Abstract
(1) Background. Visceral adiposity index (VAI) has been recently identified as a new cardiometabolic risk marker reflecting abdominal fat distribution and dyslipidaemia. The aim of the present paper was to evaluate the relationship between VAI, daily energy intake and metabolic syndrome (MetS) in a cohort of obese Caucasian children and adolescents, aged 8 to 15 years. (2) Methods. Consecutive Italian children and adolescents with obesity, according to World Health Organization were enrolled. Anthropometric parameters and blood pressure were measured. Fasting blood samples have been analyzed for lipids, insulin and glucose levels. MetS was diagnosed using identification and prevention of dietary- and lifestyle-induced health effects in children and infants (IDEFICS) or International Diabetes Federation (IDF) criteria according to age. Homeostatic model assessment index (HOMA-IR), quantitative insulin sensitivity check index (QUICKI), A body shape index (ABSI) and VAI were calculated. Multivariable logistic regression analyses with sex, age and each anthropometric parameter (body mass index (BMI) z-score, ABSI, waist-to-height ratio (WHR)) or VAI was performed to predict MetS. Receiver operation curve (ROC) analysis was used to define the optimal VAI cut-off to identify MetS. Multiple regression was performed to predict the BMI z-score and VAI from daily energy intake after adjusting for age and sex. (3) Results. Six hundred and thirty-seven (313 boys and 324 girls) children and adolescents with obesity with median age 11 (interquartile range 10–13) years were included in the analysis. MetS was diagnosed in 79 patients. VAI correlated with BMI, WHR, ABSI, HOMA-IR, QUICKI, systolic blood pressure, low- and high-density lipoprotein cholesterol, triglycerides and triglycerides-to-HDL ratio (p < 0.050). Optimal VAI cut-off (AUC) values to identify MetS were 1.775 (0.774), 1.685 (0.776) and 1.875 (0.797) in the whole population, boys and girls, respectively. Energy intake was positively associated with BMI z-score but no association was found with VAI. (4) Conclusion. VAI is a promising tool to identify MetS in children and adolescents with obesity and should be used in the management of abdominal obesity together with dietary assessment.
1. Introduction
In terms of prevalence and economic significance [1,2] pediatric obesity is considered one of the most important public health problems of the 21st century [3]. Both during childhood and adolescence, children with obesity can often present glucose metabolism disorders such as insulin resistance, also dyslipidemia or hypertension, all classic signs of the metabolic syndrome (MetS) [4,5]. Most of these metabolic disorders are driven by excess central (intra-abdominal) body fat distribution [6]. It is well recognized that behavioral changes and lifestyle modifications, including dietary habits, are essential to prevent and manage childhood obesity [7,8,9,10].
In epidemiological studies and clinical settings, many anthropometric indices reflecting general and abdominal obesity, have been proposed. Body mass index (BMI) is the most frequently used index; it is a substitute for body composition assessment [11], which as a limitation in the impossibility to distinguish lean mass from fat mass and its distribution [12]. Accordingly, the use of age- and sex-adjusted BMI z-score has been recommended in pediatric age instead of BMI alone; however, the association between cardio metabolic-risk and pediatric BMI z-score is not linear [13].
Other indexes that could be more predictive in identifying the metabolic syndrome have been evaluated. Waist circumference (WC), which also reflects the distribution and percentage of body fat, has been studied to assess body composition and cardio-metabolic risk [14]. Studies showed that WC is more predictive than BMI for hypertension and impaired glucose metabolism [15,16].
An index that offers more advantages than BMI and WC is the waist to height ratio (WHR) [17] and it has, therefore, been suggested as a good predictor of MetS in pediatric age [18]. During routine outpatient evaluation, it was suggested by Joyce et al., to use WHR as a screening measure to identify adolescent with high risk for hypertension [19]. Even though several studies have been unable to demonstrate a significant difference in predicting cardio-metabolic risks for the above-mentioned indices [20,21,22].
In addition, A body shape index (ABSI) has been validated as an index related to abdominal and peripheral fat [23]. It further underlines the critical relationship between metabolic and cardiovascular alterations and waist circumference in obesity [24,25]. In the pediatric population of children with obesity and overweight, ABSI has been shown to have significant associations with in cardiometabolic risk markers [26,27].
Visceral adiposity index (VAI) has recently been identified as a new cardio-metabolic risk marker as it reflects abdominal fat distribution and dyslipidemia. It has already been shown to be associated with resistance to insulin action, abnormalities in glucose balance and an increased risk of cardiovascular disease in adults [28,29,30]. This index is calculated according to a sex-specific mathematical model that relates some anthropometric measures (BMI and WC) to some laboratory parameters (triglycerides (TG) and high-density lipoprotein cholesterol (HDL-C)) [31]. Furthermore, VAI index is also a useful tool for detecting MetS in children and adolescent [32].
However, a universally recognized reference value for VAI predictive of increased cardio-metabolic risk has not been determined to date in the pediatric population. In 2019, Ejtahed et al. published a cross-sectional study conducted in a population of 3843 Iranian students aged 7 to 18 years with the aim of obtaining cut-off values for VAI to assess its relationship with MetS [32]. The cut-offs identified for VAI in predicting MetS were 1.58, 1.30 and 1.78 in the total population, boys and girls, respectively. In this age group, VAI has been shown to be associated with cardio-metabolic risk factors such as visceral obesity, altered fasting blood glucose (IFG), reduced HDL-C and increased low-density lipoprotein cholesterol (LDL-C); therefore, VAI can be used as a surrogate marker of visceral adiposity and a good predictor of MetS in pediatric age.
Moreover, a study evaluated the association between dietary macronutrient proportions and prospective VAI changes in an adult population and demonstrated that a higher dietary proportion of protein and animal-derived monounsaturated fatty acids may be positively associated with VAI changes and risk of visceral adiposity dysfunction [33]. Nevertheless, to date, there are no studies correlating energy intake and VAI conducted on children and adolescents.
