Nuclear Magnetic Resonance Metabolomics Reveals Qualitative and Quantitative Differences in the Composition of Human Breast Milk and Milk Formulas
Abstract
1. Introduction
2. Materials and Methods
2.1. Ethical Approval
2.2. Reagents and Materials
2.3. Milk Samples
2.4. Sample Preparation
2.5. NMR Spectroscopy
2.6. Data Analysis
3. Results
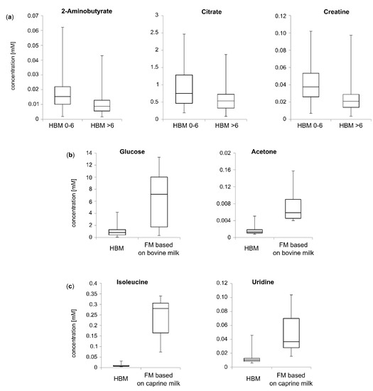
3.1. Comparison of Human Breast Milk Polar Metabolite Composition
3.2. Comparison of Formula Milk Polar Metabolite Composition
3.3. Comparative Metabolomics of HBM and FM Samples
4. Discussion
Supplementary Materials
Author Contributions
Funding
Acknowledgments
Conflicts of Interest
References
- World Health Organization/United Nations Children’s Fund. WHO/UNICEF Global Strat-egy for Infant and Young Child Feeding; World Health Org-Anization: Geneva, Switzerland, 2003.
- Ballard, O.; Morrow, A.L. Human Milk Composition. Nutrients and Bioactive Factors. Pediatr. Clin. N. Am. 2013, 60, 49–74. [Google Scholar] [CrossRef] [PubMed]
- Lawrence, R.M.; Pane, C.A. Human Breast Milk: Current Concepts of Immunology and Infectious Diseases. Curr. Probl. Pediatr. Adolesc. Health Care 2007, 37, 7–36. [Google Scholar] [CrossRef] [PubMed]
- Jakaitis, B.M.; Denning, P.W. Human Breast Milk and the Gastrointestinal Innate Immune System. Clin. Perinatol. 2015, 41, 423–435. [Google Scholar]
- Isaacs, E.B.; Fischl, B.R.; Quinn, B.T.; Chong, W.K.; Gadian, D.G.; Lucas, A. Impact of Breast Milk on IQ, Brain Size and White Matter Development. Pediatr. Res. 2010, 67, 357–362. [Google Scholar] [CrossRef] [PubMed]
- Zou, X.; Ali, A.H.; Abed, S.M.; Guo, Z. Current Knowledge of Lipids in Human Milk and Recent Innovations in Infant Formulas. Curr. Opin. Food Sci. 2017, 16, 28–39. [Google Scholar] [CrossRef]
- Singhal, A.; Cole, T.J.; Lucas, A. Early Nutrition in Preterm Infants and Later Blood Pressure: Two Cohorts after Randomised Trials. Lancet 2001, 357, 413–419. [Google Scholar] [CrossRef]
- Owen, C.G.; Whincup, P.H.; Kaye, S.J.; Martin, R.M.; Smith, G.D.; Cook, D.G.; Bergstrom, E.; Black, S.; Wadsworth, M.E.J.; Fall, C.H.; et al. Does Initial Breastfeeding Lead to Lower Blood Cholesterol in Adult Life? A Quantitative Review of the Evidence. Am. J. Clin. Nutr. 2008, 88, 305–314. [Google Scholar] [CrossRef]
- De Halleux, V.; Rigo, J. Variability in Human Milk Composition: Benefit of Individualized Fortification in Very-Low-Birth-Weight Infants. Am. J. Clin. Nutr. 2013, 98, 529S–535S. [Google Scholar] [CrossRef]
- Ajetunmobi, O.M.; Whyte, B.; Chalmers, J.; Tappin, D.M.; Uk, M.; Wolfson, L.; Fleming, M.; Macdonald, A.; Wood, R.; Stockton, D.L. Breastfeeding is Associated with Reduced Childhood Hospitalization: Evidence from a Scottish Birth Cohort (1997–2009). J. Pediatr. 2015, 166, 620–625.e4. [Google Scholar] [CrossRef]
