Oxygen Consumption Predicts Long-Term Outcome of Patients with Left Ventricular Assist Devices
Abstract
1. Introduction
2. Methods and Materials
2.1. Ethical Approval
2.2. Study Design and Patients
2.3. Statistical Analysis
2.4. Data Availability
3. Results
3.1. Longitudinal Pattern of CI, CO, VO2, DO2, O2ER, DO2 and SvO2 of in-Hospital Survivors and Non-Survivors after LVAD Implantation
3.2. Differences in VO2 Levels of Non-Survivors, Patients on Pump and Patients Undergoing Transplantation after 1 and 5 Years
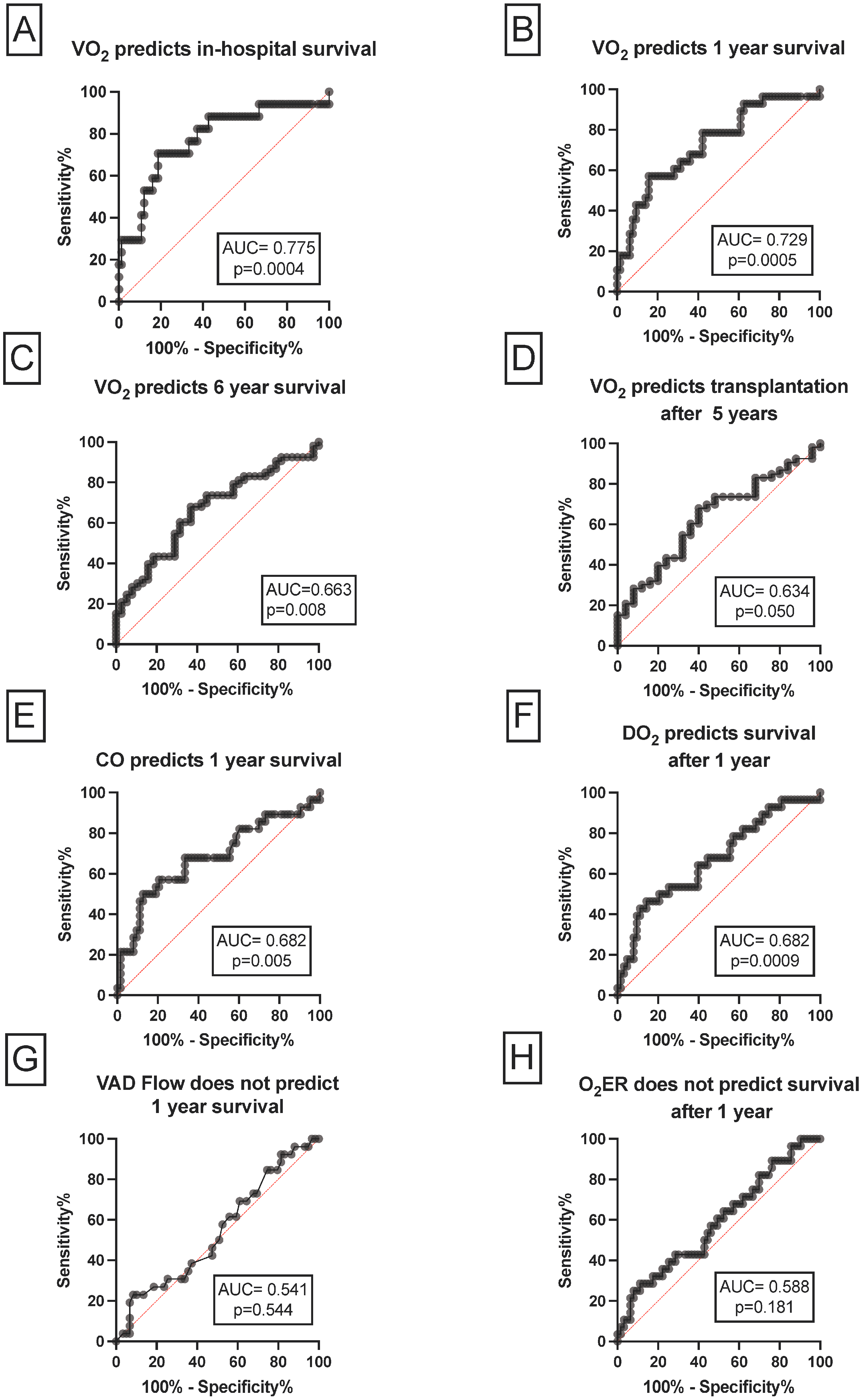
3.3. The Association between VO2, CO and DO2 and Short- and Long-Term Outcomes
3.4. Univariate and Multivariate Cox Regression Analyses for VO2 for in-Hospital as well as 1- and 6-Year Mortality
4. Discussion
5. Conclusions
Author Contributions
Funding
Institutional Review Board Statement
Informed Consent Statement
Data Availability Statement
Conflicts of Interest
References
- McDonagh, T.A.; Metra, M.; Adamo, M.; Gardner, R.S.; Baumbach, A.; Böhm, M.; Burri, H.; Butler, J.; Čelutkienė, J.; Chioncel, O.; et al. 2021 ESC Guidelines for the diagnosis and treatment of acute and chronic heart failure: Developed by the Task Force for the diagnosis and treatment of acute and chronic heart failure of the European Society of Cardiology (ESC) With the special contribution of the Heart Failure Association (HFA) of the ESC. Rev. Esp. Cardiol. 2022, 75, 523. [Google Scholar] [CrossRef] [PubMed]
- Heidenreich, P.A.; Bozkurt, B.; Aguilar, D.; Allen, L.A.; Byun, J.J.; Colvin, M.M.; Deswal, A.; Drazner, M.H.; Dunlay, S.M.; Evers, L.R.; et al. 2022 ACC/AHA/HFSA Guideline for the Management of Heart Failure. J. Card. Fail. 2022, 28, e1–e167. [Google Scholar] [CrossRef] [PubMed]
- Doulamis, I.P.; Inampudi, C.; Kourek, C.; Mandarada, T.; Kuno, T.; Asleh, R.; Briasoulis, A. Characteristics and outcomes of left ventricular assist device recipients transplanted before and after the new donor heart allocation system. Artif. Organs 2022, 46, 2460–2468. [Google Scholar] [CrossRef] [PubMed]
- Mancini, D.; Colombo, P.C. Left Ventricular Assist Devices: A rapidly evolving alternative to transplant. J. Am. Coll. Cardiol. 2015, 65, 2542–2555. [Google Scholar] [CrossRef] [PubMed]
