Carnitine Intake and Serum Levels Associate Positively with Postnatal Growth and Brain Size at Term in Very Preterm Infants
Abstract
1. Introduction
2. Materials and Methods
2.1. Carnitine and Short-Chain Acylcarnitine Assays
2.2. Statistical Methods
3. Results
3.1. Postnatal Growth, Nutrition, and Carnitine Intake in VPT Infants
3.2. Associations of Carnitine Intake with Postnatal Growth and Brain Size at TEA
3.3. Postnatal Serum Carnitine Concentrations
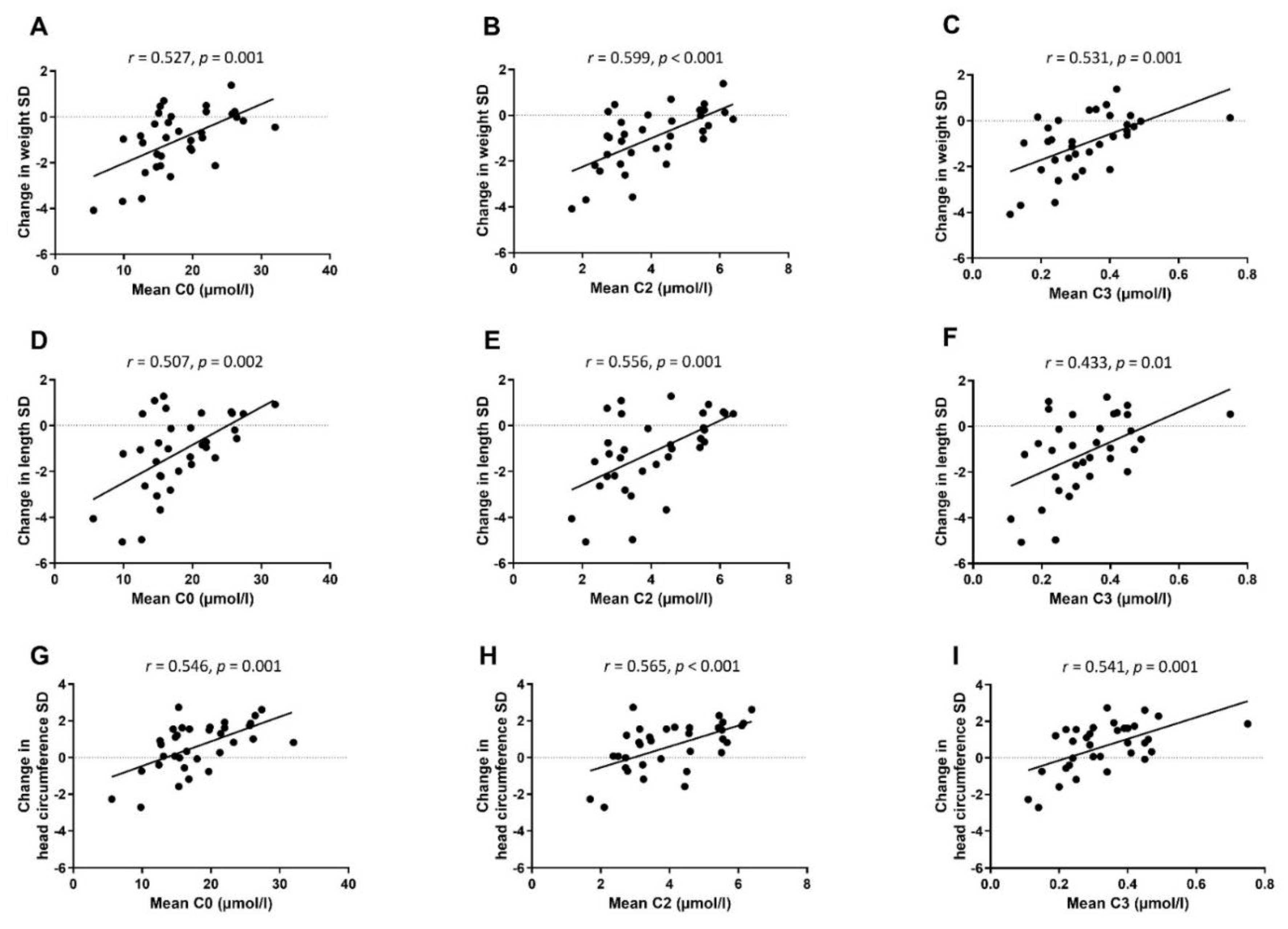
3.4. Associations of Serum Carnitine Levels with Postnatal Growth and Brain Size at TEA
4. Discussion
Supplementary Materials
Author Contributions
Funding
Institutional Review Board Statement
Informed Consent Statement
Data Availability Statement
Conflicts of Interest
References
- Mihatsch, W.; Shamir, R.; van Goudoever, J.B.; Fewtrell, M.; Lapillonne, A.; Lohner, S.; Mihályi, K.; Decsi, T.; Braegger, C.; Bronsky, J.; et al. ESPGHAN/ESPEN/ESPR/CSPEN guidelines on pediatric parenteral nutrition: Guideline development process for the updated guidelines. Clin. Nutr. 2018, 37, 2306–2308. [Google Scholar] [CrossRef] [PubMed]
- Agostoni, C.; Buonocore, G.; Carnielli, V.P.; De Curtis, M.; Darmaun, D.; Decsi, T.; Domellöf, M.; Embleton, N.D.; Fusch, C.; Genzel-Boroviczeny, O.; et al. Enteral nutrient supply for preterm infants: Commentary from the european society of paediatric gastroenterology, hepatology and nutrition committee on nutrition. J. Pediatr. Gastroenterol. Nutr. 2010, 50, 85–91. [Google Scholar] [CrossRef] [PubMed]
- Griffin, I.J.; Tancredi, D.J.; Bertino, E.; Lee, H.C.; Profit, J. Postnatal growth failure in very low birthweight infants born between 2005 and 2012. Arch. Dis. Child. Fetal Neonatal Ed. 2016, 101, F50–F55. [Google Scholar] [CrossRef] [PubMed]
- Coviello, C.; Keunen, K.; Kersbergen, K.J.; Groenendaal, F.; Leemans, A.; Peels, B.; Isgum, I.; Viergever, M.A.; De Vries, L.S.; Buonocore, G.; et al. Effects of early nutrition and growth on brain volumes, white matter microstructure, and neurodevelopmental outcome in preterm newborns. Pediatr. Res. 2018, 83, 102–110. [Google Scholar] [CrossRef]
