Fat Consumption Attenuates Cortical Oxygenation during Mental Stress in Young Healthy Adults
Abstract
1. Introduction
2. Materials and Methods
2.1. Participants
2.2. Procedure
2.3. Meal Interventions
2.4. Mental Stress Task
2.5. Cardiovascular Activity
2.6. Prefrontal Cortical Haemodynamics
2.7. Common Carotid Artery Diameter and Blood Flow
2.8. Mood Questionnaire
2.9. Data Reduction and Statistical Analysis
3. Results
3.1. Participant Characteristics
3.2. Mental Stress Task Ratings
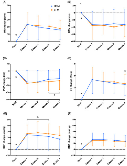
3.3. Cardiovascular Responses during Mental Stress
3.4. Prefrontal Cortical Haemodynamics during Mental Stress
3.5. Common Carotid Arterial Diameter and Blood Flow Following Mental Stress
3.6. Mood Following High and Low-Fat Meal Consumption and Mental Stress
4. Discussion
Limitations
5. Conclusions
Author Contributions
Funding
Institutional Review Board Statement
Informed Consent Statement
Data Availability Statement
Acknowledgments
Conflicts of Interest
References
- Bergovec, M.; Mihatov, S.; Prpic, H.; Rogan, S.; Batarelo, V.; Sjerobabski, V. Acute Myocardial-Infarction among civilians in Zagreb City Area. Lancet 1992, 339, 303. [Google Scholar] [CrossRef]
- Carroll, D.; Ebrahim, S.; Tilling, K.; MacLeod, J.; Smith, G.D. Admissions for myocardial infarction and World Cup football: Database survey. Br. Med. J. 2002, 325, 1439–1442. [Google Scholar] [CrossRef]
- Leor, J.; Kloner, R.A. The Northridge earthquake as a trigger for acute myocardial infarction. Am. J. Cardiol. 1996, 77, 1230–1232. [Google Scholar] [CrossRef]
- Prasad, M.; Khanna, P.; Katyal, V.K.; Verma, R. Acute Psychological Stress is a Trigger for Stroke: A Case-Crossover Study. J. Stroke Cerebrovasc. Dis. 2020, 29, 104799. [Google Scholar] [CrossRef] [PubMed]
- Burg, M.M.; Graeber, B.; Vashist, A.; Collins, D.; Earley, C.; Liu, J.; Lampert, R.; Soufer, R. Noninvasive Detection of Risk for Emotion Provoked Myocardial Ischemia. Psychosom. Med. 2009, 71, 14–20. [Google Scholar] [CrossRef] [PubMed]
- Samieri, C.; Perier, M.C.; Gaye, B.; Proust-Lima, C.; Helmer, C.; Dartigues, J.F.; Berr, C.; Tzourio, C.; Empana, J.P. Association of Cardiovascular Health Level in Older Age With Cognitive Decline and Incident Dementia. JAMA 2018, 320, 657–664. [Google Scholar] [CrossRef]
- Gardener, H.; Wright, C.B.; Dong, C.; Cheung, K.; DeRosa, J.; Nannery, M.; Stern, Y.; Elkind, M.S.V.; Sacco, R.L. Ideal Cardiovascular Health and Cognitive Aging in the Northern Manhattan Study. J. Am. Heart Assoc. 2016, 5, e002731. [Google Scholar] [CrossRef]
- Liston, C.; McEwen, B.S.; Casey, B.J. Psychosocial stress reversibly disrupts prefrontal processing and attentional control. Proc. Natl. Acad. Sci. USA 2009, 106, 912–917. [Google Scholar] [CrossRef] [PubMed]
- Raz, N.; Rodrigue, K.M.; Kennedy, K.M.; Acker, J.D. Vascular health and longitudinal changes in brain and cognition in middle-aged and older adults. Neuropsychology 2007, 21, 149–157. [Google Scholar] [CrossRef]