- Bole, I.; Rodgers, D.; Smith, B.; Nguyen, A.; Chung, B.; Kalantari, S.; Sarswat, N.; Kim, G.; Song, T.; Ota, T.; et al. Estimated versus actual oxygen consumption in patients supported with lvads. J. Heart Lung Transplant. 2021, 40, S449–S450. [Google Scholar] [CrossRef]
- Veraar, C.; Fischer, A.; Bernardi, M.H.; Sulz, I.; Mouhieddine, M.; Dworschak, M.; Tschernko, E.; Lassnigg, A.; Hiesmayr, M. Absent Metabolic Transition from the Early to the Late Period in Non-Survivors Post Cardiac Surgery. Nutrients 2022, 14, 3366. [Google Scholar] [CrossRef]
- Uber, A.; Grossestreuer, A.V.; Ross, C.E.; Patel, P.V.; Trehan, A.; Donnino, M.W.; Berg, K.M. Preliminary observations in systemic oxygen consumption during targeted temperature management after cardiac arrest. Resuscitation 2018, 127, 89–94. [Google Scholar] [CrossRef]
- Astiz, M.; Rackow, E.C.; Weil, M.H.; Schumer, W. Early impairment of oxidative metabolism and energy production in severe sepsis. Circ. Shock 1988, 26, 311–320. [Google Scholar]
- Allen, S.J.; Sidebotham, D. Postoperative care and complications after ventricular assist device implantation. Best Pr. Res. Clin. Anaesthesiol. 2012, 26, 231–246. [Google Scholar] [CrossRef]
- Quintana-Villamandos, B.; Barranco, M.; Fernández, I.; Ruiz, M.; del Cañizo, J.F. New Advances in Monitoring Cardiac Output in Circulatory Mechanical Assistance Devices. A Validation Study in a Porcine Model. Front. Physiol. 2021, 12, 634779. [Google Scholar] [CrossRef]
- Mets, B.; Frumento, R.; Bennett-Guerrero, E.; Naka, Y. Validation of continuous thermodilution cardiac output in patients implanted with a left ventricular assist device. J. Cardiothorac. Vasc. Anesthesia 2002, 16, 727–730. [Google Scholar] [CrossRef]
- Pope, J.V.; Jones, A.E.; Gaieski, D.F.; Arnold, R.C.; Trzeciak, S.; Shapiro, N.I. Multicenter Study of Central Venous Oxygen Saturation (ScvO2) as a Predictor of Mortality in Patients With Sepsis. Ann. Emerg. Med. 2010, 55, 40–46.e1. [Google Scholar] [CrossRef]
- De Backer, D.; A Ortiz, J.; Salgado, D. Coupling microcirculation to systemic hemodynamics. Curr. Opin. Crit. Care 2010, 16, 250–254. [Google Scholar] [CrossRef]
