Is S100B Involved in Attention-Deficit/Hyperactivity Disorder (ADHD)? Comparisons with Controls and Changes Following a Triple Therapy Containing Methylphenidate, Melatonin and ω-3 PUFAs
Abstract
1. Introduction
2. Materials and Methods
2.1. Study Design
2.2. Population
2.3. Methods
2.3.1. Clinical Methods
2.3.2. Analytical Methods
2.3.3. Therapeutic Intervention
2.4. Patient Follow-Up
2.5. Statistical Methods
2.6. Ethical Considerations
3. Results
3.1. Population
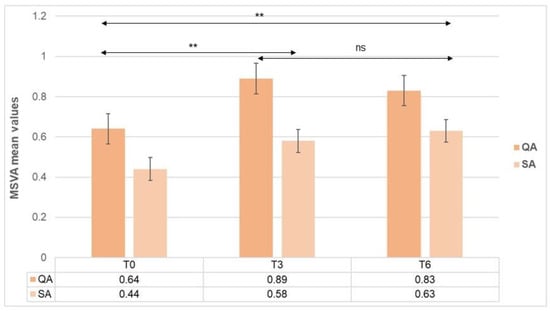
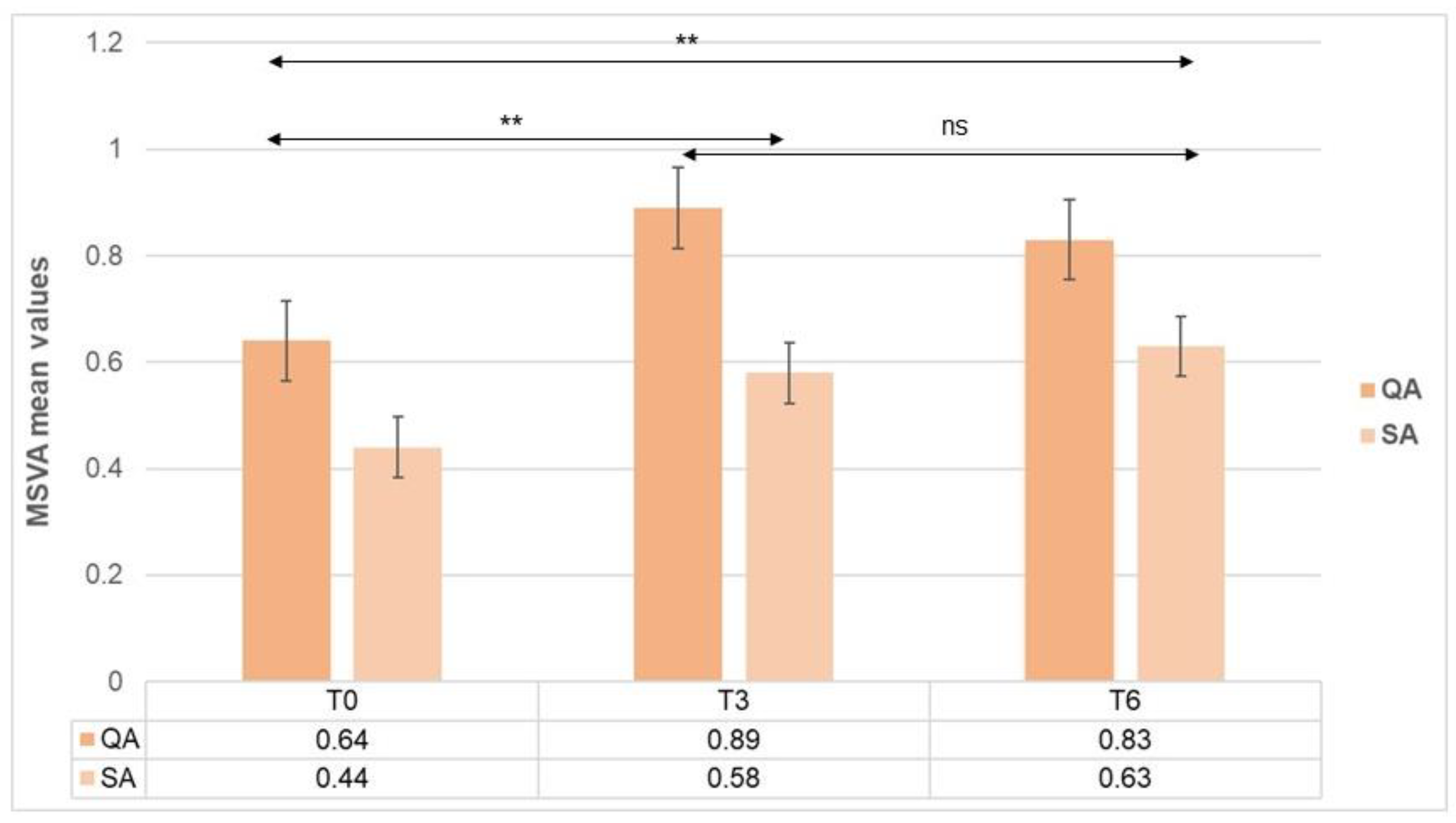
3.2. MSVA Values
3.3. Serum S100B Concentrations
4. Discussion
5. Conclusions
Author Contributions
Funding
Institutional Review Board Statement
Informed Consent Statement
Data Availability Statement
Acknowledgments
Conflicts of Interest
References
- Riglin, L.; Collishaw, S.; Thapar, A.K.; Dalsgaard, S.; Langley, K.; Smith, G.D.; Stergiakouli, E.; Maughan, B.; O’Donovan, M.C.; Thapar, A. Association of genetic risk variants with attention-deficit/hyperactivity disorder trajectories in the general population. JAMA Psychiatry 2016, 73, 1285–1292. [Google Scholar] [CrossRef] [PubMed]
- Polanczyk, G.; de Lima, M.S.; Horta, B.L.; Biederman, J.; Rohde, L.A. The worldwide prevalence of ADHD: A systematic review and metaregression analysis. Am. J. Psychiatry 2007, 164, 942–948. [Google Scholar] [CrossRef]
- Biederman, J.; Kwon, A.; Aleardi, M.; Chouinard, V.-A.; Marino, T.; Cole, H.; Mick, E.; Faraone, S.V. Absence of gender effects on attention deficit hyperactivity disorder: Findings in nonreferred subjects. Am. J. Psychiatry 2005, 162, 1083–1089. [Google Scholar] [CrossRef] [PubMed]
- American Psychiatric Association. Diagnostic and Statistical Manual of Mental Disorders, 5th ed.; American Psychiatric Association: Arlington, VA, USA, 2013. [Google Scholar]
- Bonvicini, C.; Faraone, S.V.; Scassellati, C. Attention-deficit hyperactivity disorder in adults: A systematic review and meta-analysis of genetic, pharmacogenetic and biochemical studies. Mol. Psychiatry 2016, 21, 872–884. [Google Scholar] [CrossRef] [PubMed]
- Park, J.H. Potential Inflammatory Biomarker in Patients with Attention Deficit Hyperactivity Disorder. Int. J. Mol. Sci. 2022, 23, 13054. [Google Scholar] [CrossRef] [PubMed]
- Coghill, D.; Sonuga-Barke, E.J.S. Annual research review: Categories versus dimensions in the classification and conceptualisation of child and adolescent mental disorders: Implications of recent empirical study. J. Child Psychol. Psychiatry 2012, 53, 469–489. [Google Scholar] [CrossRef] [PubMed]
- Cortese, S. The neurobiology and genetics of Attention-Deficit/Hyperactivity Disorder (ADHD): What every clinician shouldknow. Eur. J. Paediatr. Neurol. 2012, 16, 422–433. [Google Scholar] [CrossRef]
- Shaw, P.; Eckstrand, K.; Sharp, W.; Blumenthal, J.; Lerch, J.P.; Greenstein, D.; Clasen, L.; Evans, A.; Giedd, J.; Rapoport, J.L. Attention-deficit/hyperactivity disorder is characterized by a delay in cortical maturation. Proc. Natl. Acad. Sci. USA 2007, 104, 19649–19654. [Google Scholar] [CrossRef]
