; Chen, G.; Hou, L.; Liu, Q.; Xu, Y.; Qiu, Y.; Song, P. The visceral adiposity index and risk of type 2 diabetes mellitus in China: A national cohort analysis. Diabetes Metab. Res. Rev. 2022, 38, e3507. [Google Scholar] [CrossRef]
- Zhang, Z.; Shi, D.; Zhang, Q.; Wang, S.; Liu, K.; Meng, Q.; Chen, X. Visceral adiposity index (VAI), a powerful predictor of incident hypertension in prehypertensives. Intern. Emerg. Med. 2018, 13, 509–516. [Google Scholar] [CrossRef]
- Liu, H.; Song, X.; Zhu, J.; Zhou, W.; Wang, T.; Yu, C.; Zhu, L.; Cheng, X.; Bao, H. The elevated visceral adiposity index increases the risk of hyperuricemia in Chinese hypertensive patients: A cross-sectional study. Front. Endocrinol. 2022, 13, 1038971. [Google Scholar] [CrossRef]
- Liu, X.Z.; Li, H.H.; Huang, S.; Zhao, D.B. Association between hyperuricemia and nontraditional adiposity indices. Clin. Rheumatol. 2019, 38, 1055–1062. [Google Scholar] [CrossRef]
- Wang, W.; Zhang, D.; Xu, C.; Wu, Y.; Duan, H.; Li, S.; Tan, Q. Heritability and Genome-Wide Association Analyses of Serum Uric Acid in Middle and Old-Aged Chinese Twins. Front. Endocrinol. 2018, 9, 75. [Google Scholar] [CrossRef] [PubMed]
- Li, R.; Yu, K.; Li, C. Dietary factors and risk of gout and hyperuricemia: A meta-analysis and systematic review. Asia Pac. J. Clin. Nutr. 2018, 27, 1344–1356. [Google Scholar] [CrossRef] [PubMed]
- Afinogenova, Y.; Danve, A.; Neogi, T. Update on gout management: What is old and what is new. Curr. Opin. Rheumatol. 2022, 34, 118–124. [Google Scholar] [CrossRef]
- Danve, A.; Sehra, S.T.; Neogi, T. Role of diet in hyperuricemia and gout. Best Pract. Res. Clin. Rheumatol. 2021, 35, 101723. [Google Scholar] [CrossRef]
- Khan, N.; Mukhtar, H. Tea Polyphenols in Promotion of Human Health. Nutrients 2018, 11, 39. [Google Scholar] [CrossRef]
- Sang, S.; Wang, L.; Liang, T.; Su, M.; Li, H. Potential role of tea drinking in preventing hyperuricaemia in rats: Biochemical and molecular evidence. Chin. Med. 2022, 17, 108. [Google Scholar] [CrossRef]
- Yen Jean, M.C.; Hsu, C.C.; Hung, W.C.; Lu, Y.C.; Wang, C.P.; Tsai, I.T.; Lu, I.C.; Hung, Y.H.; Chung, F.M.; Lee, Y.J.; et al. Association between lifestyle and hematological parameters: A study of Chinese male steelworkers. J. Clin. Lab. Anal. 2019, 33, e22946. [Google Scholar] [CrossRef]
- Li, X.; Xu, X.; Song, Y.; Cui, S.; Xue, C.; Wang, L.; Wu, J.; Yuan, J. An association between cumulative exposure to light at night and the prevalence of hyperuricemia in steel workers. Int. J. Occup. Med. Environ. Health 2021, 34, 385–401. [Google Scholar] [CrossRef] [PubMed]
- Li, L.; He, J.; Ouyang, F.; Qiu, D.; Li, Y.; Luo, D.; Yu, Y.; Xiao, S. Sociodemographic disparity in health-related behaviours and dietary habits among public workers in China: A cross-sectional study. BMJ Open 2021, 11, e047462. [Google Scholar] [CrossRef]
- Chen, C.; Xu, Y.; Guo, Z.R.; Yang, J.; Wu, M.; Hu, X.S. The application of visceral adiposity index in identifying type 2 diabetes risks based on a prospective cohort in China. Lipids Health Dis. 2014, 13, 108. [Google Scholar] [CrossRef]
- Feig, D.I.; Kang, D.H.; Johnson, R.J. Uric acid and cardiovascular risk. N. Engl. J. Med. 2008, 359, 1811–1821. [Google Scholar] [CrossRef] [PubMed]
- Ministerio de Sanidad Ministerio de Sanidad CyBS. Portal Estadístico del SNS. Available online: https://www.mscbs.gob.es/estadEstudios/estadisticas/EncuestaEuropea/Enc_Eur_Salud_en_Esp_2020.htm (accessed on 30 November 2021).