The primary aim of this cross-sectional study was to evaluate the relationship between the anthropometric index VAI, daily energy intake and MetS in a cohort of obese Caucasian children and adolescents, aged 8 to 15 years. A secondary aim was to identify which of different anthropometric adiposity indexes allows a better assessment of the probability of having MetS.
2. Materials and Methods
2.1. Cohort
We performed an observational cross-sectional study. Consecutive Caucasian children and adolescents, diagnosed as obese according to World Health Organization (WHO) criteria [34], aged 8–15 years, recruited at V. Buzzi Children’s Hospital in Milan (Italy), International Center for the Assessment of Nutritional Status (ICANS), University of Milan and Istituto Auxologico Italiano, IRCCS, Lab of Nutrition and Obesity Research in Milan, between January 2014 and January 2019, have been enrolled.
We excluded children and adolescents affected by genetic or syndromic obesity (e.g., Prader Willi syndrome, Bardet–Biedl syndrome and genes related to the leptin–melanocortin axis) or by hormonal conditions (e.g., Cushing’s syndrome, hypothyroidism, growth factor deficiency and congenital hyperinsulinism) [8] besides obesity, on use of antihypertensive, antidiabetic or lipid-lowering medication and/or medication that could influence body weight. The study was conducted in accordance with the local medical ethical committee (protocol number 2015/ST/135). Written informed consent was given by a parent for all enrolled subjects. On the same morning, the enrolled subjects underwent a medical interview, an anthropometric assessment (with detection of BMI, ABSI, WHR and VAI), a measurement of systolic blood pressure (SBP) and diastolic (DBP), and a blood sample.
2.2. Measurements
2.2.1. Anthropometry
Weight and height were assessed applying a medical-certified scale and children’s medical-certified stadiometer, respectively following international guidelines [35]. BMI was calculated as [36]:
BMI values were transformed into related z-scores using the WHO reference growth charts for age and sex [34]. Obesity was defined as BMI z-score ≥2. Waist circumference was measured trough an inextensible anthropometric tape positioned parallel to the floor, at midpoint between costal margin and iliac crest, in a standing position, at the end of a quiet expiration [35].
Fat mass (FM), FM percentage (FM%), fat-free mass (FFM) and fat-free mass percentage (FFM%) were estimated using a bioelectrical impedance analysis system (BC 418 MA, Tanita Corp, Nutrients 2020, 12, 1785 3 of 13 Tokyo, Japan [37]. An oscillometer device was used to check blood pressure (BP), according to the national recommendations [38].
2.2.2. Adiposity Indices
ABSI was calculated according to the following formula [39], rounding BMI to the second decimal place:
WHR was calculated as [40]:
A WHR value over 0.60 has been recently associated to a higher risk for MetS in children and adolescents [41].
VAI reflects fat distribution and metabolism and is calculated as:
WC is measured in centimeters, BMI in Kg/m2, TG and HDL-C in mmol/L [29].
2.2.3. Biochemistry
Blood samples were obtained in standardized conditions: From 8:30 to 9:00, after 12 h of fasting for measurement of total cholesterol (TC), HDL-C, LDL-C, TG, insulin and fasting glucose. US National Heart, Lung, and Blood Institute (NHLBI) lipid cutoff values, based on US normative data, were used to detect dyslipidemia [42]. Insulin and fasting glucose, levels were compared to our Clinical Laboratory range values.
2.2.4. Dietary Habits
Subjects’ dietary habits were assessed through a food frequency questionnaire (FFQ) developed in 1990 at Department of Health Sciences, University of Milan, based on the original Block-FFQ [43,44] and revised in 2008 according to the full-length Block 2005 FFQ © (NutritionQuest, Berkeley, CA, USA) and the 2007 new national food composition tables [45]. The FFQ is the most common method for dietary assessment used in large epidemiological studies [46]. The questionnaire consists of a list of 120 foods and beverages with response categories to indicate usual (daily, weekly or monthly) frequency of consumption and portion (full, half or double portion). The questionnaire was administered by dieticians as a face-to-face interview to children (or adolescents) together with their parents. Usual portion sizes were estimated using household measures and the weight (e.g., pasta) or unit (e.g., fruit juice) of the purchase. In addition, a 24 h recall was recorded at the end of the inter-view to standardize the usual serving size. Energy intake analysis was performed using an ad hoc PC software program capable of elaborating diets and analyzed food diaries into macro and micronutrients (MetadietaVR, 2013; METEDAsrl, via S.Pellico 4, San Benedetto del Tronto, AP, Italy).
2.2.5. Metabolic Syndrome
Distinct criteria have been applied for the diagnosis of MetS according to age groups. For children aged from 7 to 10 years, MetS was defined as reported by Ahrens et al. [47] in the identification and prevention of dietary- and lifestyle-induced health effects in children and infants (IDEFICS) study, with at least three of the following criteria: WC ≥90th percentile [48]; SBP or DBP ≥90th percentile by sex and age [49]; TG ≥90th percentile or HDL-C ≤10th percentile by sex and age [50]; homeostatic model assessment for insulin resistance (HOMA-IR) ≥90th percentile or fasting blood glucose ≥90th percentile by sex and age [51]. For children aged from 10 to 16 years, MetS was identify as proposed by the International Diabetes Federation (IDF) recommendations [4], with WC ≥90th percentile byage and sex [52] combined with at least 2 of the following criteria: Fasting blood glucose ≥100 mg/dL (≥5.6 mmol/L); TG ≥150 mg/dL (≥1.7 mmol/L); HDL-C <40 mg/dL; SBP ≥130 mmHg or DBP ≥85 mmHg.
2.2.6. Cardiometabolic Risk Assessment
HOMA-IR index, HOMA of percent β-cell function (HOMA-β) and the quantitative insulin-sensitivity check index (QUICKI) are useful tools in the clinical practice to detect subjects at risk for type 2 diabetes mellitus, especially children and adolescents [53].
The HOMA-IR was calculated using the following formula [54]:
It is the most widely used method to assess the insulin resistance. HOMA-IR changes by age and gender. Recently, HOMA-IR reference values were published for a large population of young, normal weight and obese Caucasians. According to Shashaj et al., a HOMA-IR value ≥75th percentile in obese participants identifies adolescents with cardio-metabolic risk factors [55].