- Ha, S.; Lee, H.; Choi, Y.; Jeon, S.J.; Ryu, J.H.; Kim, H.J.; Lim, S.; Kim, B.N.; Lee, D.S. Maturational delay and asymmetric information flow of brain connectivity in SHR model of ADHD revealed by topological analysis of metabolic networks. Sci. Rep. 2020, 10, 3197. [Google Scholar] [CrossRef]
- Robbins, T.W. Dopamine and cognition. Curr. Opin. Neurol. 2003, 16, S1–S2. [Google Scholar] [CrossRef]
- Wang, M.; Ramos, B.P.; Paspalas, C.D.; Shu, Y.; Simen, A.; Duque, A.; Vijayraghavan, S.; Brennan, A.; Dudley, A.; Nou, E.; et al. α2A-adrenoceptors strengthen working memory networks by inhibiting cAMP-HCN channel signaling in prefrontal cortex. Cell 2007, 129, 397–410. [Google Scholar] [CrossRef] [PubMed]
- Brown, T.E. ADD/ADHD and impaired executive function in clinical practice. Curr. Atten. Disord. Rep. 2009, 1, 37–41. [Google Scholar] [CrossRef]
- Posner, J.; Rauh, V.; Gruber, A.; Gat, I.; Wang, Z.; Peterson, B.S. Dissociable attentional and affective circuits in medication-naïve children with attention-deficit/hyperactivity disorder. Psychiatry Res. 2013, 213, 24–30. [Google Scholar] [CrossRef] [PubMed]
- Gallo, E.F.; Posner, J. Moving towards causality in attention-deficit hyperactivity disorder: Overview of neural and genetic mechanisms. Lancet Psychiatry 2016, 3, 555–567. [Google Scholar] [CrossRef] [PubMed]
- Biederman, J.; Faraone, S.V. Attention-deficit hyperactivity disorder. Lancet 2005, 366, 237–248. [Google Scholar] [CrossRef]
- Zhang, P.; Fang, H.; Lou, C.; Ye, S.; Shen, G.; Chen, S.; Amin, N.; Botchway, B.O.A.; Fang, M. Enhanced Glial Reaction and Altered Neuronal Nitric Oxide Synthase are Implicated in Attention Deficit Hyperactivity Disorder. Front. Cell Dev. Biol. 2022, 10, 901093. [Google Scholar] [CrossRef]
- Zhang, L.M.; Liu, N.N.; Cao, L.; Xin, Y.; Zhang, D.X.; Bai, Y.; Zheng, W.C.; Bi, X.Y.; Xing, B.H.; Zhang, W. S-ketamine administration in pregnant mice induces ADHD- and depression-like behaviors in offspring mice. Behav. Brain Res. 2022, 433, 113996. [Google Scholar] [CrossRef]
- Russell, V.A.; Oades, R.D.; Tannock, R.; Auerbach, J.; Killeen, P.R.; Johansen, E.B.; Sagvolden, T. Response variability in attention-deficit/hyperactivity disorder: A neuronal and glial energetics hypothesis. Behav. Brain Funct. 2006, 2, 30. [Google Scholar] [CrossRef]
- Corona, J.C. Role of Oxidative Stress and Neuroinflammation inAttention-Deficit/Hyperactivity Disorder. Antioxidants 2020, 9, 1039. [Google Scholar] [CrossRef]
- Tanaka, Y.; Marumo, T.; Omura, T.; Yoshida, S. Relationship between cerebrospinal and peripheral S100B levels after focal cerebral ischemia in rats. Neurosci. Lett. 2008, 436, 40–43. [Google Scholar] [CrossRef]
- Rothermundt, M.; Ohrmann, P.; Abel, S.; Siegmund, A.; Pedersen, A.; Ponath, G.; Suslow, T.; Peters, M.; Kaestner, F.; Heindel, W.; et al. Glial cell activation in a subgroup of patients with schizophrenia indicated by increased S100B serum concentrations and elevated myo-inositol. Prog. Neuropsychopharmacol. Biol. Psychiatry 2007, 31, 361–364. [Google Scholar] [CrossRef]