- Li, M.; Xu, Y.; Xu, M.; Ma, L.; Wang, T.; Liu, Y.; Dai, M.; Chen, Y.; Lu, J.; Liu, J.; et al. Association between nonalcoholic fatty liver disease (NAFLD) and osteoporotic fracture in middle-aged and elderly Chinese. J. Clin. Endocrinol. Metab. 2012, 97, 2033–2038. [Google Scholar] [CrossRef] [PubMed]
- Li, Y.; Shen, Z.; Zhu, B.; Zhang, H.; Zhang, X.; Ding, X. Demographic, regional and temporal trends of hyperuricemia epidemics in mainland China from 2000 to 2019: A systematic review and meta-analysis. Glob. Health Action 2021, 14, 1874652. [Google Scholar] [CrossRef] [PubMed]
- Zhang, S. Association of Shift Work and Rhythm-Related Gene Polymorphisms with HUA in Steelworkers. Master’s Thesis, North China University of Technology, Beijing, China, 2019. [Google Scholar]
- Adnan, E.; Rahman, I.A.; Faridin, H.P. Relationship between insulin resistance, metabolic syndrome components and serum uric acid. Diabetes Metab. Syndr. 2019, 13, 2158–2162. [Google Scholar] [CrossRef] [PubMed]
- Miao, Z.; Yan, S.; Wang, J.; Wang, B.; Li, Y.; Xing, X.; Yuan, Y.; Meng, D.; Wang, L.; Gu, J.; et al. Insulin resistance acts as an independent risk factor exacerbating high-purine diet induced renal injury and knee joint gouty lesions. Inflamm. Res. 2009, 58, 659–668. [Google Scholar] [CrossRef] [PubMed]
- Takahashi, S.; Yamamoto, T.; Tsutsumi, Z.; Moriwaki, Y.; Yamakita, J.; Higashino, K. Close correlation between visceral fat accumulation and uric acid metabolism in healthy men. Metabolism 1997, 46, 1162–1165. [Google Scholar] [CrossRef]
- Tamba, S.; Nishizawa, H.; Funahashi, T.; Okauchi, Y.; Ogawa, T.; Noguchi, M.; Fujita, K.; Ryo, M.; Kihara, S.; Iwahashi, H.; et al. Relationship between the serum uric acid level, visceral fat accumulation and serum adiponectin concentration in Japanese men. Intern. Med. 2008, 47, 1175–1180. [Google Scholar] [CrossRef]
- Fruehwald-Schultes, B.; Peters, A.; Kern, W.; Beyer, J.; Pfützner, A. Serum leptin is associated with serum uric acid concentrations in humans. Metabolism 1999, 48, 677–680. [Google Scholar] [CrossRef]
- Sirotkin, A.V.; Kolesárová, A. The anti-obesity and health-promoting effects of tea and coffee. Physiol. Res. 2021, 70, 161–168. [Google Scholar] [CrossRef]
- Zhang, Y.; Cui, Y.; Li, X.A.; Li, L.J.; Xie, X.; Huang, Y.Z.; Deng, Y.H.; Zeng, C.; Lei, G.H. Is tea consumption associated with the serum uric acid level, hyperuricemia or the risk of gout? A systematic review and meta-analysis. BMC Musculoskelet. Disord. 2017, 18, 95. [Google Scholar] [CrossRef]
- Chen, G.; Tan, M.L.; Li, K.K.; Leung, P.C.; Ko, C.H. Green tea polyphenols decreases uric acid level through xanthine oxidase and renal urate transporters in hyperuricemic mice. J. Ethnopharmacol. 2015, 175, 14–20. [Google Scholar] [CrossRef]
