Variability of Particle Size Distributions in the Bohai Sea and the Yellow Sea
Abstract
:1. Introduction
2. Data and Methods
2.1. Study Area and Sampling
2.2. LISST Measurement
2.3. Methods to Characterize PSDs
2.4. Auxiliary Description
3. Results
3.1. An Estimation of the PSD Slope Using the Power-Law Model
3.2. The PSD and Bio-Optical Variability
3.3. Spatial Variability in PSD in Surface Waters
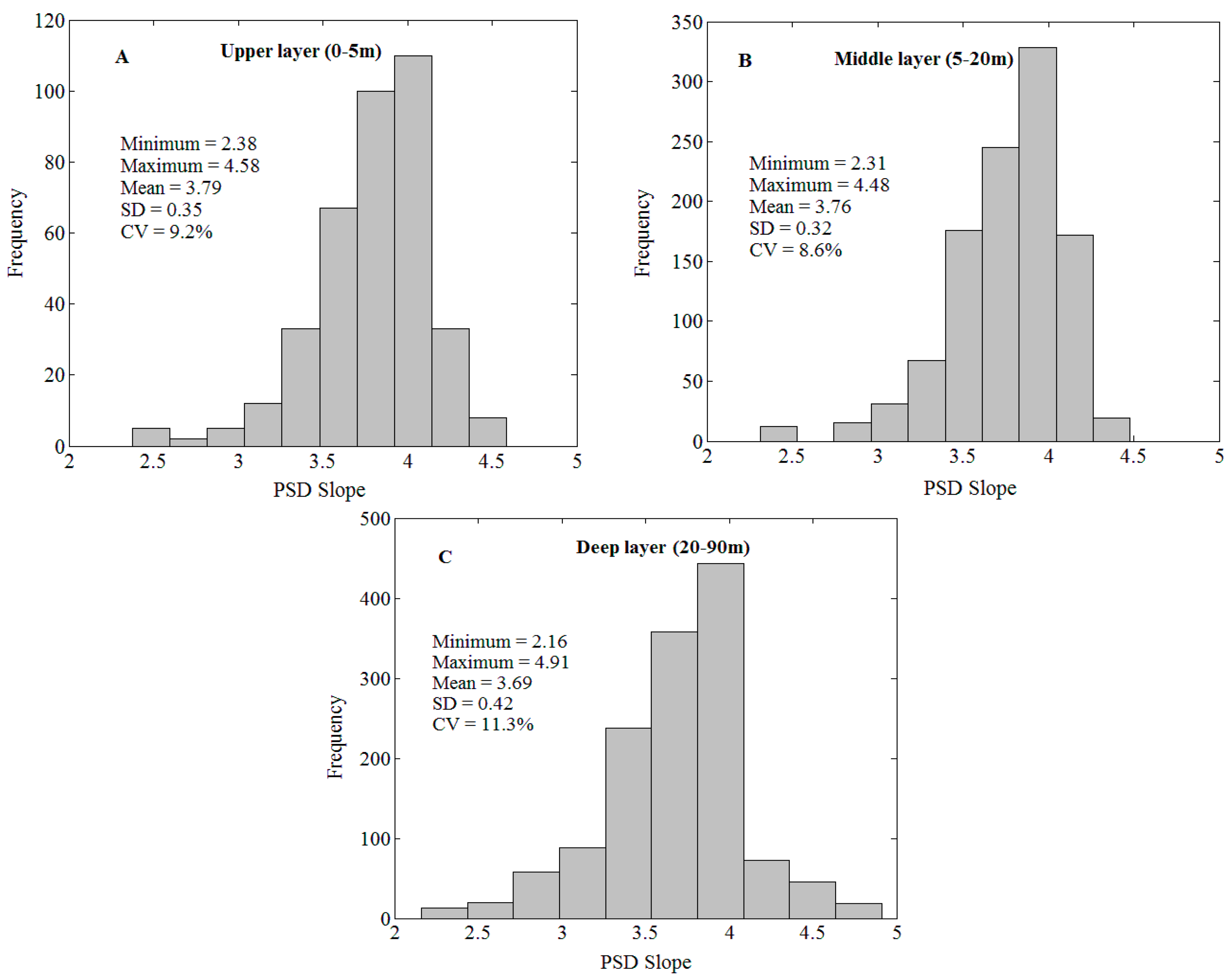
3.4. Vertical Variability in PSD
4. Discussion
5. Conclusions
Acknowledgments
Author Contributions
Conflicts of Interest
References
- Kostadinov, T.S.; Siegel, D.A.; Maritorena, S. Retrieval of the particle size distribution from satellite ocean color observations. J. Geophys. Res. 2009. [Google Scholar] [CrossRef]
- Reynolds, R.A.; Stramski, D.; Wright, V.M.; Woźniak, S.B. Measurements and characterization of particle size distributions in coastal waters. J. Geophys. Res. 2010. [Google Scholar] [CrossRef]
- Bader, H. The hyperbolic distribution of particle sizes. J. Geophys. Res. 1970, 75, 2822–2830. [Google Scholar] [CrossRef]
- Xi, H.; Larouche, P.; Tang, S.; Michel, C. Characterization and variability of particle size distributions in Hudson Bay. Can. J. Geophys. Res. oceans 2014, 119, 3392–3406. [Google Scholar] [CrossRef]
- Falkowski, P.G.; Barber, R.T.; Smetacek, V. Biogeochemical controls and feedbacks on ocean primary production. Science 1998, 281, 200–206. [Google Scholar] [CrossRef] [PubMed]
- Le Quéré, C.; Harrison, S.P.; Prentice, I.C.; Buitenhuis, E.T.; Laurent Bopp, O.A.; Claustre, H.; Da Cunha, L.C.; Geider, R.; Giraud, X.; Klaas, C.; et al. Ecosystem dynamics based on plankton functional types for global ocean biogeochemistry models. Glob. Chang. Biol. 2005, 11, 2016–2040. [Google Scholar]
- Boss, E.; Pegau, W.S. The relationship of light scattering at an angle in the backward direction to the backscattering coefficient. Appl. Opt. 2001, 40, 5503–5507. [Google Scholar] [CrossRef] [PubMed]
- Boss, E.; Pegau, W.S.; Gardner, W.D.; Zaneveld, R.V.; Barnard, A.H.; Twardowski, M.S.; Chang, G.C.; Dickey, T.D. Spectral particulate attenuation and particle size distribution in the bottom boundary layer of a continental shelf. J. Geophys. Res. 2001, 106, 9509–9516. [Google Scholar] [CrossRef]
- Boss, E.; Twardowski, M.S.; Herring, S. Shape of the particulate beam attenuation spectrum and its inversion to obtain the shape of the particulate size distribution. Appl. Opt. 2001, 40, 4885–4893. [Google Scholar] [CrossRef] [PubMed]
- Twardowski, M.S.; Boss, E.; MacDonald, J.B.; Pegau, W.S.; Barnard, A.H.; Zaneveld, J.R.V. A model for estimating bulk refractive index from optical backscattering ratio and the implications for understanding particle composition in case I and case II waters. J. Geophys. Res. 2001. [Google Scholar] [CrossRef]
