Short-Term Effects of Weight-Loss Meal Replacement Programs with Various Macronutrient Distributions on Gut Microbiome and Metabolic Parameters: A Pilot Study
Abstract
:1. Introduction
2. Materials and Methods
2.1. Study Population
2.2. Diet Design
2.3. Clinical Assessments
2.4. Microbiome Analysis
2.5. Statistical Analysis
3. Results
3.1. Characteristics of the Subjects
3.2. Weight-Loss Meal Replacement Program Effects on Anthropometric and Biochemical Indicators
3.3. Changes in Gut Microbiome by Diet Intervention
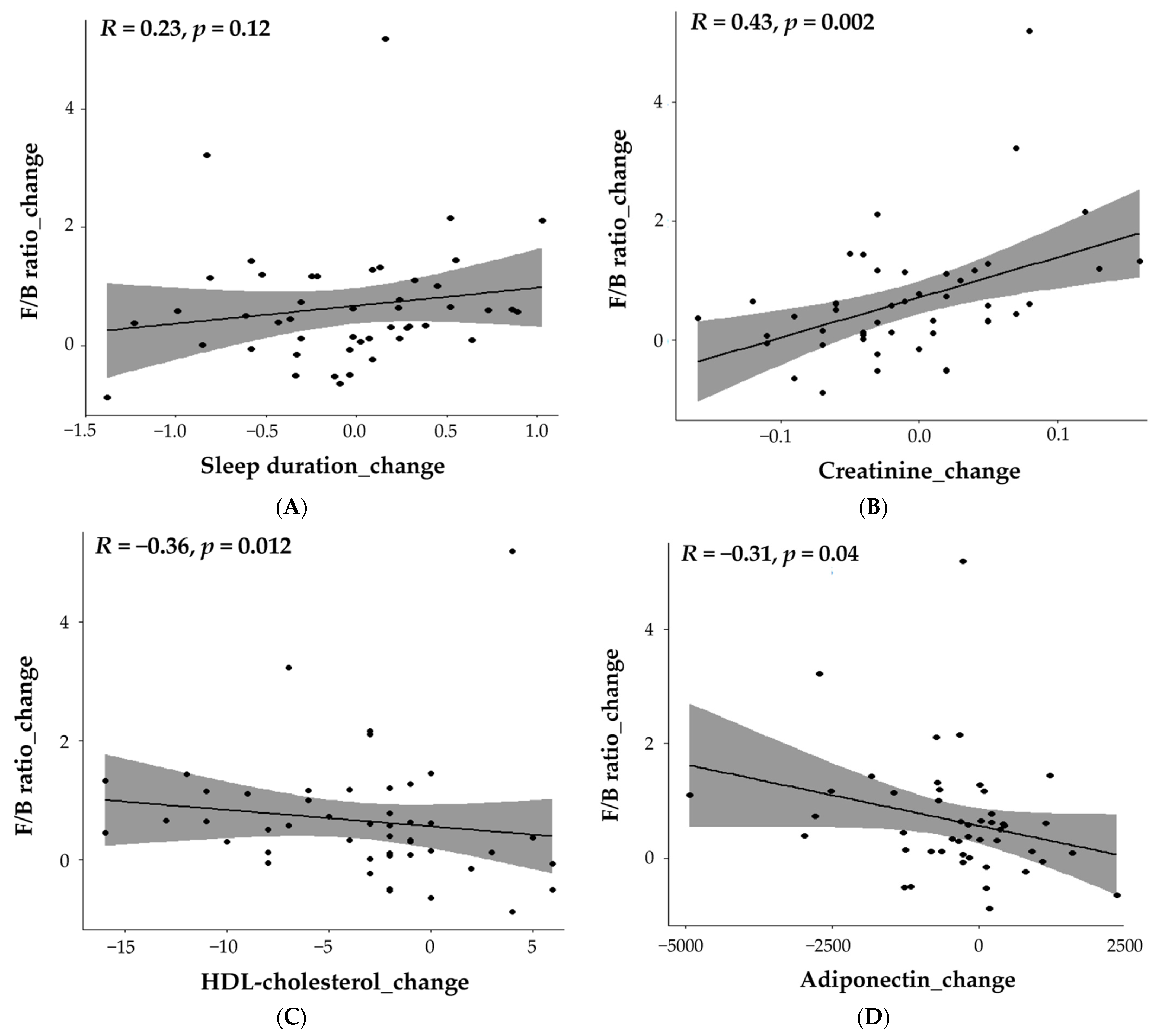
3.4. Correlation between Microbiome and Lifestyle, Anthropometric, Biochemical, and Diet Markers
4. Discussion
5. Conclusions
Supplementary Materials
Author Contributions
Funding
Institutional Review Board Statement
Informed Consent Statement
Data Availability Statement
Acknowledgments
Conflicts of Interest
References
- Hunter, E.; Avenell, A.; Maheshwari, A.; Stadler, G.; Best, D. The effectiveness of weight-loss lifestyle interventions for improving fertility in women and men with overweight or obesity and infertility: A systematic review update of evidence from randomized controlled trials. Obes. Rev. 2021, 22, e13325. [Google Scholar] [CrossRef] [PubMed]
- Guan, Q.; Wang, Z.; Cao, J.; Dong, Y.; Chen, Y. Mechanisms of Melatonin in Obesity: A Review. Int. J. Mol. Sci. 2021, 23, 218. [Google Scholar] [CrossRef] [PubMed]
- Hasler, C.M. Functional foods: Benefits, concerns and challenges-a position paper from the american council on science and health. J. Nutr. 2002, 132, 3772–3781. [Google Scholar] [CrossRef]
- Alissa, E.M.; Ferns, G.A. Functional foods and nutraceuticals in the primary prevention of cardiovascular diseases. J. Nutr. Metab. 2012, 2012, 569486. [Google Scholar] [CrossRef]
- Glei, M.; Matuschek, M.; Steiner, C.; Böhm, V.; Persin, C.; Pool-Zobel, B.L. Initial in vitro toxicity testing of functional foods rich in catechins and anthocyanins in human cells. Toxicol. In Vitro 2003, 17, 723–729. [Google Scholar] [CrossRef]
- Skalkos, D.; Kalyva, Z.C. Exploring the Impact of COVID-19 Pandemic on Food Choice Motives: A Systematic Review. Sustainability 2023, 15, 1606. [Google Scholar] [CrossRef]
- Urhan, M.; Okut Aysin, E. Nutritional and health behaviour predictors of the weight gain during the COVID-19 pandemic. Eur. J. Nutr. 2022, 61, 2993–3002. [Google Scholar] [CrossRef] [PubMed]
- Jeong, Y.; Lee, E.; Park, Y.J.; Kim, Y.; Kwon, O.; Kim, Y. A Review of Recent Evidence from Meal-Based Diet Interventions and Clinical Biomarkers for Improvement of Glucose Regulation. Prev. Nutr. Food Sci. 2020, 25, 9–24. [Google Scholar] [CrossRef] [PubMed]
- Kim, J.Y. Optimal Diet Strategies for Weight Loss and Weight Loss Maintenance. J. Obes. Metab. Syndr. 2021, 30, 20–31. [Google Scholar] [CrossRef]
- Astrup, A.; Grunwald, G.K.; Melanson, E.L.; Saris, W.H.; Hill, J.O. The role of low-fat diets in body weight control: A meta-analysis of ad libitum dietary intervention studies. Int. J. Obes. Relat. Metab. Disord. 2000, 24, 1545–1552. [Google Scholar] [CrossRef]
- Zhu, H.; Bi, D.; Zhang, Y.; Kong, C.; Du, J.; Wu, X.; Wei, Q.; Qin, H. Ketogenic diet for human diseases: The underlying mechanisms and potential for clinical implementations. Signal Transduct. Target. Ther. 2022, 7, 11. [Google Scholar] [CrossRef] [PubMed]
