Italian Ketogenic Mediterranean Diet in Overweight and Obese Patients with Prediabetes or Type 2 Diabetes
Abstract
1. Introduction
2. Materials and Methods
2.1. Patients
2.2. Experimental Design
2.3. Measurements
2.3.1. Anthropometric and Bioelectrical Impedance Analysis Measures
2.3.2. Urine and Blood Samples
2.4. Diet Program
2.4.1. Very-Low-Calorie Ketogenic Mediterranean Diet Characteristics
2.4.2. Very-Low-Calorie Mediterranean Diet Characteristics
2.4.3. Diets Scores
2.5. Statistical Analysis
3. Results
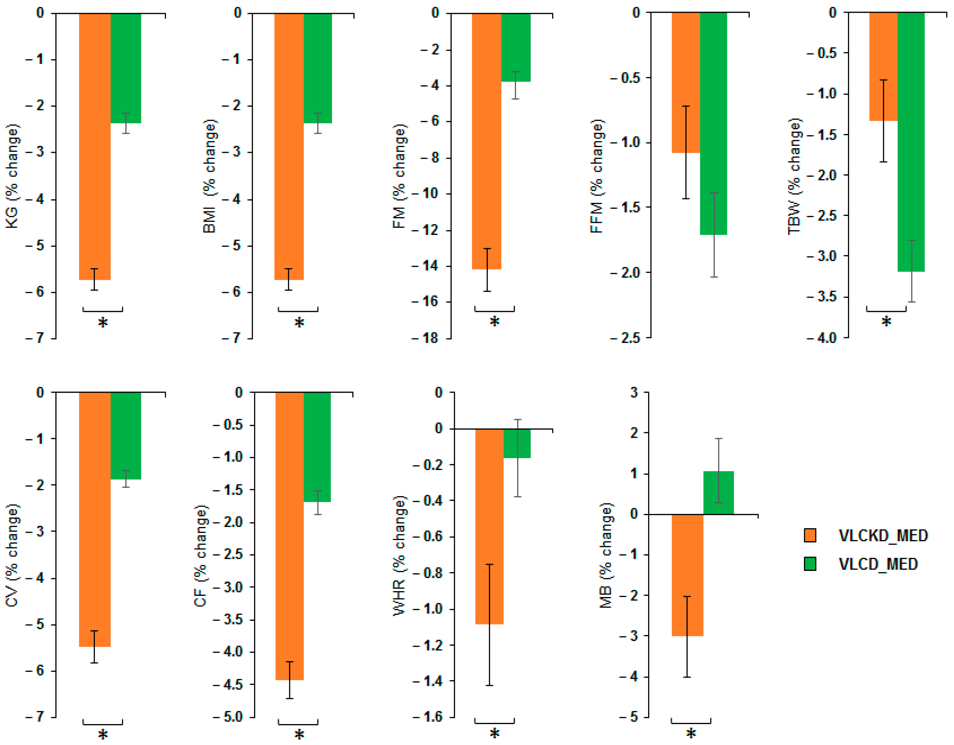
3.1. Anthropometrical and Body Composition Results
3.2. Diet Score Results
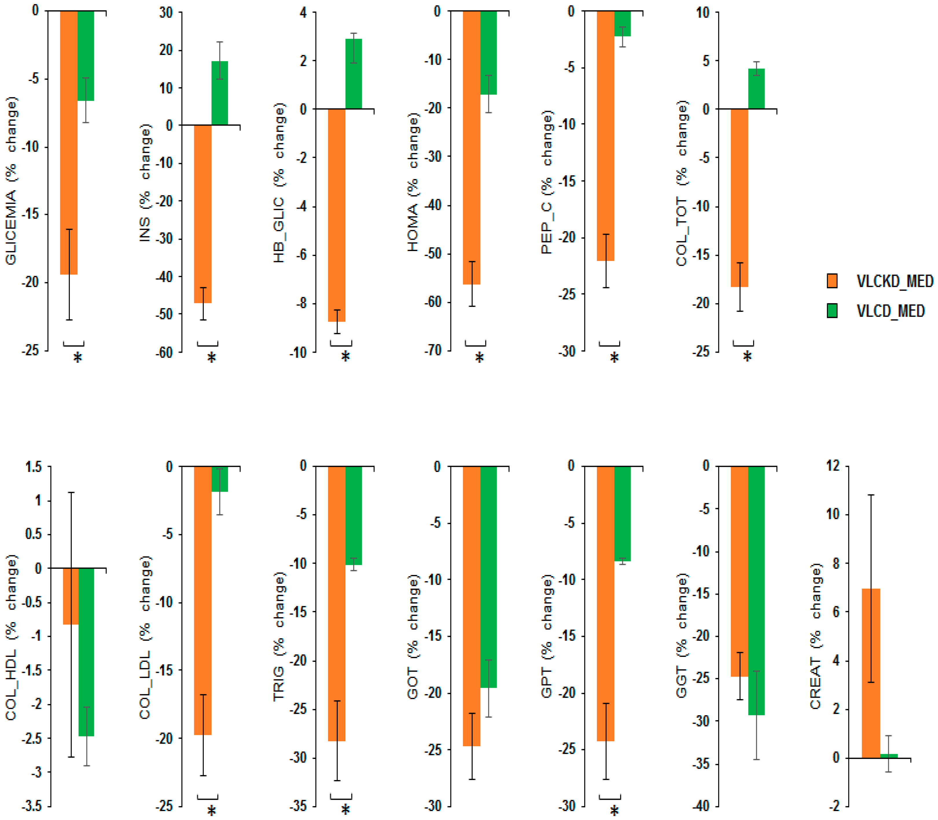
3.3. Blood Exams Results
4. Discussion
- -
- The production kinetics of blood beta butyrate hydroxy reaches almost the maximum concentration value on the twentieth day, as demonstrated by Cahill and Veech [47];
- -
- The lipolysis rate begins on the tenth day and reaches a plateau on the twentieth [48];
- -
- The short duration ensures maximum patient compliance and avoids patients dropping out during the very-low-calorie ketogenic Mediterranean diet.
5. Conclusions
Author Contributions
Funding
Institutional Review Board Statement
Informed Consent Statement
Data Availability Statement
Conflicts of Interest
References
- American Diabetes Association Professional Practice Committee. Improving Care and Promoting Health in Populations: Standards of Medical Care in Diabetes—2022. Diabetes Care 2022, 45, 8–16. [Google Scholar] [CrossRef] [PubMed]
- American Diabetes Association Professional Practice Committee. Obesity and Weight Management for the Prevention and Treatment of Type 2 diabetes mellitus: Standards of Medical Care in Diabetes—2022. Diabetes Care 2022, 45, 113–124. [Google Scholar] [CrossRef] [PubMed]
- Schwingshackl, L.; Hoffmann, G.; Lampousi, A.M.; Knüppel, S.; Iqbal, K.; Schwedhelm, C.; Bechthold, A.; Schlesinger, S.; Boeing, H. Food Groups and Risk of Type 2 diabetes mellitus Mellitus: A Systematic Review and Meta-Analysis of Prospective Studies. Eur. J. Epidemiol. 2017, 32, 363–375. [Google Scholar] [CrossRef]
- Defeudis, G.; Khazrai, Y.M.; Di Rosa, C.; Secchi, C.; Montedoro, A.; Maurizi, A.R.; Palermo, A.; Pozzilli, P.; Manfrini, S. Conversation MapsTM, an Effective Tool for the Management of Males and Females with Type 2 diabetes mellitus and Mildly Impaired Glycemic Control. Hormones 2018, 17, 113–117. [Google Scholar] [CrossRef]