- Shoemaker, L.N.; Wilson, L.C.; Lucas, S.J.E.; Machado, L.; Cotter, J.D. Cerebrovascular regulation is not blunted during mental stress. Exp. Physiol. 2019, 104, 1678–1687. [Google Scholar] [CrossRef]
- Tanida, M.; Katsuyama, M.; Sakatani, K. Relation between mental stress-induced prefrontal cortex activity and skin conditions: A near-infrared spectroscopy study. Brain Res. 2007, 1184, 210–216. [Google Scholar] [CrossRef] [PubMed]
- Nagasawa, Y.; Ishida, M.; Komuro, Y.; Ushioda, S.; Hu, L.; Sakatani, K. Relationship Between Cerebral Blood Oxygenation and Electrical Activity During Mental Stress Tasks: Simultaneous Measurements of NIRS and EEG. In Oxygen Transport to Tissue XLI; Ryu, P.-D., LaManna, J.C., Harrison, D.K., Lee, S.-S., Eds.; Springer International Publishing: Cham, Switzerland, 2020; pp. 99–104. [Google Scholar]
- Bonvento, G.; Seylaz, J.; Lacombe, P. Widespread attenuation of the cerebrovascular reactivity to hypercapnia following inhibition of nitric oxide synthase in the conscious rat. J. Cereb. Blood Flow. Metab. 1994, 14, 699–703. [Google Scholar] [CrossRef] [PubMed]
- Iadecola, C.; Zhang, F. Nitric oxide-dependent and -independent components of cerebrovasodilation elicited by hypercapnia. Am. J. Physiol. 1994, 266, R546–R552. [Google Scholar] [CrossRef] [PubMed]
- Naqvi, T.Z.; Hyuhn, H.K. Cerebrovascular mental stress reactivity is impaired in hypertension. Cardiovasc. Ultrasound 2009, 7, 32. [Google Scholar] [CrossRef] [PubMed]
- Perdomo, S.J.; Ward, J.; Liu, Y.; Vidoni, E.D.; Sisante, J.F.; Kirkendoll, K.; Burns, J.M.; Billinger, S.A. Cardiovascular disease risk is associated with middle cerebral artery blood flow velocity in older adults. Cardiopulm. Phys. Ther. J. 2020, 31, 38–46. [Google Scholar] [CrossRef]
- Hill, D.; Conner, M.; Clancy, F.; Moss, R.; Wilding, S.; Bristow, M.; O’Connor, D.B. Stress and eating behaviours in healthy adults: A systematic review and meta-analysis. Health Psychol. Rev. 2022, 16, 280–304. [Google Scholar] [CrossRef]
- Jackson, K.G.; Armah, C.K.; Minihane, A.M. Meal fatty acids and postprandial vascular reactivity. Biochem. Soc. Trans. 2007, 35, 451–453. [Google Scholar] [CrossRef]
- Sherwood, A.; Johnson, K.; Blumenthal, J.A.; Hinderliter, A.L. Endothelial function and hemodynamic responses during mental stress. Psychosom. Med. 1999, 61, 365–370. [Google Scholar] [CrossRef]
- Winocur, G.; Greenwood, C.E. Studies of the effects of high fat diets on cognitive function in a rat model. Neurobiol. Aging 2005, 26 (Suppl. 1), 46–49. [Google Scholar] [CrossRef]
- Kalmijn, S. Fatty acid intake and the risk of dementia and cognitive decline: A review of clinical and epidemiological studies. J. Nutr. Health Aging 2000, 4, 202–207. [Google Scholar]
- Patik, J.C.; Tucker, W.J.; Curtis, B.M.; Nelson, M.D.; Nasirian, A.; Park, S.; Brothers, R.M. Fast-food meal reduces peripheral artery endothelial function but not cerebral vascular hypercapnic reactivity in healthy young men. Physiol. Rep. 2018, 6, e13867. [Google Scholar] [CrossRef] [PubMed]