HOMA-β is an index of β-cell function, calculated as [56]:
QUICKI, considered as a surrogate measure of insulin sensitivity [57] was calculated using the following formula:
considering a reference value of 0.37 ± 0.04 [57,58].
The triglyceride–glucose index (TyG index) mostly indicates muscles’ resistance to insulin action [59] and it is calculated as:
Children and adolescents at risk of atherogenic dyslipidemia and impaired fasting glucose (IFG) have a value of TG (mg/dl)/HDL-C (mg/dl) ratio (TG/HDL) ≥2.2 [60,61].
Moreover, VAI index is also a useful tool for detecting MetS in children and adolescent [32].
2.3. Statistical Analysis
Shapiro–Wilk test was used to assess normality of each continuous variable. As all tested variables were non-normally distributed, they were summarized with median (interquartile range). Discrete variables were reported as frequency and percentage. Characteristics of patients with and without MetS, aged <10 and ≥10 years, boys and girls, with BMI z-score <3 and ≥ 3, were compared using Mann–Whitney U test. χ2 test was used to compare frequencies of discrete variables among different subgroups. Spearman correlation test was used to assess continuous variables correlations. Sex- and age-adjusted logistic multivariable analysis models were used to assess the association between BMI z-score, ABSI z-score, WHR z-score or VAI z-score with MetS. McFadden pseudo-R2 was used as a measure of association. Akaike informative criterion (AIC) was used to compare different models: The choice of the best predictive model was based on the lower AIC. Receiver operation curve (ROC) analysis with Youden J statistics was used to identify the optimal VAI cut-off to detect MetS. Multivariable linear regression was performed to predict BMI z-score and VAI (in separate models) from daily energy intake after adjusting for age and sex. p-values < 0.050 were considered statistically significant. Statistical analyses were performed using SPSS Statistics version 20 (IBM Corp., Armonk, NY, USA) and R version 4 (R Core Team, Vienna, Austria).
3. Results
Six hundred and thirty-seven (313 boys, and 324 girls) children and adolescents with obesity were included in the analysis. Median age was 11 (interquartile range 10–13) years. Anthropometric characteristics, glyco-metabolic and lipid parameters, VAI and MetS prevalence in the whole cohort and in prespecified subpopulations according to sex, age, BMI z-score and presence of MetS are shown in Table 1 and Table 2 and Supplementary Table S1. Boys were taller, had higher BMI z-score and ABSI than girls. Instead, girls had significantly higher HOMA- β and VAI (Table 1).
Table 1.
Characteristics of the population according to gender and age group
Table 2.
Characteristics of the population according to BMI z-score and the presence/absence of MetS.
Among subjects with BMI z-score ≥3 there were more girls; they were significantly younger, shorter, had significantly higher WC, WHR, HOMA-IR, HOMA-β, glycemia and DBP with QUICKI significantly lower (Table 2).
MetS was diagnosed in 79 patients (12.4%); MetS patients were significantly younger and shorter, had higher, HOMA-IR, HOMA-β, TyG index, TC, TG, LDL-C, triglycerides-to-HDL ratio, VAI and SBP, and a lower BMI, WC, HDL-C and QUICKI (p < 0.050). BMI z-score, ABSI and WHR in patients with or without MetS did not differ significantly (Table 2).
VAI significantly correlated with BMI, WC, WHR, ABSI, HOMA-IR, HOMA-β, TyG index, QUICKI, TC, TG, HDL-C, LDL-C, triglycerides-to-HDL ratio and SBP (Table 3, Supplementary Table S2).
Table 3.
Correlation heatmap of adiposity indices, glyco-metabolic indices, lipids, TG/HDL-C ratio, VAI and blood pressure.
A logistic multivariable model including sex, age and VAI was the best predictor of MetS when compared to models including sex, age, and BMI z-score or ABSI z-score or WHR z-score (p < 0.050, ψR2 0.229) (Table 4).
Table 4.
Logistic regression coefficients (standard errors) of adiposity indices and VAI with the presence of MetS.
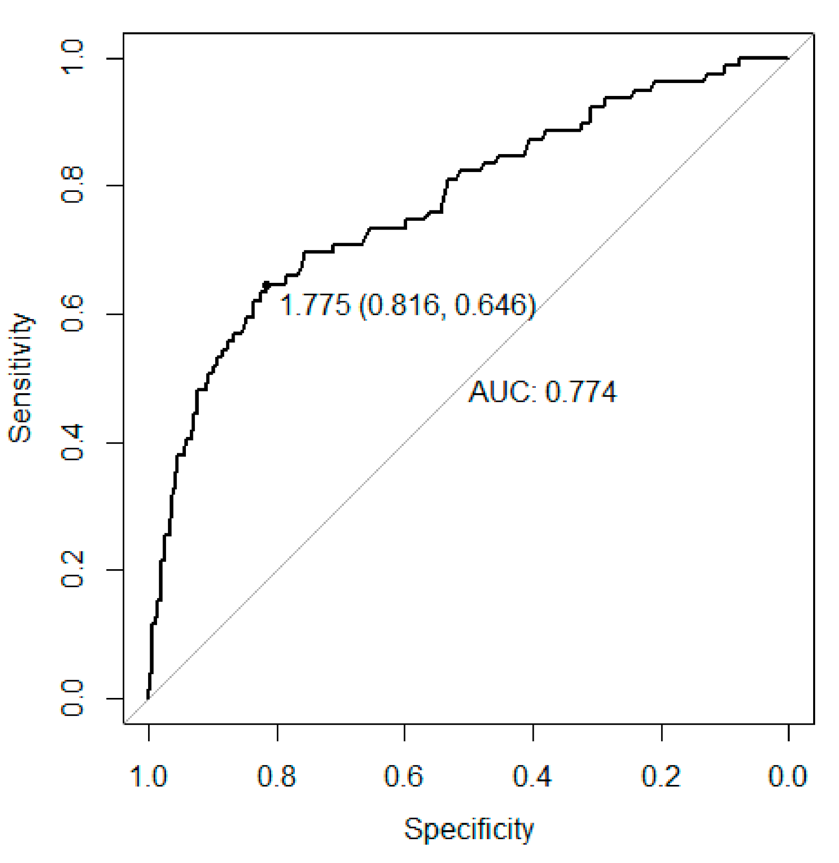
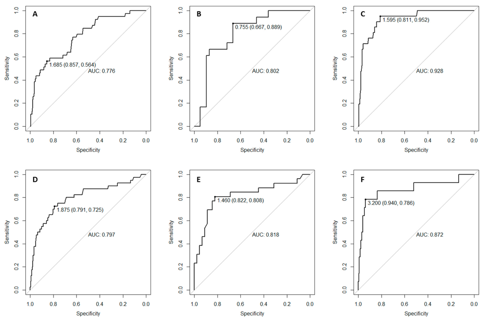
ROC analysis identified the optimal VAI cut-off to predict MetS. The optimal cut-off (AUC) was 1.775 (0.7744), 1.685 (0.7761) and 1.875 (0.7968) in the whole population, boys and girls, respectively (Figure 1 and Figure 2).