- Messina, A.; Monda, M.; Valenzano, A.; Messina, G.; Villano, I.; Moscatelli, F.; Cibelli, G.; Marsala, G.; Polito, R.; Ruberto, M.; et al. Functional Changes Induced by Orexin A and Adiponectin on the Sympathetic/Parasympathetic Balance. Front. Physiol. 2018, 9, 259. [Google Scholar] [CrossRef] [PubMed]
- Monda, M.; Messina, G.; Mangoni, C.; De Luca, B. Resting energy expenditure and fat-free mass do not decline during aging in severely obese women. Clin. Nutr. 2008, 27, 657–659. [Google Scholar] [CrossRef]
- Micek, A.; Godos, J.; Cernigliaro, A.; Cincione, R.I.; Buscemi, S.; Libra, M.; Galvano, F.; Grosso, G. Total Nut, Tree Nut, and Peanut Consumption and Metabolic Status in Southern Italian Adults. Int. J. Environ. Res. Public Health 2021, 18, 1847. [Google Scholar] [CrossRef]
- Joshi, S.; Ostfeld, R.J.; McMacken, M. The Ketogenic Diet for Obesity and Diabetes—Enthusiasm Outpaces Evidence. JAMA Intern. Med. 2019, 179, 1163. [Google Scholar] [CrossRef]
- Dashti, H.M.; Mathew, T.C.; Khadada, M.; Al-Mousawi, M.; Talib, H.; Asfar, S.K.; Behbahani, A.I.; Al-Zaid, N.S. Beneficial Effects of Ketogenic Diet in Obese Diabetic Subjects. Mol. Cell. Biochem. 2007, 302, 249–256. [Google Scholar] [CrossRef]
- Muscogiuri, G.; El Ghoch, M.; Colao, A.; Hassapidou, M.; Yumuk, V.; Busetto, L. European Guidelines for Obesity Management in Adults with a Very Low-Calorie Ketogenic Diet: A Systematic Review and Meta-Analysis. Obes. Facts 2021, 14, 222–245. [Google Scholar] [CrossRef]
- Precenzano, F.; Ruberto, M.; Parisi, L.; Salerno, M.; Maltese, A.; Verde, D.; Tripi, G.; Romano, P.; Di Folco, A.; Di Filippo, T.; et al. Sleep habits in children affected by autism spectrum disorders: A preliminary case-control study. Acta Med. 2017, 33, 405–409. [Google Scholar] [CrossRef]
- Kumar, S.; Behl, T.; Sachdeva, M.; Sehgal, A.; Kumari, S.; Kumar, A.; Kaur, G.; Yadav, H.N.; Bungau, S. Implicating the Effect of Ketogenic Diet as a Preventive Measure to Obesity and Diabetes Mellitus. Life Sci. 2021, 264, 118661. [Google Scholar] [CrossRef] [PubMed]
- Monda, V.; Polito, R.; Lovino, A.; Finaldi, A.; Valenzano, A.; Nigro, E.; Corso, G.; Sessa, F.; Asmundo, A.; Nunno, N.D.; et al. Short-Term Physiological Effects of a Very Low-Calorie Ketogenic Diet: Effects on Adiponectin Levels and Inflammatory States. Int. J. Mol. Sci. 2020, 21, 3228. [Google Scholar] [CrossRef] [PubMed]