- Neukermans, G.; Loisel, H.; Mériaux, X.; Astoreca, R.; McKee, D. In situ variability of mass-specific beam attenuation and backscattering of marine particles with respect to particle size, density, and composition. Limnol. Oceanogr. 2012, 1, 124–144. [Google Scholar] [CrossRef]
- Ahn, J.H. Size distribution and settling velocities of suspended particles in a tidal embayment. Water Res. 2012. [Google Scholar] [CrossRef] [PubMed]
- Buesseler, K.O.; Lamborg, C.H.; Boyd, P.W.; Lam, P.J.; Trull, T.W.; Bidigare, R.R.; Bishop, J.K.B.; Casciotti, K.L.; Dehairs, F.; Elskens, M.; et al. Revisiting carbon flux through the ocean’s twilight zone. Science 2007, 316, 567–570. [Google Scholar] [CrossRef] [PubMed]
- Mikkelsen, O.; Pejrup, M. The use of a LISST-100 laser particle sizer for in-situ estimates of floc size, density and settling velocity. Geo-Mar. Lett. 2001, 20, 187–195. [Google Scholar] [CrossRef]
- Carder, K.L.; Costello, D.K. Optical effects of large particles. In Ocean Optics; Spinrad, R.W., Carder, K.L., Perry, M.J., Eds.; Oxford University Press: Oxford, UK, 1994; pp. 243–257. [Google Scholar]
- Jonasz, M.; Fournier, G. Light Scattering by Particles in Water: Theoretical and Experimental Foundations; Academic Press: London, UK, 2007. [Google Scholar]
- Stramski, D.; Boss, E.; Bogucki, D.; Voss, K.J. The role of seawater constituents in light backscattering in the ocean. Prog. Oceanogr. 2004, 61, 27–56. [Google Scholar] [CrossRef]
- Stramski, D.; Woźniak, S.B. On the role of colloidal particles in light scattering in the ocean. Limnol. Oceanogr. 2004, 50, 1581–1591. [Google Scholar] [CrossRef]
- Peng, F.; Effler, S.W.; O’Donnell, D.; Perkins, M.G.; Weidemann, A. Role of minerogenic particles in light scattering in lakes and a river in central New York. Appl. Opt. 2007, 46, 6577–6594. [Google Scholar] [CrossRef] [PubMed]
- Jackson, G.A.; Maffione, R.; Costello, D.K.; Alldredge, A.L.; Logan, B.E.; Dam, H.G. Particle size spectra between 1 mm and 1 cm at Monterey Bay determined using multiple instruments. Deep Sea Res. 1997, 44, 1739–1767. [Google Scholar] [CrossRef]
- Stemmann, L.; Eloire, D.; Sciandra, A.; Jackson, G.A.; Guidi, L.; Picheral, M.; Gorsky, G. Volume distribution for particles between 3.5 to 2000 mm in the upper 200 m region of the South Pacific Gyre. Biogeosciences 2008, 5, 299–310. [Google Scholar] [CrossRef]
- Slade, W.; Boss, E. Calibrated near-forward volume scattering function obtained from the LISST particle sizer. Opt. Express 2006, 8, 3602–3615. [Google Scholar] [CrossRef]
