Sign in to use this feature.

Years

Between: -

Subjects

remove_circle_outline
remove_circle_outline
remove_circle_outline
remove_circle_outline
remove_circle_outline
remove_circle_outline
remove_circle_outline
remove_circle_outline
remove_circle_outline

Journals

remove_circle_outline
remove_circle_outline
remove_circle_outline
remove_circle_outline
remove_circle_outline
remove_circle_outline
remove_circle_outline
remove_circle_outline
remove_circle_outline
remove_circle_outline

Article Types

Countries / Regions

remove_circle_outline
remove_circle_outline
remove_circle_outline
remove_circle_outline
remove_circle_outline
remove_circle_outline
remove_circle_outline

Search Results (1,345)

Search Parameters:
Keywords = essential climate variables

Order results
Result details
Results per page
Select all
Export citation of selected articles as:
28 pages, 1936 KB  
Article
Multi-Objective Optimization of Façade and Roof Opening Configurations for Sustainable Industrial Heritage Retrofit: Enhancing Daylight Availability, Non-Visual Potential, and Energy Performance
by Jian Ma, Zhenxiang Cao, Jie Jian, Kunming Li and Jinyue Wu
Sustainability 2026, 18(7), 3644; https://doi.org/10.3390/su18073644 - 7 Apr 2026
Abstract
During the adaptive reuse of industrial heritage buildings, existing opening systems and envelope performance often pose major constraints. These restrictions make it difficult for the building to meet the requirements of the updated indoor environment, resulting in insufficient daylight and increased energy consumption. [...] Read more.
During the adaptive reuse of industrial heritage buildings, existing opening systems and envelope performance often pose major constraints. These restrictions make it difficult for the building to meet the requirements of the updated indoor environment, resulting in insufficient daylight and increased energy consumption. Therefore, optimizing lighting and energy performance has become the primary goal of the retrofit design. However, with limited interventions, the retrofit of heritage buildings to achieve significant overall performance improvement is still a challenge. From a sustainability perspective, improving daylight utilization and reducing energy demand are essential strategies for achieving low-carbon and resource-efficient building retrofit. This study proposes a grid-based parametric multi-objective optimization approach to optimize the window openings of the building envelope. The approach defines the position, size and material properties of the roof and facade openings as design variables. Implemented via the Honeybee and Octopus platforms, it integrates a genetic algorithm with EnergyPlus and Radiance simulations to co-optimize daylight performance, circadian frequency, and energy use intensity. Taking a single-story typical industrial heritage building in China’s cold climate zone as a case study, it is shown that coordinated multi-objective constraints significantly improve the overall performance across various evaluation metrics. The optimization results also provide interpretable window configuration strategies and recommended parameter ranges, which fully consider the climate adaptability of the surrounding environment. These findings offer useful guidance for sustainable retrofit design decision-making in similar single-story industrial heritage buildings. Full article
(This article belongs to the Section Green Building)
15 pages, 3512 KB  
Article
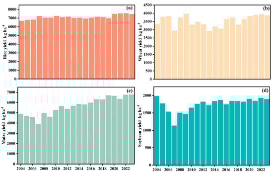
Variation Characteristics of Major Grain Crop Yields and Their Response to Climate Change in Heilongjiang Province, China
by Deqiang Qi, Guanglian Ma, Chenghuang Yu, Jiansong Wang, Hongyu Li, Xiaoyan Liang and Hongtao Xiang
Agriculture 2026, 16(7), 818; https://doi.org/10.3390/agriculture16070818 - 7 Apr 2026
Abstract
Heilongjiang Province is China’s largest commercial grain-producing base, meaning that understanding the stability and climatic sensitivity of its major crops are essential for national food security. Using statistical and meteorological data from 2004 to 2023, this study systematically examines the impacts of climate [...] Read more.
Heilongjiang Province is China’s largest commercial grain-producing base, meaning that understanding the stability and climatic sensitivity of its major crops are essential for national food security. Using statistical and meteorological data from 2004 to 2023, this study systematically examines the impacts of climate change on cropping structure, yield dynamics, and production stability. The results show that over two decades the total grain crops-sown area and the yield per unit area increased by 79.4% and 38.4%, respectively. The cropping pattern shifted from a diversified structure to a maize-soybean-rice dominated pattern, while the wheat area declined by 92.2%. Additionally, mean and extreme yield fluctuations decreased by 52.3% and 42%, respectively. Rice exhibited the highest yield stability, whereas maize and soybeans experienced marked reductions in interannual variability. Spatial analysis identified Harbin and Daqing as hotspots for yield stability risk, characterized by higher yield standard deviations relative to other cities in the province. Climate elasticity analysis revealed that soybeans and rice were sensitive to warming, while wheat responded positively to increased rainfall. Overall, Heilongjiang’s grain production system has expanded and become more stable at the provincial scale, but it remains vulnerable to emerging climatic risks. Strengthening climate adaptation through crop-specific management, varietal improvement, and field water regulation is vital for enhancing system resilience and sustaining food production in cold-region agroecosystems. Full article
(This article belongs to the Section Ecosystem, Environment and Climate Change in Agriculture)
Show Figures