- de Lima Macena, M.; da Costa Paula, D.T.; da Silva Júnior, A.E.; Praxedes, D.R.S.; de Oliveira Maranhão Pureza, I.R.; de Melo, I.S.V.; Bueno, N.B. Estimates of Resting Energy Expenditure and Total Energy Expenditure Using Predictive Equations in Adults with Overweight and Obesity: A Systematic Review with Meta-Analysis. Nutr. Rev. 2022, 80, 2113–2135. [Google Scholar] [CrossRef] [PubMed]
- Mongioì, L.M.; Cimino, L.; Greco, E.; Cannarella, R.; Condorelli, R.A.; la Vignera, S.; Calogero, A.E. Very-Low-Calorie Ketogenic Diet: An Alternative to a Pharmacological Approach to Improve Glycometabolic and Gonadal Profile in Men with Obesity. Curr. Opin. Pharm. 2021, 60, 72–82. [Google Scholar] [CrossRef]
- Cincione, R.I.; Losavio, F.; Ciolli, F.; Valenzano, A.; Cibelli, G.; Messina, G.; Polito, R. Effects of Mixed of a Ketogenic Diet in Overweight and Obese Women with Polycystic Ovary Syndrome. Int. J. Environ. Res. Public Health 2021, 18, 12490. [Google Scholar] [CrossRef]
- Cavaliere, G.; Viggiano, E.; Trinchese, G.; De Filippo, C.; Messina, A.; Monda, V.; Valenzano, A.; Cincione, R.I.; Zammit, C.; Cimmino, F.; et al. Long Feeding High-Fat Diet Induces Hypothalamic Oxidative Stress and Inflammation, and Prolonged Hypothalamic AMPK Activation in Rat Animal Model. Front. Physiol. 2018, 9, 818. [Google Scholar] [CrossRef]
- Currenti, W.; Buscemi, S.; Cincione, R.I.; Cernigliaro, A.; Godos, J.; Grosso, G.; Galvano, F. Time-Restricted Feeding and Metabolic Outcomes in a Cohort of Italian Adults. Nutrients 2021, 13, 1651. [Google Scholar] [CrossRef]
- Bueno, N.B.; de Melo, I.S.V.; de Oliveira, S.L.; da Rocha Ataide, T. Very-Low-Carbohydrate Ketogenic Diet v. Low-Fat Diet for Long-Term Weight Loss: A Meta-Analysis of Randomised Controlled Trials. Br. J. Nutr. 2013, 110, 1178–1187. [Google Scholar] [CrossRef]
- Al-Khalifa, A.; Mathew, T.C.; Al-Zaid, N.S.; Mathew, E.; Dashti, H.M. Therapeutic Role of Low-Carbohydrate Ketogenic Diet in Diabetes. Nutrition 2009, 25, 1177–1185. [Google Scholar] [CrossRef]
- Sharman, M.J.; Kraemer, W.J.; Love, D.M.; Avery, N.G.; Gómez, A.L.; Scheett, T.P.; Volek, J.S. A Ketogenic Diet Favorably Affects Serum Biomarkers for Cardiovascular Disease in Normal-Weight Men. J. Nutr. 2002, 132, 1879–1885. [Google Scholar] [CrossRef] [PubMed]
- Saudek, C.D.; Boulter, P.R.; Arky, R.A. The Natriuretic Effect of Glucagon and Its Role in Starvation. J. Clin. Endocrinol. Metab. 1973, 36, 761–765. [Google Scholar] [CrossRef] [PubMed]
- Boulter, P.R.; Hoffman, R.S.; Arky, R.A. Pattern of Sodium Excretion Accompanying Starvation. Metabolism 1973, 22, 675–683. [Google Scholar] [CrossRef]
