Supplementation with Spirulina platensis Prevents Uterine Diseases Related to Muscle Reactivity and Oxidative Stress in Rats Undergoing Strength Training
Abstract
1. Introduction
2. Materials and Methods
2.1. Substances
2.2. Animals
2.3. Preparation and Supplementationwith Spirulina platensis
2.4. Experimental Groups
2.5. Strength Training Program
2.6. Isolating the Uterus of Female Rats
2.7. Contractile Reactivity Evaluation
2.8. Relaxation Reactivity Evaluation
2.9. Evaluation of Oxidative Stress (MDA) and Antioxidant Defenses (CAT)
2.10. StatisticalAnalysis
3. Results
3.1. Effects of Strength Training and Supplementation with S. platensis on the Contractile Reactivity of the Uterus to KCl and Oxytocin
3.2. Effect of Strength Training and Supplementation with S. platensis on the Relaxing Response in Utero to Nifedipine and Isoprenaline
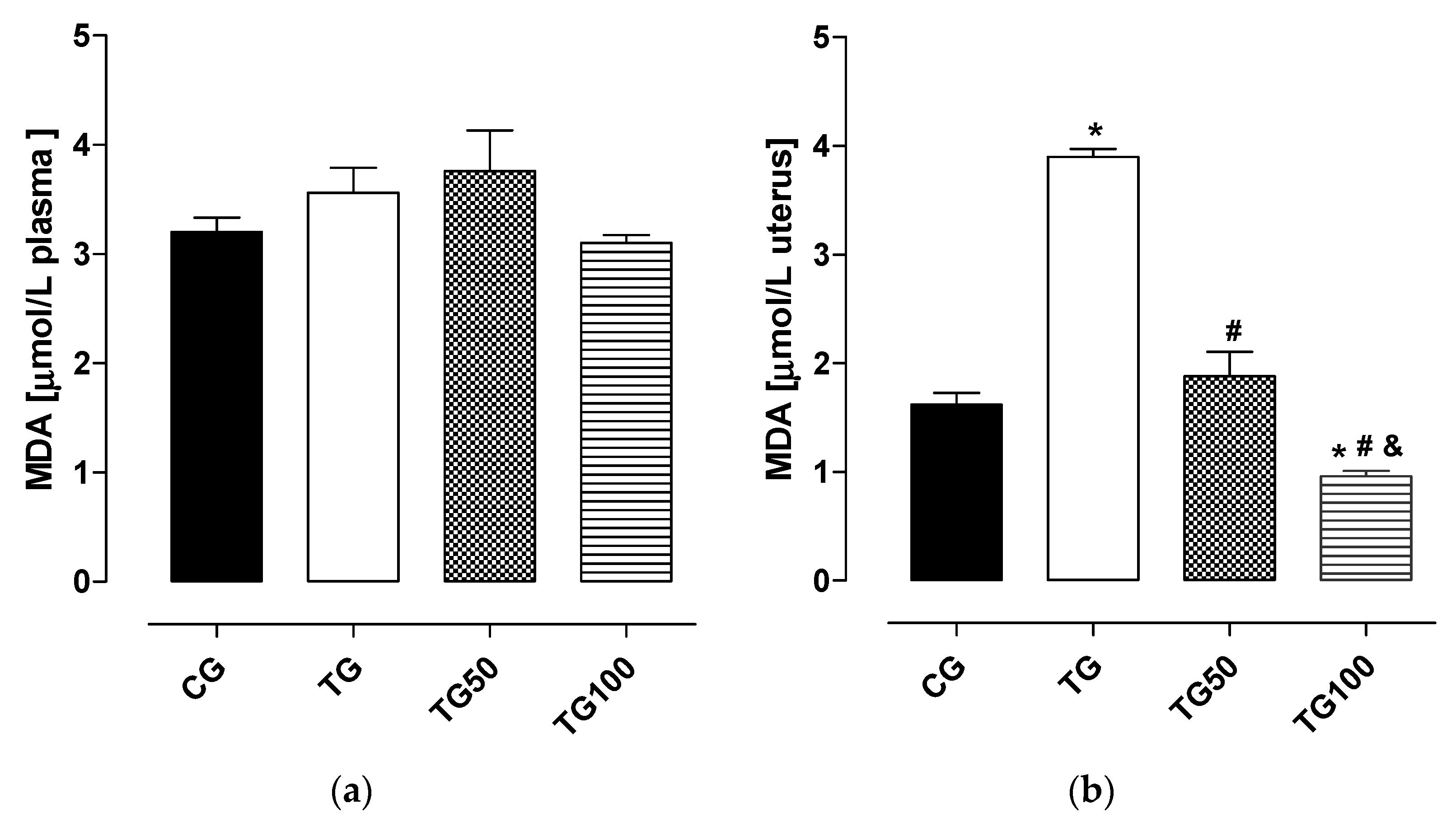
3.3. Effect of Strength Training and/or Food Supplementation with S. platensis on the Concentration of MDA in the Plasma and Uterus of Rats
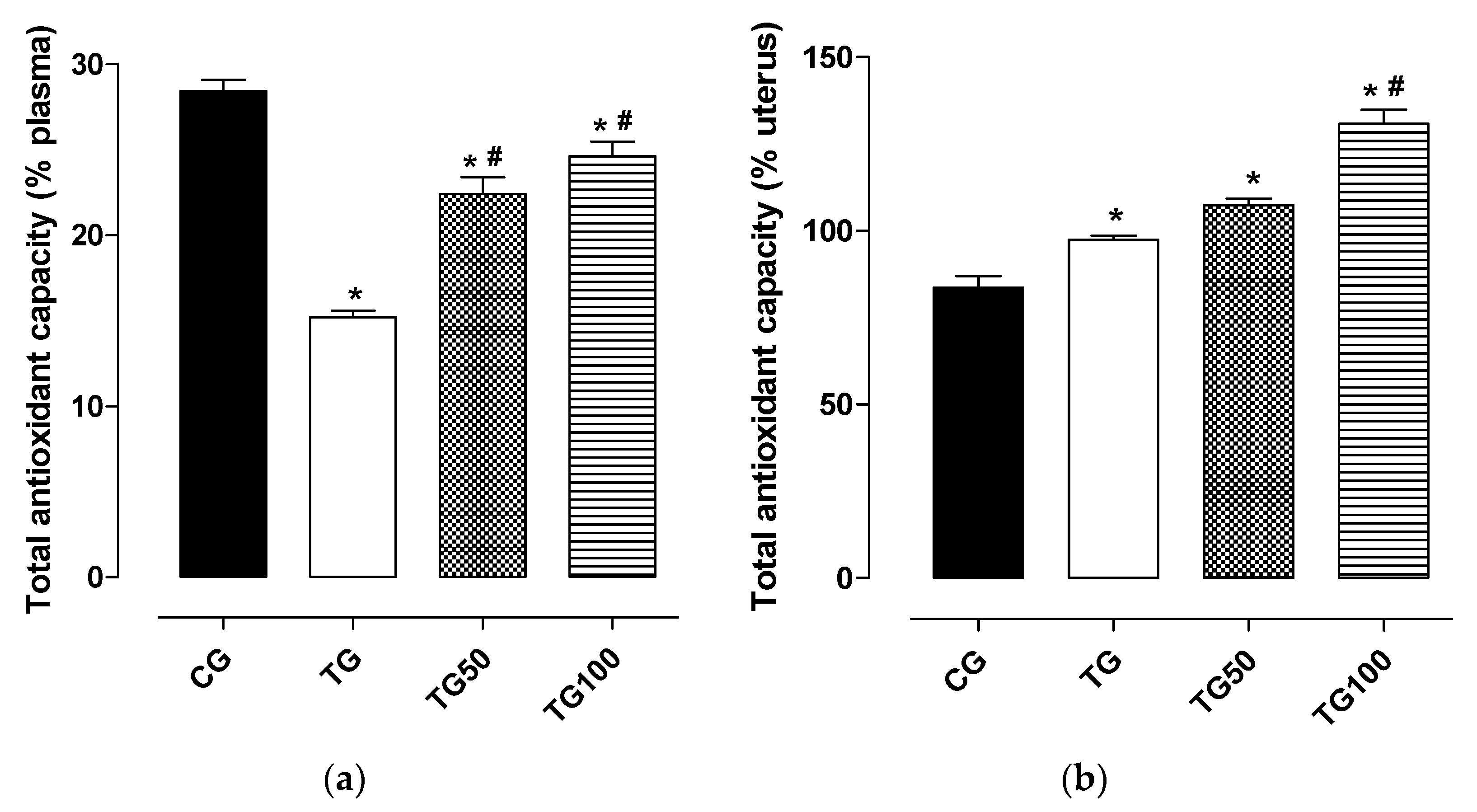
3.4. Effect of Strength Training and/or Food Supplementation with S. platensis on the Total Antioxidant Capacity in Plasma and Rat Uterus
4. Discussion
5. Conclusions
Author Contributions
Funding
Institutional Review Board Statement
Acknowledgments
Conflicts of Interest
Abbreviations
| Ach | acetylcholine |
| DPPH | 1,1-diphenyl-2-picrylhydrazyl radical |
| EDTA | ethylenediamine tetra-acetic acid |
| Emax | maximum effect |
| MDA | malondialdehyde |
| SEM. | standard error of the mean |
| CG | control group |
| TG | group trained for 8 weeks |
| TG50 | group trained and supplemented with S. platensis at 50 mg/kg |
| TG100 | group trained and supplemented with S. platensis at 500 mg/kg |
| TBARS | thiobarbituric acid reactive substances |
References
- Coggan, A.R.; Williams, B.D. Metabolic adaptations to endurance training: Substrate metabolism during exercise. Exerc. Metab. 1995, 183, 177–210. [Google Scholar]
- Garber, C.E.; Blissmer, B.; Deschenes, M.R.; Franklin, B.A.; Lamonte, M.J.; Lee, I.M.; Nieman, D.C.; Swain, D.P. American College of Sports Medicine. American College of Sports Medicine position stand. Quantity and quality of exercise for developing and maintaining cardiorespiratory, musculoskeletal, and neuromotor fitness in apparently healthy adults: Guidance for prescribing exercise. Med. Sci. Sports Exerc. 2011, 43, 1334–1359. [Google Scholar] [PubMed]