- Anglès, A.; Jordi, A.; Garcés, E.; Masó, M.; Basterretxea, G. High-resolution spatio-temporal distribution of a coastal phytoplankton bloom using laser in situ scattering and transmissometry (LISST). Harmful Algae 2008, 7, 808–816. [Google Scholar] [CrossRef]
- Aurin, D.; Dierssen, H.M.; Twardowski, M.S.; Roesler, C.S. Optical complexity in Long Island Sound and implications for coastal ocean color remote sensing. J. Geophys. Res. 2010. [Google Scholar] [CrossRef]
- Renosh, P.R.; Schmitt, F.G.; Loisel, H.; Sentchev, A.; Mériaux, X. High frequency variability of particle size distribution and its dependency on turbulence over the sea bottom during re-suspension processes. Cont. Shelf Res. 2014, 77, 51–60. [Google Scholar] [CrossRef]
- Renosh, P.R.; Schmitt, F.G.; Loisel, H. Intermittent particle dynamics in marine coastal waters. Nonlinear Process. Geophys. 2015, 22, 5, 633–643. [Google Scholar] [CrossRef]
- Wolanski, E.; Gibbs, R.J. Flocculation of suspended sediment in the Fly River Estuary, Papua New Guinea. J. Coast. Res. 1995, 11, 754–762. [Google Scholar]
- Velegrakis, A.F.; Michel, D.; Collins, M.B.; Lafite, R.; Oikonomou, E.K.; Dupont, J.P.; Bishop, C. Sources, sinks and resuspension of suspended particulate matter in the eastern English Channel. Cont. Shelf Res. 1999, 19, 1933–1957. [Google Scholar] [CrossRef]
- Ceronio, A.D.; Haarhoff, J. An improvement on the power law for the description of particle size distributions in potable water treatment. Water Res. 2005, 39, 305–313. [Google Scholar] [CrossRef] [PubMed]
- Ferry, S.; Zirlewagen, J.; Hillebrand, O.; Licha, T.; Scheytt, T. Preliminary results on the dynamics of particles and their size distribution at a Karst spring during a snowmelt event. J. Hydrol. 2015, 524, 326–332. [Google Scholar]
- Jonasz, M. Nonspherical sediment particles: Comparison of size and volume distributions obtained with an optical and resistive particle counter. Mar. Geol. 1987, 78, 137–142. [Google Scholar] [CrossRef]
- Kitchen, J.; Menzies, D.; Pak, H.; Zaneveld, J. Particle size distributions in a region of coastal upwelling analyzed by characteristic vectors. Limnol. Oceanogr. 1975, 20, 775–783. [Google Scholar] [CrossRef]
- Risovic, D. Two-component model of sea particle size distribution. Deep Sea Res. 1993, 40, 1459–1473. [Google Scholar] [CrossRef]
- Buonassissi, C.J.; Dierssen, H.M. A regional comparison of particle size distributions and the power law approximation in oceanic and estuarine surface waters. J. Geophys. Res. 2010. [Google Scholar] [CrossRef]
- Monahan, E.C.; Zietlow, C.R. Laboratory comparisons of fresh-water and salt-water whitecaps. J. Geophys. Res. 1969, 28, 6961–6966. [Google Scholar] [CrossRef]
- Seibel, B.A. On the depth and scale of metabolic rate variation: Scaling of oxygen consumption rates and enzymatic activity in the class Cephalopoda (Mollusca). J. Exp. Biol. 2007, 210, 1–11. [Google Scholar] [CrossRef] [PubMed]