Figure 1

70 pages, 5061 KB  
Systematic Review
Beyond Accuracy: Transferability Limits, Validation Inflation, and Uncertainty Gaps in Satellite-Based Water Quality Monitoring—A Systematic Quantitative Synthesis and Operational Framework
by Saeid Pourmorad, Valerie Graw, Andreas Rienow and Luca Antonio Dimuccio
Remote Sens. 2026, 18(7), 1098; https://doi.org/10.3390/rs18071098 - 7 Apr 2026
Abstract
Satellite remote sensing has become essential for water quality assessment across inland and coastal environments, with rapid improvements in recent years. Significant advances have been made in detecting optically active parameters (such as chlorophyll-a, suspended matter, and turbidity), showing consistently strong performance across [...] Read more.
Satellite remote sensing has become essential for water quality assessment across inland and coastal environments, with rapid improvements in recent years. Significant advances have been made in detecting optically active parameters (such as chlorophyll-a, suspended matter, and turbidity), showing consistently strong performance across multiple studies. Specifically, the median validation performance (R2) derived from the quantitative synthesis indicates R2 = 0.82 for chlorophyll-a (interquartile range—IQR: 0.75–0.90), R2 = 0.80 for total suspended matter (IQR: 0.78–0.85), and R2 = 0.88 for turbidity (IQR: 0.85–0.90). Conversely, the retrieval of optically inactive parameters (such as nutrients like total phosphorus and total nitrogen) remains more context dependent. It exhibits moderate, more variable results, with median R2 = 0.68 (IQR: 0.64–0.74) for total phosphorus and R2 = 0.75 (IQR: 0.70–0.80) for total nitrogen. These findings clearly illustrate the varying success of retrievals of optically active and inactive parameters and underscore the inherent difficulties of indirect estimation methods. However, high reported accuracy has yet to translate into transferable, uncertainty-informed, and operational monitoring systems. This gap stems from structural issues in validation design, physics integration, uncertainty management, and multi-sensor compatibility rather than data limitations alone. We present a PRISMA-guided, distribution-aware quantitative synthesis of 152 peer-reviewed studies (1980–2025), based on a systematic search protocol, to evaluate satellite-based retrievals of both optically active and inactive parameters. Instead of simply averaging performance, we analyse the empirical distributions of validation metrics, considering the validation protocol, sensor type, parameter category, degree of physics integration, and uncertainty quantification. The synthesis demonstrates that validation strategy often influences reported results more than the algorithm class itself, with accuracy inflated under non-independent cross-validation methods and notable variability between studies concealed by mean-based reports. Across four decades, four persistent structural challenges remain: limited transferability across sites and sensors beyond calibration areas; weak or implicit physical integration in many data-driven models; lack of or inconsistency in uncertainty quantification; and fragmented multi-sensor harmonisation that restricts operational scalability. To address these issues, we introduce two evidence-based coding frameworks: a physics-integration taxonomy (P0–P4) and an uncertainty-quantification hierarchy (U0–U4). Applying these frameworks shows that most studies remain focused on low-to-moderate levels of physics integration and primarily consider uncertainty at the prediction stage, with limited attention to upstream sources throughout the observation and inference process. Building on this structured synthesis, we propose a transferable, physics-informed, and uncertainty-aware conceptual framework that links model architecture, validation robustness, and probabilistic uncertainty to well-founded design principles. By shifting satellite water quality modelling from isolated algorithm demonstrations towards integrated, evidence-based system design, this study promotes scalable, decision-grade environmental monitoring amid the accelerating impacts of climate change. Full article
