Abstract
Lakes are important components for regulating carbon cycling within landscapes. Most lakes are regarded as CO2 sources to the atmosphere, except for a few eutrophic ones. Algal blooms are common phenomena in many eutrophic lakes and can cause many environmental stresses, yet their effects on the net exchange of CO2 (FCO2) at large spatial scales have not been adequately addressed. We integrated remote sensing and Eddy Covariance (EC) technologies to investigate the effects that algal blooms have on FCO2 in the western basin of Lake Erie—a large lake infamous for these blooms. Three years of long-term EC data (2012–2014) at two sites were analyzed. We found that at both sites: (1) daily FCO2 significantly correlated with daily temperature, light, and wind speed during the algal bloom periods; (2) monthly FCO2 was negatively correlated with chlorophyll-a concentration; and (3) the year with larger algal blooms was always associated with lower carbon emissions. We concluded that large algal blooms could reduce carbon emissions in the western basin of Lake Erie. However, considering the complexity of processes within large lakes, the weak relationship we found, and the potential uncertainties that remain in our estimations of FCO2 and chlorophyll-a, we argue that additional data and analyses are needed to validate our conclusion and examine the underlying regulatory mechanisms.
1. Introduction
Lakes are important regulators in regional and global carbon cycling [1,2,3,4,5]. Carbon produced within lakes or imported from upstream terrestrial ecosystems may be stored in the water, transported downstream, released to the atmosphere via outgassing, and/or deposited in sediments [6,7]. Throughout terrestrial landscapes, most lakes are sources of CO2 [5,8]. When integrated into climate models correctly, they may shift the landscape-based predictions of a CO2 flux [4]. Failing to consider the contributions of lake components in remote sensing-based up-scaling efforts [9,10,11] could lead to unrealistic estimates of the regional carbon budget. To effectively integrate lakes into up-scaled remote sensing products and climate models, it is necessary to understand the main carbon pools in lakes and the major fluxes to/from lakes, as well as the driving mechanisms for the changes in these pools and fluxes.
While the pools of key carbon species (e.g., dissolved organic carbon, DOC, in lake water) can be readily measured, discerning the fluxes (e.g., net exchange of CO2 between the lake surface and the atmosphere, FCO2) tends to be more problematic [1]. The FCO2 is one of the key fluxes of a lake, yet the lack of reliable measurements has led to a poor understanding of long-term change and various driving mechanisms. Internal lake processes such as algal productivity and microbial respiration/mineralization, for example, can fix or release CO2 in the water and directly affect FCO2 by changing CO2 partial pressure (pCO2). Algae can have negligible or significant influences on FCO2/pCO2, depending on a lake’s trophic state, such as the degree of oligotrophy or eutrophy [12,13,14]. Previous studies have reported that FCO2 and pCO2 in water may be related [15] or unrelated [16] to the degree of primary production in phytoplankton. Despite the efforts being made, previous studies sparsely sampled over space and time (e.g., only one or two samples at a few locations per week/month). Large uncertainties may result from such extrapolations [17]. Consequently, the possible influence of algae on FCO2 merits further examination over longer periods and across larger spatial scales.
Lake-atmosphere CO2 exchanges traditionally have been measured via floating chambers with CO2 sensors [18,19] or by CO2 concentrations and gas transfer coefficients [20,21]. These methods have respective advantages, but cannot provide continuous, long-term measurements when observations are required at large spatial scales (e.g., >10 km2). The eddy covariance (EC) technique, which continuously and directly measures the net exchanges of target gas scalars between the atmosphere and underlying surface, provides new opportunities to adequately quantify lake-atmosphere CO2 exchange. In the last two decades, this EC technology has been extensively applied in terrestrial ecosystems to examine the magnitude and driving factors of carbon flux [22,23,24]. Depending on the EC tower design (e.g., the height of instruments and surface roughness), observations are available with footprints that range between dozens to hundreds of km2. A few publications have reported the EC measurements of CO2 fluxes over lakes, however, they exclusively measured small lakes [13,18,25,26,27]. These studies observed diurnal and intra-annual changes of FCO2 and emphasized the important influences that convective mixing and wind have on gas exchange; but no consideration was given to the effects of algae, probably due to the fact that algae was not a prominent characteristic in these small lakes.
Algal blooms, especially harmful algal blooms (HABs), comprise important processes in many lakes worldwide. In previous literature, environmental problems caused by HABs have been reported [28,29,30]; but the association between algal biomass and FCO2 remains poorly understood for large lakes that are susceptible to HABs (e.g., Lake Erie). Small lakes have limited pelagic zones, suggesting that algal biomass may be a minor part of the lake carbon budget. Eutrophic large lakes however, are different, because algae can constitute the most important biological features that determine the magnitude of the ecosystem primary productivity and the ecosystem carbon budget due to large surface area. Lake Erie is the 12th largest lake on Earth by surface area (25,667 km2). Its trophic state varies both spatially and temporally, but the western basin is infamous for HABs and eutrophic conditions, with algal productivity comprising an important internal carbon process [31,32]. The large size of Lake Erie and its associated spatiotemporal variation require new techniques that measure both algal biomass and FCO2 at an equally large spatial scale in order to study their interaction. EC is a preferred method to measure FCO2, rather than traditional floating chambers, due to its larger footprint and higher frequency, which provide enough data in time and space to study the flux dynamics of a large lake. Algal blooms in lakes traditionally are monitored by sampling chlorophyll-a concentration at multiple locations. This approach may readily achieve high frequency sampling with current sensor techniques, but cannot be used across a large spatial scale. Fortunately, aerial chlorophyll-a can be retrieved via remote sensing data [33,34], which matches well with the footprint of EC data. While the integration of remote sensing and EC measurements has been widely applied to study vegetation biomass, gross primary productivity, and evapotranspiration of land ecosystems [9,35], this approach rarely has been applied to the study of the various effects that algae have on ecosystem functions in large lakes.
Previous modeling work suggests that high algae productivity can switch a lake from a net CO2 source to a net sink to the atmosphere [12]. However, the potential long-term effects of algae growth on FCO2 in open water of large lakes have not been carefully investigated using long-term EC measurements of FCO2 at comparable and meaningful scales. In this study, the EC technique was used to measure FCO2 over the western basin of Lake Erie, while remotely-sensed algal biomass was estimated from MODIS that matches the footprint of the carbon flux measurements. The data from these two techniques provide a great opportunity for exploring the long-term relationship between algal biomass and FCO2 at a large spatial scale (4 × 4 km2), which comprises our major study objectives. We hypothesized that algae can significantly reduce carbon emissions due to its carbon assimilation capability. We also hypothesized that stronger correlations would be observed between FCO2 and meteorological variables during periods with algal blooms than those without, because algal biomass would react to the changes in meteorological conditions during blooms.
2. Materials and Methods
2.1. Study Area
Lake Erie is the fourth largest lake by surface area in North America and is well known for HAB events due to cultural eutrophication, especially in its shallow western basin (Figure 1). The western basin comprises about one-fifth of Lake Erie’s total surface area and is naturally delimitated from the deeper central basin by bedrock islands, reefs, and shoals [36]. Following the 1972 Great Lakes Water Quality Agreement (GLWQA), which set maximum target phosphorus (P) loads, western Lake Erie experienced a period of ecological improvement with decreased algal blooms from the late 1970s through to the mid-1990s. However, it has since returned to eutrophic conditions and frequent HAB events, accompanied by change in the dominant phytoplankton species to Microcystis aeruginosa and other cyanobacteria [32]. The Maumee River and the Detroit River strongly influence the turbidly of Western Lake Erie with inflows that bring high loads of suspended sediments [37]. Additionally, inflows from the Maumee River contain rich nutrients from the agriculture-dominated watersheds that spur algae growth [38].