- Frank, S.; Linder, K.; Kullmann, S.; Heni, M.; Ketterer, C.; Çavuşoğlu, M.; Krzeminski, A.; Fritsche, A.; Häring, H.-U.; Preissl, H.; et al. Fat intake modulates cerebral blood flow in homeostatic and gustatory brain areas in humans. Am. J. Clin. Nutr. 2012, 95, 1342–1349. [Google Scholar] [CrossRef] [PubMed][Green Version]
- Zimmerman, B.; Kundu, P.; Rooney, W.D.; Raber, J. The Effect of High Fat Diet on Cerebrovascular Health and Pathology: A Species Comparative Review. Molecules 2021, 26, 3406. [Google Scholar] [CrossRef] [PubMed]
- Freeman, L.R.; Haley-Zitlin, V.; Rosenberger, D.S.; Granholm, A.C. Damaging effects of a high-fat diet to the brain and cognition: A review of proposed mechanisms. Nutr. Neurosci. 2014, 17, 241–251. [Google Scholar] [CrossRef]
- Poitras, V.J.; Pyke, K.E. The impact of acute mental stress on vascular endothelial function: Evidence, mechanisms and importance. Int. J. Psychophysiol. 2013, 88, 124–135. [Google Scholar] [CrossRef]
- Zellner, D.A.; Loaiza, S.; Gonzalez, Z.; Pita, J.; Morales, J.; Pecora, D.; Wolf, A. Food selection changes under stress. Physiol. Behav. 2006, 87, 789–793. [Google Scholar] [CrossRef]
- Baynham, R.; Weaver, S.R.C.; Rendeiro, C.; Veldhuijzen van Zanten, J. Fat intake impairs the recovery of endothelial function following mental stress in young healthy adults. Under Review.
- Paine, N.J.; Ring, C.; Aldred, S.; Bosch, J.A.; Wadley, A.J.; Veldhuijzen van Zanten, J.J. Eccentric-exercise induced inflammation attenuates the vascular responses to mental stress. Brain Behav. Immun. 2013, 30, 133–142. [Google Scholar] [CrossRef]
- Veldhuijzen van Zanten, J.J.C.S.; De Boer, D.; Harrison, L.K.; Ring, C.; Carroll, D.; Willemsen, G.; De Geus, E.J.C. Competitiveness and hemodynamic reactions to competition. Psychophysiology 2002, 39, 759–766. [Google Scholar] [CrossRef]
- de Geus, E.J.C.; Willemsen, G.H.M.; Klaver, C.; Vandoornen, L.J.P. Ambulatory Measurement of Respiratory Sinus Arrythmia and Respiration Rate. Biol. Psychol. 1995, 41, 205–227. [Google Scholar] [CrossRef]
- Sherwood, A.; Allen, M.T.; Fahrenberg, J.; Kelsey, R.M.; Lovallo, W.R.; Vandoornen, L.J.P. Methodological Guidelines for Impedance Cardiography. Psychophysiology 1990, 27, 1–23. [Google Scholar] [CrossRef]
- McNair, D.; Lorr, M.; Droppleman, L. Profile of Mood States Manual; Educational and Industrial Testing Service: San Diego, CA, USA, 1981; pp. 37–85. [Google Scholar]
- Grove, R.; Prapavessis, H. Preliminary evidence for the reliability and validity of an abbreviated Profile of Mood States. Int. J. Sport. Psychol. 1992, 23, 93–109. [Google Scholar]
- Willie, C.K.; Tzeng, Y.C.; Fisher, J.A.; Ainslie, P.N. Integrative regulation of human brain blood flow. J. Physiol. 2014, 592, 841–859. [Google Scholar] [CrossRef]
- Ogoh, S.; Brothers, M.; Barnes, Q.; Eubank, W.L.; Hawkins, M.N.; Purkayastha, S.; O-Yurvati, A.; Raven, P.B. The effect of changes in cardiac output on middle cerebral artery mean blood velocity at rest and during exercise. J. Physiol. 2005, 569, 697–704. [Google Scholar] [CrossRef] [PubMed]