27 pages, 6807 KB  
Article
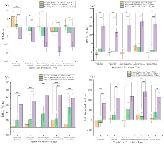
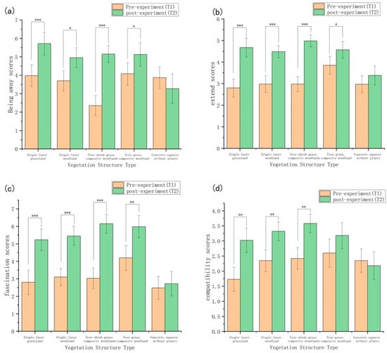
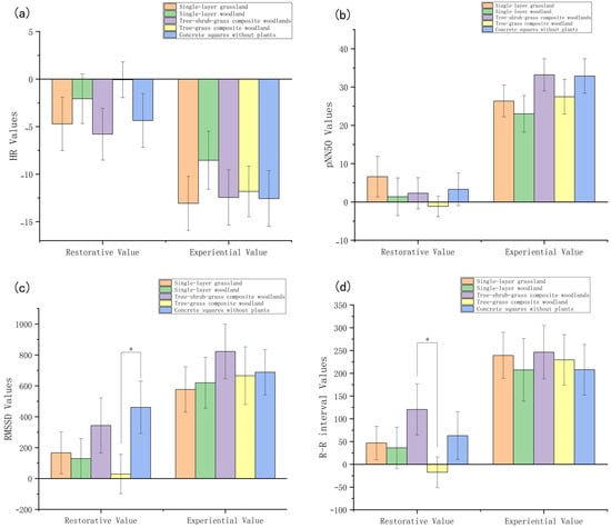
Unlocking the Restorative Power of Urban Green Spaces in Summer: The Interplay of Vegetation Structure, Activity Modality, and Human Well-Being
by Yifan Duan, Hua Bai, Le Yang and Shuhua Li
Sustainability 2026, 18(7), 3619; https://doi.org/10.3390/su18073619 - 7 Apr 2026
Abstract
Amidst global urbanization and rising psychological stress, urban green spaces are increasingly recognized as critical infrastructure for sustainable urban development and public health. However, the mechanisms by which summer vegetation structure mediates both physiological and psychological restoration, and the interplay between these two [...] Read more.
Amidst global urbanization and rising psychological stress, urban green spaces are increasingly recognized as critical infrastructure for sustainable urban development and public health. However, the mechanisms by which summer vegetation structure mediates both physiological and psychological restoration, and the interplay between these two dimensions, remain poorly understood. Understanding these mechanisms is essential for designing sustainable, health-promoting urban environments that can support growing urban populations in a warming climate. This study employed a controlled field experiment in Xi’an during summer to examine the effects of five vegetation structure types (Single-Layer Grassland, single-layer woodland, tree–shrub–grass composite woodland, tree–grass composite woodland, and a non-vegetated square) on university students’ physiological (heart rate variability) and psychological (perceived restorativeness and affective states) restoration. Following stress induction, 300 participants engaged with the green spaces through both quiet sitting and walking. The results revealed three key findings: (1) the tree–shrub–grass composite woodland consistently showed the most favorable trends other vegetation types across all psychological restoration dimensions, while also showing favorable trends in physiological recovery, underscoring the importance of structural complexity for restorative quality; (2) walking significantly enhanced physiological recovery compared to seated observation across all settings, confirming the role of physical activity as a critical activator of green space benefits; (3) correlation analysis identified a specific cross-system association: the R-R interval recovery value showed a weak but significant correlation with positive affect (PA) scores, suggesting that physiological calmness and positive emotional experience are linked, yet their weak coupling under short-term exposure indicates they may operate as parallel processes with distinct temporal dynamics. These findings indicate that the restorative potential of summer green spaces emerges from an integrated framework combining vegetation complexity and activity support. We propose that future sustainable landscape design should prioritize multi-layered vegetation structures as nature-based solutions that simultaneously enhance human well-being and urban resilience. These findings provide empirical evidence for integrating health-promoting green infrastructure into sustainable urban planning frameworks, supporting multiple Sustainable Development Goals (SDGs), including SDG 3 (Good Health and Well-being), SDG 11 (Sustainable Cities and Communities), and SDG 13 (Climate Action). Full article
Show Figures

