Towards Multidecadal Consistent Meteosat Surface Albedo Time Series
Abstract
:1. Introduction
2. Meteosat Surface Albdeo Data
2.1. Data Set Preparation
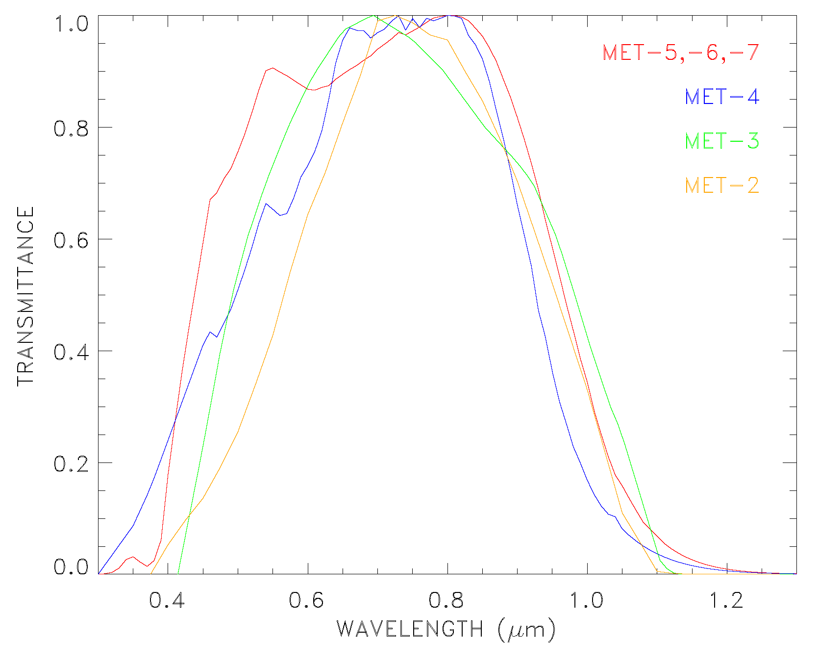
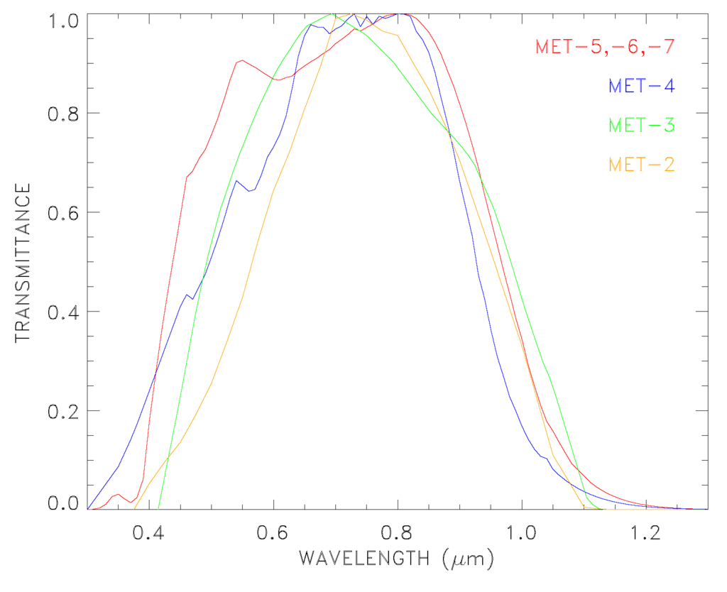
2.2. Spectral Conversion

3. Temporal Consistency Analysis
3.1. Vicarious Calibration Targets
3.2. Analysis of Anomalies


4. Empirical Correction
4.1. Method Description
| sat1/sat2 | original | new coefficients |
|---|---|---|
| 2/3 | 0.030 | –0.006 |
| 3/4 | –0.023 | 0.004 |
| 4/5 | 0.042 | 0.001 |
| 5/6 | 0.003 | 0.002 |
| 6/7 | 0.000 | –0.004 |
4.2. Evaluation of the New Coefficient Robustness
| satellite | channel | a | b | c | d |
|---|---|---|---|---|---|
| 2 | 7.43798614e-01 | -8.48408699e-01 | 9.81895685e-01 | -2.85976712e-05 | |
| 3 | 9.11732554e-01 | -1.07471538e+00 | 1.09896255e+00 | -2.85976712e-05 | |
| 4 | 6.47315860e-01 | -6.55005634e-01 | 1.00361478e+00 | -2.85976712e-05 | |
| 5 | 7.47902989e-01 | -7.66418219e-01 | 1.04928327e+00 | -2.85976712e-05 | |
| 6 | 9.98916626e-01 | -1.13301563e+00 | 1.15992260e+00 | -2.85976712e-05 | |
| 7 | 7.00615168e-01 | -6.88233614e-01 | 1.03751910e+00 | -2.85976712e-05 | |
| 2 | 1.27798259e+00 | -1.45464587e+00 | 1.22636437e+00 | -2.95364443e-05 | |
| 3 | 1.25365901e+00 | -1.52968502e+00 | 1.32036722e+00 | -2.95364443e-05 | |
| 4 | 8.96015048e-01 | -1.07426369e+00 | 1.22655797e+00 | -2.95364589e-05 | |
| 5 | 8.89843404e-01 | -1.09384084e+00 | 1.25341415e+00 | -2.95364443e-05 | |
| 6 | 1.05711114e+00 | -1.31526375e+00 | 1.30573940e+00 | -2.95364443e-05 | |
| 7 | 9.00940299e-01 | -1.11476350e+00 | 1.26273489e+00 | -2.95364589e-05 |
4.3. Results

5. Conclusions
Acknowledgements
References
- Knorr, W.; Schnitzler, K.G.; Govaerts, Y. The role of bright desert regions in shaping North African climate. Geophys. Res. Lett. 2001, 28, 3489–3492. [Google Scholar] [CrossRef]
- Rechid, D.; Hagemann, S.; Jacob, D. Sensitivity of climate models to seasonal variability of snow-free land surface albedo. Theor. Appl. Climatol. 2008, 95, 197–221. [Google Scholar] [CrossRef]
- Pongratz, J.; Raddatz, T.; Reick, C.; Esch, M.; Claussen, M. Radiative forcing from anthropogenic land cover change since A.D. 800. Geophys. Res. Lett. 2009, 36. [Google Scholar] [CrossRef]