- Ajala, O.; English, P.; Pinkney, J. Systematic review and meta-analysis of different dietary approaches to the management of type 2 diabetes. Am. J. Clin. Nutr. 2013, 97, 505–516. [Google Scholar] [CrossRef] [PubMed]
- Wali, J.A.; Solon-Biet, S.M.; Freire, T.; Brandon, A.E. Macronutrient Determinants of Obesity, Insulin Resistance and Metabolic Health. Biology 2021, 10, 336. [Google Scholar] [CrossRef] [PubMed]
- Solon-Biet, S.M.; McMahon, A.C.; Ballard, J.W.O.; Ruohonen, K.; Wu, L.E.; Cogger, V.C.; Warren, A.; Huang, X.; Pichaud, N.; Melvin, R.G.; et al. The Ratio of Macronutrients, Not Caloric Intake, Dictates Cardiometabolic Health, Aging, and Longevity in Ad Libitum-Fed Mice. Cell Metab. 2020, 31, 654. [Google Scholar] [CrossRef]
- Moreno-Indias, I.; Cardona, F.; Tinahones, F.J.; Queipo-Ortuño, M.I. Impact of the gut microbiota on the development of obesity and type 2 diabetes mellitus. Front. Microbiol. 2014, 5, 190. [Google Scholar] [CrossRef]
- Muscogiuri, G.; Cantone, E.; Cassarano, S.; Tuccinardi, D.; Barrea, L.; Savastano, S.; Colao, A. Gut microbiota: A new path to treat obesity. Int. J. Obes. Suppl. 2019, 9, 10–19. [Google Scholar] [CrossRef]
- Cunningham, A.L.; Stephens, J.W.; Harris, D.A. A review on gut microbiota: A central factor in the pathophysiology of obesity. Lipids Health Dis. 2021, 20, 65. [Google Scholar] [CrossRef]
- de Toro-Martín, J.; Arsenault, B.J.; Després, J.P.; Vohl, M.C. Precision Nutrition: A Review of Personalized Nutritional Approaches for the Prevention and Management of Metabolic Syndrome. Nutrients 2017, 9, 913. [Google Scholar] [CrossRef]
- Zeevi, D.; Korem, T.; Zmora, N.; Israeli, D.; Rothschild, D.; Weinberger, A.; Ben-Yacov, O.; Lador, D.; Avnit-Sagi, T.; Lotan-Pompan, M.; et al. Personalized Nutrition by Prediction of Glycemic Responses. Cell 2015, 163, 1079–1094. [Google Scholar] [CrossRef]
- Berry, S.E.; Valdes, A.M.; Drew, D.A.; Asnicar, F.; Mazidi, M.; Wolf, J.; Capdevila, J.; Hadjigeorgiou, G.; Davies, R.; Al Khatib, H.; et al. Human postprandial responses to food and potential for precision nutrition. Nat. Med. 2020, 26, 964–973. [Google Scholar] [CrossRef]
- Kootte, R.S.; Vrieze, A.; Holleman, F.; Dallinga-Thie, G.M.; Zoetendal, E.G.; de Vos, W.M.; Groen, A.K.; Hoekstra, J.B.; Stroes, E.S.; Nieuwdorp, M. The therapeutic potential of manipulating gut microbiota in obesity and type 2 diabetes mellitus. Diabetes Obes. Metab. 2012, 14, 112–120. [Google Scholar] [CrossRef] [PubMed]
- Johnson, E.L.; Heaver, S.L.; Walters, W.A.; Ley, R.E. Microbiome and metabolic disease: Revisiting the bacterial phylum Bacteroidetes. J. Mol. Med. 2017, 95, 1–8. [Google Scholar] [CrossRef] [PubMed]
- Rinninella, E.; Raoul, P.; Cintoni, M.; Franceschi, F.; Miggiano, G.A.D.; Gasbarrini, A.; Mele, M.C. What is the Healthy Gut Microbiota Composition? A Changing Ecosystem across Age, Environment, Diet, and Diseases. Microorganisms 2019, 7, 14. [Google Scholar] [CrossRef] [PubMed]
- Stojanov, S.; Berlec, A.; Štrukelj, B. The Influence of Probiotics on the Firmicutes/Bacteroidetes Ratio in the Treatment of Obesity and Inflammatory Bowel disease. Microorganisms 2020, 8, 1715. [Google Scholar] [CrossRef]