- Sheldon, R.W.; Prakash, A.; Sutcliffe, W.H., Jr. The size distribution of particles in the ocean. Limnol. Oceanogr. 1972, 17, 327–340. [Google Scholar] [CrossRef]
- Kiefer, D.A.; Berwald, J. A random encounter model for the microbial planktonic community. Limnol. Oceanogr. 1992, 15, 457–467. [Google Scholar] [CrossRef]
- Karageorgis, A.P.; Georgopoulos, D.; Kanellopoulos, T.D.; Mikkelsen, O.A.; Pagou, K.; Kontoyiannis, H.; Paylidou, A.; Anagnostou, Ch. Spatial and seasonal variability of particulate matter optical and size properties in the Eastern Mediterranean Sea. J. Mar. Syst. 2012, 12, 123–134. [Google Scholar] [CrossRef]
- Xi, H.; Larouche, P.; Michel, C.; Tang, S. Beam attenuation, scattering and backscattering of marine particles in relation to particle size distribution and composition in Hudson Bay (Canada). J. Geophys. Res. oceans 2015. [Google Scholar] [CrossRef]
- Woźniak, S.B.; Stramski, D.; Stramska, M.; Reynolds, R.A.; Wright, V.M.; Miksic, E.Y.; Cichocka, M.; Cieplak, A.M. Optical variability of seawater in relation to particle concentration, composition, and size distribution in the nearshore marine environment at Imperial Beach, California. J. Geophys. Res. 2010. [Google Scholar] [CrossRef]
- Peng, F.; Effler, S.W. Mass-specific scattering coefficient for natural minerogenic particle populations: Particle size distribution effect and closure analyses. Appl. Opt. 2012, 51, 2236–2249. [Google Scholar] [CrossRef] [PubMed]
- Wang, S.; Qiu, Z.; Sun, D.; Shen, X.; Zhang, H. Light beam attenuation and backscattering properties of particles in the Bohai Sea and Yellow Sea with relation to biogeochemical properties. J. Geophys. Res. oceans 2016. [Google Scholar] [CrossRef]
- Sun, D.; Qiu, Z.; Hu, C.; Wang, S.; Wang, L.; Zheng, L.; Peng, T.; He, Y. A hybrid method to estimate suspended particle sizes from satellite measurements over Bohai Sea and Yellow Sea. J. Geophys. Res. oceans 2016. [Google Scholar] [CrossRef]
- Morel, A.; Prieur, L. Analysis of variations in ocean color. Limnol. Oceanogr. 1977, 22, 709–722. [Google Scholar] [CrossRef]
- Wei, H.; Sun, J.; Moll, A.; Zhao, L. Phytoplankton dynamics in the Bohai Sea—Observations and modeling. J. Mar. Syst. 2004, 44, 233–251. [Google Scholar] [CrossRef]
- Feng, S.; Li, F.; Li, S. Atmosphere and ocean. In Introduction of Marine Sciences; Higher Education Press: Beijing, China, 1999; pp. 233–267. [Google Scholar]
- He, Y.; Lu, X.; Qiu, Z.; Zhao, J. Shallow water tidal constituents in the Bohai Sea and the Yellow Sea from a numerical adjoint model with TOPEX/POSEIDON altimeter data. Cont. Shelf Res. 2004, 24, 1521–1529. [Google Scholar] [CrossRef]