- Marcus, B.H.; Forsyth, L.H.; Stone, E.J.; Dubbert, P.M.; Mckenzie, T.L.; Dunn, A.L.; Blair, S.N. Physical activity behavior change: Issues in adoption and maintenance. Health Psychol. 2000, 19, 32. [Google Scholar] [CrossRef]
- Banting, L.K.; Gibson-Helm, M.; Polman, R.; Teede, H.J.; Stepto, N.K. Physical activity and mental health in women with polycystic ovary syndrome. BMC Women’s Health 2014, 14, 51. [Google Scholar] [CrossRef] [PubMed]
- Warren, M.P.; Perlroth, N.E. The effects of intense exercise on the female reproductive system. J. Endocrinol. 2001, 170, 3–11. [Google Scholar] [CrossRef]
- De Souza, M.J.; Williams, N.I. Physiological aspects and clinical sequelae of energy deficiency and hypoestrogenism in exercising women. Hum. Reprod. Update 2004, 10, 433–448. [Google Scholar] [CrossRef]
- Agarwal, A.; Guptaa, S.; Sikkab, S. The role of free radicals and antioxidants in reproduction. Curr. Opin. Obstet. Gynecol. 2006, 18, 325–332. [Google Scholar] [CrossRef] [PubMed]
- Simioni, C.; Zauli, G.; Martelli, A.M.; Vitale, M.; Sacchetti, G.; Gonelli, A.; Neri, L.M.; Simioni, C.; Zauli, G.; Martelli, A.M.; et al. Oxidative stress: Role of physical exercise and antioxidant nutraceuticals in adulthood and aging. Oncotarget 2018, 9, 17181. [Google Scholar] [CrossRef]
- Webb, R.C. Smooth muscle contraction and relaxation. Adv. Physiol. Educ. 2003, 27, 201–206. [Google Scholar] [CrossRef]
- Wilson, G.; Dos Remedios, C.; Stephenson, D.; Williams, D. Effects of sulphydryl modification on skinned rat skeletal musclefibres using 5,5′-dithiobis (2-nitrobenzoic acid). J. Physiol. 1991, 437, 409–430. [Google Scholar] [CrossRef]
- Aghdasi, B.; Zhang, J.-Z.; Wu, Y.; Reid, M.; Hamilton, S. Multiple classes of sulfhydryls modulate the skeletal muscle Ca2+ release channel. J. Biol. Chem. 1997, 272, 3739–3748. [Google Scholar] [CrossRef] [PubMed]
- Andrade, F.H.; Reid, M.B.; Allen, D.G.; Westerblad, H. Effect of hydrogen peroxide and dithiothreitol on contractile function of single skeletal muscle fibres from the mouse. J. Physiol. 1998, 509, 565–575. [Google Scholar] [CrossRef]
- Bentley, D.J.; Ackerman, J.; Clifford, T.; Slattery, K.S. Acute and chronic effects of antioxidant supplementation on exercise performance. In Antioxidants in Sportnutrition, 1st ed.; Lamprecht, M., Ed.; CRC Press: Boca Raton, FL, USA, 2015; p. 125. [Google Scholar]