- Stephens, B.E.; Walden, R.V.; Gargus, R.A.; Tucker, R.; McKinley, L.; Mance, M.; Nye, J.; Vohr, B.R. First-week protein and energy intakes are associated with 18-month developmental outcomes in extremely low birth weight infants. Pediatrics 2009, 123, 1337–1343. [Google Scholar] [CrossRef]
- Immeli, L.; Sankilampi, U.; Mäkelä, P.M.; Leskinen, M.; Sund, R.; Andersson, S.; Luukkainen, P. Length of nutritional transition associates negatively with postnatal growth in very low birthweight infants. Nutrients 2021, 13, 3961. [Google Scholar] [CrossRef]
- Sammallahti, S.; Pyhälä, R.; Lahti, M.; Lahti, J.; Pesonen, A.K.; Heinonen, K.; Hovi, P.; Eriksson, J.G.; Strang-Karlsson, S.; Andersson, S.; et al. Infant growth after preterm birth and neurocognitive abilities in young adulthood. J. Pediatr. 2014, 165, 1109–1115.e3. [Google Scholar] [CrossRef]
- Serenius, F.; Källén, K.; Blennow, M.; Ewald, U.; Fellman, V.; Holmström, G.; Lindberg, E.; Lundqvist, P.; Maršál, K.; Norman, M.; et al. Neurodevelopmental outcome in extremely preterm infants at 2.5 years after active perinatal care in Sweden. JAMA-J. Am. Med. Assoc. 2013, 309, 1810–1820. [Google Scholar] [CrossRef]
- Ruys, C.A.; van de Lagemaat, M.; Rotteveel, J.; Finken, M.J.J.; Lafeber, H.N. Improving long-term health outcomes of preterm infants: How to implement the findings of nutritional intervention studies into daily clinical practice. Eur. J. Pediatr. 2021, 180, 1665–1673. [Google Scholar] [CrossRef]
- Clark, R.H.; Chace, D.H.; Spitzer, A.R. Impact of l-carnitine supplementation on metabolic profiles in premature infants. J. Perinatol. 2017, 37, 566–571. [Google Scholar] [CrossRef]
- Longo, N.; Frigeni, M.; Pasquali, M. Carnitine transport and fatty acid oxidation. Biochim. Biophys. Acta-Mol. Cell Res. 2016, 1863, 2422–2435. [Google Scholar] [CrossRef]
- Ferreira, G.C.; McKenna, M.C. l-Carnitine and Acetyl-l-carnitine Roles and Neuroprotection in Developing Brain. Neurochem. Res. 2017, 42, 1661–1675. [Google Scholar] [CrossRef] [PubMed]