- De Waal, E.E.C.; Van Zaane, B.; Van Der Schoot, M.M.; Huisman, A.; Ramjankhan, F.; Van Klei, W.A.; Marczin, N. Vasoplegia after implantation of a continuous flow left ventricular assist device: Incidence, outcomes and predictors. BMC Anesthesiol. 2018, 18, 185. [Google Scholar] [CrossRef]
- Os, M.M.D.; Brom, C.E.V.D.; van Leeuwen, A.L.I.; Dekker, N.A.M. Microcirculatory perfusion disturbances following cardiopulmonary bypass: A systematic review. Crit. Care 2020, 24, 218. [Google Scholar] [CrossRef]
- Veraar, C.M.; Rinösl, H.; Kühn, K.; Skhirtladze-Dworschak, K.; Felli, A.; Mouhieddine, M.; Menger, J.; Pataraia, E.; Ankersmit, H.J.; Dworschak, M. Non-pulsatile blood flow is associated with enhanced cerebrovascular carbon dioxide reactivity and an attenuated relationship between cerebral blood flow and regional brain oxygenation. Crit. Care 2019, 23, 426. [Google Scholar] [CrossRef]
- Carré, J.E.; Orban, J.-C.; Re, L.; Felsmann, K.; Iffert, W.; Bauer, M.; Suliman, H.B.; Piantadosi, C.A.; Mayhew, T.M.; Breen, P.; et al. Survival in Critical Illness Is Associated with Early Activation of Mitochondrial Biogenesis. Am. J. Respir. Crit. Care Med. 2010, 182, 745–751. [Google Scholar] [CrossRef]
- Fink, M. Cytopathic hypoxia in sepsis. Acta Anaesthesiol. Scand. 1997, 41, 87–95. [Google Scholar] [CrossRef]
- Nepomuceno, R.G.; Goldraich, L.A.; De, S.; Hegazy, A.F.; Bainbridge, D.; Algadheeb, M.; Nagpal, A.D. Critical Care Management of the Acute Postimplant LVAD Patient. Can. J. Cardiol. 2020, 36, 313–316. [Google Scholar] [CrossRef]
- Briassoulis, P.; Ilia, S.; Briassouli, E.; Briassoulis, G. External Validation with Accuracy Confounders of VCO2-Derived Predicted Energy Expenditure Compared to Resting Energy Expenditure Measured by Indirect Calorimetry in Mechanically Ventilated Children. Nutrients 2022, 14, 4211. [Google Scholar] [CrossRef]
- Briassoulis, G.; Briassouli, E.; Ilia, S.; Briassoulis, P. External Validation of Equations to Estimate Resting Energy Expenditure in Critically Ill Children and Adolescents with and without Malnutrition: A Cross-Sectional Study. Nutrients 2022, 14, 4149. [Google Scholar] [CrossRef] [PubMed]
- Nakahira, K.; Kyung, S.-Y.; Rogers, A.J.; Gazourian, L.; Youn, S.; Massaro, A.F.; Quintana, C.; Osorio, J.C.; Wang, Z.; Zhao, Y.; et al. Circulating Mitochondrial DNA in Patients in the ICU as a Marker of Mortality: Derivation and Validation. PLoS Med. 2013, 10, e1001577. [Google Scholar] [CrossRef] [PubMed]