- Peternelj, T.; Coombes, J.S. Antioxidant supplementation during exercise training. Sports Med. 2011, 41, 1043–1069. [Google Scholar] [CrossRef]
- Brisswalter, J.; Louis, J. Vitamin supplementation benefits in master athletes. Sports Med. 2014, 44, 311–318. [Google Scholar] [CrossRef]
- Mason, S.A.; Trewin, A.J.; Parker, L.; Wadley, G.D. Antioxidant supplements and endurance exercise: Current evidence and mechanistic insights. Redox Biol. 2020, 35, 101471. [Google Scholar] [CrossRef]
- De Almeida, C.L.; Falcão, H.S.; Lima, G.R.; Montenegro, C.A.; Lira, N.S.; Athayde-Filho, P.F.; Rodrigues, L.C.; De Souza, M.F.; Barbosa-Filho, J.M.; Batista, L.M. Bioactivitiesfrom marine algaeofthe genus Gracilaria. Int. J. Mol. Sci. 2011, 12, 4550–4573. [Google Scholar] [CrossRef] [PubMed]
- Sharma, M.K.; Sharma, A.; Kumar, A.; Kumar, M. Spirulina fusiformis provides protection against mercuric chloride induced oxidative stress in Swiss albino mice. Food Chem. Toxicol. 2007, 45, 2412–2419. [Google Scholar] [CrossRef] [PubMed]
- De Freitas Brito, A.; Silva, A.S.; de Souza, A.A.; Ferreira, P.B.; de Souza, I.L.L.; da Cunha Araujo, L.C.; da Silva Félix, G.; de Souza Sampaio, R.; da Conceição Correia Silva, M.; Tavares, R.L.; et al. Supplementation with Spirulina platensis modulates aortic vascular reactivity through nitric oxide and antioxidant activity. Oxidative Med. Cell. 2019, 2019, 7838149. [Google Scholar] [CrossRef] [PubMed]
- Brito, A.F.; Silva, A.S.; Souza, I.L.L.; Pereira, J.C.; Silva, B.A. Intensity of swimming exercise influences aortic reactivity in rats. Braz. J. Med. Biol. Res. 2015, 48, 996–1003. [Google Scholar] [CrossRef] [PubMed][Green Version]
- Ferreira, E.S. Suplementação alimentar com Spirulina platensis promove efeito antiobesidade e restaura a reatividade contrátil de íleo em ratos Wistar. In Dissertação (Mestrado em Produtos Naturais e Sintéticos Bioativos); Universidade Federal da Paraíba: João Pessoa, Brazil, 2017. [Google Scholar]
- Diniz, A.F.; De Souza, I.L.L.; Dos Santos Ferreira, E.; De Lima Carvalho, M.T.; Barros, B.; Ferreira, P.B.; Da Conceição Correia Silva, M.; Lacerdam, J.; De Lima Tavares Toscano, L.; Silva, A.S.; et al. Potential Therapeutic Role of Dietary Supplementation with on the Erectile Function of Obese Rats Fed a Hypercaloric Diet. Oxidative Med. Cell. Longev. 2020, 2020, 1–14. [Google Scholar] [CrossRef] [PubMed]