- Sonuga-Barke, E.J.; Oades, R.D.; Psychogiou, L.; Chen, W.; Franke, B.; Buitelaar, J.; Banaschewski, T.; Ebstein, R.P.; Gil, M.; Anney, R. Dopamine and serotonintransporter genotypes moderate sensitivity to maternal expressedemotion: The case of conduct and emotional problems in attentiondeficit/hyperactivity disorder. J. Child Psychol. Psychiatry Allied. Discip. 2009, 50, 1052–1063. [Google Scholar] [CrossRef] [PubMed]
- Sorci, G.; Bianchi, R.; Riuzzi, F.; Tubaro, C.; Arcuri, C.; Giambanco, I.; Donato, R. S100B protein, a damage-associated molec-ular pattern protein in the brain and heart, and beyond. Cardiovasc. Psychiatry Neurol. 2010, 2010, 656481. [Google Scholar] [CrossRef] [PubMed]
- Cristovao, J.S.; Gomes, C.M. S100 proteins in Alzheimer’s disease. Front. Neurosci. 2019, 13, 463. [Google Scholar] [CrossRef] [PubMed]
- Schmidt, A.M.; Yan, S.D.; Yan, S.F.; Stern, D.M. The multiligand recep-tor RAGE as a progression factor amplifying immune and inflamma-tory responses. J. Clin. Investig. 2001, 108, 949–955. [Google Scholar] [CrossRef] [PubMed]
- Cirillo, C.; Sarnelli, G.; Turco, F.; Mango, A.; Grosso, M.; Aprea, G.; Masone, S.; Cuomo, R. Proinflammatory stimuli activates human-derived enteroglial cells and induces autocrine nitric oxide production. Neurogastroenterol. Motil. 2011, 23, e372–e382. [Google Scholar] [CrossRef]
- Liu, Y.; Buck, D.C.; Neve, K.A. Novel interaction of the dopamine D2 receptor and the Ca2+ binding protein S100B: Role in D2 receptor function. Mol. Pharm. 2008, 74, 371–378. [Google Scholar] [CrossRef] [PubMed]
- Sathe, K.; Maetzler, W.; Lang, J.D.; Mounsey, R.B.; Fleckenstein, C.; Martin, H.L.; Schulte, C.; Mustafa, S.; Synofzik, M.; Vukovic, Z.; et al. S100B is increased in Parkinson’s disease and ablation protects against MPTP-induced toxicity through the RAGE and TNF-alpha pathway. Brain 2012, 135, 3336–3347. [Google Scholar] [CrossRef] [PubMed]
- Zhu, Y.F.; Wang, W.P.; Zheng, X.F.; Chen, Z.; Chen, T.; Huang, Z.Y.; Jia, L.J.; Lei, W.L. Characteristic response of striatal astrocytes to dopamine depletion. Neural. Regen. Res. 2020, 15, 724–730. [Google Scholar] [PubMed]
- Schulte-Herbrüggen, O.; Hörtnagl, H.; Ponath, G.; Rothermundt, M.; Hellweg, R. Distinct regulation of brain-derived neurotrophic factor and noradrenaline in S100B knockout mice. Neurosci. Lett. 2008, 442, 100–103. [Google Scholar] [CrossRef]
- Mondal, A.; Saha, P.; Bose, D.; Chatterjee, S.; Seth, R.K.; Xiao, S.; Porter, D.E.; Brooks, B.W.; Scott, G.I.; Nagarkatti, M.; et al. Environmental Microcystin exposure in underlying NAFLD-induced exacerbation of neuroinflammation, blood-brain barrier dysfunction, and neurodegeneration are NLRP3 and S100B dependent. Toxicology 2021, 461, 152901. [Google Scholar] [CrossRef] [PubMed]
- Mackey, M.; Holleran, L.; Donohoe, G.; McKernan, D.P. Systematic Review and Meta-Analysis of Damage Associated Molecular Patterns HMGB1 and S100B in Schizophrenia. Psychiatry Investig. 2022, 12, 981–990. [Google Scholar] [CrossRef] [PubMed]
