Effect of Vitamin D Treatment on Dynamics of Stones Formation in the Urinary Tract and Bone Density in Children with Idiopathic Hypercalciuria
Abstract
1. Introduction
2. Materials and Methods
2.1. Patients
2.2. Experimental Study
2.3. Biochemical Parameters
2.4. Ultrasonography and Densitometry
2.5. Statistical Analysis
3. Results
3.1. Study Population
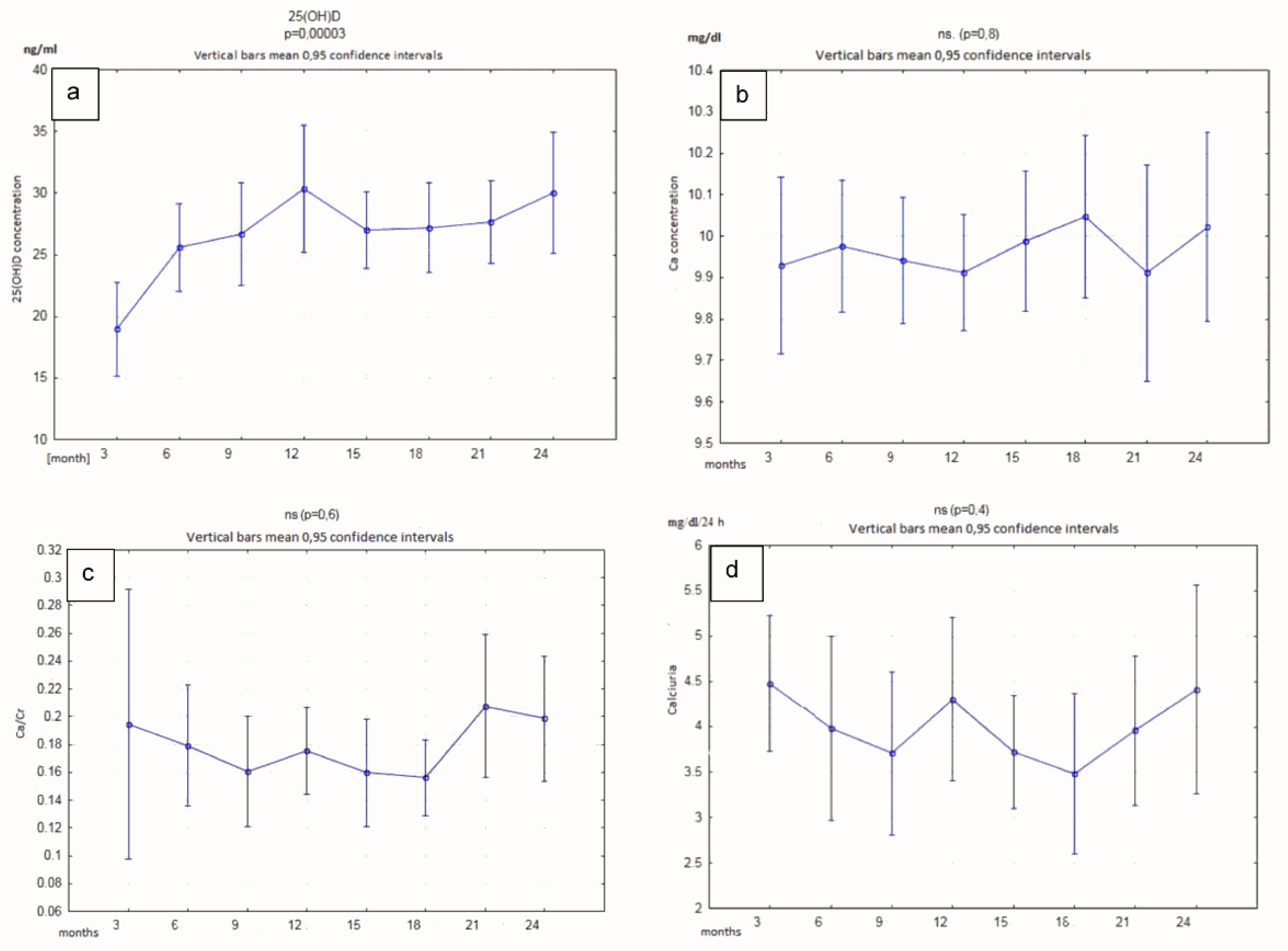
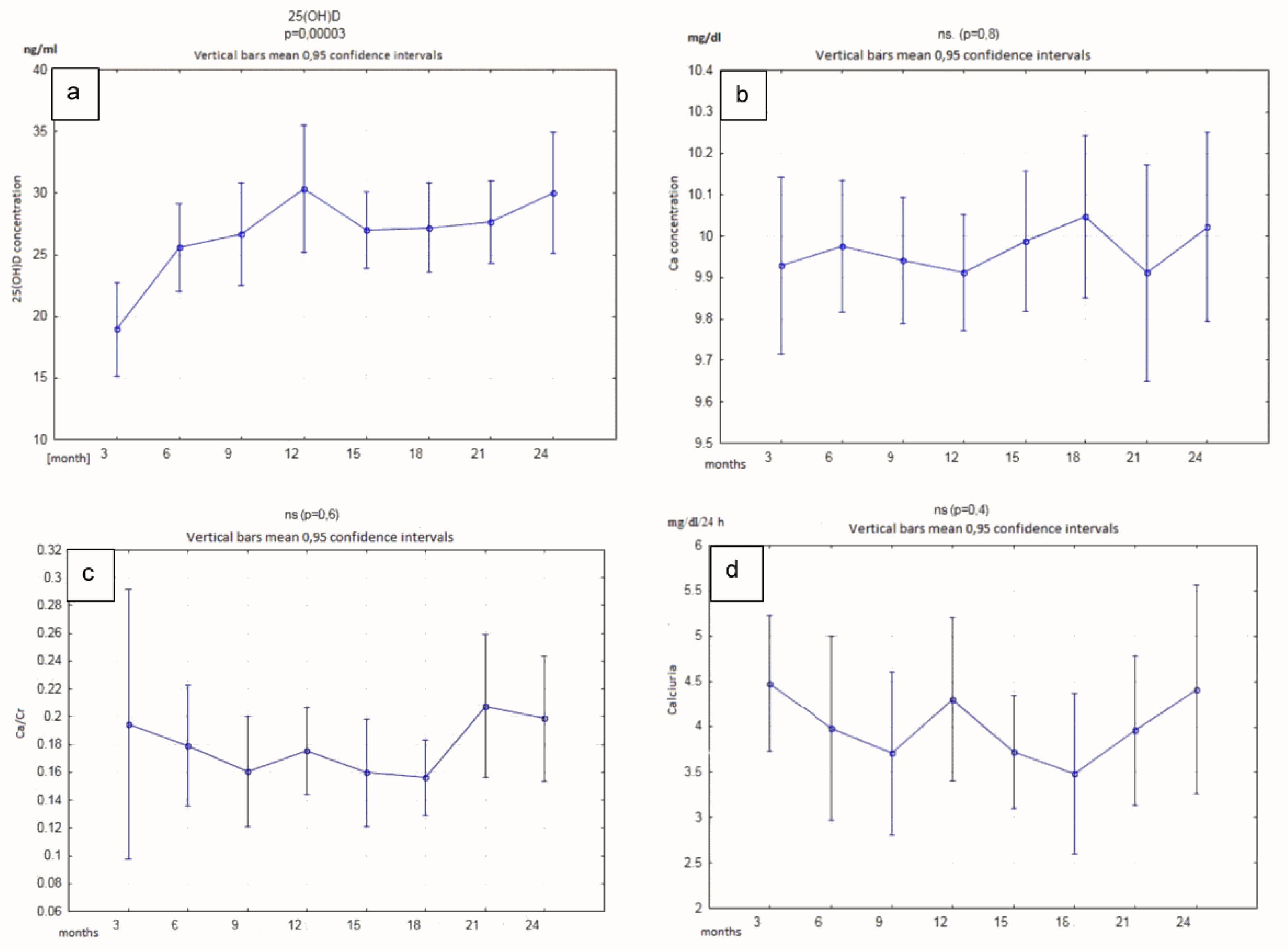
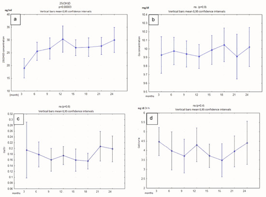
3.2. Vitamin D Level
3.3. Correlations
4. Discussion
5. Limitation
6. Conclusions
Author Contributions
Funding
Conflicts of Interest
References