- Shin, J.H.; Ahn, Y.J.; Chung, W.-H.; Lim, M.Y.; Hong, S.; Kim, J.-H.; Park, M.H.; Nam, Y.-D. Effect of Saengshik Supplementation on the Gut Microbial Composition of Healthy Korean Adults: A Single-Group Pilot Study. Front. Nutr. 2021, 8, 743620. [Google Scholar] [CrossRef]
- Cronin, P.; Joyce, S.A.; O’Toole, P.W.; O’Connor, E.M. Dietary Fibre Modulates the Gut Microbiota. Nutrients 2021, 13, 1655. [Google Scholar] [CrossRef]
- Murphy, E.A.; Velazquez, K.T.; Herbert, K.M. Influence of high-fat diet on gut microbiota: A driving force for chronic disease risk. Curr. Opin. Clin. Nutr. Metab. Care 2015, 18, 515–520. [Google Scholar] [CrossRef]
- Ley, R.E.; Bäckhed, F.; Turnbaugh, P.; Lozupone, C.A.; Knight, R.D.; Gordon, J.I. Obesity alters gut microbial ecology. Proc. Natl. Acad. Sci. USA 2005, 102, 11070–11075. [Google Scholar] [CrossRef]
- Chompre, G.; Sambolin, L.; Cruz, M.L.; Sanchez, R.; Rodriguez, Y.; Rodríguez-Santiago, R.E.; Yamamura, Y.; Appleyard, C.B. A one month high fat diet disrupts the gut microbiome and integrity of the colon inducing adiposity and behavioral despair in male Sprague Dawley rats. Heliyon 2022, 8, e11194. [Google Scholar] [CrossRef]
- Daniel, H.; Gholami, A.M.; Berry, D.; Desmarchelier, C.; Hahne, H.; Loh, G.; Mondot, S.; Lepage, P.; Rothballer, M.; Walker, A.; et al. High-fat diet alters gut microbiota physiology in mice. ISME J. 2014, 8, 295–308. [Google Scholar] [CrossRef]
- Wang, Y.; Yao, W.; Li, B.; Qian, S.; Wei, B.; Gong, S.; Wang, J.; Liu, M.; Wei, M. Nuciferine modulates the gut microbiota and prevents obesity in high-fat diet-fed rats. Exp. Mol. Med. 2020, 52, 1959–1975. [Google Scholar] [CrossRef]
- Ang, Q.Y.; Alexander, M.; Newman, J.C.; Tian, Y.; Cai, J.; Upadhyay, V.; Turnbaugh, J.A.; Verdin, E.; Hall, K.D.; Leibel, R.L.; et al. Ketogenic Diets Alter the Gut Microbiome Resulting in Decreased Intestinal Th17 Cells. Cell 2020, 181, 1263–1275.e16. [Google Scholar] [CrossRef]
- Rolland, C.; Broom, I. The Effects of Very-Low-Calorie Diets on HDL: A Review. Cholesterol 2011, 2011, 306278. [Google Scholar] [CrossRef] [PubMed]
- Houtman, T.A.; Eckermann, H.A.; Smidt, H.; de Weerth, C. Gut microbiota and BMI throughout childhood: The role of firmicutes, bacteroidetes, and short-chain fatty acid producers. Sci. Rep. 2022, 12, 3140. [Google Scholar] [CrossRef] [PubMed]
- Schwiertz, A.; Taras, D.; Schäfer, K.; Beijer, S.; Bos, N.A.; Donus, C.; Hardt, P.D. Microbiota and SCFA in lean and overweight healthy subjects. Obesity 2010, 18, 190–195. [Google Scholar] [CrossRef]
- David, L.A.; Maurice, C.F.; Carmody, R.N.; Gootenberg, D.B.; Button, J.E.; Wolfe, B.E.; Ling, A.V.; Devlin, A.S.; Varma, Y.; Fischbach, M.A.; et al. Diet rapidly and reproducibly alters the human gut microbiome. Nature 2014, 505, 559–563. [Google Scholar] [CrossRef] [PubMed]
- Dalby, M.J.; Ross, A.W.; Walker, A.W.; Morgan, P.J. Dietary Uncoupling of Gut Microbiota and Energy Harvesting from Obesity and Glucose Tolerance in Mice. Cell Rep. 2017, 21, 1521–1533. [Google Scholar] [CrossRef] [PubMed]
- Schipke, J.; Brandenberger, C.; Vital, M.; Mühlfeld, C. Starch and Fiber Contents of Purified Control Diets Differentially Affect Hepatic Lipid Homeostasis and Gut Microbiota Composition. Front. Nutr. 2022, 9, 915082. [Google Scholar] [CrossRef]