Figure 1.
The study area: western Lake Erie. The two eddy-covariance (EC) towers are marked with a black triangle and a rectangle for the Light House (LightH) site and Crib site, respectively. The black circles represent the locations where water samples were taken for chlorophyll-a extraction at 10–14 day intervals. A MODIS true color image shows the highly turbid water (the top-right) in western Lake Erie. The Crib site is more turbid than the LightH site because it is closer to the mouth of the Maumee River and the shore.
We installed two permanent EC flux stations in October 2011 in western Lake Erie. The first one was installed on top of the NOAA (National Oceanic and Atmospheric Administration) No. 2 Light house (41.8314°N, 83.2006°W) and is hereafter termed the LightH site. The second station is on the city of Toledo’s water intake crib (41.7167°N, 83.2667°W) and is hereafter termed the Crib site (Figure 1). The LightH site is located ~12 km away from the nearest lake coast while the Crib site is ~4 km from the coast. The water at the LightH site is deeper (~7.5 m) than that at the Crib site (~4.8 m), and is usually clearer than the Crib site (Figure 1). The equipment at the two sites has been routinely maintained and in continual operation since October 2011.
2.2. Lake Carbon Cycling and Approaches
Our hypotheses are based on carbon cycling in an idealized lake system surrounded by a terrestrial landscape by considering the balance among the major fluxes to/from the lake and internal carbon processes. The major fluxes include: (1) a portion of the biomass that is fixed in upland terrestrial ecosystems, mineralized, and then exported as dissolved inorganic carbon (DIC) in both groundwater and surface water, (2) another portion of terrestrial biomass that leaches through surface water as organic carbon (DOC) or translocated as particulate organic carbon (POC), (3) a portion of the lake’s POC settles into sediment, (4) the POC in sediments that slowly mineralizes and releases DIC into the water column, (5) all forms of carbon are exported downstream by outflow water from the lake, and (6) the CO2 partial pressure gradient between the lake and the atmosphere that drives the net atmospheric flux (FCO2) of DIC. The internal processes that cycle carbon in the lake through organic and inorganic forms and include: (a) primary producers (i.e., algae) that fix DIC through photosynthesis to POC, (b) the part of the POC exudes as DOC, and (c) the DIC and DOC that are produced in water with POC breakdown. Microbial respiration and photo-degradation mineralize DOC to DIC. With this concept model, when algal productivity becomes a significant carbon process in the lake, the CO2 partial pressure in the water would be reduced through conversion of DIC to POC, leading to a reduced carbon emissions. In the present study, we continuously measured FCO2 using EC techniques and estimated the average chlorophyll-a concentration by remote sensing at similar footprints to the EC towers. A controlled experiment is not possible at such a scale. However, if a negative relationship between FCO2 and chlorophyll-a were found, it would provide meaningful insight and test our hypothesis as to whether algal growth can reduce carbon emissions.
2.3. FCO2 and Meteorological Measurements
Two open-path EC systems were installed at both sites ~15 m above the lake. Each EC system consists of an infrared gas analyzer (IRGA, Model LI-7500A, LI-COR, Lincoln, NE, USA), which measures high-frequency (10 Hz) CO2 and water vapor concentrations, and a CSAT3 three-dimensional sonic anemometer (Campbell Scientific Inc. CSI, Logan, UT, USA), which measures three-dimensional wind velocities and sonic temperatures. The processing of carbon flux and meteorological variables followed the methods of Shao et al. [39]. Briefly, raw data spikes were removed and the diagnostic signals from the CSAT3 and LI-7500A were used to detect and filter out any periods of instrument malfunction. Wind coordinates were rotated to the mean streamline plane that was calculated from the wind data over an entire year [40], and temperature was corrected for changes in atmospheric humidity and pressure [41]. FCO2 between the water surface and the atmosphere was calculated at 30-min intervals as covariance of vertical wind velocity and CO2 concentration with Webb-Pearman-Leuning corrections [42,43]. The self-heating effect of the IRGA during winter also was corrected [44]. Additionally, stationarity and integral turbulent characteristics of each 30-min flux were calculated to filter out data during poor turbulence conditions [45]. Micrometeorological variables, including photosynthetically active radiation (PAR) (LI-190, LI-COR), horizontal wind speed (U), and air temperature (Ta) (HMP45C, CSI) were measured at the same height as the EC system and stored at 30-min intervals. To prevent contamination of land-originated flux signals, we filtered out periods that had less than 80% flux contributed by the 0–4 km fetch. After the data quality was checked, the 30-min FCO2 time series showed 60% gaps per year over the three-year time series. This gap percentage is higher than those of terrestrial EC sites in the same geographic region [46,47,48], however, it is similar to other aquatic flux measurements [49,50]. To further ensure data accuracy, the co-spectra of temperature, H2O, and CO2 with the vertical wind speed were calculated. The expected shape (i.e., the logarithmic following a −4/3 slope against normalized frequency) was found, suggesting that the sensors accurately resolved the high-frequency contributions to the covariance [39]. Data collected in 2012, 2013, and 2014 were used in this study.
2.4. FCO2 Gap Filling
To calculate daily to annual FCO2, the remaining gaps after the quality control process were filled by applying the marginal distribution sampling (MDS) [51] method because: (1) CO2 and water fluxes in lake ecosystems have been found to be directly coupled less with phytoplankton succession than those in terrestrial ecosystems (Vesala et al. 2006), and (2) the autocorrelation structure in the flux data was used and had incorporated self-dependency (Reichstein et al. 2005), providing a robust approach for integrating the daily, monthly, or annual fluxes. The gap-filled data were used while integrating the half-hourly FCO2 to daily and monthly values. Positive values indicated a flux up to the atmosphere and negative values indicated a flux down into the water. To assess the uncertainty caused by gap-filling, the MDS was compared to two other widely used gap-filling techniques: the monthly mean actual measurement and the mean diurnal variation (MDV) methods [52]. We found that different gap-filling techniques yielded an average difference of about 10% on 30-min values, which were further reduced when the values were aggregated into weekly and monthly ones [39]. The average duration of gaps was about 2.35 h, but a few long gaps lasted five to seven days. To further improve data quality for statistical analysis, we only used integrated daily FCO2 of a day with less than 50% of the 30-min gaps, and integrated monthly FCO2 for a month with less than 60% of the 30-min gaps. This ensured that the monthly mean values based on filled data had the same sign as the mean monthly flux based on data without gap-filling.
2.5. Field Measurement Chlorophyll-a
Chlorophyll-a concentration was measured and estimated to represent algae biomass. Water was sampled for chlorophyll-a concentration at six locations in western Lake Erie (Figure 1) at 10–14 days intervals between April and October in 2002 and 2013. At each sampling location and event, two 50 mL replicate water samples were collected at the surface and at 1 m below. Back at the lab, the water samples were filtered using glass-fiber filters (GF/F), which retained fine particles down to 0.7 µm. The filters were desiccated and stored in an ultra-cold freezer (−70 °C). Chlorophyll-a was extracted from the filters using dimethylformamide and analyzed fluorometrically on a Turner fluorometer [53]. These field sampling data were used to validate the estimates of chlorophyll-a concentrations using remote sensing products.