- Morera-Fumero, A.L.; Diaz-Mesa, E.; Fernandez-López, L.; Abreu-Gonzalez, P.; Henry-Benitez, M.S. Serum s100b protein levels as a neuroinflammatory biomarker of acutely relapsed paranoid schizophrenia patients. Acta Neuropsychiatr. 2022, 12, 1–9. [Google Scholar] [CrossRef] [PubMed]
- Griffin, W.S.; Stanley, L.C.; Ling, C.; White, L.; MacLeod, V.; Perrot, L.J.; White, C.L., 3rd; Araoz, C. Brain interleukin 1 andS-100 immunoreactivity are elevated in Down syndrome and Alzheimer disease. Proc. Natl. Acad. Sci. USA 1989, 86, 7611–7615. [Google Scholar] [CrossRef] [PubMed]
- Wartchow, K.M.; Rodrigues, L.; Swierzy, I.; Buchfelder, M.; de Souza, D.O.; Gonçalves, C.A.; Kleindienst, A. Amyloid-β Processing in Aged S100B Transgenic Mice Is Sex Dependent. Int. J. Mol. Sci. 2021, 22, 10823. [Google Scholar] [CrossRef]
- Zheng, Z.; Zheng, P.; Zou, X. Peripheral Blood S100B Levels in Autism Spectrum Disorder: A Systematic Review and Meta-Analysis. J. Autism. Dev. Disord. 2021, 51, 2569–2577. [Google Scholar] [CrossRef] [PubMed]
- Tomova, A.; Keményová, P.; Filčíková, D.; Szapuová, Ž.; Kováč, A.; Babinská, K.; Ostatníková, D. Plasma levels of glial cell marker S100B in children with autism. Physiol. Res. 2019, 68, S315–S323. [Google Scholar] [CrossRef]
- Smith, T.F.; Anastopoulos, A.D.; Garrett, M.E.; Arias-Vasquez, A.; Franke, B.; Oades, R.D.; Sonuga-Barke, E.; Asherson, P.; Gill, M.; Buitelaar, J.K. Angiogenic, neurotrophic, and inflammatory system SNPs moderate the association between birth weight and ADHD symptom severity. Am. J. Med. Genet. Part. B Neuropsychiatr. Genet. 2014, 165, 691–704. [Google Scholar] [CrossRef]
- De Jong, S.; Newhouse, S.J.; Patel, H.; Lee, S.; Dempster, D.; Curtis, C.; Paya-Cano, J.; Murphy, D.; Wilson, C.E.; Horder, J.; et al. Immune signatures and disorder-specific patterns in a cross-disorder gene expression analysis. Br. J. Psychiatry 2016, 209, 202–208. [Google Scholar] [CrossRef]
- Gustafsson, H.C.; Sullivan, E.L.; Battison, E.A.J.; Holton, K.F.; Graham, A.M.; Karalunas, S.L.; Fair, D.A.; Loftis, J.M.; Nigg, J.T. Evaluation of maternal inflammation as a marker of future offspring ADHD symptoms: A prospective investigation. Brain Behav. Immun. 2020, 89, 350–356. [Google Scholar] [CrossRef]
- Oades, R.D.; Dauvermann, M.R.; Schimmelmann, B.G.; Schwarz, M.J.; Myint, A.M. Attention-deficit hyperactivity disorder (ADHD) and glial integrity: S100B, cytokines and kynurenine metabolism—Effects of medication. Behav. Brain Funct. 2010, 6, 29. [Google Scholar] [CrossRef] [PubMed]
- Oades, R.D.; Myint, A.M.; Dauvermann, M.R.; Schimmelmann, B.G.; Schwarz, M.J. Attention-deficit hyperactivity disorder (ADHD) and glial integrity: An exploration of associations of cytokines and kynurenine metabolites with symptoms and attention. Behav. Brain Funct. 2010, 6, 32. [Google Scholar] [CrossRef] [PubMed]
- Liu, W.; Huo, X.; Liu, D.; Zeng, X.; Zhang, Y.; Xu, X. S100β in heavy metal-related child attention-deficit hyperactivity disorder in an informal e-waste recycling area. Neurotoxicology 2014, 45, 185–191. [Google Scholar] [CrossRef] [PubMed]