- Meyburg, J.; Schulze, A.; Kohlmueller, D.; Linderkamp, O.; Mayatepek, E. Postnatal changes in neonatal acylcarnitine profile. Pediatr. Res. 2001, 49, 125–129. [Google Scholar] [CrossRef] [PubMed]
- Shenai, J.P.; Borum, P.R. Tissue carnitine reserves of newborn infants. Pediatr. Res. 1984, 18, 679–681. [Google Scholar] [CrossRef] [PubMed]
- Arenas, J.; Rubio, J.C.; Martín, M.A.; Campos, Y. Biological roles of L-carnitine in perinatal metabolism. Early Hum. Dev. 1998, 53, S43–S50. [Google Scholar] [CrossRef]
- Koletzko, B.; Goulet, O.; Hunt, J.; Krohn, K.; Shamir, R.; Agostoni, C.; Ball, P.; Carnielli, V.; Chaloner, C.; Clayton, J.; et al. Report on the guidelines on parenteral nutrition in infants, children and adolescents. Clin. Nutr. 2005, 24, 1105–1109. [Google Scholar]
- Sankilampi, U.; Hannila, M.L.; Saari, A.; Gissler, M.; Dunkel, L. New population-based references for birth weight, length, and head circumference in singletons and twins from 23 to 43 gestation weeks. Ann. Med. 2013, 45, 446–454. [Google Scholar] [CrossRef]
- Lee, P.A.; Chernausek, S.D.; Hokken-Koelega, A.C.S.; Czernichow, P. International small for gestational age advisory board consensus development conference statement: Management of short children born small for gestational age, April 24–October 1, 2001. Pediatrics 2003, 111, 1253–1261. [Google Scholar] [CrossRef]
- Bell, M.J.; Ternberg, J.L.; Feigin, R.D.; Keating, J.P.; Marshall, R.; Barton, L.; Brotherton, T. Neonatal necrotizing enterocolitis: Therapeutic decisions based upon clinical staging. Ann. Surg. 1978, 187, 1–7. [Google Scholar] [CrossRef]
- Papile, L.A.; Burstein, J.; Burstein, R.; Koffler, H. Incidence and evolution of subependymal and intraventricular hemorrhage: A study of infants with birth weights less than 1,500 gm. J. Pediatr. 1978, 92, 529–534. [Google Scholar] [CrossRef]
- Walsh, M.C.; Yao, Q.; Gettner, P.; Hale, E.; Collins, M.; Hensman, A.; Everette, R.; Peters, N.; Miller, N.; Muran, G.; et al. Impact of a physiologic definition on bronchopulmonary dysplasia rates. Pediatrics 2004, 114, 1305–1311. [Google Scholar] [CrossRef] [PubMed]
- Levocarnitine; National Library of Medicine: Bethesda, MD, USA, 2020.