- Zerwekh, J.E. Vitamin D Metabolism and Stones. In Urinary Tract Stone Disease; Rao, N.P., Preminger, G.M., Kavanagh, J.P., Eds.; Springer: London, UK, 2011; pp. 169–179. ISBN 978-1-84800-362-0. [Google Scholar]
- Holick, M.F.; Chen, T.C.; Lu, Z.; Sauter, E. Vitamin D and skin physiology: A D-lightful story. J. Bone Miner. Res. Off. J. Am. Soc. Bone Miner. Res. 2007, 22 (Suppl. 2), V28–V33. [Google Scholar] [CrossRef] [PubMed]
- Wytyczne dla lekarzy rodzinnych dotyczące suplementacji witaminy D. Available online: https://www.tvmed.pl/tresci/layout_min/11431/Wytyczne-dla-lekarzy-rodzinnych-dotyczace-suplementacji-witaminy-D (accessed on 28 June 2020).
- Zerwekh, J.E. Bone disease and hypercalciuria in children. Pediatr. Nephrol. Berl. Ger. 2010, 25, 395–401. [Google Scholar] [CrossRef] [PubMed]
- Worcester, E.M.; Coe, F.L. New insights into the pathogenesis of idiopathic hypercalciuria. Semin. Nephrol. 2008, 28, 120–132. [Google Scholar] [CrossRef] [PubMed]
- Kamińska, A.; Bieroza, I. Hiperkalciuria–najczęstsze zaburzenie metaboliczne u dzieci z kamicą nerkową. Nowa Pediatria 2011, 2, 49–52. [Google Scholar]
- Milart, J.; Jobs, K.; Anna, J. Hiperkalciuria idiopatyczna. Pediatr. Med. Rodz. 2016, 12, 22–27. [Google Scholar] [CrossRef]
- Kamica układu moczowego u dzieci/Urolithiasis in children-Standardy Medyczne. Available online: http://www.standardy.pl/artykuly/id/873 (accessed on 28 June 2020).
