Effect of Beetroot Juice Supplementation on Muscle Soreness and Performance Recovery after Exercise-Induced Muscle Damage in Female Volleyball Players
Abstract
:1. Introduction
2. Methods
2.1. Participants
Sample Size Calculation
2.2. Study Design
2.3. Exercise-Induced Muscle Damage Protocol
2.4. Supplementation Procedures
2.5. Muscle Pain Monitoring
2.6. Functional Tests
2.7. Data Analysis
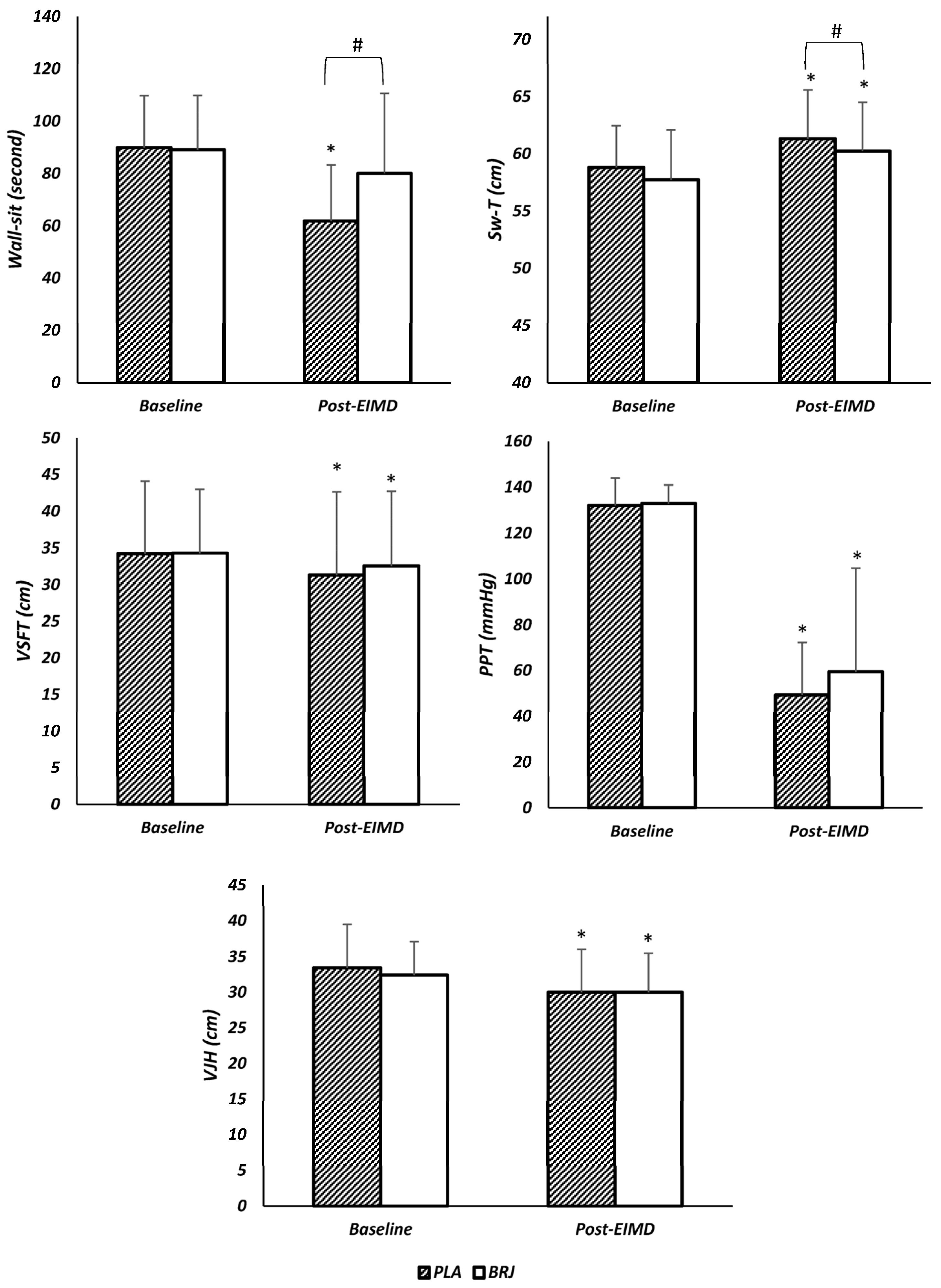
3. Results
4. Discussion
5. Conclusions
Author Contributions
Funding
Institutional Review Board Statement
Informed Consent Statement
Data Availability Statement
Conflicts of Interest
References
- Closs, B.; Burkett, C.; Trojan, J.D.; Brown, S.M.; Mulcahey, M.K. Recovery after volleyball: A narrative review. Physician Sportsmed. 2020, 48, 8–16. [Google Scholar] [CrossRef]
- Bagheri, R.; Rashidlamir, A.; Attarzadeh Hosseini, S.R. Effect of Resistance Training with Blood Flow Restriction on Follistatin to Myostatin Ratio, Body Composition and Anaerobic Power of Trained-Volleyball Players. Med. Lab. J. 2018, 12, 28–33. [Google Scholar] [CrossRef]
- Lidor, R.; Ziv, G. Physical and physiological attributes of female volleyball players-a review. J. Strength Cond. Res. 2010, 24, 1963–1973. [Google Scholar] [CrossRef]
- Goranovic, K.; Petkovic, J.; Hadzic, R.; Joksimovic, M. Rate of Force Development and Stretch-Shortening Cycle in Different Jumps in the Elite Volleyball Players. Int. J. Morphol. 2022, 40, 334–338. [Google Scholar] [CrossRef]
- Sonkodi, B. Delayed Onset Muscle Soreness and Critical Neural Microdamage-Derived Neuroinflammation. Biomolecules 2022, 12, 1207. [Google Scholar] [CrossRef]
- Molaeikhaletabadi, M.; Bagheri, R.; Hemmatinafar, M.; Nemati, J.; Wong, A.; Nordvall, M.; Namazifard, M.; Suzuki, K. Short-Term Effects of Low-Fat Chocolate Milk on Delayed Onset Muscle Soreness and Performance in Players on a Women’s University Badminton Team. Int. J. Environ. Res. Public Health 2022, 19, 3677. [Google Scholar] [CrossRef]
- Nyberg, M.; Christensen, P.M.; Blackwell, J.R.; Hostrup, M.; Jones, A.M.; Bangsbo, J. Nitrate-rich beetroot juice ingestion reduces skeletal muscle O2 uptake and blood flow during exercise in sedentary men. J. Physiol. 2021, 599, 5203–5214. [Google Scholar] [CrossRef]
- Gonzalez, A.M.; Church, D.D.; Townsend, J.R.; Bagheri, R. Emerging nutritional supplements for strength and hypertrophy: An update of the current literature. Strength Cond. J. 2020, 42, 57–70. [Google Scholar] [CrossRef]