Graphical abstract

26 pages, 6016 KB  
Article
Climate-Driven Distribution of Edible Fungi in Central Mexico: Implications for Forest Sustainability
by Amanda Solano-Gómez, Cristina Burrola-Aguilar, Carmen Zepeda-Gómez and Armando Sunny
Sustainability 2026, 18(7), 3571; https://doi.org/10.3390/su18073571 - 6 Apr 2026
Viewed by 85
Abstract
Climate change is reshaping climatic regimes worldwide, with direct consequences for species distributions and ecosystem services, including those provided by wild edible fungi. In Mexico, these fungi represent a resource of ecological, cultural, and economic importance, yet their vulnerability to future climate scenarios [...] Read more.
Climate change is reshaping climatic regimes worldwide, with direct consequences for species distributions and ecosystem services, including those provided by wild edible fungi. In Mexico, these fungi represent a resource of ecological, cultural, and economic importance, yet their vulnerability to future climate scenarios remains poorly understood. This study evaluated projected changes in the potential distributions of ten frequently consumed edible fungal species in central Mexico under current and future climate scenarios (2061–2080 and 2081–2100). Ecological niche models were performed using Maxent with 19 bioclimatic variables, spatial block cross-validation, and model tuning based on the AICc and partial ROC curves. Additionally, associations between species suitability and land use and vegetation variables were assessed through multivariate analyses. The most influential predictors were the mean temperature of the warmest quarter (71.929%), temperature seasonality (47.589%), and annual precipitation (41.962%). Current models identify high environmental suitability primarily within the TMVB, Sierra Madre Occidental, and southern mountainous regions such as Chiapas. Future projections revealed heterogeneous, species-specific responses. Suitability gains were projected for Cantharellus cibarius (21–50%), Infundibulicybe gibba (20–34%), Lactarius deliciosus (13–48%), and Lyophyllum decastes (8–141%), whereas Helvella crispa (1–99%), Agaricus campestris (2–88%), and Russula brevipes (74–100%) showed marked contractions under high-emission scenarios. These contrasting patterns suggest that climate change may restructure the spatial availability of edible fungi in Mexico, potentially affecting forest sustainability and the biocultural practices of communities that depend on these resources. Integrating species-specific climatic sensitivity into conservation and sustainable management strategies will be essential under future climate conditions. Full article
Show Figures

Figure 1

20 pages, 4080 KB  
Article
Implications of CMIP6 GCM-Based Climate Variability for Photovoltaic Potential over Four Selected Urban Areas in Central and Southeast Europe During Summer (1971–2020)
by Erzsébet Kristóf and Tímea Kalmár
Urban Sci. 2026, 10(4), 204; https://doi.org/10.3390/urbansci10040204 - 5 Apr 2026
Viewed by 100
Abstract
In the last two decades, the utilization of solar energy has been growing rapidly worldwide, mainly due to the increasing adoption of photovoltaic (PV) systems. Since solar energy is one of the most weather-dependent renewable energy sources, an increasing number of meteorological studies [...] Read more.
In the last two decades, the utilization of solar energy has been growing rapidly worldwide, mainly due to the increasing adoption of photovoltaic (PV) systems. Since solar energy is one of the most weather-dependent renewable energy sources, an increasing number of meteorological studies have focused on PV potential (PVpot) and its projected changes under global warming. GCM outputs disseminated through the Coupled Model Intercomparison Project (CMIP) are often applied in energy-related urban climate studies, as they can be downscaled either statistically or dynamically. It is essential to evaluate raw (not bias-corrected) GCM data, which helps to determine the uncertainties in the GCM simulations before downscaling. Despite their coarse resolution, some studies even rely directly on the GCM grid cell time series to represent individual locations. Accordingly, this study evaluates 10 CMIP Phase 6 (CMIP6) GCMs with respect to some atmospheric variables (air temperature, solar radiation, and wind speed, which are the primary drivers of PVpot) in four lowland grid cells representing four major urban areas in Central and Southeast Europe: Belgrade (Serbia), Budapest (Hungary), Vienna (Austria), and Prague (Czechia). The use of solar energy has increased significantly in most of these regions in recent years; however, it remains less studied than in Western Europe. ERA5 reanalysis is used as the reference dataset. We analyzed the boreal summer (JJA) days of three overlapping 30-year time periods: 1971–2000, 1981–2010, and 1991–2020. Our main findings are as follows: GCMs tend to overestimate solar radiation and underestimate maximum near-surface air temperature relative to ERA5 in all time periods and in all the four urban areas, which leads to a significant overestimation of the number of JJA days with high PVpot (PVpot,90). PVpot,90 is increasing from 1971–2000 to 1991–2020 in the vast majority of GCMs, in all the four regions. EC-Earth3 and its different configurations (EC-Earth3-Veg, EC-Earth3-CC) are considered the most accurate GCMs relative to ERA5. Full article
Show Figures