- Brassard, P.; Labrecque, L.; Smirl, J.D.; Tymko, M.M.; Caldwell, H.G.; Hoiland, R.L.; Lucas, S.J.E.; Denault, A.Y.; Couture, E.J.; Ainslie, P.N. Losing the dogmatic view of cerebral autoregulation. Physiol. Rep. 2021, 9, e14982. [Google Scholar] [CrossRef] [PubMed]
- Brindle, R.C.; Ginty, A.T.; Whittaker, A.C.; Carroll, D.; Lucas, S.J.E. Assessment of the cerebral pressure-flow relationship using psychological stress to manipulate blood pressure. Psychophysiology 2018, 55, e13265. [Google Scholar] [CrossRef]
- Wang, D.; Rao, H.; Wetmore, G.; Furlan, P.; Korczykowski, M.; Dinges, D.; Detre, J. Perfusion functional MRI reveals cerebral blood flow pattern under psychological stress. Proc. Natl. Acad. Sci. USA 2005, 102, 17804–17809. [Google Scholar] [CrossRef]
- Williams, T.B.; Corbett, J.; McMorris, T.; Young, J.S.; Dicks, M.; Ando, S.; Thelwell, R.C.; Tipton, M.J.; Costello, J.T. Cognitive performance is associated with cerebral oxygenation and peripheral oxygen saturation, but not plasma catecholamines, during graded normobaric hypoxia. Exp. Physiol. 2019, 104, 1384–1397. [Google Scholar] [CrossRef]
- Smith, K.J.; Ainslie, P.N. Regulation of cerebral blood flow and metabolism during exercise. Exp. Physiol. 2017, 102, 1356–1371. [Google Scholar] [CrossRef]
- Wang, X.; Liu, B.; Xie, L.; Yu, X.; Li, M.; Zhang, J. Cerebral and neural regulation of cardiovascular activity during mental stress. BioMed. Eng. OnLine 2016, 15, 160. [Google Scholar] [CrossRef]
- Gordon, G.R.J.; Choi, H.B.; Rungta, R.L.; Ellis-Davies, G.C.R.; MacVicar, B.A. Brain metabolism dictates the polarity of astrocyte control over arterioles. Nature 2008, 456, 745–749. [Google Scholar] [CrossRef]
- Miller, A.A.; Spencer, S.J. Obesity and neuroinflammation: A pathway to cognitive impairment. Brain Behav. Immun. 2014, 42, 10–21. [Google Scholar] [CrossRef]
- Ayata, C.; Shin, H.K.; Dilekoz, E.; Atochin, D.N.; Kashiwagi, S.; Eikermann-Haerter, K.; Huang, P.L. Hyperlipidemia disrupts cerebrovascular reflexes and worsens ischemic perfusion defect. J. Cereb. Blood Flow. Metab. 2013, 33, 954–962. [Google Scholar] [CrossRef] [PubMed]
- Steinberg, H.O.; Tarshoby, M.; Monestel, R.; Hook, G.; Cronin, J.; Johnson, A.; Bayazeed, B.; Baron, A.D. Elevated circulating free fatty acid levels impair endothelium-dependent vasodilation. J. Clin. Investig. 1997, 100, 1230–1239. [Google Scholar] [CrossRef] [PubMed]
- Liu, Z.; Liu, J.; Jahn, L.A.; Fowler, D.E.; Barrett, E.J. Infusing lipid raises plasma free fatty acids and induces insulin resistance in muscle microvasculature. J. Clin. Endocrinol. Metab. 2009, 94, 3543–3549. [Google Scholar] [CrossRef]
- Clerk, L.H.; Rattigan, S.; Clark, M.G. Lipid infusion impairs physiologic insulin-mediated capillary recruitment and muscle glucose uptake in vivo. Diabetes 2002, 51, 1138–1145. [Google Scholar] [CrossRef] [PubMed]