- Wylie, L.J.; Kelly, J.; Bailey, S.J.; Blackwell, J.R.; Skiba, P.F.; Winyard, P.G.; Jeukendrup, A.E.; Vanhatalo, A.; Jones, A.M. Beetroot juice and exercise: Pharmacodynamic and dose-response relationships. J. Appl. Physiol. 2013, 115, 325–336. [Google Scholar] [CrossRef]
- Shepherd, A.I.; Gilchrist, M.; Winyard, P.G.; Jones, A.M.; Hallmann, E.; Kazimierczak, R.; Rembialkowska, E.; Benjamin, N.; Shore, A.C.; Wilkerson, D.P. Effects of dietary nitrate supplementation on the oxygen cost of exercise and walking performance in individuals with type 2 diabetes: A randomized, double-blind, placebo-controlled crossover trial. Free Radic. Biol. Med. 2015, 86, 200–208. [Google Scholar] [CrossRef]
- Rojano-Ortega, D.; Pena Amaro, J.; Berral-Aguilar, A.J.; Berral-de la Rosa, F.J. Effects of Beetroot Supplementation on Recovery After Exercise-Induced Muscle Damage: A Systematic Review. Sports Health 2021, 14, 556–565. [Google Scholar] [CrossRef]
- Bailey, S.J.; Fulford, J.; Vanhatalo, A.; Winyard, P.G.; Blackwell, J.R.; DiMenna, F.J.; Wilkerson, D.P.; Benjamin, N.; Jones, A.M. Dietary nitrate supplementation enhances muscle contractile efficiency during knee-extensor exercise in humans. J. Appl. Physiol. 2010, 109, 135–148. [Google Scholar] [CrossRef]
- Wong, T.H.; Sim, A.; Burns, S.F. The effects of nitrate ingestion on high-intensity endurance time-trial performance: A systematic review and meta-analysis. J. Exerc. Sci. Fit. 2022, 20, 305–316. [Google Scholar] [CrossRef]
- Tan, R.; Pennell, A.; Price, K.M.; Karl, S.T.; Seekamp-Hicks, N.G.; Paniagua, K.K.; Weiderman, G.D.; Powell, J.P.; Sharabidze, L.K.; Lincoln, I.G. Effects of dietary nitrate supplementation on performance and muscle oxygenation during resistance exercise in men. Nutrients 2022, 14, 3703. [Google Scholar] [CrossRef]
- Ferguson, S.K.; Hirai, D.M.; Copp, S.W.; Holdsworth, C.T.; Allen, J.D.; Jones, A.M.; Musch, T.I.; Poole, D.C. Impact of dietary nitrate supplementation via beetroot juice on exercising muscle vascular control in rats. J. Physiol. 2013, 591, 547–557. [Google Scholar] [CrossRef]
- Jones, A.M.; Ferguson, S.K.; Bailey, S.J.; Vanhatalo, A.; Poole, D.C. Fiber type-specific effects of dietary nitrate. Exerc. Sport Sci. Rev. 2016, 44, 53–60. [Google Scholar] [CrossRef]