Figure 1

18 pages, 412 KB  
Article
Autoregressive Distributed Lag (ARDL) Analysis of Selected Climatic, Trade and Macroeconomic Determinants of South African White Maize Price Movements
by Phuti Garald Semenya, Chiedza L. Muchopa and Arone Vutomi Baloi
Agriculture 2026, 16(7), 804; https://doi.org/10.3390/agriculture16070804 - 4 Apr 2026
Viewed by 190
Abstract
This study examines selected factors influencing white maize price movements in South Africa over the period 1994–2024. Given the importance of white maize for food security, understanding the drivers of producer price dynamics is essential for effective policy formulation and managing price stability. [...] Read more.
This study examines selected factors influencing white maize price movements in South Africa over the period 1994–2024. Given the importance of white maize for food security, understanding the drivers of producer price dynamics is essential for effective policy formulation and managing price stability. Annual time-series data are analysed using an Autoregressive Distributed Lag (ARDL) modelling framework, complemented by bounds testing, an error-correction model, Toda–Yamamoto causality and structural break tests. The bounds test confirms the existence of a stable long-run cointegrating relationship between maize prices and the selected explanatory variables. In the short run, imports and fuel prices exert significant upward pressure on maize producer prices, while lagged fuel prices and rainfall reduce prices. In the long run, imports and fuel prices remain statistically significant determinants, whereas maize production, exports, the exchange rate, and rainfall are insignificant. Complemented with the structural break tests that identify regime shifts in the early 2000s, 2012, and 2021, causality results indicate that imports, rainfall and fuel prices lead to Granger causality in maize producer prices. Collectively the findings reinforce the conclusion that white maize prices in South Africa are governed by long-run structural relationships, while short-run price movements reflect temporary adjustments rather than permanent shifts in market fundamentals. An integrated, long-horizon analysis that jointly incorporates climatic, trade, and macroeconomic determinants within an ARDL framework is provided by the study. Therefore, the findings have important implications for climate-risk management, transport cost containment, trade and price-stabilisation policies. Full article
(This article belongs to the Special Issue Price and Trade Dynamics in Agricultural Commodity Markets)
Show Figures

Figure 1

21 pages, 4782 KB  
Article
Climate Change May Promote Locust Outbreaks in Eurasia—Future of Dociostaurus Maroccanus by Ecological Modelling
by Igor Klein, Ram Sharan Devkota, Battal Ciplak, Furkat Gapparov, Fozilbek Nurjonov, Arturo Cocco, Ignazio Floris, Christina Eisfelder, Mohammed Lazar, Nurgul Raissova, Bakhizhan Duisembekov, Elena Lazutkaite, Alexander Mueller and Alexandre V. Latchininsky
Agronomy 2026, 16(7), 749; https://doi.org/10.3390/agronomy16070749 - 1 Apr 2026
Viewed by 347
Abstract
The Moroccan locust (Dociostaurus maroccanus) is one of the most economically significant locust species in the Caucasus and Central Asia. In the past, the Mediterranean region also experienced severe damage to crops and pastures, until widespread grassland conversion to cropland began [...] Read more.
The Moroccan locust (Dociostaurus maroccanus) is one of the most economically significant locust species in the Caucasus and Central Asia. In the past, the Mediterranean region also experienced severe damage to crops and pastures, until widespread grassland conversion to cropland began in the second half of the 20th century. However, climate change, environmental shifts, land-use changes, cropland abandonment, and overgrazing are likely to alter the spatial distribution and outbreak patterns of this pest. Understanding potential changes and geographic shifts is essential for proactive pest management, including effective monitoring and control strategies. In this study, we apply Ecological Niche Modelling (ENM) using 12 machine learning algorithms, historical survey data covering the species’ full distribution range, and relevant abiotic variables to identify the most suitable areas for potential mass breeding during 1991–2020 and the near future (2021–2040), based on the “middle-of-the-road” Shared Socioeconomic Pathway (SSP2-4.5) scenario. Our results indicate significant regional shifts. Notably, breeding suitability is projected to increase in parts of Greece, Turkey, Armenia, Georgia, Kyrgyzstan, and Tajikistan. In contrast, countries such as Turkmenistan, Afghanistan, Pakistan, and Spain are likely to experience a decline in optimal breeding areas. The forecast results support field observations of a geographical shift northward and toward higher altitudes. Additionally, higher temperatures in suitable areas suggest more drought-like conditions, which typically promote locust population explosions and outbreaks. If left unaddressed, such outbreaks can cause severe economic damage to affected regions. Full article
(This article belongs to the Special Issue Locust and Grasshopper Management: Challenges and Innovations)
Show Figures