- Perrone, S.; Longini, M.; Zollino, I.; Bazzini, F.; Tassini, M.; Vivi, A.; Bracciali, C.; Calderisi, M.; Buonocore, G. Breast Milk: To Each His Own. From Metabolomic Study, Evidence of Personalized Nutrition in Preterm Infants. Nutrition 2019, 62, 158–161. [Google Scholar] [CrossRef]
- Commission of the European Communities. Commission Directive 2013/46/EU of 28 August 2013 amending Directive 2006/141/EC with regard to Protein Requirements for Infant Formulae and Follow-on Formulae. Off. J. Eur. Commun. 2013, L230, 16–19. [Google Scholar]
- Commission of the European Communities. Commission Directive 2006/141/EC of 22 December 2006 on Infant Formulae and Follow-On Formulae and Amending Directive 1999/21/EC Text with EEA Relevance. Off. J. Eur. Commun. 2006, 49, 1–33. [Google Scholar]
- Borszewska-Kornacka, M.K.; Chybicka, A.; Czerwionka-szaflarska, M. Zalecenia Polskiego Towarzystwa Gastroenterologii, Hepatologii i Żywienia Dzieci. Stand. Medyczne. Pediatr. 2014, 11, 321–336. [Google Scholar]
- Hewelt-Belka, W.; Garwolińska, D.; Belka, M.; Bączek, T.; Namieśnik, J.; Kot-Wasik, A. A New Dilution-Enrichment Sample Preparation Strategy for Expanded Metabolome Monitoring of Human Breast Milk that Overcomes the Simultaneous Presence of Low- and High-Abundance Lipid Species. Food Chem. 2019, 288, 154–161. [Google Scholar] [CrossRef] [PubMed]
- Sundekilde, U.K.; Downey, E.; O’Mahony, J.A.; O’Shea, C.A.; Ryan, C.A.; Kelly, A.L.; Bertram, H.C. The Effect of Gestational and Lactational Age on the Human Milk Metabolome. Nutrients 2016, 8, 304. [Google Scholar] [CrossRef] [PubMed]
- Smilowitz, J.T.; Sullivan, A.O.Õ.; Barile, D.; German, J.B.; Lo, B. The Human Milk Metabolome Reveals Diverse Oligosaccharide Profiles. J. Nutr. 2013, 143, 1709–1718. [Google Scholar] [CrossRef] [PubMed]
- Wishart, D.S.; Knox, C.; Guo, A.C.; Eisner, R.; Young, N.; Gautam, B.; Hau, D.D.; Psychogios, N.; Dong, E.; Bouatra, S.; et al. HMDB: A Knowledgebase for the Human Metabolome. Nucleic Acids Res. 2009, 37, D603–D610. [Google Scholar] [CrossRef]
- Morera Pons, S.; Bargallo, Â.A.C.; Folgoso, C.C.; Lo, M.; Sabater, Â. Triacylglycerol Composition in Colostrum, Transitional and Mature Human Milk. Eur. J. Clin. Nutr. 2000, 54, 878–882. [Google Scholar] [CrossRef]
- Carratù, B.; Boniglia, C.; Scalise, F.; Ambruzzi, A.M.; Sanzini, E. Nitrogenous Components of Human Milk: Non-Protein Nitrogen, True Protein and Free Amino Acids. Food Chem. 2003, 81, 357–362. [Google Scholar] [CrossRef]
- Batterham, E.S.; Bayley, H.S. Effect of Frequency of Feeding of Diets Containing Free or Protein-Bound Lysine on the Oxidation of [14 C]lysine or [14 C]phenylalanine by Growing Pigs. Br. J. Nutr. 1989, 62, 647–655. [Google Scholar] [CrossRef]
- Harris, R.A.; Joshi, M.; Jeoung, N.H.; Obayashi, M. Overview of the Molecular and Biochemical Basis of Branched-Chain Amino Acid Catabolism. J. Nutr. 2005, 135, 1527S–1530S. [Google Scholar] [CrossRef] [PubMed]