- Parada Venegas, D.; De la Fuente, M.K.; Landskron, G.; González, M.J.; Quera, R.; Dijkstra, G.; Harmsen, H.J.M.; Faber, K.N.; Hermoso, M.A. Short Chain Fatty Acids (SCFAs)-Mediated Gut Epithelial and Immune Regulation and Its Relevance for Inflammatory Bowel Diseases. Front. Immunol. 2019, 10, 277. [Google Scholar] [CrossRef] [PubMed]
- Gasaly, N.; Hermoso, M.A.; Gotteland, M. Butyrate and the Fine-Tuning of Colonic Homeostasis: Implication for Inflammatory Bowel Diseases. Int. J. Mol. Sci. 2021, 22, 3061. [Google Scholar] [CrossRef]
- Zhu, L.B.; Zhang, Y.C.; Huang, H.H.; Lin, J. Prospects for clinical applications of butyrate-producing bacteria. World J. Clin. Pediatr. 2021, 10, 84–92. [Google Scholar] [CrossRef] [PubMed]
- Magne, F.; Gotteland, M.; Gauthier, L.; Zazueta, A.; Pesoa, S.; Navarrete, P.; Balamurugan, R. The Firmicutes/Bacteroidetes Ratio: A Relevant Marker of Gut Dysbiosis in Obese Patients? Nutrients 2020, 12, 1474. [Google Scholar] [CrossRef] [PubMed]
- Wang, B.; Kong, Q.; Li, X.; Zhao, J.; Zhang, H.; Chen, W.; Wang, G. A High-Fat Diet Increases Gut Microbiota Biodiversity and Energy Expenditure Due to Nutrient Difference. Nutrients 2020, 12, 3197. [Google Scholar] [CrossRef] [PubMed]
- Ley, R.E.; Turnbaugh, P.J.; Klein, S.; Gordon, J.I. Microbial ecology: Human gut microbes associated with obesity. Nature 2006, 444, 1022–1023. [Google Scholar] [CrossRef]
- Gilbert, J.A.; Quinn, R.A.; Debelius, J.; Xu, Z.Z.; Morton, J.; Garg, N.; Jansson, J.K.; Dorrestein, P.C.; Knight, R. Microbiome-wide association studies link dynamic microbial consortia to disease. Nature 2016, 535, 94–103. [Google Scholar] [CrossRef]
- Stanislawski, M.A.; Dabelea, D.; Lange, L.A.; Wagner, B.D.; Lozupone, C.A. Gut microbiota phenotypes of obesity. NPJ Biofilms Microbiomes 2019, 5, 18. [Google Scholar] [CrossRef]
- Pinart, M.; Dötsch, A.; Schlicht, K.; Laudes, M.; Bouwman, J.; Forslund, S.K.; Pischon, T.; Nimptsch, K. Gut Microbiome Composition in Obese and Non-Obese Persons: A Systematic Review and Meta-Analysis. Nutrients 2021, 14, 12. [Google Scholar] [CrossRef]
- Duan, M.; Wang, Y.; Zhang, Q.; Zou, R.; Guo, M.; Zheng, H. Characteristics of gut microbiota in people with obesity. PLoS ONE 2021, 16, e0255446. [Google Scholar] [CrossRef]
- Jiang, Z.; Sun, T.Y.; He, Y.; Gou, W.; Zuo, L.S.; Fu, Y.; Miao, Z.; Shuai, M.; Xu, F.; Xiao, C.; et al. Dietary fruit and vegetable intake, gut microbiota, and type 2 diabetes: Results from two large human cohort studies. BMC Med. 2020, 18, 371. [Google Scholar] [CrossRef]
- Partula, V.; Mondot, S.; Torres, M.J.; Kesse-Guyot, E.; Deschasaux, M.; Assmann, K.; Latino-Martel, P.; Buscail, C.; Julia, C.; Galan, P.; et al. Associations between usual diet and gut microbiota composition: Results from the Milieu Intérieur cross-sectional study. Am. J. Clin. Nutr. 2019, 109, 1472–1483. [Google Scholar] [CrossRef]
- Gil-Cardoso, K.; Ginés, I.; Pinent, M.; Ardévol, A.; Blay, M.; Terra, X. Effects of flavonoids on intestinal inflammation, barrier integrity and changes in gut microbiota during diet-induced obesity. Nutr. Res. Rev. 2016, 29, 234–248. [Google Scholar] [CrossRef]