- Cuenca, E.; Jodra, P.; Pérez-López, A.; González-Rodríguez, L.G.; Fernandes da Silva, S.; Veiga-Herreros, P.; Domínguez, R. Effects of Beetroot Juice Supplementation on Performance and Fatigue in a 30-s All-Out Sprint Exercise: A Randomized, Double-Blind Cross-Over Study. Nutrients 2018, 10, 1222. [Google Scholar] [CrossRef]
- Rimer, E.G.; Peterson, L.R.; Coggan, A.R.; Martin, J.C. Increase in maximal cycling power with acute dietary nitrate supplementation. Int. J. Sports Physiol. Perform. 2016, 11, 715–720. [Google Scholar] [CrossRef]
- Domínguez, R.; Garnacho-Castaño, M.V.; Cuenca, E.; García-Fernández, P.; Muñoz-González, A.; De Jesús, F.; Lozano-Estevan, M.D.C.; Fernandes da Silva, S.; Veiga-Herreros, P.; Maté-Muñoz, J.L. Effects of beetroot juice supplementation on a 30-s high-intensity inertial cycle ergometer test. Nutrients 2017, 9, 1360. [Google Scholar] [CrossRef]
- Kaminski, H.J.; Andrade, F.H. Nitric oxide: Biologic effects on muscle and role in muscle diseases. Neuromuscul. Disord. 2001, 11, 517–524. [Google Scholar] [CrossRef]
- Stamler, J.S.; Meissner, G. Physiology of nitric oxide in skeletal muscle. Physiol. Rev. 2001, 81, 209–237. [Google Scholar] [CrossRef]
- Clifford, T.; Bell, O.; West, D.J.; Howatson, G.; Stevenson, E.J. The effects of beetroot juice supplementation on indices of muscle damage following eccentric exercise. Eur. J. Appl. Physiol. 2016, 116, 353–362. [Google Scholar] [CrossRef]
- Clifford, T.; Berntzen, B.; Davison, G.W.; West, D.J.; Howatson, G.; Stevenson, E.J. Effects of beetroot juice on recovery of muscle function and performance between bouts of repeated sprint exercise. Nutrients 2016, 8, 506. [Google Scholar] [CrossRef]
- Clifford, T.; Allerton, D.M.; Brown, M.A.; Harper, L.; Horsburgh, S.; Keane, K.M.; Stevenson, E.J.; Howatson, G. Minimal muscle damage after a marathon and no influence of beetroot juice on inflammation and recovery. Appl. Physiol. Nutr. Metab. 2017, 42, 263–270. [Google Scholar] [CrossRef]
- Wickham, K.A.; Spriet, L.L. No longer beeting around the bush: A review of potential sex differences with dietary nitrate supplementation. Appl. Physiol. Nutr. Metab. 2019, 44, 915–924. [Google Scholar] [CrossRef]
- Wickham, K.A.; McCarthy, D.G.; Pereira, J.M.; Cervone, D.T.; Verdijk, L.B.; van Loon, L.J.; Power, G.A.; Spriet, L.L. No effect of beetroot juice supplementation on exercise economy and performance in recreationally active females despite increased torque production. Physiol. Rep. 2019, 7, e13982. [Google Scholar] [CrossRef]