- Jobs, K.; Jung, A. Gęstość kości u pacjentów z hiperkalciurią idiopatyczną–przegląd piśmiennictwa w aspekcie bezpieczeństwa stosowania witaminy D. Pediatr. Med. Rodz. 2013, 9, 245–249. [Google Scholar]
- Rakowska, M.; Królikowska, K.; Jobs, K.; Placzyńska, M.; Kalicki, B. Pathophysiology and symptoms of renal colic in children-a case report. Dev. Period Med. 2018, 22, 265–269. [Google Scholar]
- Jobs, K.; Rakowska, M.; Paturej, A. Urolithiasis in the pediatric population-current opinion on epidemiology, patophysiology, diagnostic evaluation and treatment. Dev. Period Med. 2018, 22, 201–208. [Google Scholar]
- López, M.; Hoppe, B. History, epidemiology and regional diversities of urolithiasis. Pediatr Nephrol. 2010, 25, 49–59. [Google Scholar] [CrossRef]
- Iwańczak, B.; Krzesiek, E.; Iwańczak, F. Osteoporoza i osteopenia u dzieci i młodzieży–przyczyny, diagnostyka i leczenie. Adv. Clin. Exp. Med. 2004, 13, 177–184. [Google Scholar]
- Arrabal-Polo, M.Á.; Sierra Girón-Prieto, M.; Orgaz-Molina, J.; Zuluaga-Gómez, A.; Arias-Santiago, S.; Arrabal-Martín, M. Calcium renal lithiasis and bone mineral density. Importance of bone metabolism in urinary lithiasis. Actas Urol. Esp. 2013, 37, 362–367. [Google Scholar] [CrossRef] [PubMed]
- Cediel, G.; Pacheco-Acosta, J.; CastiUo-Durdn, C. Vitamin D deficiency in pediatric clinical practice. Arch. Argent. Pediatr. 2018, 116, e75–e81. [Google Scholar] [CrossRef] [PubMed]
- Povoroznyuk, V.V.; Balatska, N.I.; Muts, V.Y.; Klymovytsky, F.V.; Synenky, O.V. Vitamin D deficiency in Ukraine: A demographic and seasonal analysis. Gerontologija 2012, 13, 191–198. [Google Scholar]
- Zakharova, I.N.; Mal’tsev, S.V.; Borovik, T.E.; Yatsyk, G.V.; Malyavskaya, S.I.; Vakhlova, I.V.; Shumatova, Т.А.; Romantsova, Y.B.; Romanyuk, F.P.; Klimov, L.Y.; et al. Vitamin d Insufficiency in Children of Tender years in Russia: The Results of a Multi-Centre Cohort Study Rodnichok (2013–2014). Available online: https://vsp.spr-journal.ru/jour/article/view/98 (accessed on 21 July 2020).
- Vitamin D Deficiency/Insufficiency from Childhood to Adulthood: Insights from a Sunny Country. Available online: https://www.ncbi.nlm.nih.gov/pmc/articles/PMC5296623/ (accessed on 21 July 2020).
- Wrzosek, M.; Woźniak, J.; Kozioł-Kaczorek, D.; Włodarek, D. The Assessment of the Supply of Calcium and Vitamin D in the Diet of Women Regularly Practicing Sport. J. Osteoporos. 2019, 2019. [Google Scholar] [CrossRef] [PubMed]
- Tang, J.; Chonchol, M.B. Vitamin D and kidney stone disease. Curr. Opin. Nephrol. Hypertens. 2013, 22, 383–389. [Google Scholar] [CrossRef] [PubMed]
- Taheri, M.; Tavasoli, S.; Shokrzadeh, F.; Amiri, F.B.; Basiri, A.; Taheri, M.; Tavasoli, S.; Shokrzadeh, F.; Amiri, F.B.; Basiri, A. Effect of vitamin D supplementation on 24-hour urine calcium in patients with calcium Urolithiasis and vitamin D deficiency. Int. Braz. J. Urol. 2019, 45, 340–346. [Google Scholar] [CrossRef] [PubMed]