| Variables | |
|---|---|
| CvO2 | =Hb × 1.37 × SvO2 + 0.003 × PvO2 |
| CaO2 | =Hb × 1.37 × SaO2 + 0.003 × PaO2 |
| DO2 | =CO × CaO2 × 10 |
| VO2 | =CO × (CaO2 − CvO2) × 10 |
| O2ER | =VO2/DO2 = CaO2/(CaO2 − CvO2) |
| TPR | =(MAP − CVP)/CO × 80 |
| Total n = 93 | Survivor n = 76 | Non-Survivor n = 17 | p-Value | |
|---|---|---|---|---|
| Demographic data | ||||
| Female: male # | 12 (100): 81 (100) | 8 (66): 68 (84) | 4 (33): 13 (16) | 0.148 |
| Age (years) ## | 61 ± 9 | 60 ± 9 | 65 ± 8 | 0.041 |
| BMI (kg/m2) ## | 26.4 ± 4.5 | 26.5 ± 4.4 | 26.1 ± 4.8 | 0.736 |
| BSA (m2) ## | 1.9 ± 0.2 | 1.9 ± 0.2 | 1.9 ± 0.3 | 0.406 |
| DM # | 27 (29) | 22 (28) | 5 (29) | 0.970 |
| COPD # | 20 (21) | 15 | 5 (29) | 0.380 |
| sCR * | 1.6 ± 0.9 | 1.4 ± 0.5 | 2.3 ± 1.6 | 0.016 |
| Diagnosis | ||||
| iCMP # | 56 (60) | 48 (64) | 8 (47) | |
| dCMP # | 29 (31) | 25 (34) | 4 (23) | |
| iCMP and dCMP # | 4 (4) | 1 (2) | 3 (17) | |
| rCMP # | 1 (3) | - | 1 (5) | |
| other # | 2 (2) | 1 (2) | 1 (6) | 0.004 |
| Intermacs level | ||||
| 1 # | 23 (25) | 16 (21) | 6 (35) | |
| 2 # | 7 (8) | 5 (7) | 2 (12) | |
| 3 # | 36 (39) | 30 (40) | 6 (35) | |
| 4–7 # | 23 (24) | 21 (28) | 2 (12) | |
| Missing # | 4 (4) | 4 (4) | 2(6) | 0.516 |
| Device | ||||
| HVAD # | 53 (57) | 41 (54) | 12 (71) | |
| Heart Mate II # | 31 (33) | 27 (36) | 4 (23) | |
| Heart Mate III # | 8 (9) | 7 (9) | 1 (6) | |
| MVAD # | 1 (1) | 1 (1) | - | 0.618 |
| Device settings after surgery | ||||
| Pulsatility index ## | 3.2 (2.6, 4,0) | 3.4 (3.0, 4.2) | 3.0 (2.1, 4.0) | 0.220 |
| Flow (l/min) ## | 4.2 (3.4, 5.0) | 4.3 (3.5, 5.0) | 4.0 (2.8, 5.0) | 0.448 |
| Perioperative data | ||||
| Lactate max (mmol/L) ## | 2.8 (2.2, 3.7) | 2.6 (2.1, 3.4) | 3.6 (2.8, 4.8) | 0.013 |
| Hb min (g/dl) ## | 8.8 (8.0, 9.8) | 9.0 (8.2, 9.9) | 8.4 (7.6–9.4) | 0.059 |
| PRBC (count) ## | 4.0 (2.0, 6.0) | 3.5 (2.0, 5.7) | 6.0 (4.0, 9.5) | 0.002 |
| FFP (count) ## | 4.5 (3.0, 9.0) | 3.5 (3.0, 8.7) | 7.0 (3.0, 10.0) | 0.295 |
| SDP (count) ## | 2.0 (1.0, 2.2) | 2.0 (1.0, 2.0) | 3.0 (2.0, 4.0) | 0.001 |
| ECC time (min) ## | 105 (69, 149) | 104 (65, 152) | 109 (99, 148) | 0.618 |