- Tich, S.N.T.; Anderson, P.J.; Shimony, J.S.; Hunt, R.W.; Doyle, L.W.; Inder, T.E. A novel quantitative simple brain metric using MR imaging for preterm infants. Am. J. Neuroradiol. 2009, 30, 125–131. [Google Scholar] [CrossRef] [PubMed]
- Kivilompolo, M.; Öhrnberg, L.; Orešič, M.; Hyötyläinen, T. Rapid quantitative analysis of carnitine and acylcarnitines by ultra-high performance-hydrophilic interaction liquid chromatography-tandem mass spectrometry. J. Chromatogr. A 2013, 1292, 189–194. [Google Scholar] [CrossRef] [PubMed]
- Virmani, M.A.; Cirulli, M. The Role of l-Carnitine in Mitochondria, Prevention of Metabolic Inflexibility and Disease Initiation. Int. J. Mol. Sci. 2022, 23, 2717. [Google Scholar] [CrossRef]
- McCann, M.R.; De la Rosa, M.V.G.; Rosania, G.R.; Stringer, K.A. L-Carnitine and Acylcarnitines: Mitochondrial Biomarkers for Precision Medicine. Metabolites 2021, 11, 51. [Google Scholar] [CrossRef]
- Dambrova, M.; Makrecka-Kuka, M.; Kuka, J.; Vilskersts, R.; Nordberg, D.; Attwood, M.M.; Smesny, S.; Sen, Z.D.; Guo, A.C.; Oler, E.; et al. Acylcarnitines: Nomenclature, Biomarkers, Therapeutic Potential, Drug Targets, and Clinical Trials. Pharmacol. Rev. 2022, 74, 506–551. [Google Scholar] [CrossRef]
- Salguero-Olid, A.; Blanco-Sánchez, G.; Alonso-Ojembarrena, A. A systematic review about prophylactic L-carnitine administration in parenteral nutrition of extremely preterm infants. Farm. Hosp. 2018, 42, 168–173. [Google Scholar]
- Ramaswamy, M.; Skrinska, V.A.; Mitri, R.F.; Abdoh, G. Diagnosis of Carnitine Deficiency in Extremely Preterm Neonates Related to Parenteral Nutrition: Two Step Newborn Screening Approach. Int. J. Neonatal Screen. 2019, 5, 29. [Google Scholar] [CrossRef]
- Whitfield, J.; Smith, T.; Sollohub, H.; Sweetman, L.; Roe, C.R. Clinical effects of L-carnitine supplementation on apnea and growth in very low birth weight infants. Pediatrics 2003, 111, 477–482. [Google Scholar] [CrossRef]
- Shortland, G.J.; Walter, J.H.; Stroud, C.; Fleming, P.J.; Speidel, B.D.; Marlow, N. Randomised controlled trial of L-carnitine as a nutritional supplement in preterm infants. Arch. Dis. Child. Fetal Neonatal Ed. 1998, 78, F185–F188. [Google Scholar] [CrossRef]
- Pande, S.; Brion, L.P.; Campbell, D.E.; Gayle, Y.; Esteban-Cruciani, N. V Lack of Effect of L-Carnitine Supplementation on Weight Gain in Very Preterm Infants. J. Perinatol. 2005, 25, 470–477. [Google Scholar] [CrossRef] [PubMed]
- Lapillonne, A.; Fidler Mis, N.; Goulet, O.; van den Akker, C.H.P.; Wu, J.; Koletzko, B.; Braegger, C.; Bronsky, J.; Cai, W.; Campoy, C.; et al. ESPGHAN/ESPEN/ESPR/CSPEN guidelines on pediatric parenteral nutrition: Lipids. Clin. Nutr. 2018, 37, 2324–2336. [Google Scholar] [CrossRef]
- Cerasani, J.; Ceroni, F.; De Cosmi, V.; Mazzocchi, A.; Morniroli, D.; Roggero, P.; Mosca, F.; Agostoni, C.; Giannì, M.L. Human Milk Feeding and Preterm Infants’ Growth and Body Composition: A Literature Review. Nutrients 2020, 12, 1155. [Google Scholar] [CrossRef] [PubMed]