- Shi, W.; Wang, M.H. Satellite views of the bohai sea, yellow sea, and East China Sea. Prog. Oceanogr. 2012, 104, 10, 30–45. [Google Scholar] [CrossRef]
- Fang, G.H. Tides and Tidal Currents in East China Sea, Huanghai Sea and Bohai Sea. Oceanology of China Seas; Springer: Houten, The Netherlands, 1994; pp. 101–112. [Google Scholar]
- Zhang, M.; Tang, J.; Song, Q.; Dong, Q. Backscattering ratio variation and its implications for studying particle composition: A case study in Yellow and East China seas. J. Geophys. Res. 2010. [Google Scholar] [CrossRef]
- Andrews, S.W.; Nover, D.M.; Reuter, J.E.; Schladow, S.G. Limitations of laser diffraction for measuring fine particles in oligotrophic systems: pitfalls and potential solutions. Water Resour. Res. 2011, 47, 415–421. [Google Scholar] [CrossRef]
- Lefebvre, J.P.; Ouillon, S.; Vinh, V.D.; Arfi, R.; Panché, J.Y.; Mari, X. Seasonal variability of cohesive sediment aggregation in the bach dang-cam estuary, haiphong (vietnam). Geo-Mar. Lett. 2012, 2, 103–121. [Google Scholar] [CrossRef]
- Agrawal, Y.C.; Pottsmith, H.C. Instruments for particle size and settling velocity observations in sediment transport. Mar. Geol. 2011, 168, 89–114. [Google Scholar] [CrossRef]
- Jouon, A.; Ouillon, S.; Douillet, P.; Lefebvre, J.P.; Fernandez, J.M.; Mari, X. Spatio-temporal variability in suspended particulate matter concentration and the role of aggregation on size distribution in a coral reef lagoon. Mar. Geol. 2008, 256, 36–48. [Google Scholar] [CrossRef]
- Ahn, J.H.; Grant, S.B. Size distribution, sources, and seasonality of suspended particles in southern California marine bathing waters. Environ. Sci. Technol. 2007, 41, 695–702. [Google Scholar] [CrossRef] [PubMed]
- Gartner, J.W.; Cheng, R.T.; Wang, P.-F.; Richter, K. Laboratory and field evaluations of the LISST-100 instrument for suspended particle size determinations. Mar. Geol. 2001, 175, 199–219. [Google Scholar] [CrossRef]
- Karp-Boss, L.; Azevedo, L.; Boss, E. LISST-100 measurements of phytoplankton size distribution: Evaluation of the effects of cell shape. Limnol. Oceanogr. 2007, 5, 396–406. [Google Scholar] [CrossRef]
- Serra, T.; Colomer, J.; Cristina, X.P.; Vila, X.; Arellano, J.B.; Casamitjana, X. Evaluation of laser in situ scattering instrument for measuring concentration of phytoplankton, purple sulfur bacteria, and suspended inorganic sediments in lakes. J. Environ. Eng. 2001, 11, 1023–1030. [Google Scholar] [CrossRef]
- Agrawal, Y.; Traykovski, P. Particles in the bottom boundary layer: Concentration and size dynamics through events. J. Geophys. Res. 2001. [Google Scholar] [CrossRef]
- Sequoia Scientific, Inc. LISST-100X Particle Size Analyzer, User’s Manual Version 5.0; Sequoia Scientific, Inc.: Bellevue, WA, USA, 2013. [Google Scholar]