- Glaister, M.; Pattison, J.R.; Muniz-Pumares, D.; Patterson, S.D.; Foley, P. Effects of dietary nitrate, caffeine, and their combination on 20-km cycling time trial performance. J. Strength Cond. Res. 2015, 29, 165–174. [Google Scholar] [CrossRef]
- Lane, S.C.; Hawley, J.A.; Desbrow, B.; Jones, A.M.; Blackwell, J.R.; Ross, M.L.; Zemski, A.J.; Burke, L.M. Single and combined effects of beetroot juice and caffeine supplementation on cycling time trial performance. Appl. Physiol. Nutr. Metab. 2014, 39, 1050–1057. [Google Scholar] [CrossRef]
- Pospieszna, B.; Wochna, K.; Jerszyński, D.; Gościnna, K.; Czapki, J. Ergogenic Effect of Dietary Nitrates in Female Swimmers; Akademia Wychowania Fizycznego w Poznaniu: Poznań, Poland, 2016. [Google Scholar]
- Peeling, P.; Cox, G.R.; Bullock, N.; Burke, L.M. Beetroot juice improves on-water 500 m time-trial performance, and laboratory-based paddling economy in national and international-level kayak athletes. Int. J. Sport Nutr. Exerc. Metab. 2015, 25, 278–284. [Google Scholar] [CrossRef]
- Shim, U.; Oh, J.-Y.; Lee, H.J.; Hong, Y.S.; Sung, Y.-A. Long menstrual cycle is associated with type 2 diabetes mellitus in korean women. Diabetes Metab. J. 2011, 35, 384–389. [Google Scholar] [CrossRef]
- Clifford, T.; Howatson, G.; West, D.J.; Stevenson, E.J. Beetroot juice is more beneficial than sodium nitrate for attenuating muscle pain after strenuous eccentric-bias exercise. Appl. Physiol. Nutr. Metab. 2017, 42, 1185–1191. [Google Scholar] [CrossRef] [PubMed]
- López-Miñarro, P.; Sáinz de Baranda, P.; Rodríguez-García, P.; Yuste, J. Comparison between sit-and-reach test and V sit-and-reach test in young adults. Gazz. Medica Ital. 2008, 167, 135–142. [Google Scholar]
- Sayers, S.P.; Harackiewicz, D.V.; Harman, E.A.; Frykman, P.N.; Rosenstein, M.T. Cross-validation of three jump power equations. Med. Sci. Sports Exerc. 1999, 31, 572–577. [Google Scholar] [CrossRef] [PubMed]
- Lubans, D.R.; Morgan, P.; Callister, R.; Plotnikoff, R.C.; Eather, N.; Riley, N.; Smith, C.J. Test–retest reliability of a battery of field-based health-related fitness measures for adolescents. J. Sports Sci. 2011, 29, 685–693. [Google Scholar] [CrossRef] [PubMed]
- Jones, L.; Bailey, S.J.; Rowland, S.N.; Alsharif, N.; Shannon, O.M.; Clifford, T. The effect of nitrate-rich beetroot juice on markers of exercise-induced muscle damage: A systematic review and meta-analysis of human intervention trials. J. Diet. Suppl. 2021, 19, 749–771. [Google Scholar] [CrossRef]
