Interactive Correlation Environment (ICE) — A Statistical Web Tool for Data Collinearity Analysis
Abstract
:1. Introduction
2. Tool Development
2.1. The Web Tool
2.2. ICE’s Functions
2.3. Performance of the Web Tool
3. Case Study
3.1. Study Site
3.2. Data Collection
3.2.1. Remote Sensing Reflectance
3.2.2. Chl-a
3.3. Spectral Band Selection
3.4. Calibration and Validation
4. Results and Discussion
4.1. Browsers’ Performance
4.2. Cross-Calibration
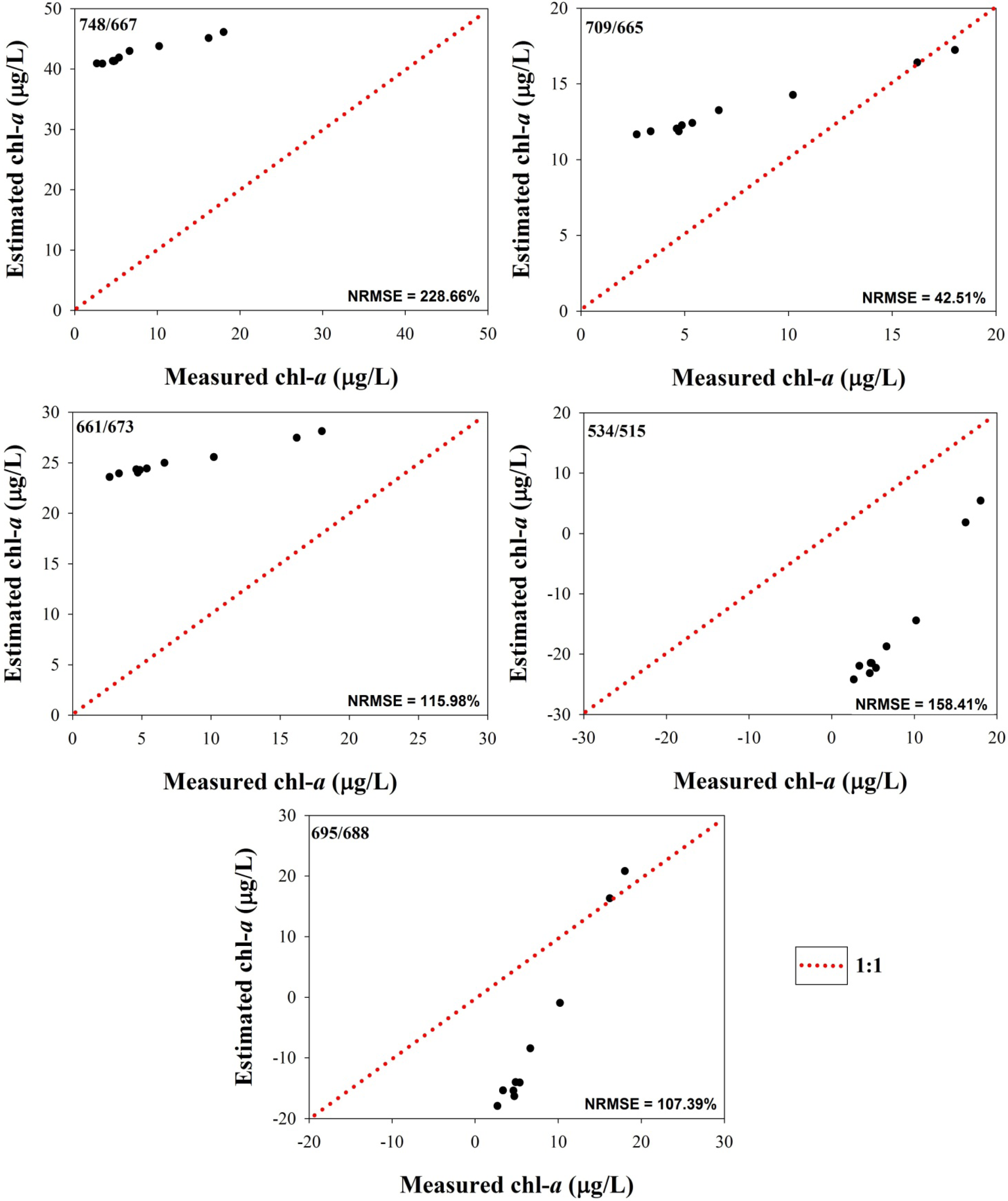
4.3. Validation
5. Conclusions
Acknowledgments
Author Contributions
Conflicts of Interest
References and Notes
- Mitra, D.; Samant, G.; Sengupta, K. Correlogram-based method for comparing biological sequences. Lect. Notes Comput. Sci 2006, 4031, 953–961. [Google Scholar]
- Melton, M.A. Methods for measuring the effect of environmental factors on channel properties. Geophys. Res. Lett 1962, 67, 1485–1490. [Google Scholar]
- Atzberger, C.; Guérif, M.; Baret, F.; Werner, W. Comparative analysis of three chemometric techniques for the spectroradiometric assessment of canopy chlorophyll content in winter wheat. Comput. Electron. Agric 2010, 73, 165–173. [Google Scholar]
- Song, K.; Li, L.; Tedesco, L.P.; Li, S.; Duan, H.; Liu, D.; Hall, B.E.; Du, J.; Li, Z.; Shi, K.; Zhao, Y. Remote estimation of chlorophyll-a in turbid inland waters: Three-band model versus GA-PLS model. Remote Sens. Environ 2013, 136, 342–357. [Google Scholar]
- Song, K.; Li, L.; Li, Z.; Tedesco, L.; Hall, B.; Shi, K. Remote detection of cyanobacteria through phycocyanin for water supply source using three-band model. Ecol. Inform 2013, 15, 22–33. [Google Scholar]
- Zhang, T.-T.; Zeng, S.-L.; Gao, Y.; Ouyang, Z.-T.; Li, B.; Fang, C.-M.; Zhao, B. Using hyperspectral vegetation indices as a proxy to monitor soil salinity. Ecol. Indic 2011, 11, 1552–1562. [Google Scholar]
- Farifteha, J.; Meer, F.V.; Atzberger, C.; Carranza, E.J.M. Quantitative analysis of salt-affected soil reflectance spectra: A comparison of two adaptive methods (PLSR and ANN). Remote Sens. Environ 2007, 110, 59–78. [Google Scholar]
- Hansen, P.M.; Schjoerring, J.K. Reflectance measurement of canopy biomass and nitrogen status in wheat crops using normalized difference vegetation indices and partial least squares regression. Remote Sens. Environ 2003, 86, 542–553. [Google Scholar]