- Bae, J.; Park, P.S.; Chun, B.Y.; Choi, B.Y.; Kim, M.K.; Shin, M.H.; Lee, Y.H.; Shin, D.H.; Kim, S.K. The effect of coffee, tea, and caffeine consumption on serum uric acid and the risk of hyperuricemia in Korean Multi-Rural Communities Cohort. Rheumatol. Int. 2015, 35, 327–336. [Google Scholar] [CrossRef] [PubMed]
- Teng, G.G.; Tan, C.S.; Santosa, A.; Saag, K.G.; Yuan, J.M.; Koh, W.P. Serum urate levels and consumption of common beverages and alcohol among Chinese in Singapore. Arthritis Care Res. 2013, 65, 1432–1440. [Google Scholar] [CrossRef] [PubMed]
- Liu, B.; Wang, T.; Zhao, H.N.; Yue, W.W.; Yu, H.P.; Liu, C.X.; Yin, J.; Jia, R.Y.; Nie, H.W. The prevalence of hyperuricemia in China: A meta-analysis. BMC Public Health 2011, 11, 832. [Google Scholar] [CrossRef]
- Redon, P.; Maloberti, A.; Facchetti, R.; Redon, J.; Lurbe, E.; Bombelli, M.; Mancia, G.; Grassi, G. Gender-related differences in serum uric acid in treated hypertensive patients from central and east European countries: Findings from the Blood Pressure control rate and CArdiovascular Risk profilE study. J. Hypertens. 2019, 37, 380–388. [Google Scholar] [CrossRef] [PubMed]
- Kolz, M.; Johnson, T.; Sanna, S.; Teumer, A.; Vitart, V.; Perola, M.; Mangino, M.; Albrecht, E.; Wallace, C.; Farrall, M.; et al. Meta-analysis of 28,141 individuals identifies common variants within five new loci that influence uric acid concentrations. PLoS Genet. 2009, 5, e1000504. [Google Scholar] [CrossRef]
- Tea. IARC Monogr. Eval. Carcinog. Risks Hum. 1991, 51, 207–271.
- Guo, C.; Liu, X.; Liao, X.; Wu, H.; Zhang, Z.; Wu, D.; Ma, R.; Huang, Y.; Zhao, N.; Xiao, Y.; et al. Associations of co-exposure to polycyclic aromatic hydrocarbons and metals with hyperuricemia risk in Chinese coke oven workers: Mediating roles of oxidative damage. Environ. Pollut. 2023, 318, 120891. [Google Scholar] [CrossRef]
- Cao, P.; Cai, J.; Gupta, R.C. Effect of green tea catechins and hydrolyzable tannins on benzo[a]pyrene-induced DNA adducts and structure-activity relationship. Chem. Res. Toxicol. 2010, 23, 771–777. [Google Scholar] [CrossRef]
- de Angelis, R.C.; Terra, I.C.; Scialfa, J.H.; Klemps, I. Dietary nitrite and scavenger antioxidants trace elements. Int. J. Food Sci. Nutr. 1996, 47, 23–26. [Google Scholar] [CrossRef]
- Vermeer, I.T.; Moonen, E.J.; Dallinga, J.W.; Kleinjans, J.C.; van Maanen, J.M. Effect of ascorbic acid and green tea on endogenous formation of N-nitrosodimethylamine and N-nitrosopiperidine in humans. Mutat. Res. 1999, 428, 353–361. [Google Scholar] [CrossRef]



| Characteristics | Total Participants (n = 8159) | Quartile 1 (n = 2025) | Quartile 2 (n = 2054) | Quartile 3 (n = 2038) | Quartile 4 (n = 2042) | p |
|---|---|---|---|---|---|---|
| Ages (years) a | 45.04 ± 9.34 | 44.51 ± 9.95 | 45.22 ± 9.48 | 45.43 ± 9.10 | 45.02 ± 8.75 | 0.013 |
| WC (cm) a | 80.72 ± 3.02 | 80.52 ± 3.05 | 80.57 ± 2.98 | 80.79 ± 3.00 | 80.99 ± 3.02 | <0.001 |
| BMI a | 24.99 ± 3.43 | 24.26 ± 3.51 | 24.72 ± 3.39 | 25.34 ± 3.34 | 25.64 ± 3.33 | <0.001 |