- Traykovski, P.; Latter, R.J.; Irish, J.D. A laboratory evaluation of the laser in situ scattering and transmissometery instrument using natural sediments. Mar. Geol. 1999, 159, 355–367. [Google Scholar] [CrossRef]
- Agrawal, Y.; Whitmire, A.; Mikkelsen, O.A.; Pottsmith, H. Light scattering by random shaped particles and consequences on measuring suspended sediments by laser diffraction. J. Geophys. Res. oceans 2008. [Google Scholar] [CrossRef]
- Milliman, J.D.; Meade, R.H. World-wide delivery of river sediment to the oceans. J. Geol. 1983, 91, 1–21. [Google Scholar] [CrossRef]
- Wang, H.; Yang, Z.; Saito, Y.; Liu, J.P.; Sun, X. Interannual and seasonal variation of the Huanghe (Yellow River) water discharge over the past 50 years: Connections to impacts from ENSO events and dams. Glob. Planet. Chang. 2006, 50, 212–225. [Google Scholar] [CrossRef]
- Xu, J. Variation of sediment flux to the sea in various grain size fractions in relation with the delta accretion of the Huanghe River in China. Acta Oceanol. Sin. 2006, 28, 88–97. [Google Scholar]
- Zou, E.M.; Xiong, X.J.; Guo, B.H.; Lin, K. Characteristics and seasonal variations of the thermocline and halocline in the Huanghai Sea and the East China Sea. J. Oceanogr. Huanghai Bohai Sea 2001, 19, 8–18. [Google Scholar]
- Fu, M.Z.; Wang, Z.L.; Sun, P.; Li, Y.; Li, R.X. Spatial distribution characteristics and the environmental regulation mechanisms of phytoplankton chlorophyll a in South Yellow Sea during summer 2006. Acta Ecol. Sin. 2009, 29, 5366–5375. [Google Scholar]
- Zhou, H.; Zhang, Z.N.; Liu, X.S.; Tu, L.H.; Yu, Z.S. Changes in the shelf macrobenthic community over large temporal and spatial scales in the Bohai Sea, China. J. Mar. Syst. 2007, 67, 312–321. [Google Scholar] [CrossRef]
- Mobley, C.D. Light and Water-Radiative Transfer in Natural Waters; Academic Press: San Diego, CA, USA, 1994. [Google Scholar]
- Astoreca, R.; Doxaran, D.; Ruddick, K.; Rousseau, V.; Lancelot, C. Influence of suspended particle concentration, composition and size on the variability of inherent optical properties of the Southern North Sea. Cont. Shelf Res. 2012, 35, 117–128. [Google Scholar] [CrossRef]
- Peng, T.; Qiu, Z.; Sun, D.; Wang, S. The study of suspended particulate matters particle size distribution based on the power-law model—A case study in the Yellow Sea and Bohai Sea. Mar. Sci. 2016. [Google Scholar] [CrossRef]
- Boredin, S.; Chang, C.W.; Liew, S.C. Effects of the suspended particle size distribution on water remote-sensing reflectance. In Proceedings of the 2013 IEEE International Geoscience and Remote Sensing Symposium, Melbourne, Australia, 21–26 July 2013.
