Validity and Reproducibility of a Food Frequency Questionnaire to Assess Nutrients Intake of Pregnant Women in the South-East of Spain
Abstract
:1. Introduction
2. Materials and Methods
2.1. Study Design and Population
2.2. Data Collection
2.2.1. General Questionnaire and Medical Records
2.2.2. Dietary Assessment
2.3. Data Analysis
3. Results
3.1. Characteristics of Participant Pregnant Women
3.2. Reproducibility
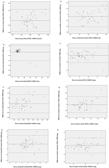
3.3. Validity
3.4. Nutrients Intake in Pregnant Women
4. Discussion
4.1. Validation and Reproducibility
4.2. Nutrients Intake in Pregnant Women
5. Conclusions
Author Contributions
Funding
Institutional Review Board Statement
Informed Consent Statement
Acknowledgments
Conflicts of Interest
References
- Costantine, M.M. Physiologic and pharmacokinetic changes in pregnancy. Front. Pharmacol. 2014, 5, 65. [Google Scholar] [CrossRef]
- Picciano, M.F. Pregnancy and Lactation: Physiological Adjustments, Nutritional Requirements and the Role of Dietary Supplements. J. Nutr. 2003, 133, 1997S–2002S. [Google Scholar] [CrossRef]
- Poston, L.; Harthoorn, L.F.; van der Beek, E.M. Obesity in Pregnancy: Implications for the Mother and Lifelong Health of the Child. A Consensus Statement. Pediatric Res. 2011, 69, 175–180. [Google Scholar] [CrossRef]
- Emond, J.A.; Karagas, M.R.; Baker, E.R.; Gilbert-Diamond, D. Better Diet Quality during Pregnancy Is Associated with a Reduced Likelihood of an Infant Born Small for Gestational Age: An Analysis of the Prospective New Hampshire Birth Cohort Study. J. Nutr. 2018, 148, 22–30. [Google Scholar] [CrossRef] [Green Version]
- Morrison, J.; Regnault, T. Nutrition in Pregnancy: Optimising Maternal Diet and Fetal Adaptations to Altered Nutrient Supply. Nutrients 2016, 8, 342. [Google Scholar] [CrossRef] [PubMed] [Green Version]
- Willett, W.C.; Sacks, F.; Trichopoulou, A.; Drescher, G.; Ferro-Luzzi, A.; Helsing, E.; Trichopoulos, D. Mediterranean diet pyramid: A cultural model for healthy eating. Am. J. Clin. Nutr. 1995, 61, 1402S–1406S. [Google Scholar] [CrossRef]
- Saunders, L.; Guldner, L.; Costet, N.; Kadhel, P.; Rouget, F.; Monfort, C.; Thomé, J.-P.; Multigner, L.; Cordier, S. Effect of a M editerranean Diet during Pregnancy on Fetal Growth and Preterm Delivery: Results From a F rench Caribbean Mother–Child Cohort Study (TIMOUN). Paediatr. Perinat. Epidemiol. 2014, 28, 235–244. [Google Scholar] [CrossRef] [PubMed] [Green Version]
- Chatzi, L.; Rifas-Shiman, S.L.; Georgiou, V.; Joung, K.E.; Koinaki, S.; Chalkiadaki, G.; Margioris, A.; Sarri, K.; Vassilaki, M.; Vafeiadi, M.; et al. Adherence to the Mediterranean diet during pregnancy and offspring adiposity and cardiometabolic traits in childhood: Mediterranean Diet and Child Adiposity. Pediatric Obes. 2017, 12, 47–56. [Google Scholar] [CrossRef] [Green Version]