- Dong, T.S.; Luu, K.; Lagishetty, V.; Sedighian, F.; Woo, S.L.; Dreskin, B.W.; Katzka, W.; Chang, C.; Zhou, Y.; Arias-Jayo, N.; et al. A High Protein Calorie Restriction Diet Alters the Gut Microbiome in Obesity. Nutrients 2020, 12, 3221. [Google Scholar] [CrossRef] [PubMed]
- Hamoud, A.R.; Weaver, L.; Stec, D.E.; Hinds, T.D., Jr. Bilirubin in the Liver-Gut Signaling Axis. Trends Endocrinol. Metab. 2018, 29, 140–150. [Google Scholar] [CrossRef] [PubMed]
- Woting, A.; Pfeiffer, N.; Loh, G.; Klaus, S.; Blaut, M. Clostridium ramosum promotes high-fat diet-induced obesity in gnotobiotic mouse models. mBio 2014, 5, e01530-14. [Google Scholar] [CrossRef] [PubMed]
- Wang, B.; Zhou, Y.; Mao, Y.; Gong, L.; Li, X.; Xu, S.; Wang, F.; Guo, Q.; Zhang, H.; Li, W. Dietary Supplementation With Lactobacillus plantarum Ameliorates Compromise of Growth Performance by Modulating Short-Chain Fatty Acids and Intestinal Dysbiosis in Broilers Under Clostridium perfringens Challenge. Front. Nutr. 2021, 8, 706148. [Google Scholar] [CrossRef]
- Bien, J.; Palagani, V.; Bozko, P. The intestinal microbiota dysbiosis and Clostridium difficile infection: Is there a relationship with inflammatory bowel disease? Therap. Adv. Gastroenterol. 2013, 6, 53–68. [Google Scholar] [CrossRef]
- Lukiw, W.J. Bacteroides fragilis Lipopolysaccharide and Inflammatory Signaling in Alzheimer’s Disease. Front. Microbiol. 2016, 7, 1544. [Google Scholar] [CrossRef]
- Žiberna, L.; Jenko-Pražnikar, Z.; Petelin, A. Serum Bilirubin Levels in Overweight and Obese Individuals: The Importance of Anti-Inflammatory and Antioxidant Responses. Antioxidants 2021, 10, 1352. [Google Scholar] [CrossRef]
- Eremiasova, L.; Hubacek, J.A.; Danzig, V.; Adamkova, V.; Mrazova, L.; Pitha, J.; Lanska, V.; Cífková, R.; Vitek, L. Serum Bilirubin in the Czech Population-Relationship to the Risk of Myocardial Infarction in Males. Circ. J. 2020, 84, 1779–1785. [Google Scholar] [CrossRef]
- Clément, K.; Viguerie, N.; Poitou, C.; Carette, C.; Pelloux, V.; Curat, C.A.; Sicard, A.; Rome, S.; Benis, A.; Zucker, J.D.; et al. Weight loss regulates inflammation-related genes in white adipose tissue of obese subjects. FASEB J. 2004, 18, 1657–1669. [Google Scholar] [CrossRef]
- Page, P. Beyond statistical significance: Clinical interpretation of rehabilitation research literature. Int. J. Sports Phys. Ther. 2014, 9, 726–736. [Google Scholar] [PubMed]










| Energy (kcal/Day) | Carbohydrate (g/Day) | Protein (g/Day) | Fat (g/Day) | |
|---|---|---|---|---|
| Group B | 1044 | 155 (59.3%) | 39 (14.9%) | 33 (28.5%) |
| Group F | 1117 | 93 (33.3%) | 49 (17.5%) | 66 (53.6%) |
| Group P | 1038 | 107 (41.2%) | 67 (25.7%) | 40 (34.5%) |
| Total (n = 47) | Diet Intervention | p-Value | |||
|---|---|---|---|---|---|
| Group B (n = 16) | Group F (n = 14) | Group P (n = 17) | |||
| Age (years) | 36.0 ± 4.3 | 36.4 ± 5.2 | 35.6 ± 3.9 | 35.8 ± 3.8 | 0.8626 |
| Male, n (%) | 45 (95.7) | 15 (93.8) | 13 (92.9) | 17 (100) | |
| Physical activity (kcal/day) | 124.6 ± 86.5 | 144.1 ± 73.8 | 120.3 ± 91.8 | 109.8 ± 94.6 | 0.5201 |
| Sleep duration (hours) | 6.60 ± 0.73 | 6.65 ± 0.93 | 6.54 ± 0.60 | 6.60 ± 0.64 | 0.9108 |
| Dietary history | |||||
| RFS * | 19.9 ± 8.7 | 19.0 ± 9.8 | 18.1 ± 7.9 | 22.2 ± 8.2 | 0.3912 |
| MEDFICTS ** | 66.5 ± 11.8 | 62.3 ± 10.3 | 65.9 ± 13.1 | 71.1 ± 10.9 | 0.0951 |
| Anthropometric parameters | |||||