| Anesthesia time (min) ## | 370 (320, 467) | 370 (320, 458) | 411 (320, 537) | 0.345 |
| Hemodynamic parameter | ||||
| VO2 overall (ml/min) * | 240 (198, 274) | 251 (218, 276) | 188 (143, 231) | <0.001 |
| CO overall (L/min) * | 5.5 (4.6, 6.2) | 5.6 (5.0, 6.4) | 4.4 (3.9, 6.0) | 0.019 |
| CI overall (L/min/m2) * | 2.8 (2.4, 3.0) | 2.8 (2.6, 3.1) | 2.4 (2.1, 2.8) | 0.009 |
| DO2 overall (ml/min) * | 767 (649, 864) | 789 (665, 879) | 610 (545, 806) | 0.019 |
| O2ER overall (%) * | 30.8 (27.3, 34.6) | 31.5 (27.6, 35.1) | 30.1 (24.0, 32.4) | 0.091 |
| SvO2 overall (%) * | 67 (63, 72) | 67 (63, 71) | 69 (66, 74) | 0.104 |
| CVP overall (mmHg) * | 11 (9, 13) | 11 (9, 12) | 11 (9, 13) | 0.298 |
| Cox Regression Analysis | |||||||
|---|---|---|---|---|---|---|---|
| Univariate Model | Multivariate Model | ||||||
| HR | CI 95% | p-Value | HR | CI 95% | p-Value | ||
| In-hospital mortality | |||||||
| VO2 | >210 mL/min # | 1.0 | 1.0 | ||||
| ≤210 mL/min | 7.1 | 2.5–20.3 | <0.001 | 15.0 | 2.3–95.4 | 0.004 | |
| Gender | male # | 1.0 | |||||
| female | 2.0 | 0.6–6.3 | 0.205 | ||||
| Age | <55 years # | 1.0 | 1.0 | ||||
| 55–65 years | 2.6 | 0.5–12.4 | 0.218 | 3.8 | 0.5–19.2 | 0.193 | |
| 66–75 years | 2.5 | 0.4–12.9 | 0.270 | 0.4 | 0.0–3.2 | 0.468 | |
| >75 years | 11.0 | 1.5–78.7 | 0.017 | 282 | 0.0–2785 | 0.901 | |
| BMI | <25 kg/m2 # | 1.0 | |||||
| 25–30 kg/m2 | 0.8 | 0.2–2.4 | 0.761 | ||||
| >30 kg/m2 | 0.4 | 0.0–2.0 | 0.284 | ||||
| sCr | ≤1.2 mg/dL # | 1.0 | |||||
| 1.2–2.2 mg/dL | 2.2 | 0.5–8.4 | 0.236 | 21.4 | 2.7–165 | 0.003 | |
| >2.2 mg/dL | 7.9 | 1.9–31.9 | 0.003 | 30.4 | 4.5–204 | <0.001 | |
| ECC time | ≤170 min # | 1.0 | |||||
| >170 min | 0.8 | 0.1–6.8 | 0.873 | ||||
| off-pump | 1.6 | 0.6–4.5 | 0.296 | ||||
| Hb min | ≥8 g/dL # | 1.0 | 1.0 | ||||
| <8 g/dl | 2.8 | 1.0–7.4 | 0.034 | 2.1 | 0.6–7.0 | 0.193 | |
| Lac max | ≤3.6 mmol/L# | 1.0 | 1.0 | ||||
| >3.6 mmol/L | 3.9 | 1.5–10.3 | 0.005 | 1.1 | 0.3–3.8 | 0.768 | |
| PRBCs | ≤3 units | 1.0 | |||||
| >3 units | 12.4 | 1.6–94.6 | 0.015 | 427 | 0.0–4130 | 0.925 | |
| no PRBCs | 1.5 | 0.0–24.6 | 0.760 | 0.0 | 0.02–1.0 | 0.019 | |
| CVP | ≤11.1 mmHg | 1.0 | |||||
| >11.1 mmHg | 2.5 | 0.9–7.0 | 0.061 | ||||
| 1-year all-cause mortality | |||||||
| VO2 | >210 mL/min # | 1.0 | 1.0 | ||||