Figure 1.
Receiver operation curve (ROC) analysis to find the optimal Visceral Adiposity Index (VAI) cut-off to identify MetS in the whole population.
Figure 2.
ROC analysis to find the optimal VAI cut-off to identify MetS in boys (A), boys aged <10 years (B), boys aged ≥10 years (C), girls (D), girls aged <10 years (E) and girls aged ≥10 years (F).
Energy intake was available in a subset of 272 patients. By multiple regression analysis, a model including energy intake, sex and age was positively associated with BMI z-score (p < 0.001) but not with VAI, in the whole cohort and in subgroups by sex and age <10 years and ≥10 years.
4. Discussion
In the present study six hundred and thirty-seven children and adolescents with obesity were studied. Seventy-nine patients (12.4%) were diagnosed with MetS in our population. This finding is comparable to the overall prevalence of MetS in other cross-sectional studies conducted in obese pediatric population, with rates ranging from 10% to 38% [62,63,64,65,66]. The real prevalence of this condition in children and adolescents is hard to estimate due to the lack of a consensus on its definition [62,63,64,65], we tested for the first time the relationship between different anthropometric and adiposity indexes, including VAI, and MetS risk in a large sample of Caucasian children and adolescents with obesity, also taking into account the effects of sex and age. BMI z-score, ABSI and WHR were not different in patients with or without MetS. A logistic multivariable model including sex, age and VAI was the best predictor of MetS when compared to models including sex, age, and BMI z-score or ABSI or WHR. Our results are interesting considering that VAI, calculated according to a sex-specific mathematical model that relates some anthropometric measures (BMI and WC) to some laboratory parameters (TG and HDL-C) has been recently presented as a new marker to better define cardiometabolic risk compared to BMI alone, both in children and in adults [28,29,30,32]. We also identified optimal VAI cut-offs to help in diagnosing MetS with high specificity. It is important to note that, as cut-offs vary in relation to sex and age group, it would be better to use sex- and age-corrected cut-offs, as proposed in the results, to identify subjects at higher risk of having MetS. It is also important to note that VAI cut-offs may differ if alternative criteria for MetS diagnosis are used.
Visceral abdominal fat tissue (VAT) has been shown to be fundamental in the pathogenesis of MetS, both in adults and in children [67]. Computed tomography (CT) and magnetic resonance imaging (MRI) are the reference methods for the assessment of VAT, but they cannot be used in routine clinical practice and epidemiological research. VAT by CT and MRI correlation with VAI has never been investigated.
Multiple regression was performed to predict the BMI z-score and VAI from daily energy intake after adjusting for age and sex. Energy intake was positively associated with BMI z-score, but no association was found with VAI. These findings are consistent with a recent our study [68]. To our knowledge no other study has investigated the association between daily energy intake and VAI.
Moreover, in our study a ROC analysis identified the optimal VAI cut-off to identify MetS. The optimal cut-off was 1.775, 1.685 and 1.875 in the whole population, boys and girls, respectively. As our study was conducted in a cohort of children and adolescents with obesity, VAI cut-offs are slightly higher than the ones published by Ejtahed et al. in a cohort of Iranian children and adolescents that included obese and non-obese subjects; as expected VAI cut-offs in our study had also a higher specificity and lower sensitivity than those reported by Ejtahed et al. [32].
The present study has noteworthy strengths. First of all, we studied a large cohort representing a wide range of age of both sexes, contributing to obtaining robust results. Additionally, the studied sample can be considered homogeneous, as participating children and adolescents were from the same geographical region, and shared similar culture, lifestyle, and eating habits.
The study also has potential limitations. Indeed, the sample of Caucasian children and adolescent was self-selected. Our findings are not necessarily applicable to general populations and to other ethnic groups. Therefore, more studies are needed to determine whether the results obtained are consistent in larger samples of children and adolescents with obesity in the same age group.
5. Conclusions
In conclusion, VAI is a promising tool to identify MetS in children and adolescents with obesity and should be used in the management of abdominal obesity together with dietary assessment. Further prospective longitudinal studies aiming to evaluate the capability of VAI cut-offs to predict longitudinal outcomes in pediatric population are warranted [66], also including the evaluation of VAT.
Supplementary Materials
The following are available online at https://www.mdpi.com/2072-6643/13/2/413/s1, Table S1: Characteristics of the subpopulations according to gender and age, Table S2: Heatmap of correlations of VAI with adiposity indices, glyco-metabolic indices, lipids, TG/HDL-C ratio and blood pressure in the subpopulations according to gender and age.
Author Contributions
Conceptualization, E.V.; methodology, S.V.; formal analysis, A.D.T., S.V., A.L.; data curation, S.V., A.D.T., D.D., V.C., E.D.P., A.L., L.G.; writing—original draft preparation, S.V. and A.D.T.; writing—review and editing, E.V., S.B.; supervision, G.V.Z., A.B.; All authors have read and agreed to the published version of the manuscript.
Funding
This research received no external funding.