| Height (cm) | 174.9 ± 5.9 | 174.1 ± 5.8 | 175.4 ± 6.6 | 175.2 ± 5.9 | 0.8157 |
| BW (kg) | 81.9 ± 12.2 | 79.9 ± 10.4 | 84.6 ± 15.4 | 81.5 ± 11.2 | 0.5821 |
| BMI (kg/m2) | 26.7 ± 3.0 | 26.3 ± 2.3 | 27.3 ± 3.5 | 26.6 ± 3.3 | 0.6461 |
| FM (%) | 25.3 ± 5.9 | 25.9 ± 6.2 | 26.2 ± 5.0 | 24.0 ± 6.4 | 0.5505 |
| FFM (%) | 60.8 ± 7.2 | 59.0 ± 6.4 | 62.1 ± 9.2 | 61.5 ± 6.1 | 0.4515 |
| SMM (kg) | 34.4 ± 4.3 | 33.3 ± 3.9 | 35.2 ± 5.5 | 34.8 ± 3.7 | 0.4475 |
| RBW (%) | 21.3 ± 13.3 | 19.7 ± 10.0 | 24.0 ± 14.6 | 20.7 ± 15.2 | 0.6662 |
| WHR | 0.9 ± 0.1 | 0.9 ± 0.1 | 0.9 ± 0.1 | 0.9 ± 0.1 | 0.4716 |
| Biochemical parameters | |||||
| Liver function | |||||
| γ-GTP (IU/L) | 29.6 ± 19.5 | 28.9 ± 22.8 | 29.9 ± 17.0 | 29.9 ± 19.2 | 0.9877 |
| Total Bilirubin (mg/dL) | 0.7 ± 0.3 | 0.7 ± 0.2 | 0.6 ± 0.3 | 0.8 ± 0.4 | 0.2370 |
| AST (IU/L) | 26.9 ± 13.6 | 22.8 ± 10.7 | 33.6 ± 18.3 | 25.2 ± 9.8 | 0.0727 |
| ALT (IU/L) | 30.4 ± 20.2 | 27.7 ± 24.2 | 35.3 ± 19.0 | 28.8 ± 17.4 | 0.5570 |
| LDH (IU/L) | 189.6 ± 30.4 | 185.8 ± 31.2 | 195.6 ± 35.6 | 188.1 ± 26.0 | 0.6659 |
| ALP (U/L) | 63.6 ± 13.2 | 64.1 ± 12.7 | 63.4 ± 16.0 | 63.3 ± 12.1 | 0.9816 |
| Kidney function | |||||
| Creatinine (mg/dL) | 0.9 ± 0.1 | 0.9 ± 0.1 | 0.9 ± 0.2 | 0.9 ± 0.1 | 0.9449 |
| Lipid profiles | |||||
| TG (mg/dL) | 129.2 ± 63.1 | 120.4 ± 65.2 | 129.3 ± 58.1 | 137.4 ± 67.6 | 0.7505 |
| T-Cho (mg/dL) | 203.3 ± 29.0 | 202.6 ± 30.4 | 200.0 ± 32.3 | 206.7 ± 26.0 | 0.8144 |
| HDL (mg/dL) | 51.9 ± 9.7 | 56.2 ± 9.3 | 48.1 ± 9.2 | 50.9 ± 9.3 | 0.0599 |
| LDL (mg/dL) | 139.4 ± 26.8 | 135.5 ± 27.8 | 139.1 ± 29.8 | 143.2 ± 24.2 | 0.7176 |
| Others | |||||
| Glucose (mg/dL) | 92.3 ± 9.3 | 90.3 ± 7.0 | 94.6 ± 12.9 | 92.2 ± 7.7 | 0.4651 |
| Total protein (g/dL) | 7.4 ± 0.4 | 7.3 ± 0.4 | 7.4 ± 0.4 | 7.4 ± 0.3 | 0.4694 |
| Albumin (g/dL) | 4.8 ± 0.2 | 4.8 ± 0.2 | 4.7 ± 0.1 | 4.8 ± 0.2 | 0.0809 |
| hsCRP (mg/L) | 1.4 ± 1.6 | 1.9 ± 2.1 | 1.7 ± 1.6 | 0.7 ± 0.5 | 0.0819 |
| Leptin (ng/mL) | 12.1 ± 11.8 | 14.6 ± 16.7 | 13.4 ± 10.8 | 8.8 ± 4.8 | 0.3313 |
| Adiponectin (ng/mL) | 6919.7 ± 4066.9 | 6699.6 ± 3485.8 | 6761.7 ± 4218.0 | 7256.7 ± 4638.1 | 0.9153 |
| FGF21 (pg/mL) | 140.6 ± 96.2 | 136.3 ± 70.8 | 154.1 ± 120.9 | 133.5 ± 98.9 | 0.8240 |
| TMAO (umol/L) | 4.5 ± 5.5 | 5.5 ± 7.9 | 5.1 ± 5.0 | 2.9 ± 2.3 | 0.3550 |
| NAD (ug/mL) | 21.8 ± 3.0 | 22.2 ± 3.3 | 21.5 ± 3.6 | 21.8 ± 2.1 | 0.7839 |
| Total (n = 47) | p-Value | Diet Intervention | p-Value (ANOVA) | ||||||
|---|---|---|---|---|---|---|---|---|---|
| Group B (n = 16) | p-Value | Group F (n = 14) | p-Value | Group P (n = 17) | p-Value | ||||
| Energy (kcal/day) | −569.1 ± 376.6 | <0.0001 | −735.2 ± 441.0 | <0.0001 | −452.0 ± 343.6 | 0.0003 | −509.3 ± 293.7 | <0.0001 | 0.6353 |
| Carbohydrate (g/day) | −62.5 ± 55.9 | <0.0001 | −51.0 ± 64.6 | 0.0065 | −89.5 ± 47.9 | <0.0001 | −51.2 ± 48.1 | 0.0005 | 0.1739 |
| Protein (g/day) | −18.4 ± 20.9 | <0.0001 | −36.1 ± 17.5 | <0.0001 | −17.1 ± 17.1 | 0.0025 | −2.7 ± 12.6 | 0.3860 | 0.9641 |
| Fat (g/day) | −14.8 ± 23.7 | <0.0001 | −31.0 ± 20.3 | <0.0001 | 11.0 ± 13.4 | 0.0089 | −20.8 ± 14.3 | <0.0001 | 0.7501 |
| Carbohydrate (% of calorie) | 1.0 ± 11.2 | 0.5397 | 11.2 ± 7.2 | <0.0001 | −10.3 ± 8.1 | 0.0004 | 0.7 ± 6.6 | 0.6601 | 0.1401 |