- Fernández-López, L.; Molina-Carballo, A.; Cubero-Millán, I.; Checa-Ros, A.; Machado-Casas, I.; Blanca-Jover, E.; Jerez-Calero, A.; Madrid-Fernández, Y.; Uberos, J.; Muñoz-Hoyos, A. Indole Tryptophan Metabolism and Cytokine S100B in Children with Attention-Deficit/Hyperactivity Disorder: Daily Fluctuations, Responses to Methylphenidate, and Interrelationship with Depressive Symptomatology. J. Child Adolesc. Psychopharmacol. 2020, 30, 177–188. [Google Scholar] [CrossRef]
- Posner, J.; Greenhill, L.L. Attention-deficit/hyperactivity disorder. In Clinical Manual of Child and Adolescent Psychopharmacology, 2nd ed.; McVoy, M., Findling, R.L., Eds.; American Psychiatric Association: Arlington, VA, USA, 2013. [Google Scholar]
- Schachter, H.M.; Pham, B.; King, J.; Langford, S.; Moher, D. How efficacious and safe is short-acting methylphenidate for the treatment of attention-deficit disorder in children and adolescents? A meta-analysis. CMAJ 2001, 165, 1475–1488. [Google Scholar]
- Heussler, H.; Chan, P.; Price, A.M.; Waters, K.; Davey, M.J.; Hiscock, H. Pharmacological and non-pharmacological management of sleep disturbance in children: An Australian Paediatric Research Network survey. Sleep Med. 2013, 14, 189–194. [Google Scholar] [CrossRef]
- Masi, G.; Fantozzi, P.; Villafranca, A.; Tacchi, A.; Ricci, F.; Ruglioni, L.; Inguaggiato, E.; Pfanner, C.; Cortese, S. Effects of melatonin in children with attention-deficit/hyperactivity disorder with sleep disorders after methylphenidate treatment. Neuropsychiatr. Dis. Treat. 2019, 15, 663–667. [Google Scholar] [CrossRef]
- López-Armas, G.; Flores-Soto, M.E.; Chaparro-Huerta, V.; Jave-Suarez, L.F.; Soto-Rodríguez, S.; Rusanova, I.; Acuña-Castroviejo, D.; González-Perez, O.; González-Castañeda, R.E. Prophylactic Role of Oral Melatonin Administration on Neurogenesis in Adult Balb/C Mice during REM Sleep Deprivation. Oxidative Med. Cell. Longev. 2016, 2016, 2136902. [Google Scholar] [CrossRef]
- Kim, W.; Hahn, K.R.; Jung, H.Y.; Kwon, H.J.; Nam, S.M.; Kim, J.W.; Park, J.H.; Yoo, D.Y.; Kim, D.W.; Won, M.H.; et al. Melatonin Ameliorates Cuprizone-Induced Reduction of Hippocampal Neurogenesis, Brain-Derived Neurotrophic Factor, and Phosphorylation of Cyclic AMP Response Element-Binding Protein in the Mouse Dentate Gyrus. Brain Behav. 2019, 9, e01388. [Google Scholar] [CrossRef]
- Pei-Chen Chang, J. Personalised medicine and in child and Adolescent Psychiatry: Focus on omega-3 polyunsaturated fatty acids. Brain Behav. Immun. Health 2021, 29, 100310. [Google Scholar] [CrossRef]
- Chang, J.P.; Su, K.P.; Mondelli, V.; Pariante, C.M. Omega-3 Polyunsaturated Fatty Acids in Youths with Attention Deficit Hyperactivity Disorder: A Systematic Review and Meta-Analysis of Clinical Trials and Biological Studies. Neuropsychopharmacology 2018, 43, 534–545. [Google Scholar] [CrossRef] [PubMed]
- NICE. Attention Deficit Hyperactivity Disorder: Diagnosis and Management. March 2018. Available online: https://www.nice.org.uk/guidance/ng87 (accessed on 3 December 2022).