Figure 1

24 pages, 3507 KB  
Article
Long-Term Variability and Trends in Extreme Wave Climate Along the Bay of Biscay
by Manuel Viñes, César Mösso, Felícitas Calderón-Vega, Benjamí Calvillo, Marc Mestres and Agustín Sánchez-Arcilla
J. Mar. Sci. Eng. 2026, 14(7), 646; https://doi.org/10.3390/jmse14070646 - 31 Mar 2026
Viewed by 300
Abstract
Detecting long-term changes in extreme wave climate is essential for coastal engineering and hazard assessment, yet robust trend identification remains challenging due to strong natural variability and limited observational records. This study evaluates the robustness of trend detection in wave conditions along the [...] Read more.
Detecting long-term changes in extreme wave climate is essential for coastal engineering and hazard assessment, yet robust trend identification remains challenging due to strong natural variability and limited observational records. This study evaluates the robustness of trend detection in wave conditions along the Bay of Biscay using in situ measurements for a direct comparison with atmospheric climate indices such as North Atlantic Oscillation (NAO), East Atlantic pattern (EA), and El Niño-Southern Oscillation index (ENSO). A 32-year-long deep-water buoy record of wave parameters (1990–2022) is first analyzed and systematically compared with a nearby and shorter record (2007–2018) to quantify the influence of record length on extreme value estimates and trend inference. Extreme events are identified using a peak-over-threshold approach, and trends in significant wave height (HS), peak period (TP), wave steepness (S), and storm-related metrics are assessed through non-parametric methods. No statistically significant long-term trend is detected in the monthly averaged HS. In contrast, significant increases are found in storm frequency and storm wave power, together with a decreasing trend in TP and increasing wave steepness, indicating changes in storminess rather than in wave height alone. The shorter record exhibits substantially wider confidence intervals in return levels and inconsistent trend signals, highlighting the structural sensitivity of statistics to temporal coverage. Additionally, correlation analysis with large-scale atmospheric indices reveals that wave-parameters variability is more closely associated with the EA pattern than with the NAO or the ENSO, although the overall explained variance remains limited. Full article
(This article belongs to the Topic Coastal Engineering: Past, Present and Future)
Show Figures

Graphical abstract

26 pages, 3785 KB  
Article
A Machine Learning-Based Spatial Risk Mapping for Sustainable Groundwater Management Under Fluoride Contamination: A Case Study of Mastung, Balochistan
by Nabeel Afzal Butt, Khan Muhammad, Waqass Yaseen, Shahid Bashir, Muhammad Younis Khan, Asif Khan, Umar Sadique, Saeed Uddin, Razzaq Abdul Manan, Muhammad Younas and Nikos Economou
Sustainability 2026, 18(7), 3328; https://doi.org/10.3390/su18073328 - 30 Mar 2026
Viewed by 243
Abstract
Sustainable groundwater management is essential for water security and human health protection. Fluoride contamination is a serious concern for the sustainable drinking water supply in many parts of Pakistan, including Balochistan, where arid climate conditions and geological formations support the enrichment of fluoride. [...] Read more.
Sustainable groundwater management is essential for water security and human health protection. Fluoride contamination is a serious concern for the sustainable drinking water supply in many parts of Pakistan, including Balochistan, where arid climate conditions and geological formations support the enrichment of fluoride. The toxic nature of fluoride contamination has resulted in negative health impacts on the local population. Conventional geostatistical techniques are usually ineffective to delineate the nonlinear relationships that affect the distribution of fluoride. This study aims to develop a machine learning-driven spatial modelling framework for classifying the spatial distribution of fluoride contamination in groundwater across the study area. The model will help to understand the spatial variability of fluoride contamination and its controlling factors, essential for effective mitigation and early warning systems. Physiochemical elements were used as predictive features in this study, utilizing a unified feature importance framework combining hydrogeochemical analysis, spatial distribution assessment, and ensemble SHAP-based interpretation to identify consistent predictors. Model performance was evaluated using a nested cross-validation framework, followed by validation on an independent geology-informed spatial holdout test set to ensure realistic generalization. Among machine learning models, the Logistic Regression (LR), Support Vector Classifier (SVC), XGBoost (XGB), Decision Tree (DT), Gaussian Naïve Bayes (GNB), and K-Nearest Neighbours (KNN) were evaluated. Support Vector Classifier (SVC) demonstrated a high predictive performance. On the independent spatial holdout dataset, SVC achieved an overall accuracy of 0.75 and an area under the receiver operating characteristic curve (AUC) of 0.821. In addition to classification, a human health risk assessment was conducted using chronic daily intake (CDI) and hazard quotient (HQ) calculations for children and adults, identifying several high-risk water supply schemes. The prediction maps successfully delineated high-risk fluoride points across specific areas, offering a tool for sustainable groundwater management. This study helps to achieve a Sustainable Development Goal (Clean Water and Sanitation, SDG#6) and promotes long-term sustainable planning in water-stressed areas by integrating spatial machine learning mapping and health risk assessment. Full article
Show Figures