- Bene, J.; Komlósi, K.; Melegh, B.I.; Decsi, T.; Koletzko, B.; Sauerwald, U. Differences in circulating carnitine status of preterm infants fed fortified human milk or preterm infant formula. J. Pediatr. Gastroenterol. Nutr. 2013, 57, 673–676. [Google Scholar] [CrossRef] [PubMed]
- Ottolini, K.M.; Schulz, E.V.; Limperopoulos, C.; Andescavage, N. Using Nature to Nurture: Breast Milk Analysis and Fortification to Improve Growth and Neurodevelopmental Outcomes in Preterm Infants. Nutrients 2021, 13, 4307. [Google Scholar] [CrossRef]
- Gucciardi, A.; Zaramella, P.; Costa, I.; Pirillo, P.; Nardo, D.; Naturale, M.; Chiandetti, L.; Giordano, G. Analysis and interpretation of acylcarnitine profiles in dried blood spot and plasma of preterm and full-term newborns. Pediatr. Res. 2015, 77, 36–47. [Google Scholar] [CrossRef] [PubMed]
- Honzík, T.; Chrastina, R.; Hansíková, H.; Böhm, M.; Martincová, O.; Plavka, R.; Zapadlo, M.; Zeman, J. Carnitine concentrations in term and preterm newborns at birth and during the first days of life. Prague Med. Rep. 2005, 106, 297–306. [Google Scholar]
- de Sain-van der Velden, M.G.M.; Diekman, E.F.; Jans, J.J.; van der Ham, M.; Prinsen, B.H.C.M.T.; Visser, G.; Verhoeven-Duif, N.M. Differences between acylcarnitine profiles in plasma and bloodspots. Mol. Genet. Metab. 2013, 110, 116–121. [Google Scholar] [CrossRef]
- Mandour, I.; El Gayar, D.; Amin, M.; Farid, T.M.; Ali, A.A. Amino acid and acylcarnitine profiles in premature neonates: A pilot study. Indian J. Pediatr. 2013, 80, 736–744. [Google Scholar] [CrossRef]
- Meyburg, J.; Schulze, A.; Kohlmueller, D.; Pöschl, J.; Linderkamp, O.; Hoffmann, G.F.; Mayatepek, E. Acylcarnitine profiles of preterm infants over the first four weeks of life. Pediatr. Res. 2002, 52, 720–723. [Google Scholar] [CrossRef][Green Version]
- Tokuriki, S.; Hayashi, H.; Okuno, T.; Yoshioka, K.; Okazaki, S.; Kawakita, A.; Ohta, G.; Hata, I.; Shigematsu, Y.; Ohshima, Y. Biotin and carnitine profiles in preterm infants in Japan. Pediatr. Int. 2013, 55, 342–345. [Google Scholar] [CrossRef] [PubMed]
- Clark, R.H.; Kelleher, A.S.; Chace, D.H.; Spitzer, A.R. Gestational age and age at sampling influence metabolic profiles in premature infants. Pediatrics 2014, 134, e37–e46. [Google Scholar] [CrossRef] [PubMed]
- Crefcoeur, L.L.; de Sain-van der Velden, M.G.M.; Ferdinandusse, S.; Langeveld, M.; Maase, R.; Vaz, F.M.; Visser, G.; Wanders, R.J.A.; Wijburg, F.A.; Verschoof-Puite, R.K.; et al. Neonatal carnitine concentrations in relation to gestational age and weight. JIMD Rep. 2020, 56, 95–104. [Google Scholar] [CrossRef] [PubMed]
- Baronio, F.; Righi, B.; Righetti, F.; Bettocchi, I.; Ortolano, R.; Faldella, G.; Rondelli, R.; Pession, A.; Cassio, A. Carnitine longitudinal pattern in preterm infants <1800 g body weight: A case-control study. Pediatr. Res. 2019, 86, 646–650. [Google Scholar] [CrossRef]