- Wolraich, M.L.; Lambert, W.; Doffing, M.A.; Bickman, L.; Simmons, T.; Worley, K. Psychometric properties of the Vanderbilt ADHD diagnostic parent rating scale in a referred population. J. Pediatr. Psychol. 2003, 28, 559–568. [Google Scholar] [CrossRef] [PubMed]
- Wolraich, M.L.; Bard, D.E.; Neas, B.; Doffing, M.; Beck, L. The psychometric properties of the Vanderbilt attention-deficit hyperactivity disorder diagnostic teacher rating scale in a community population. J. Dev. Behav. Pediatr. 2013, 34, 83–93. [Google Scholar] [CrossRef] [PubMed]
- Kovacs, M. The Children’s Depression, Inventory. Psychopharmacol. Bull. 1985, 21, 995–998. [Google Scholar]
- Wechsler, D. Wechsler Intelligence Scale for Children, 4th ed.; les Éditions du centre de psychologie appliquée: Paris, France, 2005. [Google Scholar]
- Magaz-Lago, A.; García-Pérez, M. Magallanes Scale of Visual Attention: MSVA. Reference Manual; Protocolo Magallanes: Bizkaia, Spain, 2011. [Google Scholar]
- Fernández-Jaén, A.; Martín Fernández-Mayoralas, D.; López-Arribas, S.; Pardos-Vèglia, A.; Muñiz-Borrega, B.; García-Savaté, C.; Prados-Parra, B.; Calleja-Pérez, B.; Muñoz-Jareño, N.; Fernández-Perrone, A.L. Social and leadership abilities in attention deficit/hyperactivity disorder: Relation with cognitive-attentional capacities. Actas Esp. Psiquiatr. 2012, 40, 136–146. [Google Scholar]
- Rubia, K.; Halari, R.; Cubillo, A.; Mohammad, A.M.; Brammer, M.; Taylor, E. Methylphenidate normalises activation and functional connectivity deficits in attention and motivation networks in medication-naïve children with AD HD during a rewarded continuous performance task. Neuropharmacology 2009, 57, 640–652. [Google Scholar] [CrossRef]
- Grupo ALBOR-COHS. Dossier Protocolos Magallanes; Protocolo Magallanes: Bizkaia, Spain, 2014. [Google Scholar]
- Carver, J.D.; Benford, V.J.; Han, B.; Cantor, A.B. The relationship between age and the fatty acid composition of cerebral cortex and erythrocytes in human subjects. Brain Res. Bull. 2001, 56, 79–85. [Google Scholar] [CrossRef]
- World Medical Association. World medical association declaration of Helsinki: Ethical principles for medical research involving human subjects. JAMA 2013, 310, 2191–2194. [Google Scholar] [CrossRef]
- Chukaew, P.; Bunmak, N.; Auampradit, N.; Siripaiboonkij, A.; Saengsawang, W.; Ratta-Apha, W. Correlation of BDNF, VEGF, TNF-α, and S100B with cognitive impairments in chronic, medicated schizophrenia patients. Neuropsychopharmacol. Rep. 2022, 42, 281–287. [Google Scholar] [CrossRef]
- Tural, U.; Irvin, M.K.; Iosifescu, D.V. Correlation between S100B and severity of depression in MDD: A meta-analysis. World J. Biol. Psychiatry 2022, 23, 456–463. [Google Scholar] [CrossRef]
- Gerlach, R.; Demel, G.; König, H.G.; Gross, U.; Prehn, J.H.; Raabe, A.; Seifert, V.; Kögel, D. Active secretion of S100B from astrocytes during metabolic stress. Neuroscience 2006, 141, 1697–1701. [Google Scholar] [CrossRef] [PubMed]