Figure 1

14 pages, 4726 KB  
Article
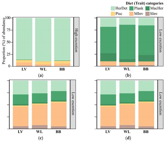
Temporal Trends in Reef Fish Diversity and Nutrient Excretion Proxies Across Sites on San Andrés Island, Colombia
by Amílcar Leví Cupul-Magaña, Adriana Santos-Martínez and Diana Morales-de-Anda
Diversity 2026, 18(4), 198; https://doi.org/10.3390/d18040198 - 28 Mar 2026
Viewed by 234
Abstract
Long-term monitoring is essential for understanding how recurring disturbances, such as hurricanes and coral bleaching, affect reef fish communities and ecosystem processes. This study evaluates temporal trends (2013–2025) in fish assemblage composition, functional diversity, and nutrient excretion proxies (C, N, and P) across [...] Read more.
Long-term monitoring is essential for understanding how recurring disturbances, such as hurricanes and coral bleaching, affect reef fish communities and ecosystem processes. This study evaluates temporal trends (2013–2025) in fish assemblage composition, functional diversity, and nutrient excretion proxies (C, N, and P) across three reef sites on San Andrés Island in the Colombian Caribbean. Our results reveal significant shifts in community structure following major disturbances in 2020 (Hurricanes Eta, Iota) and 2023 (mass bleaching event). Taxonomic and functional richness (TRich, FRich) fluctuated throughout the study period, whereas functional divergence (FDiv) declined earlier (2016), highlighting site-specific differences. A trait-based nutrient-excretion proxy (NPC composite score) identified key species that maintain nutrient cycling. Despite recent coral bleaching, certain sites exhibited functional resilience, sustained by the persistence of high-performing nutrient providing species. However, the overall disconnect between taxonomic recovery and functional stability suggests that ecosystem-level processes remain vulnerable, even when species richness appears to recover. This highlights the importance of integrating functional traits and nutrient recycling proxies into monitoring programs to better predict long-term variability in San Andrés Island reefs under a changing climate. Our findings provide a framework for prioritizing management efforts in the Seaflower Biosphere Reserve with emphasis on maintaining ecosystem services. Full article
Show Figures

Graphical abstract

20 pages, 9472 KB  
Article
Spatial Downscaling of Satellite-Based Precipitation Data over the Qaidam Basin, China
by Yuanzheng Wang, Changzhen Yan, Qimin Ma and Xiaopeng Jia
Remote Sens. 2026, 18(7), 995; https://doi.org/10.3390/rs18070995 - 26 Mar 2026
Viewed by 289
Abstract
High-spatiotemporal-resolution precipitation data are essential for studies on regional hydrology, meteorology, and ecological conservation. Because the Qaidam Basin is a data-scarce region with a few ground stations and coarse-resolution remote sensing products, its utility in regional research is constrained. Therefore, high-resolution precipitation data [...] Read more.
High-spatiotemporal-resolution precipitation data are essential for studies on regional hydrology, meteorology, and ecological conservation. Because the Qaidam Basin is a data-scarce region with a few ground stations and coarse-resolution remote sensing products, its utility in regional research is constrained. Therefore, high-resolution precipitation data are urgently needed. Here, longitude, latitude, the normalized difference vegetation index (NDVI), the digital elevation model (DEM), daytime and nighttime land surface temperature, slope, and aspect were selected as environmental variables. Four machine learning methods, Artificial Neural Network (ANN), Cubist, Random Forest (RF), and Support Vector Machine (SVM), were used to downscale Tropical Rainfall Measuring Mission (TRMM) precipitation data from 25 to 1 km in the Qaidam Basin and validated using ground observation stations. For annual downscaling, the accuracy ranked as Cubist > ANN > RF > SVM, and residual correction further improved performance. The Cubist model produced the best results, generating finer spatial patterns and reducing outliers in both annual and monthly products. Longitude, latitude, the DEM, and the NDVI were important contributors to the Cubist model. The resulting high-resolution dataset provides valuable support for hydrological and climate change research in the Qaidam Basin. Full article
Show Figures