- Vincent, R.K.; Qin, X.M.; McKay, R.M.L.; Miner, J.; Czajkowski, K.; Savino, J.; Bridgeman, T. Phycocyanin detection from Landsat TM data for mapping cyanobacterial blooms in Lake Erie. Remote Sens. Environ 2004, 89, 381–392. [Google Scholar]
- Oki, K. Why is the ratio of reflectivity effective for chlorophyll estimation in the lake water? Remote Sens 2010, 2, 1722–1730. [Google Scholar]
- Ha, N.T.T.; Koike, K.; Nhuan, M.T. Improved accuracy of chlorophyll-a concentration estimates from MODIS imagery using a two-band ratio algorithm and geostatistics: As applied to the monitoring of eutrophication processes over Tien Yen Bay (Northern Vietnam). Remote Sens 2014, 6, 421–442. [Google Scholar]
- Gitelson, A.A.; Dall’Olmo, G.; Moses, W.J.; Rundquist, D.C.; Barrow, T.; Fisher, T.R.; Gurlin, D.; Holz, J. A simple semi-analytical model for remote estimation of chlorophyll-a in turbid waters: Validation. Remote Sens. Environ 2008, 112, 3582–3593. [Google Scholar]
- Ogashawara, I.; Mishra, D.R.; Mishra, S.; Curtarelli, M.P.; Stech, J.L. A performance review of reflectance based algorithms for predicting phycocyanin concentrations in inland waters. Remote Sens 2013, 5, 4774–4798. [Google Scholar]
- Schalles, J.F.; Yacobi, Y.Z. Remote detection and seasonal patterns of phycocyanin, carotenoid, and chlorophyll pigments in eutrophic waters. Arch. Hydrobiol 2000, 55, 153–168. [Google Scholar]
- Simis, S.G.H.; Peters, S.W.M.; Gons, H.J. Remote sensing of the cyanobacterial pigment phycocyanin in turbid inland water. Limnol. Oceanogr 2005, 50, 237–245. [Google Scholar]
- Mishra, S.; Mishra, D.R.; Schluchter, W.M. A novel algorithm for predicting phycocyanin concentrations in cyanobacteria: A proximal hyperspectral remote sensing approach. Remote Sens 2009, 1, 758–775. [Google Scholar]
- O’Connor, G.C.; O’Keefe, B. Viewing the web as a marketplace: The case of small companies. Decis. Support Syst 1997, 21, 171–183. [Google Scholar]
- Power, D.J. Decision Support Systems: Concepts and Resources for Managers; Quorum Books: Westport, CT, USA, 2002. [Google Scholar]