Institutional Review Board Statement
The study was conducted according to the guidelines of the Declaration of Helsinki, and approved by the Comitato Etico Interaziendale Milano Area A (protocol code 2015/ST/135, approved on 16 September 2015).
Informed Consent Statement
Informed consent was obtained from all subjects involved in the study.
Data Availability Statement
The data presented in this study are available on request from the corresponding author.
Conflicts of Interest
The authors declare no conflict of interest.
References
- Arroyo-Johnson, C.; Mincey, K.D. Obesity Epidemiology Worldwide. Gastroenterol. Clin. N. Am. 2016, 45, 571–579. [Google Scholar] [CrossRef] [PubMed]
- Tremmel, M.; Gerdtham, U.-G.; Nilsson, P.; Saha, S. Economic Burden of Obesity: A Systematic Literature Review. Int. J. Environ. Res. Public Health 2017, 14, 435. [Google Scholar] [CrossRef] [PubMed]
- World Health Organization Childhood Overweight and Obesity. Available online: http://www.who.int/dietphysicalactivity/childhood/en/ (accessed on 30 December 2020).
- Zimmet, P.; Alberti, G.K.M.M.; Kaufman, F.; Tajima, N.; Silink, M.; Arslanian, S.; Wong, G.; Bennett, P.; Shaw, J.; Caprio, S. The metabolic syndrome in children and adolescents—An IDF consensus report. Pediatr. Diabetes 2007, 8, 299–306. [Google Scholar] [CrossRef] [PubMed]
- Engin, A. The Definition and Prevalence of Obesity and Metabolic Syndrome; Springer: Cham, Switzerland, 2017; pp. 1–17. [Google Scholar]
- Kelishadi, R.; Mirmoghtadaee, P.; Najafi, H.; Keikha, M. Systematic review on the association of abdominal obesity in children and adolescents with cardio-metabolic risk factors. J. Res. Med. Sci. 2015, 20, 294–307. [Google Scholar]
- Styne, D.M.; Arslanian, S.A.; Connor, E.L.; Farooqi, I.S.; Murad, M.H.; Silverstein, J.H.; Yanovski, J.A. Pediatric obesity-assessment, treatment, and prevention: An endocrine society clinical practice guideline. J. Clin. Endocrinol. Metab. 2017, 102, 709–757. [Google Scholar] [CrossRef]
- Valerio, G.; Maffeis, C.; Saggese, G.; Ambruzzi, M.A.; Balsamo, A.; Bellone, S.; Bergamini, M.; Bernasconi, S.; Bona, G.; Calcaterra, V.; et al. Diagnosis, treatment and prevention of pediatric obesity: Consensus position statement of the Italian Society for Pediatric Endocrinology and Diabetology and the Italian Society of Pediatrics. Ital. J. Pediatr. 2018, 44, 88. [Google Scholar] [CrossRef]
- Katzmarzyk, P.T.; Barlow, S.; Bouchard, C.; Catalano, P.M.; Hsia, D.S.; Inge, T.H.; Lovelady, C.; Raynor, H.; Redman, L.M.; Staiano, A.E.; et al. An evolving scientific basis for the prevention and treatment of pediatric obesity. Int. J. Obes. 2014, 38, 887–905. [Google Scholar] [CrossRef]
- Al-Khudairy, L.; Loveman, E.; Colquitt, J.L.; Mead, E.; Johnson, R.E.; Fraser, H.; Olajide, J.; Murphy, M.; Velho, R.M.; O’Malley, C.; et al. Diet, physical activity and behavioural interventions for the treatment of overweight or obese adolescents aged 12 to 17 years. Cochrane Database Syst. Rev. 2017, 6, CD012691. [Google Scholar] [CrossRef]
- August, G.P.; Caprio, S.; Fennoy, I.; Freemark, M.; Kaufman, F.R.; Lustig, R.H.; Silverstein, J.H.; Speiser, P.W.; Styne, D.M.; Montori, V.M.; et al. Prevention and Treatment of Pediatric Obesity: An Endocrine Society Clinical Practice Guideline Based on Expert Opinion. J. Clin. Endocrinol. Metab. 2008, 93, 4576–4599. [Google Scholar] [CrossRef]
- Romieu, I.; Dossus, L.; Barquera, S.; Blottière, H.M.; Franks, P.W.; Gunter, M.; Hwalla, N.; Hursting, S.D.; Leitzmann, M.; Margetts, B.; et al. Energy balance and obesity: what are the main drivers? Cancer Causes Control 2017, 28, 247–258. [Google Scholar] [CrossRef]
- Flegal, K.M.; Ogden, C.L. Childhood Obesity: Are We All Speaking the Same Language? Adv. Nutr. 2011, 2, 159S–166S. [Google Scholar] [CrossRef] [PubMed]
- World Health Organization. Waist Circumference and Waist-Hip Ratio: Report of a WHO Expert Consultation, Geneva, Switzerland, 8–11 December 2008; World Health Organization: Geneva, Switzerland, 2011; ISBN 9789241501491. [Google Scholar]
- Lentferink, Y.E.; Elst, M.A.J.; Knibbe, C.A.J.; van der Vorst, M.M.J. Predictors of Insulin Resistance in Children versus Adolescents with Obesity. J. Obes. 2017, 2017, 3793868. [Google Scholar] [CrossRef] [PubMed]
- Rodea-Montero, E.R.; Evia-Viscarra, M.L.; Apolinar-Jiménez, E. Waist-to-Height Ratio Is a Better Anthropometric Index than Waist Circumference and BMI in Predicting Metabolic Syndrome among Obese Mexican Adolescents. Int. J. Endocrinol. 2014, 2014, 195407. [Google Scholar] [CrossRef] [PubMed]
- Ashwell, M.; Gibson, S. Waist-to-height ratio as an indicator of ‘early health risk’: simpler and more predictive than using a ‘matrix’ based on BMI and waist circumference. BMJ Open 2016, 6, e010159. [Google Scholar] [CrossRef] [PubMed]