- Daab, W.; Bouzid, M.A.; Lajri, M.; Bouchiba, M.; Saafi, M.A.; Rebai, H. Chronic beetroot juice supplementation accelerates recovery kinetics following simulated match play in soccer players. J. Am. Coll. Nutr. 2021, 40, 61–69. [Google Scholar] [CrossRef]
- Larsen, R.G.; Thomsen, J.M.; Hirata, R.P.; Steffensen, R.; Poulsen, E.R.; Frøkjær, J.B.; Graven-Nielsen, T. Impaired microvascular reactivity after eccentric muscle contractions is not restored by acute ingestion of antioxidants or dietary nitrate. Physiol. Rep. 2019, 7, e14162. [Google Scholar] [CrossRef]
- Radak, Z.; Naito, H.; Taylor, A.W.; Goto, S. Nitric oxide: Is it the cause of muscle soreness? Nitric Oxide 2012, 26, 89–94. [Google Scholar] [CrossRef]
- Sonkodi, B.; Berkes, I.; Koltai, E. Have we looked in the wrong direction for more than 100 years? Delayed onset muscle soreness is, in fact, neural microdamage rather than muscle damage. Antioxidants 2020, 9, 212. [Google Scholar] [CrossRef]
- Carriker, C.R.; Rombach, P.; Stevens, B.M.; Vaughan, R.A.; Gibson, A.L. Acute dietary nitrate supplementation does not attenuate oxidative stress or the hemodynamic response during submaximal exercise in hypobaric hypoxia. Appl. Physiol. Nutr. Metab. 2018, 43, 1268–1274. [Google Scholar] [CrossRef]
- Bender, D.; Townsend, J.R.; Vantrease, W.C.; Marshall, A.C.; Henry, R.N.; Heffington, S.H.; Johnson, K.D. Acute beetroot juice administration improves peak isometric force production in adolescent males. Appl. Physiol. Nutr. Metab. 2018, 43, 816–821. [Google Scholar] [CrossRef]
- Jonvik, K.L.; Hoogervorst, D.; Peelen, H.B.; De Niet, M.; Verdijk, L.B.; Van Loon, L.J.; van Dijk, J.-W. The impact of beetroot juice supplementation on muscular endurance, maximal strength and countermovement jump performance. Eur. J. Sport Sci. 2021, 21, 871–878. [Google Scholar] [CrossRef] [PubMed]
- Ranchal-Sanchez, A.; Diaz-Bernier, V.M.; La Florida-Villagran, D.; Alonso, C.; Llorente-Cantarero, F.J.; Campos-Perez, J.; Jurado-Castro, J.M. Acute effects of beetroot juice supplements on resistance training: A randomized double-blind crossover. Nutrients 2020, 12, 1912. [Google Scholar] [CrossRef]
- Williams, T.D.; Martin, M.P.; Mintz, J.A.; Rogers, R.R.; Ballmann, C.G. Effect of acute beetroot juice supplementation on bench press power, velocity, and repetition volume. J. Strength Cond. Res. 2020, 34, 924–928. [Google Scholar] [CrossRef]