| Protein (% of calorie) | 1.4 ± 3.8 | 0.0127 | −1.8 ± 1.9 | 0.0018 | 0.5 ± 1.4 | 0.2063 | 5.2 ± 3.1 | <0.0001 | 0.3230 |
| Fat (% of calorie) | 3.2 ± 9.4 | 0.0233 | −3.1 ± 4.3 | 0.0103 | 15.5 ± 5.8 | <0.0001 | −0.9 ± 4.2 | 0.3774 | 0.1210 |
| Total (n = 47) | p-Value | Diet Intervention | ||||||
|---|---|---|---|---|---|---|---|---|
| Group B (n = 16) | p-Value | Group F (n = 14) | p-Value | Group P (n = 17) | p-Value | |||
| Lifestyle parameters | ||||||||
| Physical activity (kcal/day) | −0.9 ± 73.7 | 0.9341 | 1.5 ± 54.0 | 0.9144 | −0.9 ± 1.8 | 0.4639 | 12.4 ± 67.6 | 0.4600 |
| Sleep duration (hours) | −0.1 ± 0.5 | 0.5345 | −0.1 ± 0.7 | 0.5576 | 0.1 ± 0.4 | 0.2435 | −0.1 ± 0.5 | 0.2534 |
| Anthropometric parameters | ||||||||
| BW (kg) | −1.4 ± 1.3 | <0.0001 | −1.2 ± 0.9 | <0.0001 | −1.8 ± 1.6 | 0.0012 | −1.1 ± 1.2 | 0.0013 |
| BMI (kg/m2) | −0.5 ± 0.4 | <0.0001 | −0.4 ± 0.3 | <0.0001 | −0.6 ± 0.5 | 0.0008 | −0.4 ± 0.4 | 0.0016 |
| FM (%) | −0.3 ± 1.0 | 0.0616 | −0.6 ± 1.1 | 0.0557 | −0.02 ± 0.8 | 0.9198 | −0.2 ± 1.0 | 0.4220 |
| FFM (%) | −0.8 ± 1.0 | <0.0001 | −0.5 ± 0.8 | 0.0335 | −1.3 ± 1.3 | 0.0021 | −0.7 ± 0.8 | 0.0015 |
| SMM (kg) | −0.4 ± 0.6 | <0.0001 | −0.3 ± 0.5 | 0.0827 | −0.8 ± 0.8 | 0.0028 | −0.4 ± 0.5 | 0.0089 |
| RBW (%) | −2.1 ± 1.9 | <0.0001 | −1.9 ± 1.4 | 0.0001 | −2.7 ± 2.3 | 0.0008 | −1.7 ± 1.9 | 0.0017 |
| WHR | 0.003 ± 0.01 | 0.1295 | 0.001 ± 0.01 | 0.6091 | 0.003 ± 0.01 | 0.3019 | 0.004 ± 0.02 | 0.3109 |
| Biochemical parameters | ||||||||
| Liver function | ||||||||
| γ-GTP (IU/L) | −8.8 ± 10.0 | <0.0001 | −8.7 ± 9.8 | 0.0028 | −10.4 ± 11.4 | 0.0044 | −7.5 ± 9.6 | 0.0054 |
| Total Bilirubin (mg/dL) | 0.1 ± 0.3 | 0.0413 | 0.2 ± 0.3 | 0.0216 | 0.1 ± 0.2 | 0.1134 | −0.01 ± 0.3 | 0.9060 |
| AST (IU/L) | −2.6 ± 18.2 | 0.3424 | −1.8 ± 5.2 | 0.1840 | −7.2 ± 19.9 | 0.1975 | 0.6 ± 24.1 | 0.9211 |
| ALT (IU/L) | −4.8 ± 12.8 | 0.0138 | −4.3 ± 10.7 | 0.1342 | −7.5 ± 14.3 | 0.0718 | −3.0 ± 13.6 | 0.3751 |
| LDH (IU/L) | −17.1 ± 31.8 | 0.0006 | −11.1 ± 25.2 | 0.0983 | −27.9 ± 39.1 | 0.0191 | −13.8 ± 30.3 | 0.0784 |
| ALP (U/L) | −6.8 ± 5.6 | <0.0001 | −5.3 ± 5.0 | 0.0007 | −9.9 ± 5.1 | <0.0001 | −5.8 ± 5.8 | 0.0008 |
| Kidney function | ||||||||
| Creatinine (mg/dL) | −0.01 ± 0.1 | 0.3813 | −0.02 ± 0.1 | 0.3661 | −0.01 ± 0.1 | 0.7034 | −0.003 ± 0.1 | 0.8614 |
| Lipid profiles | ||||||||
| TG (mg/dL) | −17.1 ± 40.09 | 0.0054 | −13.9 ± 28.4 | 0.0696 | −17.4 ± 48.8 | 0.2044 | −19.8 ± 43.7 | 0.0808 |
| T-Cho (mg/dL) | −4.8 ± 17.2 | 0.0642 | −1.6 ± 17.8 | 0.7206 | −0.6 ± 17.0 | 0.8895 | −11.1 ± 15.9 | 0.0109 |
| HDL (mg/dL) | −3.6 ± 5.3 | <0.0001 | −4.4 ± 6.9 | 0.0218 | −1.6 ± 2.7 | 0.0491 | −4.4 ± 5.0 | 0.0025 |
| LDL (mg/dL) | 1.5 ± 16.3 | 0.5332 | 5.1 ± 16.2 | 0.2296 | 3.1 ± 16.7 | 0.4948 | −3.2 ± 15.8 | 0.4100 |
| Others | ||||||||
| Glucose (mg/dL) | −0.3 ± 7.4 | 0.7977 | −1.5 ± 4.3 | 0.1792 | −0.5 ± 11.0 | 0.8678 | 1.1 ± 6.0 | 0.4807 |
| Total protein (g/dL) | −0.2 ± 0.3 | 0.0001 | −0.1 ± 0.3 | 0.2565 | −0.2 ± 0.2 | 0.0043 | −0.2 ± 0.3 | 0.0078 |
| Albumin (g/dL) | 0.01 ± 0.1 | 0.6596 | 0.03 ± 0.1 | 0.4506 | 0.0 ± 0.1 | 1.0000 | 0.0 ± 0.2 | 1.0000 |
| hsCRP (mg/L) | −0.7 ± 1.3 | 0.0008 | −1.2 ± 1.9 | 0.0267 | −0.7 ± 1.0 | 0.0148 | −0.2 ± 0.4 | 0.0733 |
| Leptin (ng/mL) | −3.2 ± 4.8 | <0.0001 | −3.7 ± 5.8 | 0.0215 | −3.9 ± 5.7 | 0.0226 | −2.0 ± 2.2 | 0.0019 |