- Ochoa Sangrador, C.; Ochoa-Brezmes, J. Waist-to-height ratio as a risk marker for metabolic syndrome in childhood. A meta-analysis. Pediatr. Obes. 2018, 13, 421–432. [Google Scholar] [CrossRef] [PubMed]
- Tee, J.Y.H.; Gan, W.Y.; Lim, P.Y. Comparisons of body mass index, waist circumference, waist-to-height ratio and a body shape index (ABSI) in predicting high blood pressure among Malaysian adolescents: A cross-sectional study. BMJ Open 2020, 10, e032874. [Google Scholar] [CrossRef]
- Freedman, D.S.; Kahn, H.S.; Mei, Z.; Grummer-Strawn, L.M.; Dietz, W.H.; Srinivasan, S.R.; Berenson, G.S. Relation of body mass index and waist-to-height ratio to cardiovascular disease risk factors in children and adolescents: the Bogalusa Heart Study. Am. J. Clin. Nutr. 2007, 86, 33–40. [Google Scholar] [CrossRef]
- Wormser, D.; Kaptoge, S.; Di Angelantonio, E.; Wood, A.M.; Pennells, L.; Thompson, A.; Sarwar, N.; Kizer, J.R.; Lawlor, D.A.; Nordestgaard, B.G.; et al. Separate and combined associations of body-mass index and abdominal adiposity with cardiovascular disease: Collaborative analysis of 58 prospective studies. Lancet 2011, 377, 1085–1095. [Google Scholar] [CrossRef]
- Brambilla, P.; Bedogni, G.; Heo, M.; Pietrobelli, A. Waist circumference-to-height ratio predicts adiposity better than body mass index in children and adolescents. Int. J. Obes. 2013, 37, 943–946. [Google Scholar] [CrossRef]
- Bertoli, S.; Leone, A.; Krakauer, N.Y.; Bedogni, G.; Vanzulli, A.; Redaelli, V.I.; De Amicis, R.; Vignati, L.; Krakauer, J.C.; Battezzati, A. Association of Body Shape Index (ABSI) with cardio-metabolic risk factors: A cross-sectional study of 6081 Caucasian adults. PLoS ONE 2017, 12, e0185013. [Google Scholar] [CrossRef]
- Wang, F.; Chen, Y.; Chang, Y.; Sun, G.; Sun, Y. New anthropometric indices or old ones: which perform better in estimating cardiovascular risks in Chinese adults. BMC Cardiovasc. Disord. 2018, 18, 14. [Google Scholar] [CrossRef] [PubMed]
- Bozorgmanesh, M.; Sardarinia, M.; Hajsheikholeslami, F.; Azizi, F.; Hadaegh, F. CVD-predictive performances of “a body shape index” versus simple anthropometric measures: Tehran lipid and glucose study. Eur. J. Nutr. 2016, 55, 147–157. [Google Scholar] [CrossRef] [PubMed]
- Mameli, C.; Krakauer, N.Y.; Krakauer, J.C.; Bosetti, A.; Ferrari, C.M.; Moiana, N.; Schneider, L.; Borsani, B.; Genoni, T.; Zuccotti, G. The association between a body shape index and cardiovascular risk in overweight and obese children and adolescents. PLoS ONE 2018, 13, e0190426. [Google Scholar] [CrossRef]
- Leone, A.; Vizzuso, S.; Brambilla, P.; Mameli, C.; Ravella, S.; De Amicis, R.; Battezzati, A.; Zuccotti, G.; Bertoli, S.; Verduci, E. Evaluation of Different Adiposity Indices and Association with Metabolic Syndrome Risk in Obese Children: Is there a Winner? Int. J. Mol. Sci. 2020, 21, 4083. [Google Scholar] [CrossRef]
- Amato, M.C.; Giordano, C.; Pitrone, M.; Galluzzo, A. Cut-off points of the visceral adiposity index (VAI) identifying a visceral adipose dysfunction associated with cardiometabolic risk in a Caucasian Sicilian population. Lipids Health Dis. 2011, 10, 183. [Google Scholar] [CrossRef]
- Mohammadreza, B.; Farzad, H.; Davoud, K.; Prof, A.F. Prognostic significance of the Complex “Visceral Adiposity Index” vs. simple anthropometric measures: Tehran lipid and glucose study. Cardiovasc. Diabetol. 2012, 11, 20. [Google Scholar] [CrossRef]
- Al-Daghri, N.M.; Al-Attas, O.S.; Alokail, M.S.; Alkharfy, K.M.; Charalampidis, P.; Livadas, S.; Kollias, A.; Sabico, S.L.; Chrousos, G.P. Visceral adiposity index is highly associated with adiponectin values and glycaemic disturbances. Eur. J. Clin. Investig. 2013, 43, 183–189. [Google Scholar] [CrossRef]
- Petta, S.; Amato, M.; Cabibi, D.; Cammà, C.; Di Marco, V.; Giordano, C.; Galluzzo, A.; Craxì, A. Visceral adiposity index is associated with histological findings and high viral load in patients with chronic hepatitis C due to genotype 1. Hepatology 2010, 52, 1543–1552. [Google Scholar] [CrossRef]
- Ejtahed, H.-S.; Kelishadi, R.; Hasani-Ranjbar, S.; Angoorani, P.; Motlagh, M.E.; Shafiee, G.; Ziaodini, H.; Taheri, M.; Qorbani, M.; Heshmat, R. Discriminatory Ability of Visceral Adiposity Index as an Indicator for Modeling Cardio-Metabolic Risk Factors in Pediatric Population: The CASPIAN-V Study. J. Cardiovasc. Thorac. Res. 2019, 11, 280–286. [Google Scholar] [CrossRef]
- Moslehi, N.; Ehsani, B.; Mirmiran, P.; Hojjat, P.; Azizi, F. Association of dietary proportions of macronutrients with visceral adiposity index: Non-substitution and iso-energetic substitution models in a prospective study. Nutrients 2015, 7, 8859–8870. [Google Scholar] [CrossRef]