- Araujo, L.C.; Brito, A.F.; Souza, I.L.; Ferreira, P.B.; Vasconcelos, L.H.C.; Silva, A.S.; Silva, B.A. Spirulina Platensis Supplementation Coupled to Strength Exercise Improves Redox Balance and Reduces Intestinal Contractile Reactivity in Rat Ileum. Mar. Drugs 2020, 18, 89. [Google Scholar] [CrossRef] [PubMed]
- Brito, A.F.; Silva, A.S.; de Oliveira, C.; de Souza, A.A.; Ferreira, P.B.; de Souza, I.; da Cunha Araujo, L.C.; da Silva Félix, G.; de Souza Sampaio, R.; Tavares, R.L.; et al. Spirulinaplatensispreventsoxidative stress andinflammationpromotedbystrength training in rats: Dose-response relationstudy. Sci. Rep. 2020, 10, 6382. [Google Scholar] [CrossRef] [PubMed]
- Sherwin, C.M.; Christiansen, S.B.; Duncan, I.J.H.; Erhard, H.W.; Lay, D.C.; Mench, J.A.; O’connor, C.E.; Petherick, C.J. Guidelines for the ethical use of animals in applied animal behavior research. Appl. Anim. Behav. Sci. 2003, 81, 291–305. [Google Scholar] [CrossRef]
- Brasil. Ministério da Ciência, Tecnologia e Inovação. Conselho Nacional de Experimentação Animal. Guia Brasileiro de Produção, Manutenção ou Utilização de Animais em Atividades de Ensino ou Pesquisa Científica: Fascículo 1: Introdução Geral. Brasília–DF 2016. Available online: https://antigo.mctic.gov.br/mctic/opencms/institucional/concea/paginas/guia.html (accessed on 1 July 2021).
- Juárez-Oropeza, M.A.; Mascher, D.; Torres-Durán, P.V.; Farias, J.M.; Paredes-Carbajal, M.C. EffectsofdietarySpirulinaon vascular reactivity. J. Med. Food 2009, 12, 15–20. [Google Scholar] [CrossRef]
- Brito, A.F. Treinamento de força e suplementação alimentar com Spirulinaplatensis modulam a reatividade vascular de aorta de ratos wistar saudáveis dependente do óxido nítrico e da atividade antioxidante. In Tese (Doutorado em Produtos Naturais e Sintéticos Bioativos); Universidade Federal da Paraíba: João Pessoa, Brazil, 2014. [Google Scholar]
- Marqueti, R.C.; Parizotto, N.A.; Chriguer, R.S.; Perez, S.E.; Selistre-De-Araujo, H.S. Androgenic-anabolic steroids associated with mechanical loading inhibit matrix metallopeptidase activity and affect the remodeling of the achilles tendon in rats. Am. J. Sports Med. 2006, 34, 1274–1280. [Google Scholar] [CrossRef]
- Moura, L.P.; Gurjão, A.L.; Jambassi Filho, J.C.; Mizuno, J.; Suemi, C.; Mello, M.A. Spirulina, exerciseandserum glucose control in diabeticrats. Arq. Bras. Endocrinol. Metabol. 2012, 1, 25–32. [Google Scholar] [CrossRef] [PubMed][Green Version]