- Younge, N.E.; Newgard, C.B.; Cotten, C.M.; Goldberg, R.N.; Muehlbauer, M.J.; Bain, J.R.; Stevens, R.D.; O’Connell, T.M.; Rawls, J.F.; Seed, P.C.; et al. Disrupted Maturation of the Microbiota and Metabolome among Extremely Preterm Infants with Postnatal Growth Failure. Sci. Rep. 2019, 9, 8167. [Google Scholar] [CrossRef]
- Kidokoro, H.; Anderson, P.J.; Doyle, L.W.; Woodward, L.J.; Neil, J.J.; Inder, T.E. Brain injury and altered brain growth in preterm infants: Predictors and prognosis. Pediatrics 2014, 134, e444–e453. [Google Scholar] [CrossRef]
- Cormack, B.E.; Harding, J.E.; Miller, S.P.; Bloomfield, F.H. The influence of early nutrition on brain growth and neurodevelopment in extremely preterm babies: A narrative review. Nutrients 2019, 11, 2029. [Google Scholar] [CrossRef]
- Hortensius, L.M.; Van Elburg, R.M.; Nijboer, C.H.; Benders, M.J.N.L.; De Theije, C.G.M. Postnatal Nutrition to Improve Brain Development in the Preterm Infant: A Systematic Review From Bench to Bedside. Front. Physiol. 2019, 10, 961. [Google Scholar] [CrossRef]
- Jones, L.L.; McDonald, D.A.; Borum, P.R. Acylcarnitines: Role in brain. Prog. Lipid Res. 2010, 49, 61–75. [Google Scholar] [CrossRef]
- Scafidi, S.; Fiskum, G.; Lindauer, S.L.; Bamford, P.; Shi, D.; Hopkins, I.; McKenna, M.C. Metabolism of acetyl-l-carnitine for energy and neurotransmitter synthesis in the immature rat brain. J. Neurochem. 2010, 114, 820–831. [Google Scholar] [CrossRef]
- Belfort, M.B.; Inder, T.E. Human Milk and Preterm Infant Brain Development: A Narrative Review. Clin. Ther. 2022, 44, 612–621. [Google Scholar] [CrossRef] [PubMed]
- Ottolini, K.M.; Andescavage, N.; Kapse, K.; Jacobs, M.; Limperopoulos, C. Improved brain growth and microstructural development in breast milk–fed very low birth weight premature infants. Acta Paediatr. 2020, 109, 1580. [Google Scholar] [CrossRef] [PubMed]
- Volpe, J.J. Commentary—Cerebellar underdevelopment in the very preterm infant: Important and underestimated source of cognitive deficits. J. Neonatal Perinat. Med. 2021, 14, 451–456. [Google Scholar] [CrossRef] [PubMed]
- Hammerl, M.; Zagler, M.; Griesmaier, E.; Janjic, T.; Gizewski, E.R.; Kiechl-Kohlendorfer, U.; Neubauer, V. Reduced Cerebellar Size at Term-Equivalent Age Is Related to a 17% Lower Mental Developmental Index in Very Preterm Infants without Brain Injury. Neonatology 2020, 117, 57–64. [Google Scholar] [CrossRef]




| Median/n | Range/% | |
|---|---|---|
| Maternal age (years) | 30.3 | 22.1–38.0 |
| Cesarean section (n) | 27 | 77 |
| Twins (n) | 2 | 6 |
| Males (n) | 17 | 49 |
| At birth | ||
| Gestational age, weeks | 26.7 | 23.4–31.9 |
| Weight, g | 900 | 480–1880 |
| Weight, Z-score a | −0.5 | −3.4–1.8 |
| Length, cm | 34.5 | 28.0–44.0 |
| Length, Z-score a | −0.5 | −4.6–3.8 |
| Head circumference, cm | 23.5 | 19.4–29.5 |
| Head circumference, z-score a | −1.0 | −3.6–1.2 |