2.6. MODIS Chlorophyll-a Estimation
Chlorophyll-a concentration was also retrieved from remote sensing radioactive measurements by the MODIS sensor on NASA’s Aqua MODIS satellite, which is used for statistical analysis. The empirical OC3 algorithm [34] was used, which assumed that a relationship (usually linear) exists between chlorophyll-a and some functions of the radiometric measurements. Empirical algorithms such as OC3 are treated with skepticism in coastal and inland waters due to the complexity of optical properties, but are useful and produce chlorophyll-a concentrations that are proportional to observed concentrations [54]. Semi-analytical algorithms that inversely model chlorophyll-a from inherent optical properties of color producing agents (e.g., chlorophyll-a, colored dissolved organic carbon, and suspended particulates) are designed to have an advantage over empirical algorithms for optically complex water. However, they are difficult to adapt into a reliable model [55]. Semi/quasi analytical algorithms, including GIOP [56] and GSM [55] with their standard configuration, were compared with OC3 using our field sampled chlorophyll-a, which did not outperform OC3. Based on our literature review, it appears that in many cases empirical algorithms performed significantly better than semi-analytical algorithms in the Laurentian Great Lakes.
Standard NASA MODIS chlorophyll-a products were produced using ocean bands that were designed with high sensitivity over the dynamic range of reflectance that are typical of open oceans. However, western Lake Erie is an inland water body with high turbidity, suggesting it is possible for such ocean bands to be saturated [57]. We thus calculated our own 250 m resolution chlorophyll-a products (Level-2) from the MODIS Level-1A reflectance data with the inclusion of the land/cloud bands. The land/cloud bands with both increased spatial resolution and reduced sensitivity over a broader dynamic range can improve the retrieval of chlorophyll-a over inland water [57]. A total of 1663 Level-1A MODIS images with cloud cover less than 10% were downloaded from NASA’s ocean color website [58] for processing. MODIS geolocation files and Level-1B at-aperture radiances then were produced from Level-1A data using SeaDAS 7.1. From the geolocation files and Level-1B files, 250-m resolution MODIS Level-2 images with chlorophyll-a values then were generated using the OC3 algorithm. Quality flags that indicated cloudy conditions, atmospheric correction failure, severe sun glint, saturation of bands, etc., were used to mask out poor quality pixels for each image. We excluded values outside of the range 0.01–100 μg/L, because OC3 was determined empirically with a global dataset, in which the chlorophyll-a distribution range is approximately 0.008–90 μg/L. Data quality control generated considerable spatial and temporal gaps for MODIS chlorophyll-a concentrations. Spatial and temporal binning algorithms [59] thus were used to determine daily and monthly composites products (Level-3) at 4-km spatial resolution. This resolution was chosen to match the footprint of the EC towers, because our footprint analyses suggested that >75% of the cumulative fluxes were contributed by areas within a 2-km radius of the tower [39]. One advantage of using remote-sensed chlorophyll-a is that it measured the portion of a water column that transmitted light, and spatially matched the footprints of the EC towers better than if the chlorophyll-a were extracted from location-specific sampling. Chlorophyll-a values of the pixels centered on both EC towers were extracted for further analysis with flux and meteorological data. All remote sensing data processes were conducted using SeaDAS 7.1 and ENVI 5.1.
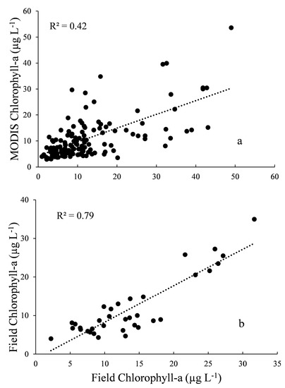
The MODIS chlorophyll-a estimation and field-sampled data on the same day of the same location were compared for validation using linear regression (R2 = 0.42, n = 146, p < 0.05, Figure 2a), which suggested accuracy ranks among the range of reported R2 of applications in the Great Lakes [54]. Whereas this accuracy is good for examining general spatial patterns of algal blooms [30,54], it may not be sufficient for quantitative analysis. However, data accuracy is substantially improved (R2 = 0.79, n = 36, p < 0.05, Figure 2b) if we compare MODIS chlorophyll-a with field-sampled chlorophyll-a by taking the average over space (all points sampled in western Lake Erie) and time (for an entire month). As our regression analysis was based on monthly averages extracted from a 2 × 2 km2 space coverage around the EC towers, this accuracy was deemed acceptable for our application.
Figure 2.
The estimated chlorophyll-a concentration from MODIS was compared with in situ field sampling: (a) each MODIS chlorophyll-a value was extracted from the pixel centered at field sampling location and compared with the sampled chlorophyll-a at that location of the same day, (b) all samples at different locations but within a month were averaged and compared with the average MODIS chlorophyll-a value of the same month at pixels centered on these locations.
2.7. Statistical Analysis
Data were first explored to check normality. Chlorophyll-a concentration was log-normally distributed, while other data all were approximately normally distributed. Therefore, chlorophyll-a data were log-transformed (natural logarithms). To examine whether algal biomass affects the association between meteorological conditions and FCO2 at high frequencies, Pearson’s correlation analysis between 30-min values of FCO2 and PAR, Ta, and U were examined in days with algal blooms (chlorophyll-a ≥ 10 µg/L) and without chlorophyll-a <10 µg/L. Similar Pearson’s correlation analyses of daily values compared results between months with algal blooms (chlorophyll-a ≥ 10 µg/L) and those without blooms (chlorophyll-a < 10 µg/L). A threshold of 10 µg/L chlorophyll-a was used based on literature-reported thresholds for HABs [60]. Based on observed chlorophyll-a by MODIS, algal bloom months included August and September in 2012 and 2014, and August–October in 2013. Note that, because the mean values were used, not every day in an algal bloom month was a bloom day. To examine whether chlorophyll-a could drive changes of FCO2 at seasonal to annual scales/cycles, the potential causal relationship between monthly chlorophyll-a concentrations and FCO2 was explored using regression analysis with monthly mean values. We did not include the analysis of weekly chlorophyll-a concentrations and FCO2 to examine the same relationship at seasonal to annual scales/cycles because: (1) the data size was smaller than monthly data, as there were not many weeks in common that passed our data quality checks, and (2) averaging data by week reduced random noise/error less than averaging the data by month.
The same analyses were applied separately to the LightH and Crib sites. All statistical analyses were performed using the R platform (R Development Core Team, 2014, version 3.1.1).
3. Results
3.1. Algal Growth
Western Lake Erie experienced similar seasonal patterns of algal growth over the three-year study period (i.e., 2012, 2013 and 2014), with higher chlorophyll-a concentrations occurring in August to October and lower concentrations in other months (Figure 3). Based on the temporal and spatial distributions of chlorophyll-a, the algal blooms started in late summer and initiated near the coast. In 2012 and 2014, the largest algal blooms, measured by both concentration and area, occurred in August and September, whereas in 2013 a severe algal bloom continued from August through October.
Figure 3.
The monthly mean chlorophyll-a concentration estimated based on MODIS images for April–November of 2012–2014 in western Lake Erie.
3.2. Changes in FCO2
Seasonal variation of FCO2 was observed at both sites based on monthly mean values (Figure 4). During algal bloom months in late summer and early fall, lower, negative FCO2 to the atmosphere was observed along with many events of carbon absorption. The average FCO2 in September was −0.41, −0.52 and −0.32 in 2012, 2013 and 2014, respectively, at the LightH; the average FCO2 in October was −0.82, −0.71 and −0.63 in 2012, 2013 and 2014, respectively at the Crib. Daily FCO2 at both sites also showed that negative FCO2 occurred more often in late summer and early fall than those at other times (Figure 4). Short substantial CO2 absorption events could happen repeatedly during July through October, along with large emission events, resulting in a greater FCO2 variation during the algal bloom months than that in other times (Figure 4).
Figure 4.
The daily average FCO2 at the Crib (CB) (a) and LightH sites; (b) in 2012–2014; and the monthly average FCO2 at the Crib; (c) and at the LightH sites ;(d) in 2012–2014.