- Revuelta, M.P.; Cantabrana, B.; Hidalgo, A.; Revuelta, M.P.; Cantabrana, B.; Hidalgo, A. Depolarization-dependent effect of flavonoids in rat uterine smooth muscle contraction elicited by CaCl2. Gen. Pharmacol. 1997, 29, 847–857. [Google Scholar] [CrossRef]
- Heylen, E.; Guerrero, F.; Mansourati, J.; Theron, M.; Thioub, S.; Saiag, B. Effect of training frequency on endothelium-dependent vasorelaxation in rats. Eur. J. Prev. Cardiol. 2008, 15, 52–58. [Google Scholar] [CrossRef]
- Okafor, O.; Erukainure, O.; Ajiboye, J.; Adejobi, R.; Owolabi, F.; Kosoko, S. Modulatory effect of pineapple peel extract on lipid peroxidation, catalase activity and hepatic biomarker levels in blood plasma of alcohol–induced oxidative stressed rats. Asian Pac. J. Trop. Biomed. 2011, 1, 12–14. [Google Scholar] [CrossRef]
- Silva, A.S.; Paim, F.C.; Santos, R.C.; Sangoi, M.B.; Moresco, R.N.; Lopes, S.T.; Jaques, J.A.; Baldissarelli, J.; Morsch, V.M.; Monteiro, S.G. Nitric oxide level, proteinoxidationandantioxidantenzymes in ratsinfectedbyTrypanosomaevansi. Exp. Parasitol. 2012, 132, 166–170. [Google Scholar]
- Ohkawa, H.; Ohishi, N.; Yagi, K. Assay for lipid peroxides in animal tissues by thiobarbituric acid reaction. Anal. Biochem. 1979, 95, 351–358. [Google Scholar] [CrossRef]
- Brand-Williams, W.; Cuvelier, M.E.; Berset, C.L.W.T. Use of a free radical method to evaluate antioxidant activity. LWT-Food Sci. Technol. 1995, 28, 25–30. [Google Scholar] [CrossRef]
- Van Der Vliet, A. Effect of oxidative stress on receptors and signal transmission. Chem.-Biol. Interact. 1992, 85, 95–116. [Google Scholar] [CrossRef]
- Word, R.A. Myosin phosphorylation and the control of miometrial contraction/relaxation. Semin. Perinatol. 1995, 19, 3–14. [Google Scholar] [CrossRef]
- Wray, S.; Kupittayanant, S.; Shmigol, A.; Smith, R.D.; Burdyga, T. The physiological basis of uterine contractility: A short review. Exp. Physiol. 2001, 86, 239–246. [Google Scholar] [CrossRef]
- Shmygol, A.; Wray, S. Functional architecture of the SR calcium store in uterine smooth muscle. Cell Calcium 2004, 35, 501–508. [Google Scholar] [CrossRef]
- Pingitore, A.; Lima, G.P.P.; Mastorci, F.; Quinones, A.; Iervasi, G.; Vassalle, C. Exerciseandoxidative stress: Potential effects of antioxidant diet ary strategies in sports. Nutrition 2015, 31, 916–922. [Google Scholar] [CrossRef] [PubMed]