- Delen, D.; Sharda, R.; Kumar, P. Movie forecast Guru: A web-based DSS for Hollywood managers. Decis. Support Syst 2007, 43, 1151–1170. [Google Scholar]
- Rocha, M.I.A.; Branco, C.W.C.; Sampaio, G.F.; Gômara, G.A.; Filippo, R. Spatial and temporal variation of limnological features, Microcystis aeruginosa and zooplankton in a eutrophic reservoir (Funil Reservoir, Rio de Janeiro). Acta Limnol. Bras 2002, 14, 73–86. [Google Scholar]
- Branco, C.W.C.; Rocha, M.I.A.; Pinto, G.F.S.; Gômara, G.A.; Filippo, R. Limnological features of Funil Reservoir (R.J., Brazil) and indicator properties of rotifers and cladocerans of the zooplankton community. Lakes Reserv. Res. Manag 2002, 7, 87–92. [Google Scholar]
- Primo, A.R.R. Avaliação da Influência do Reservatório de Funil na Qualidade da Água do rio Paraíba do Sul. Master Thesis, Universidade de São Paulo, São Paulo, Brazil,. 2006. [Google Scholar]
- Ferrão-Filho, A.S.; Soares, M.C.; Rocha, M.I.A.; Magalhães, V.F.; Azevedo, S.M.F.O. Florações de Cianobactérias tóxicas no Reservatório do Funil: Dinâmica sazonal e consequências para o zooplâncton. Oecologia Bras 2009, 13, 346–365. [Google Scholar]
- Nush, E.A. Comparison of different methods for chlorophyll and phaeopigment determination. Arch. Hydrobiol. Beih. Ergebn. Limnol 1980, 14, 14–36. [Google Scholar]
- Lorenzen, C.J. Determination of chlorophyll and pheo-pigments: Spectrophotometric equations. Limnol. Oceanogr 1967, 12, 343–346. [Google Scholar]
- Moses, W.J.; Gitelson, A.A.; Berdnikov, S.; Povazhnyy, V. Estimation of chlorophyll-a concentration in case II waters using MODIS and MERIS data—Successes and challenges. Environ. Res. Lett 2009, 4, 1–8. [Google Scholar]








| Estimator | Formulas |
|---|---|
| RMSE | |
| NRMSE(%) |
| Dataset | Size | Chrome | Firefox | IE | Safari |
|---|---|---|---|---|---|
| FM12 | (541 × 10) | 0.8 | 0.8 | 1.3 | 2.6 |
| FS12 | (541 × 10) | 0.8 | 0.8 | 1.3 | 2.6 |
| FA13 | (541 × 16) | 1.1 | 1.2 | 2 | 3.3 |
| R700 | (700 × 100) | 5.2 | 13.1 | NS | 32.7 |
| RA1K | (1000 × 100) | NS | 39.4 | NS | 89.1 |
| FM12 | FS12 | FA13 | |||||||
|---|---|---|---|---|---|---|---|---|---|
| Ratio | R2 | Slope | Intercept | R2 | Slope | Intercept | R2 | Slope | Intercept |