- Inaba, Y.; Chen, J.A.; Bergmann, S.R. Prediction of future cardiovascular outcomes by flow-mediated vasodilatation of brachial artery: A meta-analysis. Int. J. Cardiovasc. Imaging 2010, 26, 631–640. [Google Scholar] [CrossRef] [PubMed]
- Sánchez–Fernández, C.; González, C.; Mercer, L.D.; Beart, P.M.; Ruiz–Gayo, M.; Fernández-Alfonso, M.S. Cholecystokinin Induces Cerebral Vasodilatation via Presynaptic CCK2 Receptors: New Implications for the Pathophysiology of Panic. J. Cereb. Blood Flow. Metab. 2003, 23, 364–370. [Google Scholar] [CrossRef]
- Lovick, T.A. CCK as a modulator of cardiovascular function. J. Chem. Neuroanat. 2009, 38, 176–184. [Google Scholar] [CrossRef]
- Ruiz-Gayo, M.; González, M.C.; Fernández-Alfonso, S. Vasodilatory effects of cholecystokinin: New role for an old peptide? Regul. Pept. 2006, 137, 179–184. [Google Scholar] [CrossRef]
- Gibbons, C.; Finlayson, G.; Caudwell, P.; Webb, D.L.; Hellström, P.M.; Näslund, E.; Blundell, J.E. Postprandial profiles of CCK after high fat and high carbohydrate meals and the relationship to satiety in humans. Peptides 2016, 77, 3–8. [Google Scholar] [CrossRef]
- Wells, A.S.; Read, N.W.; Uvnas-Moberg, K.; Alster, P. Influences of Fat and Carbohydrate on Postprandial Sleepiness, Mood, and Hormones. Physiol. Behav. 1997, 61, 679–686. [Google Scholar] [CrossRef] [PubMed]
- Tzenios, N.; Tazanios, M.; Chahine, M.; Binti Jamal, P. The Relationship between Fat Consumption and Mood Enhancement: A Comprehensive Review. Spec. J. Med. Acad. Other Life Sci. 2023, 1. [Google Scholar] [CrossRef]
- Sharma, S.; Hryhorczuk, C.; Fulton, S. Progressive-ratio Responding for Palatable High-fat and High-sugar Food in Mice. JoVE 2012, 63, e3754. [Google Scholar] [CrossRef]
- Del Arco, A.; Mora, F. Neurotransmitters and prefrontal cortex-limbic system interactions: Implications for plasticity and psychiatric disorders. J. Neural Transm. 2009, 116, 941–952. [Google Scholar] [CrossRef] [PubMed]
- Rendeiro, C.; Dong, H.; Saunders, C.; Harkness, L.; Blaze, M.; Hou, Y.; Belanger, R.L.; Altieri, V.; Nunez, M.A.; Jackson, K.G.; et al. Flavanone-rich citrus beverages counteract the transient decline in postprandial endothelial function in humans: A randomised, controlled, double-masked, cross-over intervention study. Br. J. Nutr. 2016, 116, 1999–2010. [Google Scholar] [CrossRef]
- Burley, C.V.; Mullinger, K.J.; Thomas, K.N.; Rendeiro, C.; Dehghani, H.; Lucas, S.J.E. Imaging Cerebral Blood Flow for Brain Health Measurement. In Encyclopedia of Behavioral Neuroscience, 2nd ed.; Della Sala, S., Ed.; Elsevier: Oxford, UK, 2022; pp. 126–135. [Google Scholar]





| Meal Type | High-Fat Meal 1 | Low-Fat Meal 2 |
|---|---|---|
| Energy (Kcal) | 891.00 | 886.00 |
| Fat (g) | 56.50 | 11.40 |
| Saturated fat (g) | 35.10 | 5.55 |
| Carbohydrate (g) | 65.00 | 160.10 |
| Sugars (g) | 20.2 | 19.40 |
| Fibre (g) | 2.40 | 5.90 |
| Protein (g) | 29.85 | 33.30 |
| Salt (g) | 2.00 | 2.53 |
| High-Fat Meal | Low-Fat Meal | |
|---|---|---|
| SBP (mmHg) | 127 ± 18 | 123 ± 14 |