3.3. Meteorological Variables and FCO2
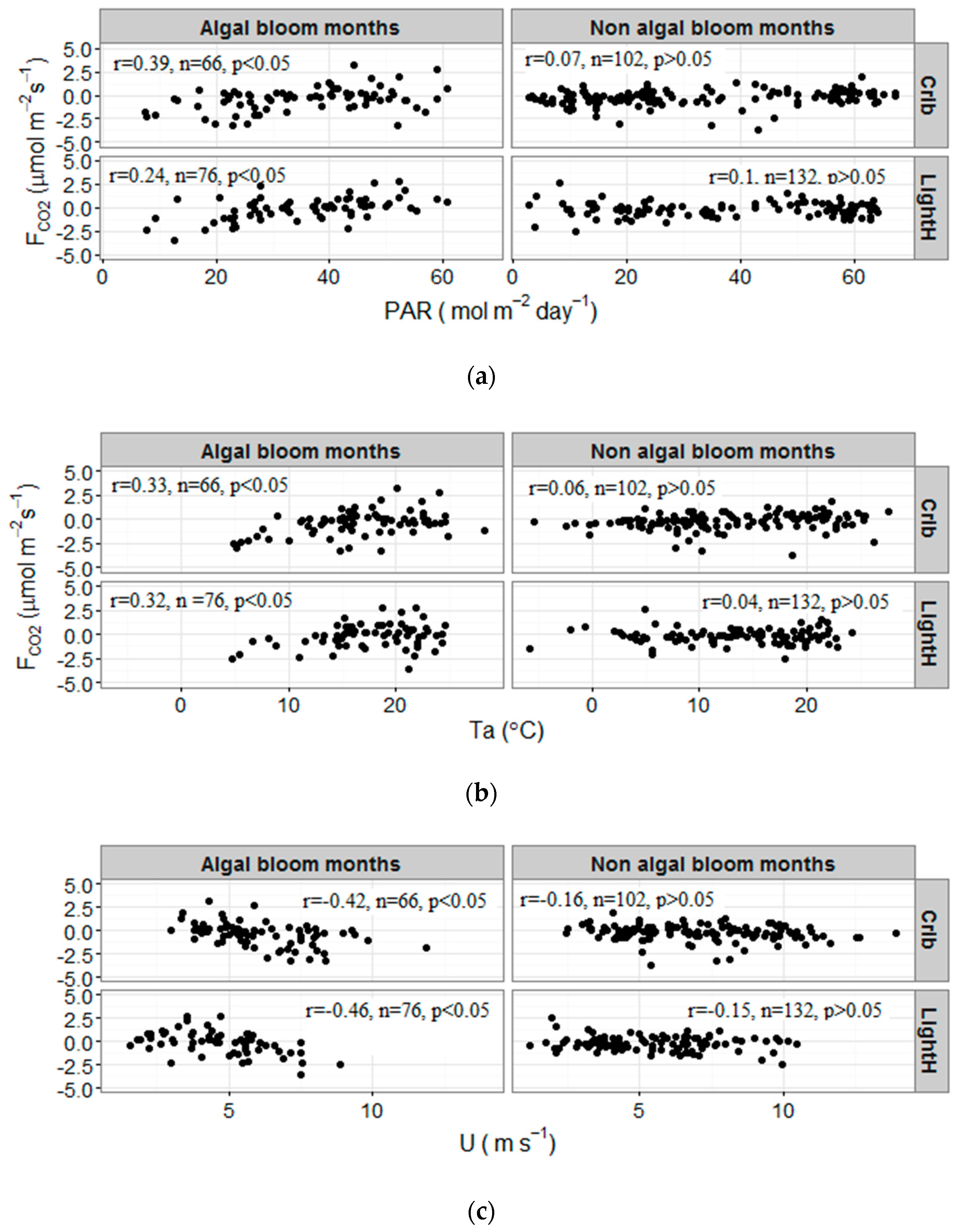
The relationships for the 30-min means of meteorological variables were similar between days with an algal bloom and days without (Figure 5). FCO2 was not significantly correlated to any of the meteorological variables (i.e., PAR, Ta, and U) during the nighttime or daytime at either site (Figure 5). However, the relationship between daily means of the meteorological variables and FCO2 differed between months with algal blooms (August–September in 2012, 2014, and August–October in 2013) and those without (remaining months) (Figure 6). PAR, Ta, and U were significantly correlated with daily average FCO2 during algal bloom months at both sites (Figure 6).
Figure 5.
Changes in 30-min FCO2 with photosynthetically active radiation (PAR) (a) air temperature (Ta) (b), and wind speed (U) (c) during algal bloom days (≥10 µg/L) and non-algal bloom days (<10 µg/L) and changes at the LightH site and the Crib site. There appeared no obvious linear/nonlinear relationships between FCO2 and the three meteorological variable during both day and night periods. Sixty-five and sixty-one algal bloom days were observed for the LightH and Crib sites, respectively.
Figure 6.
(a–c) Changes of daily FCO2 with photosynthetically active radiation (PAR), air temperature (Ta), and wind speed (U) at the LightH and Crib sites during algal bloom months and non-algal bloom months. Significant correlations were observed during algal bloom months (p < 0.05) but not for non-bloom months (p > 0.05).
3.4. Chlorophyll-a and FCO2
High monthly chlorophyll-a at both the LightH and Crib sites caused monthly mean FCO2 to decline according to the regression analysis (R2 = 0.21 and 0.08, respectively) (Figure 7a,b). The low p-values suggested that this negative relationship was statistically significant at the LightH site, but not at the Crib site (Figure 7a,b). Although each site had similar meteorological conditions for different years (Table 1), the year with the highest chlorophyll-a (i.e., 2013) also had the smallest FCO2 (Figure 7c,d), and vice versa. The relationship between monthly chlorophyll-a and FCO2 changed with the magnitude of algal blooms. At each site, a stronger and more significant negative correlation was observed in 2013, which had larger algal blooms than in 2012 and 2014, which had smaller algal blooms (Figure 8).
Figure 7.
Changes in monthly mean chlorophyll-a during the study period at the Crib (a) and LightH (b) sites and inter-annual variations in mean chlorophyll-a (April–November) at the Crib (c) and LightH (d) sites.
Table 1.
The mean values (±standard deviation) of wind speed (U), air temperature (Ta), and photosynthetically active radiation (PAR) April–November at the LightH and Crib sites. PAR values used in this study were cross-validated between the two sites; thus, the same values are reported.
Figure 8.
Changes in the relationship between monthly mean chlorophyll-a and FCO2 over different years (2012–2014) at the LightH (top) and Crib sites (bottom). The relationship was stronger in 2013, which experienced larger algal blooms than that in other years.
4. Discussion
4.1. FCO2 and the Potential Drivers
Most temperate lakes have been reported as net carbon sources to the atmosphere, but some productive lakes instead comprise net carbon sinks [6,12]. The present research did not aim to determine whether western Lake Erie served as a net atmospheric sink or source on an annual scale. However, a previously published study [39] using data from the LightH site suggested that western Lake Erie was indeed a net CO2 source throughout a measurement year. Here, we demonstrated that the Crib site (which is closer to the shore and has greater water turbidity) emitted more CO2 than the LightH site during the study periods (Figure 3 and Figure 6). Thus, we conclude that the Crib site was a stronger net source than the LightH Site. Spatial variation of Fco2 appeared to characterize western Lake Erie.