| 748/667 | 0.96 | 304.42 | −10.11 | 0.77 | 107.31 | 36.30 | 0.90 | 599.26 | −22.21 |
| 709/665 | 0.99 | 85.91 | −10.17 | 0.89 | 32.098 | 6.67 | 0.95 | 78.00 | −37.04 |
| 661/673 | 0.99 | 121.83 | −136.87 | 0.93 | 35.014 | −16.46 | 0.93 | 293.91 | −332.77 |
| 534/515 | 0.97 | 100.18 | −123.14 | 0.97 | 202.31 | −280.20 | 0.90 | 191.49 | −284.49 |
| 695/688 | 0.99 | 72.21 | −61.76 | 0.97 | 190.22 | −189.41 | 0.96 | 156.92 | −147.09 |
| Calibration | FM12 | FS12 | FA13 | |||
|---|---|---|---|---|---|---|
| Dataset | FS12 | FA13 | FM12 | FA13 | FM12 | FS12 |
| 748/667 | 57.97% | 24.75% | 228.66% | 56.98% | 46.54% | 147.40% |
| 709/665 | 67.12% | 68.56% | 42.51% | 28.97% | 185.99% | 52.15% |
| 661/673 | 92.55% | 28.98% | 115.98% | 30.23% | 71.43% | 282.69% |
| 534/515 | 19.81% | 38.22% | 158.41% | 45.89% | 276.51% | 9.60% |
| 695/688 | 25.84% | 19.98% | 107.39% | 17.15% | 46.63% | 8.36% |
© 2014 by the authors; licensee MDPI, Basel, Switzerland This article is an open access article distributed under the terms and conditions of the Creative Commons Attribution license (http://creativecommons.org/licenses/by/3.0/).
Share and Cite
Ogashawara, I.; Curtarelli, M.P.; Souza, A.F.; Augusto-Silva, P.B.; Alcântara, E.H.; Stech, J.L. Interactive Correlation Environment (ICE) — A Statistical Web Tool for Data Collinearity Analysis. Remote Sens. 2014, 6, 3059-3074. https://doi.org/10.3390/rs6043059
Ogashawara I, Curtarelli MP, Souza AF, Augusto-Silva PB, Alcântara EH, Stech JL. Interactive Correlation Environment (ICE) — A Statistical Web Tool for Data Collinearity Analysis. Remote Sensing. 2014; 6(4):3059-3074. https://doi.org/10.3390/rs6043059
Chicago/Turabian StyleOgashawara, Igor, Marcelo P. Curtarelli, Arley F. Souza, Pétala B. Augusto-Silva, Enner H. Alcântara, and José L. Stech. 2014. "Interactive Correlation Environment (ICE) — A Statistical Web Tool for Data Collinearity Analysis" Remote Sensing 6, no. 4: 3059-3074. https://doi.org/10.3390/rs6043059
APA StyleOgashawara, I., Curtarelli, M. P., Souza, A. F., Augusto-Silva, P. B., Alcântara, E. H., & Stech, J. L. (2014). Interactive Correlation Environment (ICE) — A Statistical Web Tool for Data Collinearity Analysis. Remote Sensing, 6(4), 3059-3074. https://doi.org/10.3390/rs6043059