- Ticinesi, A.; Nouvenne, A.; Ferraro, P.M.; Folesani, G.; Lauretani, F.; Allegri, F.; Guerra, A.; Cerundolo, N.; Aloe, R.; Lippi, G.; et al. Idiopathic Calcium Nephrolithiasis and Hypovitaminosis D: A Case-control Study. Urology 2016, 87, 40–45. [Google Scholar] [CrossRef]
- Malihi, Z.; Wu, Z.; Stewart, A.W.; Lawes, C.M.; Scragg, R. Hypercalcemia, hypercalciuria, and kidney stones in long-term studies of vitamin D supplementation: A systematic review and meta-analysis. Am. J. Clin. Nutr. 2016, 104, 1039–1051. [Google Scholar] [CrossRef]
- Cranney, A.; Horsley, T.; O’Donnell, S.; Weiler, H.; Puil, L.; Ooi, D.; Atkinson, S.; Ward, L.; Moher, D.; Hanley, D.; et al. Effectiveness and Safety of Vitamin D in Relation to Bone Health. Evid. Rep. Technol. Assess (Full Rep). 2007, 158, 1–235. [Google Scholar]
- Avenell, A.; Mak, J.C.S.; O’Connell, D. Vitamin D and vitamin D analogues for preventing fractures in post-menopausal women and older men. Cochrane Database Syst. Rev. 2014, CD000227. [Google Scholar] [CrossRef]
- Bjelakovic, G.; Gluud, L.L.; Nikolova, D.; Whitfield, K.; Wetterslev, J.; Simonetti, R.G.; Bjelakovic, M.; Gluud, C. Vitamin D supplementation for prevention of mortality in adults. Cochrane Database Syst. Rev. 2011, CD007470. [Google Scholar] [CrossRef]
- Bjelakovic, G.; Gluud, L.L.; Nikolova, D.; Whitfield, K.; Krstic, G.; Wetterslev, J.; Gluud, C. Vitamin D supplementation for prevention of cancer in adults. Cochrane Database Syst. Rev. 2014, CD007469. [Google Scholar] [CrossRef] [PubMed]
- Kearns, M.D.; Alvarez, J.A.; Tangpricha, V. Large, single-dose, oral vitamin D supplementation in adult populations: A systematic review. Endocr. Pract. Off. J. Am. Coll. Endocrinol. Am. Assoc. Clin. Endocrinol. 2014, 20, 341–351. [Google Scholar] [CrossRef] [PubMed]
- Leaf, D.E.; Korets, R.; Taylor, E.N.; Tang, J.; Asplin, J.R.; Goldfarb, D.S.; Gupta, M.; Curhan, G.C. Effect of vitamin D repletion on urinary calcium excretion among kidney stone formers. Clin. J. Am. Soc. Nephrol. CJASN 2012, 7, 829–834. [Google Scholar] [CrossRef]
- Johri, N.; Jaeger, P.; Ferraro, P.M.; Shavit, L.; Nair, D.; Robertson, W.G.; Gambaro, G.; Unwin, R.J. Vitamin D deficiency is prevalent among idiopathic stone formers, but does correction pose any risk? Urolithiasis 2017, 45, 535–543. [Google Scholar] [CrossRef]
- Eisner, B.H.; Thavaseelan, S.; Sheth, S.; Haleblian, G.; Pareek, G. Relationship Between Serum Vitamin D and 24-Hour Urine Calcium in Patients With Nephrolithiasis. Urology 2012, 80, 1007–1010. [Google Scholar] [CrossRef]
- Sorkhi, H.; Aahmadi, M.H. Urinary calcium to creatinin ratio in children. Indian J. Pediatr. 2005, 72, 1055–1056. [Google Scholar] [CrossRef]
- Letavernier, E.; Verrier, C.; Goussard, F.; Perez, J.; Huguet, L.; Haymann, J.-P.; Baud, L.; Bazin, D.; Daudon, M. Calcium and vitamin D have a synergistic role in a rat model of kidney stone disease. Kidney Int. 2016, 90, 809–817. [Google Scholar] [CrossRef]