Studies using methods other than EC continuous measurement have suggested that many factors may affect carbon emissions [1,12,61,62], including landscape characteristics in the surrounding watershed, climate and meteorology, nutrients and chlorophyll-a, and lake physical characteristics. The present study, however, focused on the role of algal biomass/chlorophyll-a. Meteorological variables alone were not significantly related to 30-min FCO2, whether during days with algae blooms or not. These do not contradict previous findings that meteorology and chlorophyll-a are important drivers of lake carbon cycling, but rather suggest difficulty in diagnosing the drivers of lake ecosystem metabolism with high-frequency data [62]. Likewise, studies found that even in more productive terrestrial ecosystems, no single meteorological variable or biotic variable was identified as the sole driver of FCO2 at time scales less than an hour [22,23,48]. However, weak but significant correlation between daily values of meteorological variables and FCO2 were observed during algal bloom months (Figure 5), suggesting that stronger internal processes (e.g., photosynthesis and respiration) were interacting with meteorological conditions during the algal blooms [61,62]. We noted that PAR was positively, rather than negatively, correlated with FCO2 at both sites, i.e., high PAR was associated with increased CO2 emission (Figure 6). This is likely because of the high correlation between daily air temperature and PAR (r = 0.59, n = 1047 for both sites). Algal blooms extended from late summer to fall in western Lake Erie, but peaked during the fall when water mixing/turnover created ideal nutrients, temperature, and light conditions [63]. As a result, carbon absorption tended to happen in early fall when both light and temperature favored algal growth, but may not have been high enough to spur strong respiration. In contrast, PAR reached the highest level during summer, but the algal growth might have been limited by lack of nutrients caused by water stratification and prohibited by excessively strong light. Reduced carbon emissions with algal growth reflected the negative correlation between daily wind speed and FCO2 during algal bloom months (Figure 6). Strong winds can accelerate the CO2 exchange between the water and the atmosphere by enhancing atmosphere turbulence and surface water fluctuation. When CO2 was unsaturated in surface water due to depletion by algae, strong winds might have accelerated the dissolution of atmosphere CO2. While monthly mean values of chlorophyll-a and FCO2 were negatively correlated, daily mean values were not. This suggests that significant algal biomass effect was observable at relatively long-term scales (e.g., over a year’s course). In other lake systems, chlorophyll-a likewise ranked as one of the most important drivers of gross and net primary productivity, but were difficult to resolve at daily scales due to seasonal variations [62]. Notably, the relationships among chlorophyll-a and meteorological variables varied across scale (i.e., 30-min, daily, and monthly means) and differed between our two lake sites. This means that spatiotemporal variation of drivers must be considered when upscaling carbon flux estimations over the lake surface.
4.2. Algal Blooms and Carbon Emissions
Most temperate lakes act as net carbon sources to the atmosphere due to the high amount of allochthonous carbon inputs [4,5,14]. Lake models, however, have suggested that eutrophic conditions can increase the ratio of autochthonous to allochthonous carbon—thereby reducing carbon emissions and sometimes turning a lake into a net carbon sink [12]. Observations in some of the world’s largest lakes also have suggested that high annual productivity was positively correlated with burial efficiency and negatively correlated with atmospheric carbon emissions [15]. Under-saturation of CO2 was observed in many temperate eutrophic lakes, which implies possible atmospheric uptake [64]. Previous literature has found that, during algal growing seasons, western Lake Erie may act as a small carbon sink to the atmosphere [39]. We also observed that in years with more algal biomass, there were lower carbon emissions during April–November at both the LightH and Crib sites. Elevated primary production during algal blooms can draw down CO2 to levels below the atmospheric equilibrium and lead to CO2 absorption (Figure 4). Therefore, our findings are consistent with previous findings and support the hypothesis that algal blooms can reduce carbon emissions to the atmosphere in western Lake Erie.
The effect that algal growth has on reduced carbon emissions, however, is small. Only a weak relationship between chlorophyll-a concentrations and FCO2 was observed. While nutrient-driven primary production was shown to decrease CO2 concentration in temperate eutrophic lakes, the observed correlation was not strong [64]. This weak observed correlation might be due to the contribution of allochthonous carbon (i.e., terrestrial carbon subsidies) to the lake’s carbon processes. It is known that terrestrial carbon subsidies increase CO2 flux from lake ecosystems [65] and might counteract CO2 uptake by algae. Western Lake Erie also receives abundant allochthonous organic materials, which could result in a low ratio of algal primary productivity to heterotrophic mineralization, dampening the effects of chlorophyll-a on CO2 flux. If less allochthonous carbon was received, we would expect a stronger relationship between chlorophyll-a concentrations and FCO2. In contrast, greater effects on carbon emissions might also be observed in larger algal bloom events (Figure 8), since they would increase the ratio of algal primary productivity to heterotrophic mineralization.
4.3. Limitations and Future Research
Several shortfalls exist in this pioneering research that explores the regulatory role algae has in net CO2 exchange between the lake and the atmosphere. The first limitation is inherited from data uncertainty for both chlorophyll-a and FCO2. The negative correlation between chlorophyll-a and FCO2 was not statistically significant at the Crib site, likely because that site is located near the mouth of the Maumee River where the water is more heterotrophic than that at the LightH site. Uncertainties associated with the data also may play a role, including for the chlorophyll-a and FCO2 estimates. For FCO2, although random errors in the flux measurements were resolved by averaging them to monthly mean values [66], gap-filling may have introduced other uncertainties. This is especially critical because data gaps comprised ~60% after QA/QC of the raw fluxes. Future efforts will need to reduce data gaps. Our data process for calculating FCO2 was based on that for terrestrial ecosystems. The EC community needs to develop a robust protocol for processing winter flux over freezing water. Chlorophyll-a was estimated with the OC3 algorithm from MODIS. This algorithm may have led to more uncertainties at the Crib site because of its high turbidity and shallowness of the water. Alternative algorithms for chlorophyll-a estimation in inland waters might be achieved by collecting concentration and spectra of main color-producing agents (e.g., chlorophyll-a, CDOM, and mineral particulates) to develop localized analytical models [33]. MODIS products are limited by coarse spatial resolutions and low time coverage during poor atmospheric conditions. Thus, they are not able to fully capture the spatiotemporal variation of algal concentrations discerned by higher resolution data [62,67]. For our study sites, one plausible solution is to apply different sensors onboard an unmanned aerial vehicle (UAV) to sample waterscapes of different water conditions with optical sensors of multiple bands. Frequent flights during algal bloom periods would provide us with a more accurate estimation of algal biomass and productivity. With these data and improved algorithms, we expect much stronger relationships between algal distribution/dynamics and FCO2.
Another limitation of the study is that we were unable to trace the amount of carbon fixed/released by algae. If larger algal blooms in summer and fall also lead to more mineralization in winter then, within an annual cycle, the effects of algal blooms may vary. However, mineralization and carbon emissions should be low during winter low temperatures and ice freeze, and there is evidence from both in situ measurements and modeling that sedimentation is in proportion to primary production [12]. Therefore, we believe that even in an annual cycle, algal growth would be able to reduce carbon emissions and increase sedimentation. To prove this assumption, future studies should include valid measurements of winter flux as well as measurements/estimation of the burial rate of algae. As introduced earlier in this paper, FCO2 represents the net exchange between the lake surface and the atmosphere, which results from multiple physical and ecological processes. To quantitatively separate the contributions of algae to FCO2, controlled experiments (e.g., mesocosms of different algal concentration, temperature, and turbidity) would be needed.
Finally, chlorophyll-a is a surrogate measure of algal biomass, which is not always proportional to productivity. Chlorophyll-a concentration obviously is not the sole factor that can influence productivity. Meteorological conditions, nutrient availability, and phytoplankton species composition are well-known factors that may directly or indirectly drive changes in productivity [12,61,62]. Moreover, trophic cascading might have a significant effect on the productivity of algae as well [66]. These multiple effects may decrease the coupling of chlorophyll-a and productivity, leading to a weak relationship between chlorophyll-a and FCO2. In addition, other factors may have caused a lag between peak biomass and peak productivity as well. For example, fluctuations in algal productivity do not cascade immediately with grazing, and after reaching maximal productivity due to optimal nutrients, temperature, and light, biomass/chlorophyll-a would keep accumulating if it still exceeds respiration. Although we could not resolve this complexity in this initial study, future research should focus on modeling productivity continuously in relation to FCO2. Recent application of Oxygen-18 (i.e., 18O—a natural, stable isotope of oxygen) [68] appears to be a plausible solution to directly quantify growth and biomass accumulation (i.e., productivity or carbon assimilation); however, models will be necessary to upscale for larger studies. With biomass used as a proxy, a lag effect may be worth examining at different scales using sequential time series data.