- Chatzi, L.; Mendez, M.; Garcia, R.; Roumeliotaki, T.; Ibarluzea, J.; Tardón, A.; Amiano, P.; Lertxundi, A.; Iniguez, C.; Vioque, J. Mediterranean diet adherence during pregnancy and fetal growth: INMA (Spain) and RHEA (Greece) mother–child cohort studies. Br. J. Nutr. 2012, 107, 135–145. [Google Scholar] [CrossRef]
- Fernández-Barrés, S.; Romaguera, D.; Valvi, D.; Martínez, D.; Vioque, J.; Navarrete-Muñoz, E.M.; Amiano, P.; Gonzalez-Palacios, S.; Guxens, M.; Pereda, E.; et al. Mediterranean dietary pattern in pregnant women and offspring risk of overweight and abdominal obesity in early childhood: The INMA birth cohort study: Maternal diet and childhood obesity. Pediatric Obes. 2016, 11, 491–499. [Google Scholar] [CrossRef] [PubMed]
- Navarrete-Muñoz, E.M.; Giménez Monzó, D.; García de La Hera, M.; Climent, M.D.; Rebagliato, M.; Murcia, M.; Iñiguez, C.; Ballester, F.; Ramón, R.; Vioque, J. Ingesta dietética y de suplementos de ácido fólico en mujeres embarazadas de Valencia. Med. Clínica 2010, 135, 637–643. [Google Scholar] [CrossRef]
- Rodríguez-Bernal, C.L.; Ramón, R.; Quiles, J.; Murcia, M.; Navarrete-Munoz, E.M.; Vioque, J.; Ballester, F.; Rebagliato, M. Dietary intake in pregnant women in a Spanish Mediterranean area: As good as it is supposed to be? Public Health Nutr. 2013, 16, 1379–1389. [Google Scholar] [CrossRef] [Green Version]
- Cuervo, M.; Sayon-Orea, C.; Santiago, S.; Martínez, J. Dietary and health profiles of Spanish women in preconception, pregnancy and lactation. Nutrients 2014, 6, 4434–4451. [Google Scholar] [CrossRef] [Green Version]
- Murphy, S.P.; Barr, S.I.; Poos, M.I. Using the New Dietary Reference Intakes to Assess Diets: A Map to the Maze. Nutr. Rev. 2002, 60, 267–275. [Google Scholar] [CrossRef]
- Vioque, J.; Gimenez-Monzo, D.; Navarrete-Muñoz, E.M.; Garcia-de-la-Hera, M.; Gonzalez-Palacios, S.; Rebagliato, M.; Ballester, F.; Murcia, M.; Iñiguez, C.; Granado, F.; et al. Reproducibility and Validity of a Food Frequency Questionnaire Designed to Assess Diet in Children Aged 4-5 Years. PLoS ONE 2016, 11, e0167338. [Google Scholar] [CrossRef] [Green Version]
- Žvorc, Z.; Mrljak, V.; Sušić, V.; Pompe Gotal, J. Haematological and biochemical parameters during pregnancy and lactation in sows. Vet. Arh. 2006, 76, 245–253. [Google Scholar]
- Kiziltan, G.; Karabudak, E.; Tuncay, G.; Avsar, F.; Tuncay, P.; Mungan, O.; Meral, P. Dietary intake and nutritional status of Turkish pregnant women during Ramadan. Saudi Med. J. 2005, 26, 1782–1787. [Google Scholar]