| DBP (mmHg) | 52 ± 11 | 50 ± 8 |
| HR (bpm) | 67 ± 9 | 64 ± 8 * |
| HRV (ms) | 75 ± 50 | 77 ± 41 |
| PEP (ms) | 99 ± 23 | 99 ± 18 |
| CO (L/min) | 7 ± 2 | 6 ± 2 |
| Task Ratings | High-Fat Meal | Low-Fat Meal |
|---|---|---|
| PASAT Score | 141 ± 34 | 138 ± 35 |
| Perceived difficulty | 4.8 ± 0.6 | 4.7 ± 0.7 |
| Perceived stressfulness | 4.9 ± 0.9 | 4.7 ± 0.7 |
| Perceived competitiveness | 4.3 ± 1.2 | 3.9 ± 1.4 |
| Perceived enjoyment | 2.0 ± 1.2 | 1.5 ± 1.1 |
| Perception of trying to perform well | 5.0 ± 0.9 | 5.1 ± 1.0 |
| High-Fat Meal | Low-Fat Meal | |||||||||
|---|---|---|---|---|---|---|---|---|---|---|
| Timepoint | Baseline | Rest | Post-10 | Post-30 | Post-90 | Baseline | Rest | Post-10 | Post-30 | Post-90 |
| Diameter (mm) | 6.69 ± 0.58 | 6.76 ± 0.56 & | 6.75 ± 0.59 & | 6.79 ± 0.58 * | 6.87 ± 0.56 *£ | 6.67 ± 0.56 | 6.75 ± 0.55 * | 6.76 ± 0.51 * | 6.76 ± 0.51 * | 6.76 ± 0.53 *£ |
| Anterograde blood flow (cm3/min) | 695.34 ± 205.10 | 717.03 ± 195.22 | 707.69 ± 193.96 | 709.37 ± 199.11 | 699.49 ± 140.94 | 683.40 ± 142.39 | 712.70 ± 165.50 | 680.56 ± 182.32 | 699.44 ± 186.51 | 668.28 ± 149.80 |
| Retrograde blood flow (cm3/min) | −0.72 ± 0.94 | −1.83 ± 1.97 | −1.06 ± 1.77 | −2.28 ± 3.42 | −2.63 ± 3.27 | −1.53 ± 4.36 | −1.18 ± 1.52 | −1.06 ± 1.40 | −2.64 ± 5.45 | −1.51 ± 2.16 |
Disclaimer/Publisher’s Note: The statements, opinions and data contained in all publications are solely those of the individual author(s) and contributor(s) and not of MDPI and/or the editor(s). MDPI and/or the editor(s) disclaim responsibility for any injury to people or property resulting from any ideas, methods, instructions or products referred to in the content. |
© 2023 by the authors. Licensee MDPI, Basel, Switzerland. This article is an open access article distributed under the terms and conditions of the Creative Commons Attribution (CC BY) license (https://creativecommons.org/licenses/by/4.0/).
Share and Cite
Baynham, R.; Lucas, S.J.E.; Weaver, S.R.C.; Veldhuijzen van Zanten, J.J.C.S.; Rendeiro, C. Fat Consumption Attenuates Cortical Oxygenation during Mental Stress in Young Healthy Adults. Nutrients 2023, 15, 3969. https://doi.org/10.3390/nu15183969
Baynham R, Lucas SJE, Weaver SRC, Veldhuijzen van Zanten JJCS, Rendeiro C. Fat Consumption Attenuates Cortical Oxygenation during Mental Stress in Young Healthy Adults. Nutrients. 2023; 15(18):3969. https://doi.org/10.3390/nu15183969
Chicago/Turabian StyleBaynham, Rosalind, Samuel J. E. Lucas, Samuel R. C. Weaver, Jet J. C. S. Veldhuijzen van Zanten, and Catarina Rendeiro. 2023. "Fat Consumption Attenuates Cortical Oxygenation during Mental Stress in Young Healthy Adults" Nutrients 15, no. 18: 3969. https://doi.org/10.3390/nu15183969
APA StyleBaynham, R., Lucas, S. J. E., Weaver, S. R. C., Veldhuijzen van Zanten, J. J. C. S., & Rendeiro, C. (2023). Fat Consumption Attenuates Cortical Oxygenation during Mental Stress in Young Healthy Adults. Nutrients, 15(18), 3969. https://doi.org/10.3390/nu15183969