- Vitti, S.; BRUNEAU JR, M.; Leyshon, K.; Sotir, S.; Headley, S.; O’NEILL, E. The effects of betalain-rich concentrate supplementation in attenuating muscle damage following eccentric exercise. J. Hum. Sport Exerc. 2021, 16, 112–121. [Google Scholar] [CrossRef]
- Heiss, R.; Lutter, C.; Freiwald, J.; Hoppe, M.W.; Grim, C.; Poettgen, K.; Forst, R.; Bloch, W.; Hüttel, M.; Hotfiel, T. Advances in delayed-onset muscle soreness (DOMS)–part II: Treatment and prevention. Sportverletz. Sportschaden 2019, 33, 21–29. [Google Scholar] [CrossRef] [PubMed]
- Flanagan, S.D.; Looney, D.P.; Miller, M.J.; DuPont, W.H.; Pryor, L.; Creighton, B.C.; Sterczala, A.J.; Szivak, T.K.; Hooper, D.R.; Maresh, C.M. The effects of nitrate-rich supplementation on neuromuscular efficiency during heavy resistance exercise. J. Am. Coll. Nutr. 2016, 35, 100–107. [Google Scholar] [CrossRef] [PubMed]
- Domínguez, R.; Cuenca, E.; Maté-Muñoz, J.L.; García-Fernández, P.; Serra-Paya, N.; Estevan, M.C.L.; Herreros, P.V.; Garnacho-Castaño, M.V. Effects of Beetroot Juice Supplementation on Cardiorespiratory Endurance in Athletes. A Systematic Review. Nutrients 2017, 9, 43. [Google Scholar] [CrossRef]



| Variable | Mean ± SD |
|---|---|
| Age (years) | 26.00 ± 3.00 |
| Height (cm) | 174.08 ± 3.94 |
| Body mass (kg) | 67.75 ± 5.14 |
| Body Mass Index (kg/m2) | 22.3 ± 2.5 |
| BRJ | PLA | |
|---|---|---|
| Volume (mL) | 400 | 400 |
| Energy (Cal) | 183 | 180 |
| Carbohydrate (g) | 40 | 45 |
| Sugar (g) | 36 | 2.5 |
| Fat (g) | 0 | 0 |
| Protein (g) | 5.6 | 0.9 |
| Nitrate (mmol/L) | 4.1 | <0.5 |
| 95% CI | Sig | MD | RC % | BRJ | PLA | Variable |
|---|---|---|---|---|---|---|
| Mean ± SD | Mean ± SD | |||||
| −1.2 to 1.4 | 0.9 | 0.1 | −1.22% | 8.1 ± 1.7 | 8.2 ± 1.7 | MS baseline (mm) |
| 0.4 to 19.4 | 0.04 | 9.9 | −19.8% | 40.2 ± 7.9 | 50.1 ± 12.1 | MS-12 h (mm) |
| 5.8 to 24.8 | 0.004 | 15.3 | −34.1% | 29.8 ± 10.3 | 45.2 ± 8.7 | MS-24 h (mm) |
| 14.3 to 36.8 | <0.0001 | 25.6 | −46.2% | 29.8 ± 11.9 * | 55.4 ± 8.1 | MS-48 h (mm) |
| −10.7 to 9.4 | 0.9 | 0.7 | 0.5% | 132.7 ± 7.7 | 132.0 ± 11.9 | PPT baseline (mmHg) |
| −30.0 to 9.8 | 0.3 | 10.1 | 20.5% | 59.4 ± 45.3 | 49.3 ± 22.8 | PPT 48 h (mmHg) |
| −8.3 to 9.9 | 0.8 | 0.8 | −0.9% | 89.1 ± 20.7 | 89.9 ± 19.8 | Wall-sit baseline (s) |
| −30.3 to −6.3 | 0.006 | 18.3 | 29.6% | 80.1 ± 30.5 * | 61.8 ± 21.5 | Wall-sit 48 h (s) |
| −2.6 to 2.4 | 0.9 | 0.0 | 0.0% | 34.3 ± 8.7 | 34.3 ± 9.8 | VSFT baseline (cm) |
| −3.3 to 0.8 | 0.1 | 1.5 | 4.5% | 32.6 ± 10.2 | 31.3 ± 11.3 | VSFT 48 h (cm) |