- Carvalho, L.F.D.; Moreira, J.B.; Oliveira, M.S.; Costa, J.A.V. Novel food supplements formulated with Spirulina to meet athletes’ needs. Braz. Arch. Biol. Technol. 2017, 60, 1–11. [Google Scholar]
- Aguilar, H.N.; Mitchell, B.F. Physiological pathways and molecular mechanisms regulating uterine contractility. Hum. Reprod. Update 2010, 16, 725–744. [Google Scholar] [CrossRef]
- Wray, S.; Jones, K.; Kupittayanant, S.; Li, Y.; Matthew, A.; MonirBishty, E.; Noble, K.; Pierce, S.J.; Quenby, S.; Shmygol, A.V. Calcium signaling and uterine contractility. J. Gynecol. 2003, 10, 252–264. [Google Scholar] [CrossRef]
- Souza, I.L.L. Suplementação alimentar com Spirulina platensis previne o desenvolvimento da obesidade e da disfunção erétil em ratos Wistar por modular os fatores derivados do endotélio e o estresse oxidativo. In Tese (Doutorado em Produtos Naturais e Sintéticos Bioativos); Universidade Federal da Paraíba: João Pessoa, Brazil, 2018. [Google Scholar]
- Pedersen, B.K.; Ostrowski, K.; Rohde, T.; Bruunsgaard, H. The cytokine response to strenuous exercise. Can. J. Physiol. Pharmacol. 1998, 76, 505–511. [Google Scholar] [CrossRef] [PubMed]
- Giera, M.; Lingeman, H.; Niessen, W.M. Recent advancements in the LC-and GC-based analysis of malondialdehyde (MDA): A brief overview. Chromatographia 2012, 75, 433–440. [Google Scholar] [CrossRef]
- Atalay, M.; Laaksonen, D.E. Diabetes, oxidative stress and physical exercise. J. Sports Sci. Med. 2002, 1, 1. [Google Scholar]
- Kinnunen, S.; Atalay, M.; Hyyppä, S.; Lehmuskero, A.; Hänninen, O.; Oksala, N. Effects of prolonged exercise on oxidative stress and antioxidant defense in endurance horse. J. Sports Sci. Med. 2005, 4, 415. [Google Scholar] [CrossRef] [PubMed]
- Davies, K.P.; Melman, A. Markers of erectile dysfunction. Indian J. Urol. 2008, 24, 320. [Google Scholar] [CrossRef] [PubMed]
- Karasu, C. Time course of changes in endothelium-dependent and -independent relaxation of chronically diabetic aorta: Role of reactive oxygen species. Eur. J. Pharmacol. 2000, 392, 163–173. [Google Scholar] [CrossRef]
- Lacy, F.; O’connor, D.T. Plasma hydrogen peroxide production in hypertensives and normotensive subjects at genetic risk of hypertension. J. Hypertens 1998, 16, 291–303. [Google Scholar] [CrossRef]