- Mudd, S.H. Hypermethioninemias of Genetic and Non-Genetic Origin: A Review. Am. J. Med. Genet. Part C Semin. Med. Genet. 2011, 157, 3–32. [Google Scholar] [CrossRef] [PubMed]
- Mudd, S.H.; Braverman, N.; Pomper, M.; Tezcan, K.; Kronick, J.; Jayakar, P.; Garganta, C.; Ampola, M.G.; Levy, H.L.; McCandless, S.E.; et al. Infantile Hypermethioninemia and Hyperhomocysteinemia Due to High Methionine Intake: A Diagnostic Trap. Mol. Genet. Metab. 2003, 79, 6–16. [Google Scholar] [CrossRef]
- Banta-Wright, S.A.; Shelton, K.C.; Lowe, N.D.; Knafl, K.A.; Houck, G.M. Breast-Feeding Success among Infants with Phenylketonuria. J. Pediatr. Nurs. 2012, 27, 319–327. [Google Scholar] [CrossRef] [PubMed]
- Acosta, P.B.; Matalon, K.M. Nutrition Management of Patients with Inherited Disorders of Aromatic Amino Acid Metabolism; Jones and Bartlett Publishers: Sudbury, MA, USA, 2010; ISBN 9780763757779. [Google Scholar]
- Pinto, A.; Adams, S.; Ahring, K.; Allen, H.; Almeida, M.F.; Garcia-Arenas, D.; Arslan, N.; Assoun, M.; Atik Altınok, Y.; Barrio-Carreras, D.; et al. Early Feeding Practices in Infants with Phenylketonuria across Europe. Mol. Genet. Metab. Rep. 2018, 16, 82–89. [Google Scholar] [CrossRef] [PubMed]
- Grandhee, S.K.; Monnier, V.M. Mechanism of Formation of the Maillard Protein Cross-Link Pentosidine: Glucose, Fructose, and Ascorbate as Pentosidine Precursors. J. Biol. Chem. 1991, 266, 11649–11653. [Google Scholar] [PubMed]
- Li, K.; Jiang, J.; Xiao, H.; Wu, K.; Qi, C.; Sun, J.; Li, D. Changes in the Metabolite Profile of Breast Milk over Lactation Stages and Their Relationship with Dietary Intake in Chinese Women: HPLC-QTOFMS Based Metabolomic Analysis. Food Funct. 2018, 9, 5189–5197. [Google Scholar] [CrossRef]
- Scano, P.; Murgia, A.; Demuru, M.; Consonni, R.; Caboni, P. Metabolite Profiles of Formula Milk Compared to Breast Milk. Food Res. Int. 2016, 87, 76–82. [Google Scholar] [CrossRef]
- Kuhn, S.; Slavetinsky, C.J.; Peschel, A. Synthesis and Function of Phospholipids in Staphylococcus Aureus. Int. J. Med. Microbiol. 2015, 305, 196–202. [Google Scholar] [CrossRef]
- Gómez-Gallego, C.; Morales, J.M.; Monleón, D.; du Toit, E.; Kumar, H.; Linderborg, K.M.; Zhang, Y.; Yang, B.; Isolauri, E.; Salminen, S.; et al. Human Breast Milk NMR Metabolomic Profile across Specific Geographical Locations and Its Association with the Milk Microbiota. Nutrients 2018, 10, 1355. [Google Scholar] [CrossRef]
- Gay, M.C.L.; Koleva, P.T.; Slupsky, C.M.; du Toit, E.; Eggesbo, M.; Johnson, C.C.; Wegienka, G.; Shimojo, N.; Campbell, D.E.; Prescott, S.L.; et al. Worldwide Variation in Human Milk Metabolome: Indicators of Breast Physiology and Maternal Lifestyle? Nutrients 2018, 10, 1151. [Google Scholar] [CrossRef] [PubMed]
- Marcobal, A.; Barboza, M.; Froehlich, J.W.; Block, D.E.; Bruce, J.; Lebrilla, C.B.; Mills, D.A. Consumption of Human Milk Oligosaccharides by Gut-Related Microbes. J. Agric. Food Chem. 2011, 58, 5334–5340. [Google Scholar] [CrossRef] [PubMed]