| Adiponectin (ng/mL) | −416.2 ± 1287.8 | 0.0317 | −271.6 ± 791.9 | 0.1903 | −227.0 ± 1450.2 | 0.5682 | −708.3 ± 1525.9 | 0.0737 |
| FGF21 (pg/mL) | −39.0 ± 79.1 | 0.0015 | −31.7 ± 64.4 | 0.0681 | −56.3 ± 86.7 | 0.0304 | −31.8 ± 87.4 | 0.1531 |
| TMAO (umol/L) | −0.4 ± 6.3 | 0.6497 | −0.9 ± 9.8 | 0.7295 | −1.6 ± 3.3 | 0.0919 | 1.0 ± 3.6 | 0.2846 |
| NAD (ug/mL) | −0.2 ± 2.4 | 0.6471 | 0.9 ± 3.0 | 0.2355 | −0.9 ± 1.8 | 0.0838 | −0.6 ± 1.9 | 0.2256 |
| Total (n = 47) | p-Value | Diet Intervention | ||||||
|---|---|---|---|---|---|---|---|---|
| Group B (n = 16) | p-Value | Group F (n = 14) | p-Value | Group P (n = 17) | p-Value | |||
| Bacteroidetes (%) | −14.3 ± 17.2 | <0.0001 | −13.5 ± 15.4 | 0.0032 | −13.6 ± 20.3 | 0.0260 | −15.6 ± 16.9 | 0.0016 |
| Firmicutes (%) | 13.6 ± 16.5 | <0.0001 | 12.5 ± 16.2 | 0.0073 | 12.3 ± 16.5 | 0.0151 | 15.6 ± 17.6 | 0.0022 |
| Proteobacteria (%) | 0.2 ± 4.5 | 0.7045 | 0.4 ± 4.5 | 0.7178 | 0.8 ± 6.4 | 0.6325 | −0.4 ± 2.2 | 0.4698 |
| Actinobacteria (%) | 0.5 ± 1.2 | 0.0087 | 0.5 ± 1.4 | 0.1380 | 0.5 ± 0.9 | 0.0647 | 0.4 ± 1.3 | 0.1965 |
| F/B ratio (%) | 0.7 ± 1.0 | <0.0001 | 0.6 ± 0.8 | 0.0085 | 0.7 ± 1.5 | 0.0764 | 0.7 ± 0.9 | 0.0066 |
Disclaimer/Publisher’s Note: The statements, opinions and data contained in all publications are solely those of the individual author(s) and contributor(s) and not of MDPI and/or the editor(s). MDPI and/or the editor(s) disclaim responsibility for any injury to people or property resulting from any ideas, methods, instructions or products referred to in the content. |
© 2023 by the authors. Licensee MDPI, Basel, Switzerland. This article is an open access article distributed under the terms and conditions of the Creative Commons Attribution (CC BY) license (https://creativecommons.org/licenses/by/4.0/).
Share and Cite
Song, S.; Shon, J.; Yang, W.-r.; Kang, H.-B.; Kim, K.-H.; Park, J.-Y.; Lee, S.; Baik, S.Y.; Lee, K.-R.; Park, Y.J. Short-Term Effects of Weight-Loss Meal Replacement Programs with Various Macronutrient Distributions on Gut Microbiome and Metabolic Parameters: A Pilot Study. Nutrients 2023, 15, 4744. https://doi.org/10.3390/nu15224744
Song S, Shon J, Yang W-r, Kang H-B, Kim K-H, Park J-Y, Lee S, Baik SY, Lee K-R, Park YJ. Short-Term Effects of Weight-Loss Meal Replacement Programs with Various Macronutrient Distributions on Gut Microbiome and Metabolic Parameters: A Pilot Study. Nutrients. 2023; 15(22):4744. https://doi.org/10.3390/nu15224744
Chicago/Turabian StyleSong, Seungmin, Jinyoung Shon, Woo-ri Yang, Han-Bit Kang, Keun-Ha Kim, Ju-Yeon Park, Sanghoo Lee, Sae Yun Baik, Kyoung-Ryul Lee, and Yoon Jung Park. 2023. "Short-Term Effects of Weight-Loss Meal Replacement Programs with Various Macronutrient Distributions on Gut Microbiome and Metabolic Parameters: A Pilot Study" Nutrients 15, no. 22: 4744. https://doi.org/10.3390/nu15224744
APA StyleSong, S., Shon, J., Yang, W.-r., Kang, H.-B., Kim, K.-H., Park, J.-Y., Lee, S., Baik, S. Y., Lee, K.-R., & Park, Y. J. (2023). Short-Term Effects of Weight-Loss Meal Replacement Programs with Various Macronutrient Distributions on Gut Microbiome and Metabolic Parameters: A Pilot Study. Nutrients, 15(22), 4744. https://doi.org/10.3390/nu15224744