| VAI c | 2.37 (1.41–4.06) | 0.99 (0.78–1.21) | 1.85 (1.62–2.09) | 3.03 (2.69–3.45) | 6.02 (4.85–8.64) | <0.001 |
| SBP (mm Hg) a | 130.78 ± 13.18 | 129.15 ± 13.37 | 130.17 ± 12.99 | 131.39 ± 12.69 | 132.41 ± 13.42 | <0.001 |
| DBP (mm Hg) a | 82.99 ± 9.38 | 81.23 ± 9.38 | 82.49 ± 9.09 | 83.70 ± 9.14 | 84.53 ± 9.56 | <0.001 |
| FBG (mmol/L) a | 5.73 ± 1.39 | 5.45 ± 0.88 | 5.65 ± 1.32 | 5.77 ± 1.38 | 6.07 ± 1.77 | <0.001 |
| TC (mmol/L) a | 5.10 ± 0.99 | 5.07 ± 1.00 | 5.10 ± 1.00 | 5.11 ± 0.94 | 5.13 ± 1.00 | 0.202 |
| TG (mmol/L) a | 1.65 (1.11–2.55) | 1.62 (1.08–2.45) | 1.65 (1.10–2.56) | 1.66 (1.10–2.61) | 1.69 (1.14–2.61) | 0.122 |
| HDL-C (mmol/L) a | 1.26 ± 0.30 | 1.26 ± 0.29 | 1.26 ± 0.29 | 1.27 ± 0.29 | 1.25 ± 0.29 | 0.488 |
| LDL-C (mmol/L) a | 2.90 ± 0.76 | 2.90 ± 0.78 | 2.89 ± 0.77 | 2.89 ± 0.74 | 2.90 ± 0.76 | 0.947 |
| SUA (mg/dL) a | 6.16 ± 1.34 | 5.65 ± 1.26 | 6.03 ± 1.27 | 6.36 ± 1.32 | 6.62 ± 1.34 | <0.001 |
| Smoking (n, %) b | 4691 (57.49) | 1172 (57.59) | 1171 (57.01) | 1145 (56.38) | 1203 (59.00) | 0.371 |
| Drinking alcohol (n, %) b | 4342 (53.22) | 1077 (52.92) | 1103 (53.70) | 1082 (53.27) | 1080 (52.97) | 0.957 |
| Smoked food (n, %) b | 6080 (74.52) | 1513 (74.35) | 1519 (73.95) | 1516 (74.64) | 1532 (75.13) | 0.849 |
| Pickled food (n, %) b | 5095 (62.45) | 1279 (62.85) | 1259 (61.30) | 1290 (63.52) | 1267 (62.14) | 0.498 |
| Physical activity (n, %) b | 2316 (26.20) | 545 (22.62) | 532 (25.91) | 541 (26.55) | 518 (25.37) | 0.522 |
| Drinking tea (n, %) b | 4675 (57.30) | 1158 (56.90) | 1203 (58.57) | 1129 (55.59) | 1185 (58.12) | 0.215 |
| Frequency of Drinking tea (n, %) b | 0.262 | |||||
| ≥ 3 cups per day | 1521 (32.53) | 362 (31.26) | 403 (33.50) | 388 (34.37) | 368 (31.05) | |
| 1–2 cups per day | 2316 (49.54) | 563 (48.62 | 595 (49.46) | 558 (49.42) | 600 (50.63) | |
| 4–6 cups per week | 323 (6.91) | 85 (7.34) | 88 (7.32) | 68 (6.02) | 82 (6.92) | |
| 1–3 cups per week | 515 (11.02) | 148 (12.78) | 117 (9.72) | 115 (10.19) | 135 (11.40) | |
| Occupational exposure (n, %) b | 2977 (36.49) | 818 (40.20) | 708 (34.47) | 716 (35.25) | 735 (36.05) | <0.001 |
| Hyperuricemia (n, %) b | 1992 (24.41) | 274 (13.46) | 426 (20.74) | 564 (27.77) | 728 (35.70) | <0.001 |
| Hypertension (n, %) b | 1225 (15.01) | 249 (12.24) | 273 (13.29) | 337 (16.59) | 366 (17.95) | <0.001 |
| Diabetes (n, %) b | 605 (7.42) | 63 (3.10) | 136 (6.62) | 151 (7.43) | 255 (12.51) | <0.001 |
| Characteristics | Total Participants (n = 1769) | Quartile 1 (n = 442) | Quartile 2 (n = 446) | Quartile 3 (n = 436) | Quartile 4 (n = 445) | p |
|---|---|---|---|---|---|---|
| Ages (years) a | 43.85 ± 8.08 | 42.42 ± 8.36 | 43.56 ± 7.83 | 44.63 ± 8.26 | 44.77 ± 7.66 | <0.001 |
| WC (cm) a | 70.23 ± 2.79 | 70.11 ± 2.76 | 70.39 ± 2.84 | 70.14 ± 2.66 | 70.27 ± 2.90 | 0.404 |
| BMI a | 23.24 ± 3.40 | 22.30 ± 3.28 | 22.67 ± 3.05 | 23.94 ± 3.51 | 24.05 ± 3.39 | <0.001 |