| ≤210 mL/min | 4.4 | 2.0–5.7 | <0.001 | 3.4 | 1.4–8.1 | 0.005 | |
| Gender | male # | 1.0 | |||||
| female | 1.1 | 0.4–3.3 | 0.776 | ||||
| Age | <55 years # | 1.0 | 1.0 | ||||
| 55–65 years | 3.5 | 1.0–12.1 | 0.094 | 3.0 | 0.8–11.1 | 0.164 | |
| 66–75 years | 2.8 | 0.7–10.7 | 0.123 | 1.0 | 0.5–8.6 | 0.261 | |
| >75 years | 9.0 | 1.4–54.3 | 0.016 | 22.8 | 2.1–246 | 0.010 | |
| BMI | <25 kg/m2 # | 1.0 | |||||
| 25–30 kg/m2 | 1.0 | 0.4–2.3 | 0.955 | ||||
| >30 kg/m2 | 0.5 | 0.1–1.6 | 0. 292 | ||||
| sCr | ≤1.2 mg/dL # | 1.0 | 1.0 | ||||
| 1.2–2.2 mg/dL | 1.3 | 0.5–3.2 | 0.490 | 3.4 | 1.2–9.6 | 0.018 | |
| >2.2 mg/dL | 3.9 | 1.4–10.8 | 0.009 | 10.8 | 3.0–28.1 | <0.001 | |
| ECC time | ≤170 min # | 1.0 | |||||
| >170 min | 1.3 | 0.3–4.5 | 0.679 | ||||
| off-pump | 1.0 | 0.4–2.2 | 0.979 | ||||
| Hb min | ≥8 g/dL # | 1.0 | 1.0 | ||||
| <8 g/dL | 2.4 | 1.1–5.2 | 0.025 | 1.7 | 1.2–12.2 | 0.195 | |
| Lac max | ≤3.6 mmol/L # | 1.0 | 1.0 | ||||
| >3.6 mmol/L | 2.5 | 1.2–5.4 | 0.012 | 1.2 | 0.5–2.9 | 0.650 | |
| PRBCs | ≤3 units | 1.0 | 1.0 | ||||
| >3 units | 3.6 | 1.3–9.7 | 0.010 | 3.9 | 1.2–12.2 | 0.019 | |
| no PRBCs | 0.9 | 0.2–3.9 | 0.940 | 0.8 | 0.1–5.6 | 0.859 | |
| CVP | ≤11.1 mmHg | 1.0 | |||||
| >11.1 mmHg | 1.6 | 0.8–3.5 | 0.169 | ||||
| 6-year all-cause mortality | |||||||
| VO2 | >210 mL/min # | 1.0 | |||||
| ≤210 mL/min | 2.5 | 1.4–4.4 | <0.001 | 3.0 | 1.1–3.9 | 0.022 | |
| Gender | male # | 1.0 | |||||
| female | 0.9 | 0.4–2.1 | 0.967 | ||||
| Age | <55 years # | 1.0 | 1.0 | ||||
| 55–65 years | 1.8 | 0.9–3.9 | 0.092 | 0.5 | 0.2–1.2 | 0.155 | |
| 66–75 years | 2.2 | 1.0–4.7 | 0.046 | 0.6 | 0.2–1.3 | 0.219 | |
| >75 years | 3.0 | 0.6–14.1 | 0.147 | 2.4 | 0.4–12.4 | 0.271 | |
| BMI | <25 kg/m2 # | 1.0 | |||||
| 25–30 kg/m2 | 0.9 | 0.4–1.7 | 0.784 | ||||
| >30 kg/m2 | 1.1 | 0.5–2.2 | 0.673 | ||||
| sCr | ≤1.2 mg/dL # | 1.0 | 1.0 | ||||
| 1.2–2.2 mg/dL | 1.4 | 0.7–2.6 | 0.280 | 2.2 | 1.1–4.5 | 0.022 | |
| >2.2 mg/dL | 3.3 | 1.5–7.4 | 0.003 | 7.7 | 2.8–21.5 | <0.001 | |
| ECC time | ≤170 min # | 1.0 | |||||
| >170 min | 1.1 | 0.4–3.0 | 0.756 | ||||
| off pump | 0.9 | 0.5–1.7 | 0.942 | ||||
| Hb min | ≥8 g/dL # | 1.0 | |||||
| <8 g/dl | 1.7 | 0.9–3.1 | 0.081 | ||||
| Lac max | ≤3.6 mmol/L # | 1.0 | |||||