- Penniston, K.L.; Jones, A.N.; Nakada, S.Y.; Hansen, K.E. Vitamin D repletion does not alter urinary calcium excretion in healthy postmenopausal women. BJU Int. 2009, 104, 1512–1516. [Google Scholar] [CrossRef]
- Ferraro, P.M.; Taylor, E.N.; Gambaro, G.; Curhan, G.C. Vitamin D Intake and the Risk of Incident Kidney Stones. J. Urol. 2017, 197, 405–410. [Google Scholar] [CrossRef]
- Nieradko-Iwanicka, B.; Borzęcki, A. Osteoporoza jako problem pediatryczny. Probl. Hig. Epidemiol. 2009, 90, 27–31. [Google Scholar]
- Lorenc, R.; Karczmarewicz, E. Znaczenie wapnia i witaminy D w optymalizacji masy kostnej oraz zapobieganiu i leczeniu osteoporozy u dzieci. Pediat. Współcz. 2001, 3, 105–109. [Google Scholar]
- Pfau, A.; Knauf, F. Update on Nephrolithiasis: Core Curriculum 2016. Am. J. Kidney Dis. Off. J. Natl. Kidney Found. 2016, 68, 973–985. [Google Scholar] [CrossRef] [PubMed]
- Moreira Guimarães Penido, M.G.; de Sousa Tavares, M.; Campos Linhares, M.; Silva Barbosa, A.C.; Cunha, M. Longitudinal study of bone mineral density in children with idiopathic hypercalciuria. Pediatr. Nephrol. 2012, 27, 123–130. [Google Scholar] [CrossRef]
- Penido, M.-G.M.G.; Lima, E.M.; Souto, M.F.O.; Marino, V.S.P.; Tupinambá, A.-L.F.; França, A. Hypocitraturia: A risk factor for reduced bone mineral density in idiopathic hypercalciuria? Pediatr. Nephrol. Berl. Ger. 2006, 21, 74–78. [Google Scholar] [CrossRef]
- Schwaderer, A.L.; Cronin, R.; Mahan, J.D.; Bates, C.M. Low bone density in children with hypercalciuria and/or nephrolithiasis. Pediatr. Nephrol. Berl. Ger. 2008, 23, 2209–2214. [Google Scholar] [CrossRef]
- Artemiuk, I.; Pańczyk-Tomaszewska, M.; Adamczuk, D.; Przedlacki, J.; Roszkowska-Blaim, M. Bone mineral density in children with idiopathic hypercalciuria. Dev. Period Med. 2015, 19, 356–361. [Google Scholar]
- Gambaro, G.; Croppi, E.; Coe, F.; Lingeman, J.; Moe, O.; Worcester, E.; Buchholz, N.; Bushinsky, D.; Curhan, G.C.; Ferraro, P.M.; et al. Metabolic diagnosis and medical prevention of calcium nephrolithiasis and its systemic manifestations: A consensus statement. J. Nephrol. 2016, 29, 715–734. [Google Scholar] [CrossRef]




| Age | mg Calcium/mg Creatinine |
|---|---|
| <1 year | <0.81 |
| 1–3 years | <0.53 |
| 3–5 years | <0.39 |
| 5–7 years | <0.28 |
| >7 years | <0.21 |
| Parameter | N | Mean ± SD | Units | Median (q25–q75) |
|---|---|---|---|---|
| 25-hydroxy-vitamin D | 35 | 20.02 ± 8.52 | ng/mL | 20.2 (11.8–25.00) |
| Ca | 35 | 9.72 ± 1.19 | mg/dL | 9.8 (9.6–10.20) |
| Calciuria | 36 | 4.28 ± 1.85 | mg/kg/24 h | 4.515 (2.94–5.37) |
| Ca/Creatinine | 33 | 0.19 ± 0.16 | mg/mg | 0.198 (0.13–0.26) |
| Z-score | 36 | −0.73 ± 0.87 | - | −0.855 ((−)1.26–(−)0.36) |
| Parameter | N | Mean ± SD | Units | Median (q25–q75) |
|---|---|---|---|---|
| 25-hydroxy-vitamin D | 22 | 29.85 ± 9.65 | ng/mL | 29.25 (21.5–35.5) |
| Ca | 21 | 10.02 ± 0.41 | mg/dL | 9.9 (9.8–10.20) |
| Calciuria | 21 | 4.5 ± 2.24 | mg/kg/24h | 4.06 (3.30–5.43) |
| Ca/Creatinine | 22 | 0.2 ± 0.09 | mg/mg | 0.185 (0.13–0.26) |
| Z-score | 23 | −1.05 ± 0.77 | - | −0.96 ((−)1.7–(−)0.56) |