- Fletcher, C.; Kushner, P.; Hall, A.; Qu, X. Circulation responses to snow albedo feedback in climate change. Geophys. Res. Lett. 2009, 36. [Google Scholar] [CrossRef]
- Schaaf, C.; Gao, F.; Strahler, A.; Lucht, W.; Li, X.; Tsang, T.; Strugnell, N.C.; Zhang, X.; Jin, Y.; Muller, J.-P.; Lewis, P.; Barnsley, M.; Hobson, P.; Disney, M.; Roberts, G.; Dunderdale, M.; Doll, C.; d’Entremont, R.P.; Hu, B.; Liang, S.; Privette, J.L.; Roy, D. First operational BRDF, albedo and nadir reflectance products from MODIS. Remote Sens. Environ. 2002, 83, 135–148. [Google Scholar] [CrossRef]
- Pinty, B.; Roveda, F.; Verstraete, M.; Gobron, N.; Govaerts, Y.; Martonchik, J.; Diner, D.; Kahn, R. Surface albedo retrieval from Meteosat: Part 2: Applications. J. Geophys. Res. 2000, 105, 18113–18134. [Google Scholar] [CrossRef]
- Pinty, B.; Roveda, F.; Verstraete, M.; Gobron, N.; Govaerts, Y.; Martonchik, J.; Diner, D.; Kahn, R. Surface albedo retrieval from Meteosat 1. Theory. J. Geophys. Res. 2000, 105, 18099–18112. [Google Scholar] [CrossRef]
- Govaerts, Y.; Lattanzio, A. Estimation of surface albedo increase during the eighties Sahel drought from Meteosat observations. Global Planet. Change 2008, 64, 139–145. [Google Scholar] [CrossRef]
- Knapp, K.; Bates, J. ISCCP B1 data at NCDC: A new climate resource. In Proceedings of 13th Satellite Meteorology and Oceanography Conference, Norfolk, VA, USA; 2004. [Google Scholar]
- Govaerts, Y.M.; Lattanzio, A.; Taberner, M.; Pinty, B. Generating global surface albedo products from multiple geostationary satellites. Remote Sens. Environ. 2008, 112, 2804–2816. [Google Scholar] [CrossRef]
- Pinty, B.; Verstraete, M.; Gobron, N.; Govaerts, Y.; Roveda, F. Do Human-induced Fires Affect the Earth Surface reflectance at Continental Scales. EOS Trans. AGU 2000, 81, 381–389. [Google Scholar] [CrossRef]
- Myhre, G.; Govaerts, Y.; Haywood, J.; Berntsen, T.; Lattanzio, A. Radiative effect of surface albedo change from biomass burning. Geophys. Res. Lett. 2005, 32. [Google Scholar] [CrossRef]
- Ohring, G.; Wielicki, B.; Spencer, R.; Emery, B.; Datla, R. Satellite instrument calibration for measuring global climate change: Report of a Workshop. Bull. Amer. Meteorol. Soc. 2005, 86, 1303–1313. [Google Scholar] [CrossRef]
- Schaepman-Strub, G.; Schaepman, M.; Painter, T.; Dangel, S.; Martonchik, J. Reflectance quantities in optical remote sensingdefinitions and case studies. Remote Sens. Environ. 2006, 103, 27–42. [Google Scholar] [CrossRef]