5. Conclusions
This research was the first step towards understanding the effects of algal blooms on FCO2 in a large eutrophic lake—in this case, Lake Erie. We demonstrated the relationship between algal growth/blooms and FCO2 at a spatial scale larger than previous observational studies. Results showed that the monthly mean values of algal chlorophyll-a concentrations and FCO2 were negatively correlated in western Lake Erie. We also found that during algal bloom months, the daily mean values of important meteorological variables (e.g., Ta, PAR and U), were significantly related to daily FCO2 due to active internal carbon-related processes. These relationships were not strong and varied spatially, but overall supported our hypothesis that algal growth can reduce carbon emissions. However, considering the complexity of the regulating processes of FCO2 and remaining additional uncertainties in the FCO2 and chlorophyll-a measurements, these results should be interpreted as illustrative rather than definitive. Substantial efforts are needed to better characterize the lake ecosystem, investigate and model the complex processes of FCO2, and explore the mechanistic connections between algal biomass and FCO2 at multiple spatial and temporal scales.
Acknowledgments
We thank Michael Deal, Yahn-Jauh Su, Cody Kish, Butch Berger, Andrew McClure, Brenda Snyder, and others from the City of Toledo Division of Water Treatment for building and maintaining the site infrastructure and assisting in the data collection and management. Our site was supported by the NOAA Great Lakes Environmental Research Laboratory (GLERL), for which we especially thank Steve Ruberg for help. The National Science Foundation (NSF1034791) Field Station and Marine Labs (FSML), and the US-China Carbon Consortium (USCCC) supported this study. We also thank Gabriela Shirkey for language editing. This is contribution 4612 from NOAA PMEL (Pacific Marine Environmental Lab).
Author Contributions
Zutao Ouyang conceived and designed the experiments; Zutao Ouyang, Changliang Shao, Housen Chu and Ranjeet John performed the experiments; Zutao Ouyang, Changliang Shao, and Housen Chu analyzed the data; Richard Becker and Thomas Bridgeman contributed data and analysis tools; Zutao Ouyang, Carol A. Stepien, and Jiquan Chen wrote the paper.
Conflicts of Interest
The authors declare no conflict of interest.
References
- Hanson, P.C.; Buffam, I.; Rusak, J.A.; Stanley, E.H.; Watras, C. Quantifying lake allochthonous organic carbon budgets using a simple equilibrium model. Limnol. Oceanogr. 2014, 59, 167–181. [Google Scholar] [CrossRef]
- Jonsson, A.; Algesten, G.; Bergstrom, A.K.; Bishop, K.; Sobek, S.; Tranvik, L.J.; Jansson, M. Integrating aquatic carbon fluxes in a boreal catchment carbon budget. J. Hydrol. 2007, 334, 141–150. [Google Scholar] [CrossRef]
- Jonsson, A.; Karlsson, J.; Jansson, M. Sources of carbon dioxide supersaturation in clearwater and humic lakes in Northern Sweden. Ecosystems 2003, 6, 224–235. [Google Scholar] [CrossRef]
- Buffam, I.; Turner, M.G.; Desai, A.R.; Hanson, P.C.; Rusak, J.A.; Lottig, N.R.; Stanley, E.H.; Carpenter, S.R. Integrating aquatic and terrestrial components to construct a complete carbon budget for a north temperate lake district. Glob. Chang. Biol. 2011, 17, 1193–1211. [Google Scholar] [CrossRef]
- Cole, J.J.; Caraco, N.F.; Kling, G.W.; Kratz, T.K. Carbon-dioxide supersaturation in the surface waters of lakes. Science 1994, 265, 1568–1570. [Google Scholar] [CrossRef] [PubMed]
- Tranvik, L.J.; Downing, J.A.; Cotner, J.B.; Loiselle, S.A.; Striegl, R.G.; Ballatore, T.J.; Dillon, P.; Finlay, K.; Fortino, K.; Knoll, L.B.; et al. Lakes and reservoirs as regulators of carbon cycling and climate. Limnol. Oceanogr. 2009, 54, 2298–2314. [Google Scholar] [CrossRef]
- Battin, T.J.; Luyssaert, S.; Kaplan, L.A.; Aufdenkampe, A.K.; Richter, A.; Tranvik, L.J. The boundless carbon cycle. Nat. Geosci. 2009, 2, 598–600. [Google Scholar] [CrossRef]
- Cole, J.J.; Prairie, Y.T.; Caraco, N.F.; McDowell, W.H.; Tranvik, L.J.; Striegl, R.G.; Duarte, C.M.; Kortelainen, P.; Downing, J.A.; Middelburg, J.J.; et al. Plumbing the global carbon cycle: Integrating inland waters into the terrestrial carbon budget. Ecosystems 2007, 10, 172–185. [Google Scholar] [CrossRef]
- Xiao, J.F.; Davis, K.J.; Urban, N.M.; Keller, K.; Saliendra, N.Z. Upscaling carbon fluxes from towers to the regional scale: Influence of parameter variability and land cover representation on regional flux estimates. J. Geophys. Res. Biogeosci. 2011. [Google Scholar] [CrossRef]
- Sun, G.; Caldwell, P.; Noormets, A.; McNulty, S.G.; Cohen, E.; Myers, J.M.; Domec, J.C.; Treasure, E.; Mu, Q.Z.; Xiao, J.F.; et al. Upscaling key ecosystem functions across the conterminous united states by a water centric ecosystem model. J. Geophys. Res. Biogeosci. 2011. [Google Scholar] [CrossRef]
- Jung, M.; Reichstein, M.; Margolis, H.A.; Cescatti, A.; Richardson, A.D.; Arain, M.A.; Arneth, A.; Bernhofer, C.; Bonal, D.; Chen, J.Q.; et al. Global patterns of land-atmosphere fluxes of carbon dioxide, latent heat, and sensible heat derived from eddy covariance, satellite, and meteorological observations. J. Geophys. Res. Biogeosci. 2011. [Google Scholar] [CrossRef]
- Hanson, P.C.; Pollard, A.I.; Bade, D.L.; Predick, K.; Carpenter, S.R.; Foley, J.A. A model of carbon evasion and sedimentation in temperate lakes. Glob. Change Biol. 2004, 10, 1285–1298. [Google Scholar] [CrossRef]
- Jonsson, A.; Aberg, J.; Lindroth, A.; Jansson, M. Gas transfer rate and CO2 flux between an unproductive lake and the atmosphere in Northern Sweden. J. Geophys. Res. Biogeosci. 2008. [Google Scholar] [CrossRef]
- Sobek, S.; Algesten, G.; BergstrÖM, A.K.; Jansson, M.; Tranvik, L.J. The catchment and climate regulation of pCO2 in boreal lakes. Glob. Change Biol. 2003, 9, 630–641. [Google Scholar] [CrossRef]
- Alin, S.R.; Johnson, T.C. Carbon cycling in large lakes of the world: A synthesis of production, burial, and lake-atmosphere exchange estimates. Glob. Biogeochem. Cycles 2007, 21, GB3002. [Google Scholar] [CrossRef]