- Vioque, J.; Navarrete-Muñoz, E.-M.; Gimenez-Monzó, D.; García-de-la-Hera, M.; Granado, F.; Young, I.S.; Ramón, R.; Ballester, F.; Murcia, M.; Rebagliato, M.; et al. Reproducibility and validity of a food frequency questionnaire among pregnant women in a Mediterranean area. Nutr. J. 2013, 12, 26. [Google Scholar] [CrossRef] [Green Version]
- Willett, W. Nutritional Epidemiology; Oxford University Press: Oxford, UK, 2012. [Google Scholar]
- Rivas, A.; Romero, A.; Mariscal, M.; Monteagudo, C.; Hernández, J.; Olea-Serrano, F. Validación de cuestionarios para el estudio de hábitos alimentarios y masa ósea. Nutr. Hosp. 2009, 24, 521–528. [Google Scholar]
- Barbieri, P.; Crivellenti, L.C.; Nishimura, R.Y.; Sartorelli, D.S. Validation of a food frequency questionnaire to assess food group intake by pregnant women. J. Hum. Nutr. Diet. 2015, 28, 38–44. [Google Scholar] [CrossRef]
- Zhang, H.; Qiu, X.; Zhong, C.; Zhang, K.; Xiao, M.; Yi, N.; Xiong, G.; Wang, J.; Yao, J.; Hao, L.; et al. Reproducibility and relative validity of a semi-quantitative food frequency questionnaire for Chinese pregnant women. Nutr. J. 2015, 14, 56. [Google Scholar] [CrossRef] [Green Version]
- Mouratidou, T.; Ford, F.; Fraser, R.B. Validation of a food-frequency questionnaire for use in pregnancy. Public Health Nutr. 2006, 9, 515–522. [Google Scholar] [CrossRef] [Green Version]
- de la Fuente-Arrillaga, C.; Vázquez Ruiz, Z.; Bes-Rastrollo, M.; Sampson, L.; Martinez-González, M.A. Reproducibility of an FFQ validated in Spain. Public Health Nutr. 2010, 13, 1364–1372. [Google Scholar] [CrossRef]
- Ogawa, K.; Jwa, S.-C.; Kobayashi, M.; Morisaki, N.; Sago, H.; Fujiwara, T. Validation of a food frequency questionnaire for Japanese pregnant women with and without nausea and vomiting in early pregnancy. J. Epidemiol. 2017, 27, 201–208. [Google Scholar] [CrossRef]
- Brantsaeter, A.L.; Haugen, M.; Alexander, J.; Meltzer, H.M. Validity of a new food frequency questionnaire for pregnant women in the Norwegian Mother and Child Cohort Study (MoBa): Validity of a new FFQ for pregnant women. Matern. Child Nutr. 2007, 4, 28–43. [Google Scholar] [CrossRef]
- Martin Bland, J.; Altman, D.G. Statistical methods for assessing agreement between two methods of clinical measurement. Lancet 1986, 327, 307–310. [Google Scholar] [CrossRef]
- Cade, J.; Thompson, R.; Burley, V.; Warm, D. Development, validation and utilisation of food-frequency questionnaires—A review. Public Health Nutr. 2002, 5, 567–587. [Google Scholar] [CrossRef] [Green Version]
- S.L. Gestión de Salud y Nutrición. I-Diet Food Composition Database, Updated from Original Version of G. Martín Peña FCD, 2019.
- European Food Safety Authority (EFSA). Dietary Reference Values for nutrients Summary report. EFSA Supporting Publ. 2017, 14, e15121E. [Google Scholar]