- WHO. BMI-for-Age; WHO: Geneva, Switzerland, 2014. [Google Scholar]
- Lohman, T.G.; Roche, A.F.; Martorell, R. Anthropometric Standardization Reference Manual; Human Kinetics Books: Champaign, IL, USA, 1988; ISBN 9780873221214. [Google Scholar]
- NHLBI Obesity Education Initiative Expert Panel on the Identification Evaluation and Treatment Obesity in Adults. Clinical Guidelines on the Identification, Evaluation, and Treatment of Overweight and Obesity in Adults; National Heart, Lung and Blood Institute, Ed.; NHLBI Obesity Education Initiative Expert Panel on the Identification, Evaluation, and Treatment of Obesity in Adults (US): Bethesda, MD, USA, 1998. [Google Scholar]
- Völgyi, E.; Tylavsky, F.A.; Lyytikäinen, A.; Suominen, H.; Alén, M.; Cheng, S. Assessing body composition with DXA and bioimpedance: effects of obesity, physical activity, and age. Obesity (Silver Spring Md.) 2008, 16, 700–705. [Google Scholar] [CrossRef] [PubMed]
- Flynn, J.T.; Kaelber, D.C.; Baker-Smith, C.M.; Blowey, D.; Carroll, A.E.; Daniels, S.R.; de Ferranti, S.D.; Dionne, J.M.; Falkner, B.; Flinn, S.K.; et al. Clinical Practice Guideline for Screening and Management of High Blood Pressure in Children and Adolescents. Pediatrics 2017, 140, e20171904. [Google Scholar] [CrossRef] [PubMed]
- Krakauer, N.Y.; Krakauer, J.C. A new body shape index predicts mortality hazard independently of body mass index. PLoS ONE 2012, 7, e39504. [Google Scholar] [CrossRef] [PubMed]
- Yoo, E.-G. Waist-to-height ratio as a screening tool for obesity and cardiometabolic risk. Korean J. Pediatr. 2016, 59, 425–431. [Google Scholar] [CrossRef]
- Santoro, N.; Amato, A.; Grandone, A.; Brienza, C.; Savarese, P.; Tartaglione, N.; Marzuillo, P.; Perrone, L.; Miraglia Del Giudice, E. Predicting metabolic syndrome in obese children and adolescents: look, measure and ask. Obes. Facts 2013, 6, 48–56. [Google Scholar] [CrossRef]
- 42. Expert Panel on Integrated Guidelines for Cardiovascular Health and Risk Reduction in Children and Adolescents. National Heart, Lung, and Blood Institute Expert panel on integrated guidelines for cardiovascular health and risk reduction in children and adolescents: summary report. Pediatrics 2011, 128 (Suppl. 5), S213–S256. [CrossRef]
- Block, G.; Hartman, A.M.; Dresser, C.M.; Carroll, M.D.; Gannon, J.; Gardner, L. A data-based approach to diet questionnaire design and testing. Am. J. Epidemiol. 1986, 124, 453–469. [Google Scholar] [CrossRef]
- Bellù, R.; Ortisi, M.T.; Riva, E.; Banderali, G.; Cucco, I.; Giovannini, M. Validity assessment of a food frequency questionnaire for school-age children in Northern Italy. Nutr. Res. 1995, 15, 1121–1128. [Google Scholar] [CrossRef]
- Istituto Nazionale di Ricerca Per gli Alimenti e la Nutrizione. Tabelle di Composizione Degli Alimenti. Available online: http://nut.entecra.it/646/tabelle_di_composizione_degli_alimenti.html (accessed on 20 June 2020).
- Kolodziejczyk, J.K.; Merchant, G.; Norman, G.J. Reliability and validity of child/adolescent food frequency questionnaires that assess foods and/or food groups. J. Pediatr. Gastroenterol. Nutr. 2012, 55, 4–13. [Google Scholar] [CrossRef]
- Ahrens, W.; Moreno, L.A.; Mårild, S.; Molnár, D.; Siani, A.; De Henauw, S.; Böhmann, J.; Günther, K.; Hadjigeorgiou, C.; Iacoviello, L.; et al. Metabolic syndrome in young children: definitions and results of the IDEFICS study. Int. J. Obes. 2014, 38, S4–S14. [Google Scholar] [CrossRef]
- Nagy, P.; Kovacs, E.; Moreno, L.A.; Veidebaum, T.; Tornaritis, M.; Kourides, Y.; Siani, A.; Lauria, F.; Sioen, I.; Claessens, M.; et al. Percentile reference values for anthropometric body composition indices in European children from the IDEFICS study. Int. J. Obes. 2014, 38, S15–S25. [Google Scholar] [CrossRef]
- Barba, G.; Buck, C.; Bammann, K.; Hadjigeorgiou, C.; Hebestreit, A.; Mårild, S.; Molnár, D.; Russo, P.; Veidebaum, T.; Vyncke, K.; et al. Blood pressure reference values for European non-overweight school children: The IDEFICS study. Int. J. Obes. 2014, 38, S48–S56. [Google Scholar] [CrossRef] [PubMed]
- De Henauw, S.; Michels, N.; Vyncke, K.; Hebestreit, A.; Russo, P.; Intemann, T.; Peplies, J.; Fraterman, A.; Eiben, G.; de Lorgeril, M.; et al. Blood lipids among young children in Europe: results from the European IDEFICS study. Int. J. Obes. 2014, 38, S67–S75. [Google Scholar] [CrossRef]
- Peplies, J.; Jiménez-Pavón, D.; Savva, S.C.; Buck, C.; Günther, K.; Fraterman, A.; Russo, P.; Iacoviello, L.; Veidebaum, T.; Tornaritis, M.; et al. Percentiles of fasting serum insulin, glucose, HbA1c and HOMA-IR in pre-pubertal normal weight European children from the IDEFICS cohort. Int. J. Obes. 2014, 38, S39–S47. [Google Scholar] [CrossRef] [PubMed]