| VAI c | 1.45 (0.84–2.46) | 0.61 (0.47–0.72) | 1.10 (0.95–1.25) | 1.88 (1.64–2.15) | 3.73 (2.91–5.20) | <0.001 |
| SBP (mm Hg) a | 124.18 ± 13.53 | 120.69 ± 12.44 | 123.55 ± 13.83 | 125.86 ± 12.69 | 126.60 ± 14.30 | <0.001 |
| DBP (mm Hg) a | 78.44 ± 9.08 | 75.79 ± 8.84 | 78.13 ± 8.97 | 79.56 ± 8.70 | 80.25 ± 9.18 | <0.001 |
| FBG (mmol/L) a | 5.50 ± 1.00 | 5.26 ± 0.45 | 5.42 ± 0.76 | 5.50 ± 0.89 | 5.81 ± 1.50 | <0.001 |
| TC (mmol/L) a | 5.02 ± 0.97 | 4.96 ± 0.95 | 5.02 ± 1.07 | 5.08 ± 0.89 | 5.03 ± 0.96 | 0.338 |
| TG (mmol/L) c | 1.57 (1.03–2.46) | 1.65 (1.04–2.42) | 1.48 (0.96–2.35) | 1.63 (1.05–2.49) | 1.62 (1.08–2.56) | 0.168 |
| HDL-C (mmol/L) a | 1.26 ± 0.29 | 1.25 ± 0.31 | 1.28 ± 0.30 | 1.26 ± 0.29 | 1.26 ± 0.30 | 0.585 |
| LDL-C (mmol/L) a | 2.86 ± 0.77 | 2.81 ± 0.71 | 2.87 ± 0.84 | 2.88 ± 0.75 | 2.88 ± 0.77 | 0.532 |
| SUA (mg/dL) a | 5.00 ± 1.30 | 4.36 ± 1.05 | 4.70 ± 1.11 | 5.14 ± 1.25 | 5.81 ± 1.32 | <0.001 |
| Smoking (n, %) b | 1040 (58.76) | 258 (59.31) | 273 (60.40) | 254 (58.26) | 255 (57.17) | 0.786 |
| Drinking alcohol (n, %) b | 923 (52.18) | 212 (48.74) | 235 (51.99) | 235 (53.90) | 241 (54.04) | 0.361 |
| Smoked food (n, %) b | 1312 (74.17) | 319 (73.33) | 332 (73.45) | 319 (73.17) | 342 (76.68) | 0.577 |
| Pickled food (n, %) b | 1112 (62.86) | 257 (61.26) | 282 (66.78) | 277 (67.80) | 296 (61.72) | 0.162 |
| Physical activity (n, %) b | 473 (26.70) | 114 (25.76) | 115 (25.78) | 135 (30.96) | 109 (24.49) | 0.113 |
| Drinking tea (n, %) b | 1029 (58.17) | 270 (62.07) | 269 (59.51) | 248 (56.88) | 242 (54.26) | 0.104 |
| Frequency of Drinking tea (n, %) b | 0858 | |||||
| ≥3 cups per day | 329 (31.97) | 87 (32.22) | 79 (29.37) | 86 (34.68) | 77 (31.82) | |
| 1–2 cups per day | 527 (51.21) | 140 (51.85) | 143 (53.16) | 118 (47.58) | 126 (52.07) | |
| 4–6 cups per week | 73 (7.09) | 21 (7.78) | 16 (5.95) | 20 (8.06) | 16 (6.61) | |
| 1–3 cups per week | 100 (9.73) | 22 (8.15) | 31 (11.52) | 24 (9.68) | 23 (9.50) | |
| Occupational exposure (n, %) b | 528 (29.85) | 62 (14.25) | 96 (35.69) | 139 (31.88) | 231 (51.79) | <0.001 |
| Hyperuricemia (n, %) b | 365 (20.63) | 31 (7.13) | 59 (13.05) | 99 (22.71) | 176 (39.46) | <0.001 |
| Hypertension (n, %) b | 126 (7.12) | 14 (3.22) | 31 (6.86) | 34 (7.80) | 47 (10.54) | <0.001 |
| Diabetes (n, %) b | 46 (2.60) | 1 (0.23) | 8 (1.77) | 9 (2.06) | 28 (6.28) | <0.001 |
| Model 1 OR (95 CI%) | p | Model 2 OR (95 CI%) | p | Model 3 OR (95 CI%) | p | |
|---|---|---|---|---|---|---|
| Male | ||||||
| Continuous of ln VAI | 1.78 (1.66–1.90) | <0.001 | 1.79 (1.67–1.91) | <0.001 | 1.76 (1.64–1.89) | <0.001 |
| Quartile of VAI | ||||||
| Q 1 | Ref. | Ref. | Ref. | |||
| Q 2 | 1.68 (1.42–1.99) | <0.001 | 1.75 (1.11–2.76) | 0.016 | 1.75 (1.11–2.71) | 0.017 |
| Q 3 | 2.47 (2.11–2.90) | <0.001 | 2.67 (1.75–4.08) | <0.001 | 2.56 (1.67–3.93) | <0.001 |
| Q 4 | 3.57 (3.05–4.17) | <0.001 | 5.32 (3.52–8.05) | <0.001 | 4.89 (3.22–7.43) | <0.001 |