| Small for gestational age b | 6 | 17 |
| Apgar 5 min | 7 | 1–9 |
| Morbidity | ||
| Early or late onset sepsis | 8 | 22.9 |
| Necrotizing enterocolitis c | 3 | 8.6 |
| Intraventricular hemorrhage grade 3–4 d | 3 | 8.6 |
| Bronchopulmonary dysplasia e | 12 | 35.3 |
| Retinopathy of prematurity | 2 | 5.9 |
| Exitus | 1 | 2.9 |
| At Birth | Week 1 | Week 5 | TEA a | |||||
|---|---|---|---|---|---|---|---|---|
| Median | Range | Median/n | Range/% | Median/n | Range/% | Median | Range | |
| Gestational/postmenstrual age, weeks | 26.7 | 23.4–31.9 | 27.7 | 24.4–33.0 | 32.0 | 28.4–36.9 | 40.0 | 37.7–42.0 |
| Full enteral feeding (n, %) | 9 | 25.7 | 28 | 80.0 | 34 | 100 | ||
| Combined parenteral and enteral (n, %) | 19 | 54.3 | 4 | 11.4 | 0 | 0 | ||
| Total parenteral nutrition (n, %) | 7 | 20.0 | 3 | 8.6 | 0 | 0 | ||
| Daily enteral energy intake, kcal/kg | 15 | 0–66 | 102 | 1–142 | ||||
| Daily parenteral energy intake, kcal/kg | 53 | 1–142 | 9 | 0–87 | ||||
| Daily energy intake, kcal/kg | 71 | 36–90 | 117 | 68–143 | ||||
| Daily protein intake, g/kg | 2.2 | 1.5–3.1 | 3.3 | 2.5–3.8 | ||||
| Daily fat intake, g/kg | 1.9 | 0.6–4.0 | 6.3 | 1.8–8.3 | ||||
| Daily carnitine intake mg/kg | 0.3 | 0–1.2 | 1.9 | 0–4.4 | ||||
| Weight, g | 900 | 480–1880 | 900 | 520–1810 | 1330 | 730–2500 | 2965 | 2000–4020 |
| Length, cm | 34.5 | 28.0–44.0 | 35.0 | 28.5–44.7 | 38.7 | 31.7–47.5 | 47.8 | 42.5–53.4 |
| Head circumference, cm | 23.5 | 19.4–29.5 | 23.5 | 19.9–30.1 | 27.4 | 22.0–34.1 | 35.3 | 31.9–38.0 |
| Weight, Z-score b | −0.5 | −3.4–1.8 | −1.6 | −4.1–1.0 | −2.3 | −4.2–−0.3 | −1.5 | −3.8–0.77 |
| Length, z_score b | −0.5 | −4.6–3.8 | −1.2 | −4.3–2.9 | −2.7 | −5.5–−0.3 | −1.4 | −4.9–1.4 |
| Head circumference, Z-score b | −1.0 | −3.6–1.2 | −1.7 | −3.5–0.5 | −2.5 | −4.2–0.5 | 0.1 | −2.4–1.9 |
| Change in growth Z-score from birth | ||||||||
| Weight Z-score change | −1.1 | −2.4–0.4 | −1.7 | −3.0–−0.2 | −0.9 | −4.1–1.4 | ||
| Length Z-score change | −0.7 | −1.3–0.6 | −1.0 | −4.5–1.1 | −1.0 | −5.1–1.3 | ||
| Head circumference Z-score change | −0.9 | −1.6–0.4 | −1.1 | −4.4–1.2 | 0.9 | −2.7–2.7 | ||
| Brain magnetic imaging at TEA c (n = 27) | ||||||||
| Bifrontal diameter, mm | 65.4 | 59.3–72.5 | ||||||
| Biparietal diameter, mm | 75.1 | 66.3–80.0 | ||||||
| Transcerebellar diameter, mm | 51.5 | 46.5–55.5 | ||||||
| Fronto-occipital diameter, mm d | 114.8 | 104.4–120.3 | ||||||
| Weight Z-Score Change | Length Z-Score Change | Head Circumference Z-Score Change | Biparietal Diameter (mm) | Bifrontal Diameter (mm) | Transcerebellar Diameter (mm) | Fronto-Occipital Diameter (mm) | ||||||||
|---|---|---|---|---|---|---|---|---|---|---|---|---|---|---|
| Daily Intake | β a | p-Value | β a | p-Value | β a | p-Value | β b | p-Value | β b | p-Value | β b | p-Value | β b | p-Value |
| Enteral energy, kcal/kg | 0.443 | 0.010 | 0.532 | <0.001 | 0.499 | 0.003 | 0.135 | 0.544 | 0.313 | 0.154 | 0.483 | 0.022 | 0.105 | 0.640 |