- Finlay, K.; Leavitt, P.R.; Wissel, B.; Prairie, Y.T. Regulation of spatial and temporal variability of carbon flux in six hard-water lakes of the northern great plains. Limnol. Oceanogr. 2009, 54, 2553–2564. [Google Scholar] [CrossRef]
- Sellers, P.; Hesslein, R.H.; Kelly, C.A.K. Continuous measurement of CO2 for estimation of air-water fluxes in lakes: An in situ technique. Limnol. Oceanogr. 1995, 40, 575–581. [Google Scholar] [CrossRef]
- Eugster, W.; Kling, G.; Jonas, T.; McFadden, J.P.; Wuest, A.; MacIntyre, S.; Chapin, F.S. CO2 exchange between air and water in an Arctic Alaskan and midlatitude Swiss Lake: Importance of convective mixing. J. Geophys. Res. Atmos. 2003. [Google Scholar] [CrossRef]
- Bastviken, D.; Sundgren, I.; Natchimuthu, S.; Reyier, H.; Gålfalk, M. Technical note: Cost-efficient approaches to measure carbon dioxide (CO2) fluxes and concentrations in terrestrial and aquatic environments using mini loggers. Biogeosciences 2015, 12, 3849–3859. [Google Scholar] [CrossRef]
- Cole, J.J.; Caraco, N.F. Atmospheric exchange of carbon dioxide in a low-wind oligotrophic lake measured by the addition of sf6. Limnol. Oceanogr. 1998, 43, 647–656. [Google Scholar] [CrossRef]
- Morales-Pineda, M.; Cózar, A.; Laiz, I.; Úbeda, B.; Gálvez, J.Á. Daily, biweekly, and seasonal temporal scales of pCO2 variability in two stratified mediterranean reservoirs. J. Geophys. Res. Biogeosci. 2014, 119, 509–520. [Google Scholar] [CrossRef]
- Baldocchi, D.; Falge, E.; Wilson, K. A spectral analysis of biosphere-atmosphere trace gas flux densities and meteorological variables across hour to multi-year time scales. Agric. For. Meteorol. 2001, 107, 1–27. [Google Scholar] [CrossRef]
- Stoy, P.C.; Richardson, A.D.; Baldocchi, D.D.; Katul, G.G.; Stanovick, J.; Mahecha, M.D.; Reichstein, M.; Detto, M.; Law, B.E.; Wohlfahrt, G.; et al. Biosphere-atmosphere exchange of CO2 in relation to climate: A cross-biome analysis across multiple time scales. Biogeosciences 2009, 6, 2297–2312. [Google Scholar] [CrossRef]
- Yi, C.X.; Ricciuto, D.; Li, R.; Wolbeck, J.; Xu, X.Y.; Nilsson, M.; Aires, L.; Albertson, J.D.; Ammann, C.; Arain, M.A.; et al. Climate control of terrestrial carbon exchange across biomes and continents. Environ. Res. Lett. 2010. [Google Scholar] [CrossRef]
- Anderson, D.E.; Striegl, R.G.; Stannard, D.I.; Michmerhuizen, C.M.; McConnaughey, T.A.; LaBaugh, J.W. Estimating lake-atmosphere CO2 exchange. Limnol. Oceanogr. 1999, 44, 988–1001. [Google Scholar] [CrossRef]
- Vesala, T.; Huotari, J.; Rannik, U.; Suni, T.; Smolander, S.; Sogachev, A.; Launiainen, S.; Ojala, A. Eddy covariance measurements of carbon exchange and latent and sensible heat fluxes over a boreal lake for a full open-water period. J. Geophys. Res. Atmos. 2006. [Google Scholar] [CrossRef]
- Huotari, J.; Ojala, A.; Peltomaa, E.; Nordbo, A.; Launiainen, S.; Pumpanen, J.; Rasilo, T.; Hari, P.; Vesala, T. Long-term direct CO2 flux measurements over a boreal lake: Five years of eddy covariance data. Geophys. Res. Lett. 2011. [Google Scholar] [CrossRef]
- Anderson, D.; Glibert, P.; Burkholder, J. Harmful algal blooms and eutrophication: Nutrient sources, composition, and consequences. Estuaries 2002, 25, 704–726. [Google Scholar] [CrossRef]
- Davies, W.; Nugegoda, D. Harmful algal blooms in the Gippsland Lakes, Victoria: A review. Proce. R. Soc. Vic. 2012, 124, 179–192. [Google Scholar]
- Steffen, M.M.; Belisle, B.S.; Watson, S.B.; Boyer, G.L.; Wilhelm, S.W. Status, causes and controls of cyanobacterial blooms in Lake Erie. J. Gt. Lakes Res. 2014, 40, 215–225. [Google Scholar] [CrossRef]
- Commission, I.J. Phosphorus Management for the Great Lakes; International Joint Commission, Great Lakes Science Advisory Board, Great Lakes Water Quality Board: Windsor, ON, Canada, 1980. [Google Scholar]
- Bridgeman, T.B.; Chaffin, J.D.; Filbrun, J.E. A novel method for tracking Western Lake Erie microcystis blooms, 2002–2011. J. Gt. Lakes Res. 2013, 39, 83–89. [Google Scholar] [CrossRef]
- Bukata, R.P. Satellite Monitoring of Inland and Coastal Water Quality; CRC: New York, NY, USA, 2005. [Google Scholar]
- O'Reilly, J.E. Ocean Color Chlorophyll a Algorithms for Seawifs, OC2 and OC4: Version 4; NOAA, National Marine Fisheries Service: Narragansett, RI, USA, 2000. [Google Scholar]
- Xiao, J.F.; Sun, G.; Chen, J.Q.; Chen, H.; Chen, S.P.; Dong, G.; Gao, S.H.; Guo, H.Q.; Guo, J.X.; Han, S.J.; et al. Carbon fluxes, evapotranspiration, and water use efficiency of terrestrial ecosystems in China. Agric. For. Meteorol. 2013, 182, 76–90. [Google Scholar] [CrossRef]
- Herdendorf, C.E.; Monaco, M.E. Physical and Chemical Limnology of the Island Region of Lake Erie; Ohio State University: Columbus, OH, USA, 1988. [Google Scholar]
- Paul, J.F.; Kasprzyk, R.; Lick, W. Turbidity in the western basin of Lake Erie. J. Geophys. Res. Ocean. 1982, 87, 5779–5784. [Google Scholar] [CrossRef]
- Bertram, P.E. Total phosphorus and dissolved-oxygen trends in the central basin of Lake Erie, 1970–1991. J. Gt. Lakes Res. 1993, 19, 224–236. [Google Scholar] [CrossRef]
- Shao, C.; Chen, J.; Stepien, C.A.; Chu, H.; Ouyang, Z.; Bridgeman, T.B.; Czajkowski, K.P.; Becker, R.H.; John, R. Diurnal to annual changes in latent, sensible heat, and CO2 fluxes over a Laurentian Great Lake: A case study in western Lake Erie. J. Geophys. Res. Biogeosci. 2015, 120, 1587–1604. [Google Scholar] [CrossRef]
- Wilczak, J.M.; Oncley, S.P.; Stage, S.A. Sonic anemometer tilt correction algorithms. Bound. Layer Meteorol. 2001, 99, 127–150. [Google Scholar] [CrossRef]
- Schotanus, P.; Nieuwstadt, F.T.M.; Bruin, H.A.R. Temperature measurement with a sonic anemometer and its application to heat and moisture fluxes. Bound. Layer Meteorol. 1983, 26, 81–93. [Google Scholar] [CrossRef]
- Massman, W.J.; Lee, X. Eddy covariance flux corrections and uncertainties in long-term studies of carbon and energy exchanges. Agric. For. Meteorol. 2002, 113, 121–144. [Google Scholar] [CrossRef]