| p for trend | <0.001 | <0.001 | <0.001 | |||
| Female | ||||||
| Continuous of ln VAI | 2.98 (2.51–3.53) | <0.001 | 3.03 (2.55–3.59) | <0.001 | 2.13 (1.76–2.57) | <0.001 |
| Quartile of VAI | ||||||
| Q 1 | Ref. | Ref. | Ref. | |||
| Q 2 | 1.96 (1.21–3.09) | 0.004 | 2.72 (1.99–3.71) | <0.001 | 1.99 (1.40–2.82) | <0.001 |
| Q 3 | 3.83 (2.49–5.88) | <0.001 | 5.27 (3.72–7.46) | <0.001 | 2.92 (1.96–4.34) | <0.001 |
| Q 4 | 8.50 (5.63–12.82) | <0.001 | 8.25 (5.59–12.19) | <0.001 | 4.51 (2.89–7.02) | <0.001 |
| p for trend | <0.001 | <0.001 | <0.001 |
| Variables | All Population (n = 9928) | Sex | Smoked Food | Pickled Food | |||
|---|---|---|---|---|---|---|---|
| Male (8159) | Female (1769) | Yes (7392) | No (2536) | Yes (6207) | No (3721) | ||
| β | β | β | |||||
| Constant | 7.720 *** | 6.963 *** | 4.051 *** | 7.614 *** | 8.031 *** | 7.661 *** | 7.872 *** |
| VAI (X) | 0.051 *** | 0.045 *** | 0.112 *** | 0.051 *** | 0.052 *** | 0.047 | 0.059 |
| Drinking tea (W) | 0.008 | −0.035 | −0.064 | 0.031 | −0.060 | 0.023 | −0.022 |
| lnt (X*W) | −0.009 | −0.014 * | 0.010 | −0.020 * | 0.022 | −0.022 * | 0.017 |
Disclaimer/Publisher’s Note: The statements, opinions and data contained in all publications are solely those of the individual author(s) and contributor(s) and not of MDPI and/or the editor(s). MDPI and/or the editor(s) disclaim responsibility for any injury to people or property resulting from any ideas, methods, instructions or products referred to in the content. |
© 2024 by the authors. Licensee MDPI, Basel, Switzerland. This article is an open access article distributed under the terms and conditions of the Creative Commons Attribution (CC BY) license (https://creativecommons.org/licenses/by/4.0/).
Share and Cite
Huang, X.; Zhong, Z.; He, J.; Them, S.; Chen, M.; Liu, A.; Tan, H.; Wen, S.; Deng, J. Association between Visceral Adiposity Index and Hyperuricemia among Steelworkers: The Moderating Effects of Drinking Tea. Nutrients 2024, 16, 3221. https://doi.org/10.3390/nu16183221
Huang X, Zhong Z, He J, Them S, Chen M, Liu A, Tan H, Wen S, Deng J. Association between Visceral Adiposity Index and Hyperuricemia among Steelworkers: The Moderating Effects of Drinking Tea. Nutrients. 2024; 16(18):3221. https://doi.org/10.3390/nu16183221
Chicago/Turabian StyleHuang, Xun, Zixin Zhong, Junwei He, Seydaduong Them, Mengshi Chen, Aizhong Liu, Hongzhuan Tan, Shiwu Wen, and Jing Deng. 2024. "Association between Visceral Adiposity Index and Hyperuricemia among Steelworkers: The Moderating Effects of Drinking Tea" Nutrients 16, no. 18: 3221. https://doi.org/10.3390/nu16183221
APA StyleHuang, X., Zhong, Z., He, J., Them, S., Chen, M., Liu, A., Tan, H., Wen, S., & Deng, J. (2024). Association between Visceral Adiposity Index and Hyperuricemia among Steelworkers: The Moderating Effects of Drinking Tea. Nutrients, 16(18), 3221. https://doi.org/10.3390/nu16183221