- Kulinich, A.; Liu, L. Human Milk Oligosaccharides: The Role in the Fine-Tuning of Innate Immune Responses. Carbohydr. Res. 2016, 432, 62–70. [Google Scholar] [CrossRef] [PubMed]
- Battini, R.; Alessandrì, M.G.; Leuzzi, V.; Moro, F.; Tosetti, M.; Bianchi, M.C.; Cioni, G. Arginine: Glycine Amidinotransferase (AGAT) Deficiency in a Newborn: Early Treatment Can Prevent Phenotypic Expression of the Disease. J. Pediatr. 2006, 148, 828–830. [Google Scholar] [CrossRef] [PubMed]
- Braissant, O.; Henry, H.; Béard, E.; Uldry, J. Creatine Deficiency Syndromes and the Importance of Creatine Synthesis in the Brain. Amino Acids 2011, 40, 1315–1324. [Google Scholar] [CrossRef]
- Gil, A.; Pita, M.; Martinez, A.; Molina, J.A.; Snchez Medina, F. Effect of Dietary Nucleotides on the Plasma Fatty Acids in At-Term Neonates. Hum. Nutr. Clin. Nutr. 1986, 40, 185–195. [Google Scholar]
- DeLucchi, C.; Pita, M.L.; Faus, M.J.; Molina, J.A.; Uauy, R.; Gil, A. Effects of Dietary Nucleotides on the Fatty Acid Composition of Erythrocyte Membrane Lipids in Term Infants. J. Pediatr. Gastroenterol. Nutr. 1987, 6, 568–574. [Google Scholar] [CrossRef]
- Sánchez-Pozo, A.; Ramírez, M.; Gil, A.; Maldonado, J.; van Biervliet, J.P.; Rosseneu, M. Dietary Nucleotides Enhance Plasma Lecithin Cholesterol Acyl Transferase Activity and Apolipoprotein A-IV Concentration in Preterm Newborn Infants. Pediatr. Res. 1995, 37, 328–333. [Google Scholar] [CrossRef]





| # | Metabolite | 1H Chemical shift (ppm) | Assignment | # | Metabolite | 1H Chemical shift (ppm) | Assignment |
|---|---|---|---|---|---|---|---|
| Sugars | Energy metabolites | ||||||
| 1 | 2-Fucosyllactose | 4.22 | Fuc(α1-2) CH-5 | 29 | 2-Oxoglutarate | 2.99 | CH2 |
| 5.30 | Fuc(α1-2) CH-1 | ||||||
| 1.22 | Gal(β1-4) CH3-6 | ||||||
| 4.52 | Gal(β1-4) CH-1 | ||||||
| 2 | 3-SL | 1.79 | CH3 | 30 | Acetone | 2.22 | 2CH3 |
| 3 | 6-SL | 1.73 | CH3 | 31 | Citrate | 2.53 | α-CH2 |
| 2.66 | α’-CH2 | ||||||
| 4 | Fucose | 1.19–5.19 | Multiple | 32 | Creatine | 3.02 | CH3 |
| 5 | Galactose | 4.55 | CH | 33 | Creatine phosphate | 3.03 | CH3 |
| 6 | Glucose | 3.23 | CH-3 | 34 | Creatinine | 3.03 | CH3 |
| 3.39 | CH-5 | ||||||
| 7 | Lactose | 3.28, 3.5–4.0 | Multiple | 35 | Fumarate | 6.51 | CH=CH |
| 8 | Maltose | 3.27–5.40 | Multiple | 36 | Lactate | 1.32 | CH3 |
| 4.10 | CH | ||||||
| 9 | N-Acetylglucosamine | 2.02 | CH3 | 37 | Pyruvate | 2.36 | CH3 |
| 10 | Sucrose | 3.46–5.40 | Multiple | 38 | Succinate | 2.39 | 2CH2 |
| Amino acids and derivatives | Fatty acids and associated metabolites | ||||||
| 11 | τ-Methylhistidine | 7.06 | CH-4 | 39 | Acetate | 1.91 | CH3 |
| 12 | 2-Aminobutyrate | 0.97 | γ-CH3 | 40 | Butyrate | 0.88 | CH3 |
| 1.89 | β-CH2 | 1.55 | β-CH2 | ||||
| 13 | Alanine | 1.47 | CH3 | 41 | Caprate | 0.85 | CH3 |
| 1.53 | CH2 | ||||||