- Salcedo-Bellido, I.; Martínez-Galiano, J.; Olmedo-Requena, R.; Mozas-Moreno, J.; Bueno-Cavanillas, A.; Jimenez-Moleon, J.; Delgado-Rodríguez, M. Association between Vitamin Intake during Pregnancy and Risk of Small for Gestational Age. Nutrients 2017, 9, 1277. [Google Scholar] [CrossRef] [Green Version]
- Loy, S.L.; Marhazlina, M.; Azwany, Y.; Jan, J.M. Development, validity and reproducibility of a food frequency questionnaire in pregnancy for the Universiti Sains Malaysia birth cohort study. Malays. J. Nutr. 2011, 17, 1–18. [Google Scholar] [PubMed]
- Giavarina, D. Understanding bland altman analysis. Biochem. Med. 2015, 25, 141–151. [Google Scholar] [CrossRef] [PubMed] [Green Version]
- Guelinckx, I.; Devlieger, R.; Beckers, K.; Vansant, G. Maternal obesity: Pregnancy complications, gestational weight gain and nutrition. Obes. Rev. 2008, 9, 140–150. [Google Scholar] [CrossRef] [PubMed]


| Food Groups of FFQ | Subgroups of Food | Items for Groups |
|---|---|---|
| Dairy products | Milk | 4 |
| Cheese | 2 | |
| Dairy Derivatives | 5 | |
| Meat, fish and eggs | Meat | 6 |
| Meat Derived | 7 | |
| Fish | 9 | |
| Other | 4 | |
| Vegetables | Vegetables | 14 |
| Spices | 2 | |
| Tubers | 3 | |
| Legums | Pulses | 4 |
| Fruits | Fruits | 11 |
| Derived of Fruits | 3 | |
| Nuts | 2 | |
| Breads and cereals | Bread and Derived | 3 |
| Cereals | 2 | |
| Other | 3 | |
| Oils and fats | Oil | 7 |
| Other fats | 3 | |
| Bakery and Pastry | Biscuits | 6 |
| Cakes | 6 | |
| Chocolate | 2 | |
| Other | 2 | |
| Drinks | Alcoholic drinks | 9 |
| Other drinks | 10 | |
| Mixed | Fried | 3 |
| Sauces | 4 | |
| Other | 5 |
| Variables | Mean ± SD/n (%) |
|---|---|
| Woman’s age at assessment (years) (mean ± SD) | 31.1 ± 4.9 |
| Weight before pregnancy (kg) (mean ± SD) | 64.8 ± 13.0 |
| Weight at 32 week of gestation (kg) (mean ± SD) | 76.1 ± 12.7 |
| Weight gained through week 32 | 11.2 ± 5.4 |
| Classified BMI pre-pregnancy 1 | |
| Underweight (<18.5) | 26 (3.8) |
| Normal (18.5–24.99) | 432 (62.6) |
| Overweight (25.00–29.99) | 162 (23.5) |
| Obesity (≥30) | 65 (9.4) |
| Classified BMI 1 | |
| Underweight (<18.5) | 1 (0.1) |
| Normal (18.5–24.99) | 135 (19.6) |
| Overweight (25.00–29.99) | 347 (50.3) |
| Obesity (≥30) | 202 (29.3) |
| Birth Country 1 | |
| Spain | 585 (84.4) |
| Other | 105 (15.2) |
| Education level 1 | |
| Primary or lower studies | 45 (6.5) |
| Secondary studies | 448 (64.9) |
| Higher studies | 185 (26.8) |
| Family income (Euros/month) 1 | |
| <500 | 22 (3.2) |
| 500–1000 | 85 (12.3) |
| 1001–2000 | 308 (44.6) |
| 2001–3000 | 212 (30.7) |
| 3001–5000 | 51 (7.4) |
| >5000 | 8 (1.1) |
| Status marital | |