- Caprio, M.; Infante, M.; Moriconi, E.; Armani, A.; Fabbri, A.; Mantovani, G.; Mariani, S.; Lubrano, C.; Poggiogalle, E.; Migliaccio, S.; et al. Very-Low-Calorie Ketogenic Diet (VLCKD) in the Management of Metabolic Diseases: Systematic Review and Consensus Statement from the Italian Society of Endocrinology (SIE). J. Endocrinol. Investig. 2019, 42, 1365–1386. [Google Scholar] [CrossRef]
- Krebs, H.A. The Regulation of the Release of Ketone Bodies by the Liver. Adv. Enzym. Regul. 1966, 4, 339–354. [Google Scholar] [CrossRef]
- Atkinson, R.L. Low and Very Low Calorie Diets. Med. Clin. N. Am. 1989, 73, 203–215. [Google Scholar] [CrossRef]
- Lean, M.E.J.; Leslie, W.S.; Barnes, A.C.; Brosnahan, N.; Thom, G.; McCombie, L.; Peters, C.; Zhyzhneuskaya, S.; Al-Mrabeh, A.; Hollingsworth, K.G.; et al. Durability of a primary care-led weight-management intervention for remission of type 2 diabetes: 2-year results of the DiRECT open-label, cluster-randomised trial. Lancet Diabetes Endocrinol. 2019, 7, 344–355. [Google Scholar] [CrossRef]
- Garcia, A.L.; Wagner, K.; Hothorn, T.; Koebnick, C.; Zunft, H.-J.F. Ulrike Trippo Improved prediction of body fat by measuring skinfold thickness, circumferences, and bone breadths. Obes. Res. 2005, 13, 626–634. [Google Scholar] [CrossRef]
- Chahoud, G.; Aude, Y.W.; Mehta, J.L. Dietary Recommendations in the Prevention and Treatment of Coronary Heart Disease: Do We Have the Ideal Diet Yet? Am. J. Cardiol. 2004, 94, 1260–1267. [Google Scholar] [CrossRef]
- Kenig, S.; Petelin, A.; Poklar Vatovec, T.; Mohorko, N.; Jenko-Pražnikar, Z. Assessment of Micronutrients in a 12-Wk Ketogenic Diet in Obese Adults. Nutrition 2019, 67–68, 110522. [Google Scholar] [CrossRef]
- Monteagudo, C.; Mariscal-Arcas, M.; Rivas, A.; Lorenzo-Tovar, M.L.; Tur, J.A.; Olea-Serrano, F. Proposal of a Mediterranean Diet Serving Score. PLoS ONE 2015, 10, e0128594. [Google Scholar] [CrossRef] [PubMed]
- Barrea, L.; Arnone, A.; Annunziata, G.; Muscogiuri, G.; Laudisio, D.; Salzano, C.; Pugliese, G.; Colao, A.; Savastano, S. Adherence to the Mediterranean Diet, Dietary Patterns and Body Composition in Women with Polycystic Ovary Syndrome (PCOS). Nutrients 2019, 11, 2278. [Google Scholar] [CrossRef] [PubMed]
- Alberti, A.; Fruttini, D.; Fidanza, F. The Mediterranean Adequacy Index: Further Confirming Results of Validity. Nutr. Metab. Cardiovasc. Dis. 2009, 19, 61–66. [Google Scholar] [CrossRef] [PubMed]