- Li, C.; Ford, E.S.; Mokdad, A.H.; Cook, S. Recent Trends in Waist Circumference and Waist-Height Ratio Among US Children and Adolescents. Pediatrics 2006, 118, e1390–e1398. [Google Scholar] [CrossRef] [PubMed]
- D’Annunzio, G.; Vanelli, M.; Pistorio, A.; Minuto, N.; Bergamino, L.; Iafusco, D.; Lorini, R.; Diabetes Study Group of the Italian Society for Pediatric Endocrinology; Diabetes, T.; Banin, P.; et al. Insulin resistance and secretion indexes in healthy Italian children and adolescents: A multicentre study. Acta Bio-Med. Atenei Parm. 2009, 80, 21–28. [Google Scholar]
- Matthews, D.R.; Hosker, J.P.; Rudenski, A.S.; Naylor, B.A.; Treacher, D.F.; Turner, R.C. Homeostasis model assessment: insulin resistance and beta-cell function from fasting plasma glucose and insulin concentrations in man. Diabetologia 1985, 28, 412–419. [Google Scholar] [CrossRef] [PubMed]
- Shashaj, B.; Luciano, R.; Contoli, B.; Morino, G.S.; Spreghini, M.R.; Rustico, C.; Sforza, R.W.; Dallapiccola, B.; Manco, M. Reference ranges of HOMA-IR in normal-weight and obese young Caucasians. Acta Diabetol. 2016, 53, 251–260. [Google Scholar] [CrossRef] [PubMed]
- Brown, R.J.; Yanovski, J.A. Estimation of insulin sensitivity in children: methods, measures and controversies. Pediatr. Diabetes 2014, 15, 61–151. [Google Scholar] [CrossRef] [PubMed][Green Version]
- Katz, A.; Nambi, S.S.; Mather, K.J.; Baron, A.D.; Follmann, D.A.; Sullivan, G.; Quon, M.J. Quantitative Insulin Sensitivity Check Index: A Simple, Accurate Method for Assessing Insulin Sensitivity in Humans. J. Clin. Endocrinol. Metab. 2000, 85, 2402–2410. [Google Scholar] [CrossRef] [PubMed]
- Placzkowska, S.; Pawlik-Sobecka, L.; Kokot, I.; Piwowar, A. Indirect Insulin Resistance Detection: Current Clinical Trends and Laboratory Limitations. Biomed. Pap. Med. Fac. Univ. Palacky Olomouc Czechoslov. 2019, 163, 187–199. [Google Scholar] [CrossRef] [PubMed]
- Calcaterra, V.; Montalbano, C.; de Silvestri, A.; Pelizzo, G.; Regalbuto, C.; Paganelli, V.; Albertini, R.; Cave, F.D.; Larizza, D.; Cena, H. Triglyceride Glucose Index as a Surrogate Measure of Insulin Sensitivity in a Caucasian Pediatric Population. J. Clin. Res. Pediatr. Endocrinol. 2019, 1, 1–11. [Google Scholar] [CrossRef] [PubMed]
- Manco, M.; Grugni, G.; Di Pietro, M.; Balsamo, A.; Di Candia, S.; Morino, G.S.; Franzese, A.; Di Bonito, P.; Maffeis, C.; Valerio, G. Triglycerides-to-HDL cholesterol ratio as screening tool for impaired glucose tolerance in obese children and adolescents. Acta Diabetol. 2016, 53, 493–498. [Google Scholar] [CrossRef]
- Di Bonito, P.; Moio, N.; Scilla, C.; Cavuto, L.; Sibilio, G.; Sanguigno, E.; Forziato, C.; Saitta, F.; Iardino, M.R.; Di Carluccio, C.; et al. Usefulness of the High triglyceride-to-HDL Cholesterol Ratio to Identify Cardiometabolic Risk Factors and Preclinical Signs of Organ Damage in Outpatient Children. Diabetes Care 2012, 35, 158–162. [Google Scholar] [CrossRef] [PubMed]
- Zaki, M.E.; El-Bassyouni, H.T.; El-Gammal, M.; Kamal, S. Indicators of the metabolic syndrome in obese adolescents. Arch. Med. Sci. AMS 2015, 11, 92–98. [Google Scholar] [CrossRef]
- Jaber, L.A.; Brown, M.B.; Hammad, A.; Zhu, Q.; Herman, W.H. The prevalence of the metabolic syndrome among arab americans. Diabetes Care 2004, 27, 234–238. [Google Scholar] [CrossRef]
- Bustos, P.; Saez, K.; Gleisner, A.; Ulloa, N.; Calvo, C.; Asenjo, S. Metabolic syndrome in obese adolescents. Pediatr. Diabetes 2010, 11, 55–60. [Google Scholar] [CrossRef]
- Bussler, S.; Penke, M.; Flemming, G.; Elhassan, Y.S.; Kratzsch, J.; Sergeyev, E.; Lipek, T.; Vogel, M.; Spielau, U.; Körner, A.; et al. Novel Insights in the Metabolic Syndrome in Childhood and Adolescence. Horm. Res. Paediatr. 2017, 88, 181–193. [Google Scholar] [CrossRef]
- Magge, S.N.; Goodman, E.; Armstrong, S.C. The Metabolic Syndrome in Children and Adolescents: Shifting the Focus to Cardiometabolic Risk Factor Clustering. Pediatrics 2017, 140, e20171603. [Google Scholar] [CrossRef]
- Ritchie, S.A.; Connell, J.M.C. The link between abdominal obesity, metabolic syndrome and cardiovascular disease. Nutr. Metab. Cardiovasc. Dis. NMCD 2007, 17, 26–319. [Google Scholar] [CrossRef]
- Vizzuso, S.; Amatruda, M.; Del Torto, A.; D’auria, E.; Ippolito, G.; Zuccotti, G.V.; Verduci, E. Is macronutrients intake a challenge for cardiometabolic risk in obese adolescents? Nutrients 2020, 12, 1785. [Google Scholar] [CrossRef] [PubMed]
Publisher’s Note: MDPI stays neutral with regard to jurisdictional claims in published maps and institutional affiliations. |
© 2021 by the authors. Licensee MDPI, Basel, Switzerland. This article is an open access article distributed under the terms and conditions of the Creative Commons Attribution (CC BY) license (http://creativecommons.org/licenses/by/4.0/).