| Variables | Time | R Spearman | p |
|---|---|---|---|
| 25-hydroxy-vitamin D and calcium (Ca) | 3 months | 0.451871 | 0.007301 |
| 6 months | 0.215881 | 0.220112 | |
| 9 months | 0.216470 | 0.226283 | |
| 12 months | 0.037120 | 0.834899 | |
| 15 months | 0.297773 | 0.103748 | |
| 18 months | 0.068840 | 0.743692 | |
| 21 months | 0.560887 | 0.004355 | |
| 24 months | 0.237260 | 0.300404 | |
| 25-hydroxy-vitamin D and calciuria | 3 months | 0.093781 | 0.592064 |
| 6 months | −0.040049 | 0.822074 | |
| 9 months | −0.016993 | 0.921642 | |
| 12 months | 0.223403 | 0.204067 | |
| 15 months | 0.059459 | 0.754959 | |
| 18 months | 0.087581 | 0.670520 | |
| 21 months | −0.142049 | 0.507896 | |
| 24 months | −0.059740 | 0.797001 | |
| 25-hydroxy-vitamin D and Ca/creatinine ratio | 3 months | −0.039043 | 0.831986 |
| 6 months | −0.040196 | 0.821432 | |
| 9 months | −0.006245 | 0.971165 | |
| 12 months | −0.133705 | 0.450932 | |
| 15 months | 0.176983 | 0.332539 | |
| 18 months | −0.098432 | 0.647248 | |
| 21 months | −0.235857 | 0.267205 | |
| 24 months | −0.206331 | 0.356917 | |
| 25-hydroxy-vitamin D and densitometry | 12 months | 0.104499 | 0.575855 |
| 24 months | −0.314512 | 0.153997 |
| Time | p Value | Odds Ratio | Confidence OR −95% | Confidence OR +95% | |
|---|---|---|---|---|---|
| 25-hydroxy-vitamin D and urolithiasis activity | 3 months | 0.761 | 0.987 | 0.909 | 1.072 |
| 12 months | 0.498 | 1.027 | 0.952 | 1.108 | |
| 24 months | 0.509 | 1.039 | 0.927 | 1.164 |
© 2020 by the authors. Licensee MDPI, Basel, Switzerland. This article is an open access article distributed under the terms and conditions of the Creative Commons Attribution (CC BY) license (http://creativecommons.org/licenses/by/4.0/).
Share and Cite
Milart, J.; Lewicka, A.; Jobs, K.; Wawrzyniak, A.; Majder-Łopatka, M.; Kalicki, B. Effect of Vitamin D Treatment on Dynamics of Stones Formation in the Urinary Tract and Bone Density in Children with Idiopathic Hypercalciuria. Nutrients 2020, 12, 2521. https://doi.org/10.3390/nu12092521
Milart J, Lewicka A, Jobs K, Wawrzyniak A, Majder-Łopatka M, Kalicki B. Effect of Vitamin D Treatment on Dynamics of Stones Formation in the Urinary Tract and Bone Density in Children with Idiopathic Hypercalciuria. Nutrients. 2020; 12(9):2521. https://doi.org/10.3390/nu12092521
Chicago/Turabian StyleMilart, Joanna, Aneta Lewicka, Katarzyna Jobs, Agata Wawrzyniak, Małgorzata Majder-Łopatka, and Bolesław Kalicki. 2020. "Effect of Vitamin D Treatment on Dynamics of Stones Formation in the Urinary Tract and Bone Density in Children with Idiopathic Hypercalciuria" Nutrients 12, no. 9: 2521. https://doi.org/10.3390/nu12092521
APA StyleMilart, J., Lewicka, A., Jobs, K., Wawrzyniak, A., Majder-Łopatka, M., & Kalicki, B. (2020). Effect of Vitamin D Treatment on Dynamics of Stones Formation in the Urinary Tract and Bone Density in Children with Idiopathic Hypercalciuria. Nutrients, 12(9), 2521. https://doi.org/10.3390/nu12092521