- Pinty, B.; Lattanzio, A.; Martonchik, J.V.; Verstraete, M.M.; Gobron, N.; Taberner, M.; Widlowski, J.L.; Dickinson, R.E.; Govaerts, Y. Coupling diffuse sky radiation and surface albedo. J. Atm. Sci. 2005, 62, 2580–2591. [Google Scholar] [CrossRef]
- Govaerts, Y.M.; Lattanzio, A. Retrieval error estimation of surface albedo derived from geostationary large band satellite observations: Application to Meteosat-2 and Meteosat-7 data. J. Geophys. Res. 2007, 112. [Google Scholar] [CrossRef]
- Govaerts, Y.; Pinty, B.; Taberner, M.; Lattanzio, A. Spectral conversion of surface albedo derived from Meteosat first generation observations. IEEE Geosc. Rem. Sens. Letters 2006, 3, 23–27. [Google Scholar] [CrossRef]
- EUMETSAT. Meteosat Surface Albedo Product Users Manual and Format Guide; EUM/FG/13, Version 2.1; EUMETSAT: Darmstadt, Germany, 2007. [Google Scholar]
- Govaerts, Y.; Clerici, M. Evaluation of radiative transfer simulation accuracy over bright desert calibration sites. Adv. Space Res. 2003, 32, 2201–2210. [Google Scholar] [CrossRef]
- Govaerts, Y.M. Correction of the Meteosat-5 and -6 VIS band relative spectral response with Meteosat-7 characteristics. Int. J. Remote Sens. 1999, 20, 3677–3682. [Google Scholar] [CrossRef]
© 2010 by the authors; licensee Molecular Diversity Preservation International, Basel, Switzerland. This article is an open-access article distributed under the terms and conditions of the Creative Commons Attribution license http://creativecommons.org/licenses/by/3.0/.
Share and Cite
Loew, A.; Govaerts, Y. Towards Multidecadal Consistent Meteosat Surface Albedo Time Series. Remote Sens. 2010, 2, 957-967. https://doi.org/10.3390/rs2040957
Loew A, Govaerts Y. Towards Multidecadal Consistent Meteosat Surface Albedo Time Series. Remote Sensing. 2010; 2(4):957-967. https://doi.org/10.3390/rs2040957
Chicago/Turabian StyleLoew, Alexander, and Yves Govaerts. 2010. "Towards Multidecadal Consistent Meteosat Surface Albedo Time Series" Remote Sensing 2, no. 4: 957-967. https://doi.org/10.3390/rs2040957
APA StyleLoew, A., & Govaerts, Y. (2010). Towards Multidecadal Consistent Meteosat Surface Albedo Time Series. Remote Sensing, 2(4), 957-967. https://doi.org/10.3390/rs2040957