- Webb, E.K.; Pearman, G.I.; Leuning, R. Correction of flux measurements for density effects due to heat and water-vapor transfer. Quart. J. R. Meteorol. Soc. 1980, 106, 85–100. [Google Scholar] [CrossRef]
- Grelle, A.; Burba, G. Fine-wire thermometer to correct CO2 fluxes by open-path analyzers for artificial density fluctuations. Agric. For. Meteorol. 2007, 147, 48–57. [Google Scholar] [CrossRef]
- Foken, T.; Wichura, B. Tools for quality assessment of surface-based flux measurements. Agric. For. Meteorol. 1996, 78, 83–105. [Google Scholar] [CrossRef]
- Chu, H.; Gottgens, J.F.; Chen, J.; Sun, G.; Desai, A.R.; Ouyang, Z.; Shao, C.; Czajkowski, K. Climatic variability, hydrologic anomaly, and methane emission can turn productive freshwater marshes into net carbon sources. Glob. Change Biol. 2014, 3, 1165–1181. [Google Scholar] [CrossRef] [PubMed]
- Chu, H.; Chen, J.; Gottgens, J.F.; Ouyang, Z.; John, R.; Czajkowski, K.; Becker, R. Net ecosystem methane and carbon dioxide exchanges in a lake erie coastal marsh and a nearby cropland. J. Geophys. Res. Biogeosci. 2014. [Google Scholar] [CrossRef]
- Ouyang, Z.; Chen, J.; Becker, R.; Chu, H.; Xie, J.; Shao, C.; John, R. Disentangling the confounding effects of PAR and air temperature on net ecosystem exchange at multiple time scales. Ecol. Complex. 2014, 19, 46–58. [Google Scholar] [CrossRef]
- Ikawa, H.; Faloona, I.; Kochendorfer, J.; Paw U, K.T.; Oechel, W.C. Air–sea exchange of CO2 at a Northern California coastal site along the california current upwelling system. Biogeosciences 2013, 10, 4419–4432. [Google Scholar] [CrossRef]
- Podgrajsek, E.; Sahlee, E.; Bastviken, D.; Holst, J.; Lindroth, A.; Tranvik, L.; Rutgersson, A. Comparison of floating chamber and eddy covariance measurements of lake greenhouse gas fluxes. Biogeosciences 2014, 11, 4225–4233. [Google Scholar] [CrossRef]
- Reichstein, M.; Falge, E.; Baldocchi, D.; Papale, D.; Aubinet, M.; Berbigier, P.; Bernhofer, C.; Buchmann, N.; Gilmanov, T.; Granier, A.; et al. On the separation of net ecosystem exchange into assimilation and ecosystem respiration: Review and improved algorithm. Glob. Change Biol. 2005, 11, 1424–1439. [Google Scholar] [CrossRef]
- Falge, E.; Baldocchi, D.; Olson, R.; Anthoni, P.; Aubinet, M.; Bernhofer, C.; Burba, G.; Ceulemans, R.; Clement, R.; Dolman, H.; et al. Gap filling strategies for defensible annual sums of net ecosystem exchange. Agric. For. Meteorol. 2001, 107, 43–69. [Google Scholar] [CrossRef]
- Moorhead, D.L.; Bridgeman, T.B.; Morris, J. Changes in water quality of Maumee Bay, Lake Erie: 1974–2002. In Checking the Pulse of Lake Erie; Munawar, M., Heath, R., Eds.; Michigan State University Press: East Lansing, MI, USA, 2008; pp. 129–130. [Google Scholar]
- Lesht, B.M.; Barbiero, R.P.; Warren, G.J. Satellite ocean color algorithms: A review of applications to the Great Lakes. J. Gt. Lakes Res. 2012, 38, 49–60. [Google Scholar] [CrossRef]
- Maritorena, S.; Siegel, D.A.; Peterson, A.R. Optimization of a semianalytical ocean color model for global-scale applications. Appl. Opt. 2002, 41, 2705–2714. [Google Scholar] [CrossRef] [PubMed]
- Franz, B.A.; Werdell, P.J. A generalized framework for modeling of inherent optical properties in remote sensing applications. In Proceedings of the 2010 Ocean Optics XX Conference, Anchorage, AL, USA, 25 September–1 October 2010.
- Franz, B.A.; Werdell, P.J.; Meister, G.; Kwiatkowska, E.J.; Bailey, S.W.; Ahmad, Z.; McClain, C.R. MODIS land bands for ocean remote sensing applications. In Proceedings of the 2006 Ocean Optics XVIII Conference, Montreal, QB, Canada, 9–13 October 2006.
- The Ocean Color Web. Available online: https://oceancolor.gsfc.nasa.gov/cms/ (accessed on 12 December 2016).
- Campbell, J.W.; Blaisdell, J.M.; Darzi, M. Level-3 Seawifs Data Products: SPATIAL and Temporal Binning AlgorIthms; NASA: Greenbelt, MD, USA, 1995; Volume 32.
- Ho, J.C.; Michalak, A.M. Challenges in tracking harmful algal blooms: A synthesis of evidence from Lake Erie. J. Gt. Lakes Res. 2015, 41, 317–325. [Google Scholar] [CrossRef]
- Solomon, C.T.; Bruesewitz, D.A.; Richardson, D.C.; Rose, K.C.; Van de Bogert, M.C.; Hanson, P.C.; Kratz, T.K.; Larget, B.; Adrian, R.; Babin, B.L.; et al. Ecosystem respiration: Drivers of daily variability and background respiration in lakes around the globe. Limnol. Oceanogr. 2013, 58, 849–866. [Google Scholar] [CrossRef]
- Coloso, J.J.; Cole, J.J.; Pace, M.L. Difficulty in discerning drivers of lake ecosystem metabolism with high-frequency data. Ecosystems 2011, 14, 935–948. [Google Scholar] [CrossRef]
- Dodson, S.I. Introduction to Limnology; McGraw-Hill: New York, NY, USA, 2005. [Google Scholar]
- Balmer, M.B.; Downing, J.A. Carbon dioxide concentrations in eutrophic lakes: Undersaturation implies atmospheric uptake. Inland Waters 2011, 1, 125–132. [Google Scholar] [CrossRef]
- Lennon, J.T. Experimental evidence that terrestrial carbon subsidies increase CO2 flux from lake ecosystems. Oecologia 2004, 138, 584–591. [Google Scholar] [CrossRef] [PubMed]
- Richardson, A.D.; Hollinger, D.Y.; Burba, G.G.; Davis, K.J.; Flanagan, L.B.; Katul, G.G.; Munger, J.W.; Ricciuto, D.M.; Stoy, P.C.; Suyker, A.E.; et al. A multi-site analysis of random error in tower-based measurements of carbon and energy fluxes. Agric. For. Meteorol. 2006, 136, 1–18. [Google Scholar] [CrossRef]
- Ruiz-Verdú, A.; Jiménez, J.C.; Lazzaro, X.; Tenjo, C.; Delegido, J.; Pereira, M.; Sobrino, J.A.; Moreno, J. Comparison of MODIS and Landsat-8 retrievals of chlorophyll-a and water temperature over Lake Titicaca. In Proceedings of the 2016 IEEE International Geoscience and Remote Sensing Symposium (IGARSS), Beijing, China, 10–15 July 2016; pp. 7643–7646.
- Tobias, C.R.; Böhlke, J.K.; Harvey, J.W. The oxygen-18 isotope approach for measuring aquatic metabolism in high productivity waters. Limnol. Oceanogr. 2007, 52, 1439–1453. [Google Scholar] [CrossRef]
© 2017 by the authors; licensee MDPI, Basel, Switzerland. This article is an open access article distributed under the terms and conditions of the Creative Commons Attribution (CC-BY) license (http://creativecommons.org/licenses/by/4.0/).