- Huang, J.; Chen, L.; Chen, X. Influence of suspended particle size distribution on the variability of water optical properties of the Poyang Lake, China. In Proceedings of the 2015 IEEE International Geoscience and Remote Sensing Symposium, Milan, Italy, 26–31 July 2015.
- Nasiha, H.J.; Shanmugam, P.; Hariharasudhan, V.G. A new inversion model to estimate bulk refractive index of particles in coastal oceanic waters: Implications for remote sensing. IEEE J. Sel. Top. Appl. Earth Obs. Remote Sens. 2014, 7, 3069–3083. [Google Scholar] [CrossRef]
- Nasiha, H.J.; Shanmugam, P. Estimating the bulk refractive index and related particulate properties of natural waters from remote-sensing data. IEEE J. Sel. Top. Appl. Earth Obs. Remote Sens. 2015, 11, 5324–5335. [Google Scholar] [CrossRef]











| Water Regions | Ranges of PSD Slopes | Mean (± SD) | Stations | References |
|---|---|---|---|---|
| The east and west coast of America and the Atlantic sector of the Southern Ocean | 2.7–4.7 | 3.63 | 175 | Buonassissi and Dierssen, 2010 [34] |
| Coastal and offshore waters around European and French Guyana | 2.5–4.5 | Case 1 water: 3.4 (±0.3); Case 2 water: 3.4 (±0.4) | 366 | Neukermans et al., 2012 [11] |
| The global oceans | 3.04–5.99 (Satellite retrieval) | 4.22 (±0.59) | 480,231 | Kostadinov et al., 2009 [1] |
| European coastal waters | 2.0–4.0 | 3.47 | 36 | Reynolds et al., 2010 [2] |
| Monterey Bay | 2.5–4.3 | 3.46 | 14 | Reynolds et al., 2010 [2] |
| Hudson Bay | 2.84–4.46 | 3.63 (±0.40) | 33 | Xi et al., 2014 [4] |
| Bohai Sea and Yellow Sea | 2.72–4.46 | 3.64 (±0.38) | 79 | This study |
© 2016 by the authors; licensee MDPI, Basel, Switzerland. This article is an open access article distributed under the terms and conditions of the Creative Commons Attribution (CC-BY) license (http://creativecommons.org/licenses/by/4.0/).
Share and Cite
Qiu, Z.; Sun, D.; Hu, C.; Wang, S.; Zheng, L.; Huan, Y.; Peng, T. Variability of Particle Size Distributions in the Bohai Sea and the Yellow Sea. Remote Sens. 2016, 8, 949. https://doi.org/10.3390/rs8110949
Qiu Z, Sun D, Hu C, Wang S, Zheng L, Huan Y, Peng T. Variability of Particle Size Distributions in the Bohai Sea and the Yellow Sea. Remote Sensing. 2016; 8(11):949. https://doi.org/10.3390/rs8110949
Chicago/Turabian StyleQiu, Zhongfeng, Deyong Sun, Chuanmin Hu, Shengqiang Wang, Lufei Zheng, Yu Huan, and Tian Peng. 2016. "Variability of Particle Size Distributions in the Bohai Sea and the Yellow Sea" Remote Sensing 8, no. 11: 949. https://doi.org/10.3390/rs8110949
APA StyleQiu, Z., Sun, D., Hu, C., Wang, S., Zheng, L., Huan, Y., & Peng, T. (2016). Variability of Particle Size Distributions in the Bohai Sea and the Yellow Sea. Remote Sensing, 8(11), 949. https://doi.org/10.3390/rs8110949