- Poelmans, G.; Engelen, J.J.; Van Lent-Albrechts, J.; Smeets, H.J.; Schoenmakers, E.; Franke, B.; Buitelaar, J.K.; Wuisman-Frerker, M.; Erens, W.; Steyaert, J.; et al. Identification of novel dyslexia candidate genes through the analysis of a chromosomal deletion. Am. J. Med. Genet. B Neuropsychiatr. Genet 2009, 150B, 140–147. [Google Scholar] [CrossRef] [PubMed]
- Matsson, H.; Huss, M.; Persson, H.; Einarsdottir, E.; Tiraboschi, E.; Nopola-Hemmi, J.; Schumacher, J.; Neuhoff, N.; Warnke, A.; Lyytinen, H.; et al. Polymorphisms in DCDC2 and S100B associate with developmental dyslexia. J. Hum. Genet. 2015, 60, 399–401. [Google Scholar] [CrossRef] [PubMed]
- Hanin, A.; Denis, J.A.; Frazzini, V.; Cousyn, L.; Imbert-Bismut, F.; Rucheton, B.; Bonnefont-Rousselot, D.; Marois, C.; Lambrecq, V.; Demeret, S.; et al. Neuron Specific Enolase, S100-beta protein and progranulin as diagnostic biomarkers of status epilepticus. J. Neurol. 2022, 269, 3752–3760. [Google Scholar] [CrossRef] [PubMed]
- Vizuete, A.F.K.; Leal, M.B.; Moreira, A.P.; Seady, M.; Taday, J.; Gonçalves, C.A. Arundic acid (ONO-2506) downregulates neuroinflammation and astrocyte dysfunction after status epilepticus in young rats induced by Li-pilocarpine. Prog. Neuropsychopharmacol. Biol. Psychiatry 2022, 123, 110704. [Google Scholar] [CrossRef]
- Steiner, J.; Bernstein, H.G.; Bielau, H.; Berndt, A.; Brisch, R.; Mawrin, C.; Keilhoff, G.; Bogerts, B. Evidence for a wide extra-astrocytic distribution of S100B in human brain. BMC Neurosci. 2007, 8, 2. [Google Scholar] [CrossRef]
- Saleh, E.M.; Hamdy, G.M.; Hassan, R.E. Neuroprotective effect of sodium alginate against chromium-induced brain damage in rats. PLoS ONE 2022, 17, e0266898. [Google Scholar] [CrossRef]
- Venkataraman, S.; Claussen, C.; Dafny, N. D1 and D2 specific dopamine antagonist modulate the caudate nucleus neuronal responses to chronic methylphenidate exposure. J. Neural. Transm. (Vienna) 2017, 124, 159–170. [Google Scholar] [CrossRef]
- Dempsey, B.R.; Shaw, G.S. Identification of calcium-independent and calcium-enhanced binding between S100B and the dopamine D2 receptor. Biochemistry 2011, 50, 9056–9065. [Google Scholar] [CrossRef]
- Lee, H.J.; Rodriguez-Contreras, D.; Neve, K.A. Commentary on“Novel Interaction of the Dopamine D2Receptor and the Ca21 Binding Protein S100B: Role in D2Receptor Function”. Mol. Pharm. 2021, 100, 61–64. [Google Scholar] [CrossRef]
- Coelho-Santos, V.; Socodato, R.; Portugal, C.; Leitão, R.A.; Rito, M.; Barbosa, M.; Couraud, P.O.; Romero, I.A.; Weksler, B.; Minshall, R.D.; et al. Methylphenidate-triggered ROS generation promotes caveolae-mediated transcytosis via Rac1 signaling and c-Src-dependent caveolin-1 phosphorylation in human brain endothelial cells. Cell. Mol. Life Sci. 2016, 73, 4701–4716. [Google Scholar] [CrossRef] [PubMed]
- Oakes, H.V.; Ketchem, S.; Hall, A.N.; Ensley, T.; Archibald, K.M.; Pond, B.B. Chronic methylphenidate induces increased quinone production and subsequent depletion of the antioxidant glutathione in the striatum. Pharm. Rep. 2019, 71, 1289–1292. [Google Scholar] [CrossRef] [PubMed]