- Nakai, A.; Oya, A.; Kobe, H.; Asakura, H.; Yokota, A.; Koshino, T.; Araki, T. Changes in maternal lipid peroxidation levels and antioxidante enzymatic activities before and after delivery. J. Nippon Med. Sch. 2000, 67, 434–439. [Google Scholar] [CrossRef] [PubMed][Green Version]
- Warren, A.Y.; Matharoo-Ball, B.; Shaw, R.W.; Khan, R.N. Hydrogen peroxide and superoxide anion modulate pregnant human myometrial contractility. Reproduction 2005, 130, 539–544. [Google Scholar] [CrossRef] [PubMed][Green Version]
- Powers, S.K.; Jackson, M.J. Exercise-induce doxidative stress: Cellular mechanisms and impacton muscle force production. Pshysiol. Rev. 2008, 88, 1234–1276. [Google Scholar]





Publisher’s Note: MDPI stays neutral with regard to jurisdictional claims in published maps and institutional affiliations. |
© 2021 by the authors. Licensee MDPI, Basel, Switzerland. This article is an open access article distributed under the terms and conditions of the Creative Commons Attribution (CC BY) license (https://creativecommons.org/licenses/by/4.0/).
Share and Cite
Ferreira, P.B.; Diniz, A.F.A.; Lacerda Júnior, F.F.; Silva, M.d.C.C.; Cardoso, G.A.; Silva, A.S.; da Silva, B.A. Supplementation with Spirulina platensis Prevents Uterine Diseases Related to Muscle Reactivity and Oxidative Stress in Rats Undergoing Strength Training. Nutrients 2021, 13, 3763. https://doi.org/10.3390/nu13113763
Ferreira PB, Diniz AFA, Lacerda Júnior FF, Silva MdCC, Cardoso GA, Silva AS, da Silva BA. Supplementation with Spirulina platensis Prevents Uterine Diseases Related to Muscle Reactivity and Oxidative Stress in Rats Undergoing Strength Training. Nutrients. 2021; 13(11):3763. https://doi.org/10.3390/nu13113763
Chicago/Turabian StyleFerreira, Paula Benvindo, Anderson Fellyp Avelino Diniz, Francisco Fernandes Lacerda Júnior, Maria da Conceição Correia Silva, Glêbia Alexa Cardoso, Alexandre Sérgio Silva, and Bagnólia Araújo da Silva. 2021. "Supplementation with Spirulina platensis Prevents Uterine Diseases Related to Muscle Reactivity and Oxidative Stress in Rats Undergoing Strength Training" Nutrients 13, no. 11: 3763. https://doi.org/10.3390/nu13113763
APA StyleFerreira, P. B., Diniz, A. F. A., Lacerda Júnior, F. F., Silva, M. d. C. C., Cardoso, G. A., Silva, A. S., & da Silva, B. A. (2021). Supplementation with Spirulina platensis Prevents Uterine Diseases Related to Muscle Reactivity and Oxidative Stress in Rats Undergoing Strength Training. Nutrients, 13(11), 3763. https://doi.org/10.3390/nu13113763