- Kashino, I.; Serafini, M.; Kurotani, K.; Akter, S.; Mizoue, T.; Ishihara, J.; Kotemori, A.; Sawada, N.; Inoue, M.; Iwasaki, M.; et al. Japan Public Health Center-based Prospective Study Group. Relationship between Dietary Non-Enzymatic Antioxidant Ca-pacity and Type 2 diabetes mellitus Risk in the Japan Public Health Center-Based Prospective Study. Nutrition 2019, 66, 62–69. [Google Scholar] [CrossRef]
- Tangestani, H.; Emamat, H.; Tavakoli, A.; Ghalandari, H.; Keshavarz, S.A.; Yekaninejad, M.S.; Mirzaei, K. Association of Dietary Acid Load with Metabolic Syndrome in Overweight and Obese Women. International journal for vitamin and nutrition research. Internationale Zeitschrift fur Vitamin- and Ernahrungsforschung. J. Int. Vitaminol. Nutr. 2022. [Google Scholar] [CrossRef]
- Pérez-Guisado, J.; Muñoz-Serrano, A. A Pilot Study of the Spanish Ketogenic Mediterranean Diet: An Effective Therapy for the Metabolic Syndrome. J. Med. Food 2010, 14, 681–687. [Google Scholar] [CrossRef]
- Paoli, A.; Cenci, L.; Grimaldi, K.A. Effect of Ketogenic Mediterranean Diet with Phytoextracts and Low Carbohydrates/High-Protein Meals on Weight, Cardiovascular Risk Factors, Body Composition and Diet Compliance in Italian Council Employees. Nutr. J. 2011, 10, 112. [Google Scholar] [CrossRef]
- Paoli, A.; Bianco, A.; Grimaldi, K.; Lodi, A.; Bosco, G. Long Term Successful Weight Loss with a Combination Biphasic Ketogenic Mediterranean Diet and Mediterranean Diet Maintenance Protocol. Nutrients 2013, 5, 5205–5217. [Google Scholar] [CrossRef]
- Feinman, R.D.; Fine, E.J. Nonequilibrium Thermodynamics and Energy Efficiency in Weight Loss Diets. Theor. Biol. Med. Model. 2007, 4, 27. [Google Scholar] [CrossRef]
- Johnstone, A.M.; Horgan, G.W.; Murison, S.D.; Bremner, D.M.; Lobley, G.E. Effects of a High-Protein Ketogenic Diet on Hunger, Appetite, and Weight Loss in Obese Men Feeding Ad Libitum. Am. J. Clin. Nutr. 2008, 87, 44–55. [Google Scholar] [CrossRef]
- Veldhorst, M.; Smeets, A.; Soenen, S.; Hochstenbach-Waelen, A.; Hursel, R.; Diepvens, K.; Lejeune, M.; Luscombe-Marsh, N.; Westerterp-Plantenga, M. Protein-Induced Satiety: Effects and Mechanisms of Different Proteins. Physiol. Behav. 2008, 94, 300–307. [Google Scholar] [CrossRef] [PubMed]
- Sumithran, P.; Prendergast, L.A.; Delbridge, E.; Purcell, K.; Shulkes, A.; Kriketos, A.; Proietto, J. Ketosis and Appetite-Mediating Nutrients and Hormones after Weight Loss. Eur. J. Clin. Nutr. 2013, 67, 759–764. [Google Scholar] [CrossRef] [PubMed]