- Foschiera, L.N.; Schmitz, F.; Wyse, A.T.S. Evidence of methylphenidate effect on mitochondria, redox homeostasis, and inflammatory aspects: Insights from animal studies. Prog. Neuropsychopharmacol. Biol. Psychiatry 2022, 116, 110518. [Google Scholar] [CrossRef] [PubMed]




| ADHD Group (n = 62) | Control Group (n = 65) | |
|---|---|---|
| Age: mean (SD) in years | 9.26 (2.11) | 9.34 (2.30) |
Sex distribution:
| ||
| 41 (66.13) | 42 (64.61) | |
| 21 (33.87) | 23 (35.38) | |
ADHD presentation:
| ||
| 32 (51.61) | - | |
| 30 (48.38) | ||
Comorbidities:
| ||
| 10 (16.13) | - | |
| 4 (6.45) | ||
| 2 (3.22) | ||
| 1 (1.61) | ||
| 1 (1.61) |
| Serum S100B Levels in µg/L: Mean (SD) | Intragroup Comparisons | |||
|---|---|---|---|---|
| T0 | T3 | T6 | ||
| ADHD-I | 0.226 (0.093) | 0.3117 (0.078) | 0.3619 (0.197) | p < 0.001 * |
| ADHD-C | 0.2208 (0.087) | 0.3617 (0.2023) | 0.3177 (0.0866) | p < 0.001 * |
| Intergroup Comparisons | ns | ns | ns | |
Disclaimer/Publisher’s Note: The statements, opinions and data contained in all publications are solely those of the individual author(s) and contributor(s) and not of MDPI and/or the editor(s). MDPI and/or the editor(s) disclaim responsibility for any injury to people or property resulting from any ideas, methods, instructions or products referred to in the content. |
© 2023 by the authors. Licensee MDPI, Basel, Switzerland. This article is an open access article distributed under the terms and conditions of the Creative Commons Attribution (CC BY) license (https://creativecommons.org/licenses/by/4.0/).
Share and Cite
Ouadih-Moran, M.; Muñoz-Hoyos, A.; D’Marco, L.; Molina-Carballo, A.; Seiquer, I.; Checa-Ros, A. Is S100B Involved in Attention-Deficit/Hyperactivity Disorder (ADHD)? Comparisons with Controls and Changes Following a Triple Therapy Containing Methylphenidate, Melatonin and ω-3 PUFAs. Nutrients 2023, 15, 712. https://doi.org/10.3390/nu15030712
Ouadih-Moran M, Muñoz-Hoyos A, D’Marco L, Molina-Carballo A, Seiquer I, Checa-Ros A. Is S100B Involved in Attention-Deficit/Hyperactivity Disorder (ADHD)? Comparisons with Controls and Changes Following a Triple Therapy Containing Methylphenidate, Melatonin and ω-3 PUFAs. Nutrients. 2023; 15(3):712. https://doi.org/10.3390/nu15030712
Chicago/Turabian StyleOuadih-Moran, Miriam, Antonio Muñoz-Hoyos, Luis D’Marco, Antonio Molina-Carballo, Isabel Seiquer, and Ana Checa-Ros. 2023. "Is S100B Involved in Attention-Deficit/Hyperactivity Disorder (ADHD)? Comparisons with Controls and Changes Following a Triple Therapy Containing Methylphenidate, Melatonin and ω-3 PUFAs" Nutrients 15, no. 3: 712. https://doi.org/10.3390/nu15030712
APA StyleOuadih-Moran, M., Muñoz-Hoyos, A., D’Marco, L., Molina-Carballo, A., Seiquer, I., & Checa-Ros, A. (2023). Is S100B Involved in Attention-Deficit/Hyperactivity Disorder (ADHD)? Comparisons with Controls and Changes Following a Triple Therapy Containing Methylphenidate, Melatonin and ω-3 PUFAs. Nutrients, 15(3), 712. https://doi.org/10.3390/nu15030712