| Parenteral energy, kcal/kg | −0.336 | 0.048 | −0.457 | 0.008 | −0.490 | 0.005 | −0.182 | 0.491 | −0.320 | 0.150 | −0.514 | 0.016 | −0.132 | 0.564 |
| Fat, g/kg | 0.410 | 0.014 | 0.490 | 0.002 | 0.420 | 0.011 | 0.038 | 0.863 | 0.241 | 0.272 | 0.417 | 0.051 | 0.045 | 0.842 |
| Protein, g/kg | 0.267 | 0.075 | 0.279 | 0.049 | 0.131 | 0.381 | 0.117 | 0.571 | 0.060 | 0.774 | −0.019 | 0.927 | 0.061 | 0.774 |
| Carnitine, mg/kg | 0.342 | 0.082 | 0.480 | 0.008 | 0.425 | 0.026 | 0.253 | 0.284 | 0.364 | 0.120 | 0.666 | 0.002 | 0.232 | 0.335 |
| Weight Z-Score Change | Length Z-Score Change | Head Circumference Z-Score Change | Biparietal Diameter (mm) | Bifrontal Diameter (mm) | Transcerebellar Diameter (mm) | Fronto-Occipital Diameter (mm) | ||||||||
|---|---|---|---|---|---|---|---|---|---|---|---|---|---|---|
| Serum Carnitine Concentration | β a | p-Value | β a | p-Value | β a | p-Value | β b | p-Value | β b | p-Value | β b | p-Value | β b | p-Value |
| Free carnitine | 0.244 | 0.078 | 0.168 | 0.300 | 0.230 | 0.216 | 0.397 | 0.026 | 0.337 | 0.092 | 0.611 | <0.001 | 0.350 | 0.028 |
| Short-chain acylcarnitine C2 | 0.298 | 0.032 | 0.081 | 0.630 | 0.175 | 0.365 | 0.364 | 0.061 | 0.433 | 0.040 | 0.452 | 0.028 | 0.370 | 0.031 |
| Short-chain acylcarnitine C3 | 0.255 | 0.032 | 0.149 | 0.297 | 0.282 | 0.082 | 0.243 | 0.202 | 0.232 | 0.267 | 0.543 | 0.004 | 0.334 | 0.042 |
Publisher’s Note: MDPI stays neutral with regard to jurisdictional claims in published maps and institutional affiliations. |
© 2022 by the authors. Licensee MDPI, Basel, Switzerland. This article is an open access article distributed under the terms and conditions of the Creative Commons Attribution (CC BY) license (https://creativecommons.org/licenses/by/4.0/).
Share and Cite
Manninen, S.; Silvennoinen, S.; Bendel, P.; Lankinen, M.; Schwab, U.S.; Sankilampi, U. Carnitine Intake and Serum Levels Associate Positively with Postnatal Growth and Brain Size at Term in Very Preterm Infants. Nutrients 2022, 14, 4725. https://doi.org/10.3390/nu14224725
Manninen S, Silvennoinen S, Bendel P, Lankinen M, Schwab US, Sankilampi U. Carnitine Intake and Serum Levels Associate Positively with Postnatal Growth and Brain Size at Term in Very Preterm Infants. Nutrients. 2022; 14(22):4725. https://doi.org/10.3390/nu14224725
Chicago/Turabian StyleManninen, Suvi, Sanna Silvennoinen, Paula Bendel, Maria Lankinen, Ursula S. Schwab, and Ulla Sankilampi. 2022. "Carnitine Intake and Serum Levels Associate Positively with Postnatal Growth and Brain Size at Term in Very Preterm Infants" Nutrients 14, no. 22: 4725. https://doi.org/10.3390/nu14224725
APA StyleManninen, S., Silvennoinen, S., Bendel, P., Lankinen, M., Schwab, U. S., & Sankilampi, U. (2022). Carnitine Intake and Serum Levels Associate Positively with Postnatal Growth and Brain Size at Term in Very Preterm Infants. Nutrients, 14(22), 4725. https://doi.org/10.3390/nu14224725