- Cavero-Redondo, I.; Peleteiro, B.; Álvarez-Bueno, C.; Rodriguez-Artalejo, F.; Martínez-Vizcaíno, V. Glycated Haemoglobin A1c as a Risk Factor of Cardiovascular Outcomes and All-Cause Mortality in Diabetic and Non-Diabetic Populations: A Systematic Review and Meta-Analysis. BMJ Open 2017, 7, e015949. [Google Scholar] [CrossRef]
- Sabanayagam, C.; Liew, G.; Tai, E.S.; Shankar, A.; Lim, S.C.; Subramaniam, T.; Wong, T.Y. Relationship between Glycated Haemoglobin and Microvascular Complications: Is There a Natural Cut-off Point for the Diagnosis of Diabetes? Diabetologia 2009, 52, 1279–1289. [Google Scholar] [CrossRef] [PubMed]
- Casanueva, F.F.; Castellana, M.; Bellido, D.; Trimboli, P.; Castro, A.I.; Sajoux, I.; Rodriguez-Carnero, G.; Gomez-Arbelaez, D.; Crujeiras, A.B.; Martinez-Olmos, M.A. Ketogenic Diets as Treatment of Obesity and Type 2 diabetes mellitus Mellitus. Rev. Endocr. Metab. Disord. 2020, 21, 381–397. [Google Scholar] [CrossRef] [PubMed]
- Basciani, S.; Camajani, E.; Contini, S.; Persichetti, A.; Risi, R.; Bertoldi, L.; Strigari, L.; Prossomariti, G.; Watanabe, M.; Mariani, S.; et al. Very-Low-Calorie Ketogenic Diets With Whey, Vegetable, or Animal Protein in Patients With Obesity: A Randomized Pilot Study. J. Clin. Endocrinol. Metab. 2020, 105, dgaa336. [Google Scholar] [CrossRef] [PubMed]
- Cahill, G.F.; Veech, R.L. Ketoacids? Good Medicine? Trans. Am. Clin. Climatol. Assoc. 2003, 114, 149–161. [Google Scholar]
- Palmer, B.F.; Clegg, D.J. Starvation Ketosis and the Kidney. Am. J. Nephrol. 2021, 52, 467–478. [Google Scholar] [CrossRef]
- Trichopoulou, A.; Critselis, E. Mediterranean Diet and Longevity. Eur. J. Cancer Prev. 2004, 13, 453–456. [Google Scholar] [CrossRef]



| All Patients Mean (±sd) | VLCKD_MED Group Mean (±sd) | VLCD_MED Group Mean (±sd) | p Value | |
|---|---|---|---|---|
| N = 80 | N = 40 | N = 40 | ||
| Men/women | 40/40 | 20/20 | 20/20 | 0.77 |
| Age (years) | 51.95 ± 1.75 | 52.08 ± 1.71 | 51.83 ± 1.80 | 0.092 |
| Weight (kg) | 90.37 ± 2.76 | 91.13 ± 2.79 | 89.62 ± 2.74 | 0.70 |
| Height (m) | 1.66 ± 0.02 | 1.65 ± 0.02 | 1.66 ± 0.02 | 0.78 |
| BMI (kg/m2) | 33.08 ± 1.83 | 33.42 ± 0.93 | 32.64 ± 0.98 | 0.56 |
| Oleaginous Fruit: Almonds, Nuts, Peanuts, Cashews, Hazelnuts, Pistachios |
|---|
| Fish: Sea bream, tuna, mullet, trout, swordfish, perch, sea bass, mackerel, cod, pike, dogfish, sole, squid, cuttlefish, octopus |
| White meat: Chicken, turkey, rabbit |