| Married/Couple | 652 (94.5) |
| Alone | 38 (5.5) |
| Medical history | |
| Nothing | 652 (94.5) |
| Diabetes | 18 (2.6) |
| Hypertension | 18 (2.6) |
| Diabetes and Hypertension | 2 (0.3) |
| Parity | |
| ≥1 | 267 (38.7) |
| 0 | 423 (61.3) |
| Smoking | |
| No | 574 (83.2) |
| 1st trimester | 30 (4.3) |
| All pregnancy | 86 (12.5) |
| Alcohol consumption 1st trimester (gr/day) (mean ± SD) | 4.5 (6.2) |
| Alcohol consumption 3st trimester (gr/day) (mean ± SD) | 0.6 (1.9) |
| Supplements consumption 1st trimester 2 | |
| Vitamin B complex | 5 (0.7) |
| Vitamin complex | 26 (3.8) |
| Folic acid | 635 (92.0) |
| Nothing | 40 (5.8) |
| Supplements consumption 3st trimester 2 | |
| Vitamin B complex | 6 (0.9) |
| Vitamin complex | 12 (1.7) |
| Folic acid | 661 (95.8) |
| Nothing | 17 (2.5) |
| FFQ1 | FFQ2 | Correlation Coefficient Unadjusted a | Correlation Coefficient Adjusted b | Agreement by Quintile (%) c | |||||
|---|---|---|---|---|---|---|---|---|---|
| Mean | SD | Median | Mean | SD | Median | ||||
| Energy (kcal) | 2401 | 742.7 | 2320 | 2052 | 671.3 | 1976 * | 0.448 * | 68.70 | |
| Protein (g) | 103.2 | 29.51 | 100.1 | 89.94 | 28.67 | 86.23 * | 0.408 * | 0.411 * | 65.80 |
| Total fat (g) | 109.2 | 39.43 | 102.2 | 94.02 | 36.87 | 87.36 * | 0.407 * | 0.434 * | 64.49 |
| Carbohydrate (g) | 267.4 | 99.75 | 253.4 | 229.9 | 84.24 | 215.6 * | 0.432 * | 0.433 * | 67.54 |
| Saturated fat (g) | 24.70 | 9.08 | 23.15 | 20.57 | 8.11 | 19.21 * | 0.405 * | 0.405 * | 63.77 |
| Cholesterol (mg) | 347.9 | 126.1 | 327.1 | 291.7 | 111 | 273.5 * | 0.415 * | 0.464 * | 64.49 |
| Fiber (g) | 34.48 | 13.66 | 32.31 | 30.61 | 13.24 | 29.17 * | 0.416 * | 0.443 * | 67.83 |
| Alcohol (g) | 2.07 | 3.39 | 0.90 | 0.25 | 0.76 | 0.00 * | 0.366 * | 0.366 * | 72.61 |
| Sodium (mg) | 2637 | 997 | 2494 | 2177 | 871.1 | 2037 * | 0.366 * | 0.381 * | 61.59 |
| Potassium (mg) | 5175 | 1781 | 4934 | 4704 | 1768 | 4479 * | 0.384 * | 0.406 * | 65.80 |
| Calcium (mg) | 1175 | 430.8 | 1128 | 1048 | 398.5 | 1005 * | 0.387 * | 0.405 * | 66.67 |
| Magnesium (mg) | 454.5 | 152.1 | 439.9 | 431.9 | 165.7 | 410.9 * | 0.359 * | 0.381 * | 65.65 |
| Phosphorus (mg) | 1704 | 511 | 1637 | 1531 | 504.1 | 1475 * | 0.430 * | 0.427 * | 67.83 |
| Iron (mg) | 18.69 | 5.98 | 18.01 | 16.12 | 5.58 | 15.52 * | 0.426 * | 0.432 * | 67.39 |
| Zinc (mg) | 13.24 | 4.02 | 12.88 | 11.32 | 3.80 | 10.84 * | 0.437 * | 0.459 * | 66.96 |
| Manganese (µg) | 3750 | 1309 | 3643 | 3291 | 1296 | 3132 * | 0.395 * | 0.407 * | 63.04 |
| Iodine (µg) | 139.2 | 58.22 | 133.3 | 119 | 52.38 | 111.8 * | 0.443 * | 0.432 * | 66.52 |
| Molybdenum (µg) | 195.8 | 95.61 | 177.5 | 179.5 | 90.76 | 168.5 * | 0.373 * | 0.401 * | 60.58 |