| >3.6 mmol/L | 1.7 | 1.0–3.1 | 0.042 | 1.2 | 0.6–2.4 | 0.539 | |
| PRBCs | ≤3 units | 1.0 | |||||
| >3 units | 2.3 | 1.2–4.5 | 0.014 | 2.9 | 0.9–4.0 | 0.008 | |
| no PRBCs | 1.3 | 0.6–3.0 | 0.434 | 1.7 | 0.6–4.4 | 0.272 | |
| CVP | ≤11.1 mmHg | 1.0 | |||||
| >11.1 mmHg | 1.4 | 0.8–2.5 | 0.157 | ||||
Disclaimer/Publisher’s Note: The statements, opinions and data contained in all publications are solely those of the individual author(s) and contributor(s) and not of MDPI and/or the editor(s). MDPI and/or the editor(s) disclaim responsibility for any injury to people or property resulting from any ideas, methods, instructions or products referred to in the content. |
© 2023 by the authors. Licensee MDPI, Basel, Switzerland. This article is an open access article distributed under the terms and conditions of the Creative Commons Attribution (CC BY) license (https://creativecommons.org/licenses/by/4.0/).
Share and Cite
Veraar, C.; Fischer, A.; Bernardi, M.H.; Worf, I.; Mouhieddine, M.; Schlöglhofer, T.; Wiedemann, D.; Dworschak, M.; Tschernko, E.; Lassnigg, A.; et al. Oxygen Consumption Predicts Long-Term Outcome of Patients with Left Ventricular Assist Devices. Nutrients 2023, 15, 1543. https://doi.org/10.3390/nu15061543
Veraar C, Fischer A, Bernardi MH, Worf I, Mouhieddine M, Schlöglhofer T, Wiedemann D, Dworschak M, Tschernko E, Lassnigg A, et al. Oxygen Consumption Predicts Long-Term Outcome of Patients with Left Ventricular Assist Devices. Nutrients. 2023; 15(6):1543. https://doi.org/10.3390/nu15061543
Chicago/Turabian StyleVeraar, Cecilia, Arabella Fischer, Martin H. Bernardi, Isabella Worf, Mohamed Mouhieddine, Thomas Schlöglhofer, Dominik Wiedemann, Martin Dworschak, Edda Tschernko, Andrea Lassnigg, and et al. 2023. "Oxygen Consumption Predicts Long-Term Outcome of Patients with Left Ventricular Assist Devices" Nutrients 15, no. 6: 1543. https://doi.org/10.3390/nu15061543
APA StyleVeraar, C., Fischer, A., Bernardi, M. H., Worf, I., Mouhieddine, M., Schlöglhofer, T., Wiedemann, D., Dworschak, M., Tschernko, E., Lassnigg, A., & Hiesmayr, M. (2023). Oxygen Consumption Predicts Long-Term Outcome of Patients with Left Ventricular Assist Devices. Nutrients, 15(6), 1543. https://doi.org/10.3390/nu15061543