| Vegetables in unlimited quantities: All leafy vegetables: (Lettuce, Valerian, Belgian Salad, Arugula, Chicory, Endive, Escarole), Chard, Broccoli, Thistles, Cauliflower, Cabbage, Cucumber, Turnip Greens, Zucchini Flowers, Fennel, Mushrooms, Bean Sprouts, Green Peppers, Radish, Red Radicchio, Green Radicchio, Celery, Spinach, Zucchini |
| Vegetables maximum 200 g per day: Asparagus, Eggplant, Artichokes, Brussels Sprouts, Green Beans, Tomatoes, Red Peppers, Turnips, Yellow Pumpkin |
| Extra virgin olive oil |
| Diet | VLCKD_MED | VLCD_MED | ||
|---|---|---|---|---|
| Energy_Kcal/day_ | 800 Kcal/day | 800 Kcal/day | ||
| Fat g/day_% total daily energy | 52 ± 3 g | 58.25% | 23 ± 6 g | 25% |
| Protein g/day_% total daily energy | 63 ± 5 g | 31.75% | 50 ± 8 g | 25% |
| Carbohydrate g/day_% total daily energy | 20 g | 10% | 100 g | 50% |
| Very Low-Calorie Ketogenic Mediterranean Diet | Recommendation | Score |
|---|---|---|
| Vegetables | ≥2 servings/main meal | 3 |
| Olive Oil | 1 serving/main meal | 3 |
| Nuts | 1–2 servings/day | 2 |
| Eggs | 2–4 servings/week | 1 |
| Fish | ≥2 servings/week | 1 |
| White meat | 2 servings/week | 1 |
| Red wine | 1–2 glasses/day | 1 |
| Total score | 12 |
| Variable (Mean ± SE) | Pre VLCKD_MED | Post VLCKD_MED | Pre VLCD_MED | Post VLCD_MED |
|---|---|---|---|---|
| Age (years) | 52.08 ± 1.71 | - | 51.83 ± 1.80 | - |
| Sex M/F | 20/20 | 20/20 | 20/20 | 20/20 |
| Height (m) | 1.65 ± 0.02 | - | 1.66 ± 0.02 | - |
| Body weight (kg) | 91.13 ± 2.79 | 85.88 ± 2.599 | 89.62 ± 2.74 | 87.5 ± 2.66 |
| BMI (kg/m2) | 33.42 ± 0.93 | 31.52 ± 0.90 | 32.64 ± 0.98 | 31.87 ± 0.97 |
| FFM (kg) | 34.83 ± 2.01 | 30.24 ± 1.96 | 34.38 ± 1.99 | 33.23 ± 2.03 |
| FFM (kg) | 56.24 ± 2.16 | 55.65 ± 2.15 | 55.45 ± 2.16 | 54.54 ± 2.17 |
| TTW (kg) | 40.63 ± 1.56 | 40.04 ± 1.49 | 39.66 ± 1.55 | 38.4 ± 1.49 |
| CV (cm) | 107.60 ± 2.16 | 101.71 ± 2.06 | 104.5 ± 2.27 | 102.54 ± 2.22 |
| CF (cm) | 117.12 ± 2.12 | 111.96 ± 2.12 | 114.58 ± 2.04 | 112.64 ± 2.04 |
| WHR (ratio) | 0.92 ± 0.01 | 0.91 ± 0.01 | 0.91 ± 0.02 | 0.912 ± 0.02 |
| MB (kcal) | 1708.46 ± 61.79 | 1649.25 ± 50.67 | 1657.79 ± 60.12 | 1672.41 ± 58.19 |
| Variable (Mean ± SE) | Pre VLCKD_MED | Post VLCKD_MED | Pre VLCD_MED | Post VLCD_MED |
|---|---|---|---|---|
| Age (years) | 52.08 ± 1.71 | - | 51.83 ± 1.80 | - |
| Sex M/F | 20/20 | 20/20 | 20/20 | 20/20 |
| Height(m) | 1.65 ± 0.02 | - | 1.66 ± 0.02 | - |
| Glycemia (mg/dL) | 134.79 ± 8.62 | 103.375 ± 3.54 | 127.41 ± 8.79 | 117.45 ± 7.35 |
| INS (µU/mL) | 20.16 ± 1.72 | 9.57 ± 0.70 | 20.42 ± 2.44 | 18.01 ± 2.21 |
| HB_GLIC (%) | 6.81 ± 0.24 | 6.20 ± 0.21 | 6.81 ± 0.26 | 6.61 ± 0.25 |