| 14 | Aspartate | 2.67 | CH | 42 | Caprylate | 0.85 | CH3 |
| 2.80 | CH2 | 1.53 | CH2 | ||||
| 15 | Betaine | 3.26 | CH3 | 43 | Choline | 3.19 | 3CH3 |
| 16 | Carnitine | 2.43 | CH2 | 44 | sn-Glycero-3-phosphocholine | 3.21 | 3CH3 |
| 3.21 | 3CH3 | ||||||
| 17 | Glutamate | 2.12 | β-CH2 | 45 | O-Phosphocholine | 3.21 | 3CH3 |
| 2.33 | γ-CH2 | 4.16 | CH2 | ||||
| 18 | Glutamine | 2.11 | β-CH2 | Vitamins | |||
| 2.46 | α-CH2 | ||||||
| 19 | Isoleucine | 0.93 | δ-CH3 | 46 | Pantothenate | 0.92 | CH3 |
| 1.00 | β-CH3 | ||||||
| 1.25 | γ-CH2 | ||||||
| 1.46 | γ’-CH2 | ||||||
| 1.97 | β-CH | ||||||
| 20 | Leucine | 0.94 | CH3 | Nucleotides and derivatives | |||
| 21 | Methionine | 2.13 | CH3 | 47 | UDP-galactose1 | 3.72–7.94 | Multiple |
| 22 | Phenylalanine | 3.19 | CH2 | 48 | UDP-glucose2 | 3.46–7.94 | Multiple |
| 7.32 | CH-2,6 | ||||||
| 7.37 | CH-4 | ||||||
| 7.42 | CH-3,5 | ||||||
| 23 | Taurine | 3.25 | CH-5 | 49 | Uridine | 5.89 | CH-2 |
| 3.42 | CH-6 | 5.9 | CH-10 | ||||
| 7.86 | CH-11 | ||||||
| 24 | Threonine | 1.31 | γ-CH3 | Others | |||
| 50 | Dimethylamine | 2.71 | 2CH3 | ||||
| 25 | Tryptophan | 7.19 | CH-8 | 51 | Formate | 8.44 | CH |
| 7.27 | CH-7 | ||||||
| 7.31 | CH-2 | ||||||
| 7.53 | CH-6 | ||||||
| 7.73 | CH-9 | 52 | Gluconate | 4.05 | CH | ||
| 26 | Tyrosine | 6.89 | CH-3,5 | 53 | Hippurate | 7.63 | CH-4 |
| 7.18 | CH-2,6 | 7.82 | CH-3,5 | ||||
| 27 | Urea | 5.78 | NH2 | 54 | Malonate | 3.12 | CH2 |
| 28 | Valine | 0.98 | γ-CH3 | ||||
| 1.03 | γ’-CH3 |
© 2020 by the authors. Licensee MDPI, Basel, Switzerland. This article is an open access article distributed under the terms and conditions of the Creative Commons Attribution (CC BY) license (http://creativecommons.org/licenses/by/4.0/).
Share and Cite
Garwolińska, D.; Hewelt-Belka, W.; Kot-Wasik, A.; Sundekilde, U.K. Nuclear Magnetic Resonance Metabolomics Reveals Qualitative and Quantitative Differences in the Composition of Human Breast Milk and Milk Formulas. Nutrients 2020, 12, 921. https://doi.org/10.3390/nu12040921
Garwolińska D, Hewelt-Belka W, Kot-Wasik A, Sundekilde UK. Nuclear Magnetic Resonance Metabolomics Reveals Qualitative and Quantitative Differences in the Composition of Human Breast Milk and Milk Formulas. Nutrients. 2020; 12(4):921. https://doi.org/10.3390/nu12040921
Chicago/Turabian StyleGarwolińska, Dorota, Weronika Hewelt-Belka, Agata Kot-Wasik, and Ulrik Kræmer Sundekilde. 2020. "Nuclear Magnetic Resonance Metabolomics Reveals Qualitative and Quantitative Differences in the Composition of Human Breast Milk and Milk Formulas" Nutrients 12, no. 4: 921. https://doi.org/10.3390/nu12040921
APA StyleGarwolińska, D., Hewelt-Belka, W., Kot-Wasik, A., & Sundekilde, U. K. (2020). Nuclear Magnetic Resonance Metabolomics Reveals Qualitative and Quantitative Differences in the Composition of Human Breast Milk and Milk Formulas. Nutrients, 12(4), 921. https://doi.org/10.3390/nu12040921