| Chromium (µg) | 65.64 | 25.63 | 63.24 | 57.79 | 24.76 | 55.14 * | 0.372 * | 0.372 * | 66.96 |
| Cobalt (µg) | 26.40 | 12.91 | 24.43 | 22.83 | 12.14 | 20.28 * | 0.445 * | 0.447 * | 67.54 |
| Vitamin A (µg) | 2234 | 1216 | 1870 | 1904 | 1112 | 1624 * | 0.418 * | 0.396 * | 61.59 |
| Vitamin E (mg) | 13.11 | 5.04 | 12.27 | 11.40 | 4.69 | 10.71 * | 0.297 * | 0.301 * | 60.87 |
| Vitamin D (µg) | 4.65 | 2.46 | 4.11 | 3.74 | 2.04 | 3.29 * | 0.435 * | 0.458 * | 63.04 |
| Vitamin C (mg) | 299.1 | 149.4 | 272.7 | 244.2 | 125.6 | 218.7 * | 0.344 * | 0.337 * | 60.58 |
| Vitamin B1 (mg) | 1.76 | 0.56 | 1.70 | 1.51 | 0.53 | 1.46 * | 0.446 * | 0.450 * | 68.70 |
| Vitamin B2 (mg) | 2.36 | 0.78 | 2.25 | 2.05 | 0.71 | 1.96 * | 0.449 * | 0.449 * | 68.70 |
| Vitamin B6 (mg) | 2.63 | 0.85 | 2.54 | 2.28 | 0.83 | 2.19 * | 0.509 * | 0.502 * | 72.03 |
| Niacin (mg) | 26.31 | 8.69 | 25.29 | 24.08 | 9.28 | 23.01 * | 0.337 * | 0.375 * | 62.90 |
| Biotin (µg) | 48.78 | 17.40 | 46.73 | 45.05 | 18.16 | 42.58 * | 0.469 * | 0.479 * | 69.28 |
| Vitamin K (µg) | 371.5 | 161.7 | 352.7 | 291.8 | 137.8 | 265.9 * | 0.419 * | 0.402 * | 66.67 |
| Vitamin B12 (µg) | 7.00 | 2.82 | 6.59 | 6.10 | 2.88 | 5.53 * | 0.385 * | 0.387 * | 60.87 |
| Folate (µg) | 462.8 | 167.4 | 447.7 | 412.3 | 165.5 | 393.1 * | 0.472 * | 0.486 * | 70.00 |
| FFQ | 24-h Dietary Recalls | Correlation Coefficient b | Agreement by Quintile (%) c | Agreement by LoA (%) d | |||||
|---|---|---|---|---|---|---|---|---|---|
| Mean | SD | Median | Mean | SD | Median a | ||||
| Energy (kcal) | 1745 | 530 | 1646 | 2165 | 437.6 | 2133 * | 44.19 | 97.67 | |
| Protein (g) | 80.69 | 30.37 | 73.7 | 97.07 | 21.51 | 101.6 * | 0.217 | 58.14 | 93.02 |
| Total fat (g) | 78.17 | 23.50 | 78.94 | 99.97 | 25.32 | 100.1 | 0.113 | 60.47 | 95.35 |
| Carbohydrate (g) | 192.7 | 74.89 | 182.2 | 228.4 | 51.28 | 234.1 | 0.300 | 67.44 | 95.35 |
| Saturated fat (g) | 16.12 | 4.69 | 17.25 | 28.15 | 9.01 | 28.77 ** | 0.176 | 53.49 | 95.35 |
| Cholesterol (mg) | 227.8 | 63.02 | 236.1 | 228.2 | 70.08 | 439.2 ** | 0.305 * | 55.81 | 93.02 |
| Fiber (g) | 26.64 | 13.19 | 25.36 | 24.04 | 6.99 | 24.68 | 0.358 * | 62.79 | 93.02 |
| Alcohol (g) | 0.19 | 0.56 | 0.00 | 0.54 | 1.56 | 0.00 | 0.341 * | 60.47 | 83.72 |
| Sodium (mg) | 1849 | 612.8 | 1857 | 2500 | 836.6 | 2463 ** | 0.130 | 51.16 | 93.02 |
| Potassium (mg) | 3742 | 1489 | 3424 | 4699 | 1304 | 4450 * | 0.332 * | 67.44 | 95.35 |
| Calcium (mg) | 850.2 | 362.3 | 818.7 | 1014 | 267.9 | 1028 | 0.397 ** | 62.79 | 95.35 |
| Magnesium (mg) | 327.5 | 115.7 | 325.5 | 416.5 | 103 | 417.8 * | 0.378 * | 62.79 | 95.35 |
| Phosphorus (mg) | 1378 | 556.6 | 1287 | 1502 | 323.9 | 1503 | 0.299 | 62.79 | 93.02 |
| Iron (mg) | 14.35 | 5.82 | 13.41 | 18.19 | 4.37 | 17.92 * | 0.113 | 60.47 | 95.35 |