| −0.5 to 2.5 | 0.2 | 1.0 | −3.0% | 32.4 ± 4.7 | 33.4 ± 6.1 | VJH baseline (cm) |
| −1.2 to 1.2 | 0.9 | 0.0 | 0.0% | 30.0 ± 5.5 | 30.0 ± 6.0 | VJH 48 h (cm) |
| −0.1 to 2.2 | 0.06 | 1.1 | −1.9% | 57.7 ± 4.3 | 58.8 ± 3.6 | Sw-T baseline (cm) |
| 0.7 to 1.5 | <0.0001 | 1 | −1.6% | 60.3 ± 4.3 * | 61.3 ± 4.2 | Sw-T (cm) |
Disclaimer/Publisher’s Note: The statements, opinions and data contained in all publications are solely those of the individual author(s) and contributor(s) and not of MDPI and/or the editor(s). MDPI and/or the editor(s) disclaim responsibility for any injury to people or property resulting from any ideas, methods, instructions or products referred to in the content. |
© 2023 by the authors. Licensee MDPI, Basel, Switzerland. This article is an open access article distributed under the terms and conditions of the Creative Commons Attribution (CC BY) license (https://creativecommons.org/licenses/by/4.0/).
Share and Cite
Hemmatinafar, M.; Zaremoayedi, L.; Koushkie Jahromi, M.; Alvarez-Alvarado, S.; Wong, A.; Niknam, A.; Suzuki, K.; Imanian, B.; Bagheri, R. Effect of Beetroot Juice Supplementation on Muscle Soreness and Performance Recovery after Exercise-Induced Muscle Damage in Female Volleyball Players. Nutrients 2023, 15, 3763. https://doi.org/10.3390/nu15173763
Hemmatinafar M, Zaremoayedi L, Koushkie Jahromi M, Alvarez-Alvarado S, Wong A, Niknam A, Suzuki K, Imanian B, Bagheri R. Effect of Beetroot Juice Supplementation on Muscle Soreness and Performance Recovery after Exercise-Induced Muscle Damage in Female Volleyball Players. Nutrients. 2023; 15(17):3763. https://doi.org/10.3390/nu15173763
Chicago/Turabian StyleHemmatinafar, Mohammad, Leila Zaremoayedi, Maryam Koushkie Jahromi, Stacey Alvarez-Alvarado, Alexei Wong, Alireza Niknam, Katsuhiko Suzuki, Babak Imanian, and Reza Bagheri. 2023. "Effect of Beetroot Juice Supplementation on Muscle Soreness and Performance Recovery after Exercise-Induced Muscle Damage in Female Volleyball Players" Nutrients 15, no. 17: 3763. https://doi.org/10.3390/nu15173763
APA StyleHemmatinafar, M., Zaremoayedi, L., Koushkie Jahromi, M., Alvarez-Alvarado, S., Wong, A., Niknam, A., Suzuki, K., Imanian, B., & Bagheri, R. (2023). Effect of Beetroot Juice Supplementation on Muscle Soreness and Performance Recovery after Exercise-Induced Muscle Damage in Female Volleyball Players. Nutrients, 15(17), 3763. https://doi.org/10.3390/nu15173763