| HOMA index | 7.12 ± 1.02 | 2.49 ± 0.23 | 7.32 ± 1.54 | 5.76 ± 1.12 |
| PEP_C (ng/mL) | 2.91 ± 0.13 | 2.26 ± 0.11 | 2.73 ± 0.12 | 2.65 ± 0.11 |
| COL_TOT (mg/dL) | 205.33 ± 7.41 | 165.83 ± 6.19 | 214.87 ± 6.27 | 206.03 ± 5.61 |
| COL_HDL (mg/dL) | 51.04 ± 2.24 | 50.12 ± 1.95 | 52.12 ± 1.90 | 50.87 ± 1.92 |
| COL_LDL (mg/dL) | 120.08 ± 7.03 | 95.39 ± 5.77 | 127.01 ± 6.70 | 122.89 ± 5.85 |
| TRIG (mg/dL) | 171.04 ± 33.04 | 101.58 ± 7.92 | 178.66 ± 28.43 | 161.33 ± 25.91 |
| GOT(U/L) | 30.79 ± 3.17 | 22.62 ± 2.47 | 30.62 ± 3.34 | 25.21 ± 3.17 |
| GPT (U/L) | 39.96 ± 5.96 | 28.66 ± 3.94 | 31.25 ± 22.78 | 28.61 ± 4.27 |
| GGT (U/L) | 37.04 ± 4.22 | 26.95 ± 2.78 | 35.25 ± 3.64 | 29.19 ± 3.39 |
| CREAT (mg/dL) | 0.78 ± 0.03 | 0.81 ± 0.03 | 0.73 ± 0.03 | 0.72 ± 0.03 |
Publisher’s Note: MDPI stays neutral with regard to jurisdictional claims in published maps and institutional affiliations. |
© 2022 by the authors. Licensee MDPI, Basel, Switzerland. This article is an open access article distributed under the terms and conditions of the Creative Commons Attribution (CC BY) license (https://creativecommons.org/licenses/by/4.0/).
Share and Cite
Ivan, C.R.; Messina, A.; Cibelli, G.; Messina, G.; Polito, R.; Losavio, F.; Torre, E.L.; Monda, V.; Monda, M.; Quiete, S.; et al. Italian Ketogenic Mediterranean Diet in Overweight and Obese Patients with Prediabetes or Type 2 Diabetes. Nutrients 2022, 14, 4361. https://doi.org/10.3390/nu14204361
Ivan CR, Messina A, Cibelli G, Messina G, Polito R, Losavio F, Torre EL, Monda V, Monda M, Quiete S, et al. Italian Ketogenic Mediterranean Diet in Overweight and Obese Patients with Prediabetes or Type 2 Diabetes. Nutrients. 2022; 14(20):4361. https://doi.org/10.3390/nu14204361
Chicago/Turabian StyleIvan, Cincione Raffaele, Antonietta Messina, Giuseppe Cibelli, Giovanni Messina, Rita Polito, Francesca Losavio, Ester La Torre, Vincenzo Monda, Marcellino Monda, Stefano Quiete, and et al. 2022. "Italian Ketogenic Mediterranean Diet in Overweight and Obese Patients with Prediabetes or Type 2 Diabetes" Nutrients 14, no. 20: 4361. https://doi.org/10.3390/nu14204361
APA StyleIvan, C. R., Messina, A., Cibelli, G., Messina, G., Polito, R., Losavio, F., Torre, E. L., Monda, V., Monda, M., Quiete, S., Casula, E., Napoli, N., & Defeudis, G. (2022). Italian Ketogenic Mediterranean Diet in Overweight and Obese Patients with Prediabetes or Type 2 Diabetes. Nutrients, 14(20), 4361. https://doi.org/10.3390/nu14204361