| Zinc (mg) | 10.49 | 4.02 | 9.70 | 10.79 | 2.95 | 11.09 | 0.433 * | 53.49 | 97.67 |
| Manganese (µg) | 3150 | 1512 | 2721 | 3004 | 796.2 | 2935 | 0.228 | 62.79 | 93.02 |
| Iodine (µg) | 107.7 | 47.8 | 105.4 | 99.26 | 40.17 | 91.70 | 0.257 | 62.79 | 95.35 |
| Molybdenum (µg) | 140.9 | 56.92 | 138.2 | 222.8 | 99.18 | 202.3 ** | 0.349 * | 65.12 | 93.02 |
| Chromium (µg) | 54.99 | 21.44 | 53.32 | 70.11 | 18.73 | 71.42 ** | 0.114 | 58.14 | 95.35 |
| Cobalt (µg) | 18.36 | 9.79 | 16.90 | 17.92 | 7.46 | 34.58 ** | 0.465 ** | 74.42 | 93.02 |
| Vitamin A (µg) | 1690 | 961.7 | 1657 | 1811 | 902.3 | 1701 | 0.197 | 65.12 | 93.02 |
| Vitamin E (mg) | 10.52 | 4.20 | 9.93 | 8.85 | 3.40 | 8.34 | 0.332 * | 60.47 | 90.70 |
| Vitamin D (µg) | 3.01 | 1.47 | 2.90 | 3.58 | 2.28 | 3.74 | 0.271 | 55.81 | 95.35 |
| Vitamin C (mg) | 190.1 | 105 | 183.6 | 202.4 | 80.21 | 194.6 | 0.398 ** | 60.47 | 97.67 |
| VitaminB1 (mg) | 1.35 | 0.46 | 1.34 | 1.56 | 0.38 | 1.51 | 0.337 * | 58.14 | 93.02 |
| Vitamin B2 (mg) | 1.89 | 0.79 | 1.80 | 1.95 | 0.47 | 2.03 | −0.130 | 51.16 | 97.67 |
| Vitamin B6 (mg) | 2.12 | 0.87 | 1.90 | 2.36 | 0.61 | 2.42 * | 0.391 ** | 67.44 | 95.35 |
| Niacin (mg) | 19.94 | 7.39 | 18.86 | 22.89 | 7.44 | 22.15 | 0.173 | 60.47 | 97.67 |
| Biotin (µg) | 35.30 | 12.81 | 35.35 | 47.89 | 14.36 | 49.04 ** | −0.055 | 46.51 | 95.35 |
| Vitamin K (µg) | 283.5 | 142.1 | 240.1 | 313.8 | 179.8 | 305.1 | 0.283 | 55.81 | 95.35 |
| Vitamin B12 (µg) | 5.27 | 2.45 | 4.82 | 6.04 | 1.74 | 6.38 | 0.268 | 60.47 | 93.02 |
| Folate (µg) | 363.9 | 164.9 | 328.4 | 323.2 | 99.06 | 320.8 | 0.298 | 62.79 | 90.70 |
| Nutrients | Our Study | 1 | 2 | 3 | 4 | 5 | 6 | 7 |
|---|---|---|---|---|---|---|---|---|
| Energy (kcal) | 2226 | 2304 | 1923 | 2221 | 2021 | 1754 | 1744 | |
| Protein (g) | 96.6 | 102 | 70 | 86 | 78.9 | 56 | 59 | |
| Total fat (g) | 101.6 | 99 | 85.7 | 75 | 53.9 | 51 | 56 | |
| Carbohydrate (g) | 248.6 | 261 | 228.3 | 300 | 306.4 | 263 | 242 | |
| Saturated fat (g) | 22.6 | 31 | 32.9 | 18 | ||||
| Cholesterol (mg) | 319.8 | 340 | 223.8 | 347 | 238 | |||
| Fiber (g) | 32.5 | 24 | 33.7 | 29 | 7 | 15 | 11 | |
| Alcohol (g) | 1.1 | 3 | 0.1 | |||||
| Sodium (mg) | 2407 | 3411 | 2417 | 2586 | 481 | 3013 | ||
| Potassium (mg) | 4939 | 2532 | 3800 | 1647 | 2481 | 2454 | ||
| Calcium (mg) | 1112 | 1289 | 715.2 | 930 | 830.6 | 608 | 519 | |
| Magnesium (mg) | 443.2 | 387 | 235.2 | 380 | 297 | 230 | ||
| Phosphorus (mg) | 1617 | 1153 | 1600 | 967.7 | 941 | 945 | ||
| Iron (mg) | 17.4 | 21 | 11.2 | 13 | 20.3 | 19 | 6.9 | |
| Zinc (mg) | 12.3 | 28 | 7.8 | 11 | 9.5 | 7.2 | ||
| Manganese (µg) | 3520 | 1800 | 2500 | |||||
| Iodine (µg) | 129.1 | 222 | 79.2 | 120 | 15.4 | 437 | ||
| Molybdenum (µg) | 187.7 | |||||||
| Chromium (µg) | 61.7 | |||||||
| Cobalt (µg) | 24.6 | |||||||
| Vitamin A (µg) | 2069 | 1900 | 1500 | 987.7 | 872 | 909 | ||
| Vitamin E (mg) | 12.3 | 11.4 | 8 | 4.3 | 10 | 8 | ||
| Vitamin D (µg) | 4.2 | 3.1 | 6 | 2.7 | 3.3 | 4.2 | ||
| Vitamin C (mg) | 271.6 | 144 | 253 | 73.9 | 160 | 127.2 | 164 | 111 |
| VitaminB1 (mg) | 1.6 | 2 | 1.5 | 1.5 | 1.6 | 0.9 | ||
| Vitamin B2 (mg) | 2.2 | 2 | 1.3 | 1.8 | 2 | 1.1 | ||
| Vitamin B6 (mg) | 2.5 | 2.1 | 2 | 2 | 1.6 | 1.2 | ||
| Niacin (mg) | 25.2 | 34 | 18.5 | 31 | 15.9 | 11 | 13.3 | |
| Biotin (µg) | 46.9 | 18.2 | ||||||
| Vitamin K(µg) | 331.6 | 219 | ||||||
| Vitamin B12 (µg) | 6.5 | 9.9 | 6 | 3.5 | 4.2 | |||
| Folate (µg) | 437.5 | 305 | 400 | 229.2 | 280 | 133 | 284 |
Publisher’s Note: MDPI stays neutral with regard to jurisdictional claims in published maps and institutional affiliations. |
© 2021 by the authors. Licensee MDPI, Basel, Switzerland. This article is an open access article distributed under the terms and conditions of the Creative Commons Attribution (CC BY) license (https://creativecommons.org/licenses/by/4.0/).
Share and Cite
Hinojosa-Nogueira, D.; Romero-Molina, D.; Giménez-Asensio, M.J.; Gonzalez-Alzaga, B.; Lopéz-Flores, I.; Cueva, S.P.d.l.; Rufián-Henares, J.Á.; Hernández, A.F.; Lacasaña, M. Validity and Reproducibility of a Food Frequency Questionnaire to Assess Nutrients Intake of Pregnant Women in the South-East of Spain. Nutrients 2021, 13, 3032. https://doi.org/10.3390/nu13093032
Hinojosa-Nogueira D, Romero-Molina D, Giménez-Asensio MJ, Gonzalez-Alzaga B, Lopéz-Flores I, Cueva SPdl, Rufián-Henares JÁ, Hernández AF, Lacasaña M. Validity and Reproducibility of a Food Frequency Questionnaire to Assess Nutrients Intake of Pregnant Women in the South-East of Spain. Nutrients. 2021; 13(9):3032. https://doi.org/10.3390/nu13093032
Chicago/Turabian StyleHinojosa-Nogueira, Daniel, Desirée Romero-Molina, María José Giménez-Asensio, Beatriz Gonzalez-Alzaga, Inmaculada Lopéz-Flores, Silvia Pastoriza de la Cueva, José Ángel Rufián-Henares, Antonio F. Hernández, and Marina Lacasaña. 2021. "Validity and Reproducibility of a Food Frequency Questionnaire to Assess Nutrients Intake of Pregnant Women in the South-East of Spain" Nutrients 13, no. 9: 3032. https://doi.org/10.3390/nu13093032
APA StyleHinojosa-Nogueira, D., Romero-Molina, D., Giménez-Asensio, M. J., Gonzalez-Alzaga, B., Lopéz-Flores, I., Cueva, S. P. d. l., Rufián-Henares, J. Á., Hernández, A. F., & Lacasaña, M. (2021). Validity and Reproducibility of a Food Frequency Questionnaire to Assess Nutrients Intake of Pregnant Women in the South-East of Spain. Nutrients, 13(9), 3032. https://doi.org/10.3390/nu13093032