Figure 1

14 pages, 2313 KB  
Article
Large Variability in Response to Future Climate and Land-Use Changes of François’ Langur in China
by Qixian Zou, Bingnan Dong, Fan Zhang, Siyao Li, Xing Fan and Jialiang Han
Biology 2026, 15(7), 526; https://doi.org/10.3390/biology15070526 - 26 Mar 2026
Viewed by 300
Abstract
Understanding how climate and land-use change influence habitat suitability is essential for the conservation of the François’ langur (Trachypithecus francoisi). In this study, climatic, land-use, and topographic variables were integrated to model the current distribution and future dynamics of suitable T. [...] Read more.
Understanding how climate and land-use change influence habitat suitability is essential for the conservation of the François’ langur (Trachypithecus francoisi). In this study, climatic, land-use, and topographic variables were integrated to model the current distribution and future dynamics of suitable T. francoisi habitats in southwestern China. The model performed well, climatic factors were the primary determinants of distribution, particularly precipitation of the driest month (BIO14), mean diurnal temperature range (BIO2), and precipitation seasonality (BIO15); additionally, forest cover, slope, and elevation further improved model performance. Suitable habitat currently covers 53,109 km2 (10.75% of the study area) and is mainly concentrated in Chongqing and Guizhou, with smaller areas in Guangxi. Future projections indicate substantial habitat redistribution and an overall decline in suitable area under both scenarios. By the 2050s and 2070s, suitable habitats will show strong spatial turnover, with coexistence of retained, newly suitable, and lost areas. Suitable habitat is projected to shift toward northern areas. These results suggest that conservation priorities should shift focus northward under climate warming, with emphasis on protecting mountainous refuges and improving habitat connectivity. Full article
(This article belongs to the Section Zoology)
Show Figures

Figure 1

23 pages, 5672 KB  
Article
Validation of SMAP Surface Soil Moisture Using In Situ Measurements in Diverse Agroecosystems Across Texas, US
by Sanjita Gurau, Gebrekidan W. Tefera and Ram L. Ray
Remote Sens. 2026, 18(7), 994; https://doi.org/10.3390/rs18070994 - 25 Mar 2026
Viewed by 453
Abstract
Accurate soil moisture assessment is essential for effective agricultural management in the southern US, where water availability has a significant impact on crop productivity. This study evaluates the Soil Moisture Active Passive (SMAP) Level-4 daily soil moisture product using in situ measurements from [...] Read more.
Accurate soil moisture assessment is essential for effective agricultural management in the southern US, where water availability has a significant impact on crop productivity. This study evaluates the Soil Moisture Active Passive (SMAP) Level-4 daily soil moisture product using in situ measurements from Natural Resources Conservation Service (NRCS) Soil Climate Analysis Network (SCAN) stations and the US. Climate Reference Network (USCRN) across diverse agroecosystems in Texas from 2016 to 2024. SMAP’s performance was examined across ten climate zones and six major land cover types, including urban regions, pastureland, grassland, rangeland, shrubland, and deciduous forests. Statistical metrics, including the coefficient of determination (R2), Root Mean Square Error (RMSE), Bias, and unbiased RMSE (ubRMSE) were used to evaluate the agreement between SMAP-derived and in situ soil moisture measurements. Results show that SMAP effectively captures seasonal soil moisture dynamics but exhibits spatially variable accuracy. The highest agreement was observed at Panther Junction (R2 = 0.57, RMSE = 2.29%), followed by Austin (R2 = 0.57, RMSE = 9.95%). While a weaker coefficient of determination was observed at PVAMU (R2 = 0.28, RMSE = 11.28%) and Kingsville (R2 = 0.11, RMSE = 7.33%), likely due to heterogeneity in land cover, and urbanized landscapes in these stations. Applying the quantile mapping bias correction methods significantly reduced RMSE and improved the accuracy of SMAP soil moisture data at some in situ measurement stations. The results highlight the importance of station-specific calibration and the integration of satellite and ground-based measurements to improve soil moisture monitoring for agriculture and drought management in Texas and similar regions. Full article
(This article belongs to the Special Issue Remote Sensing for Hydrological Management)
Show Figures

Figure 1

29 pages, 4919 KB  
Perspective
Self-Organization of Ocean Circulation: A Synergetic Perspective on Ocean and Climate Dynamics
by Dan Seidov
Water 2026, 18(7), 774; https://doi.org/10.3390/w18070774 - 25 Mar 2026
Viewed by 383
Abstract
The Earth’s climate is an open nonlinear system, sustained far from thermodynamic equilibrium by solar radiation and energy and matter exchange among its four major subsystems: atmosphere, ocean, land, and cryosphere. Among these four subsystems, the ocean significantly influences and sustains Earth’s climate [...] Read more.
The Earth’s climate is an open nonlinear system, sustained far from thermodynamic equilibrium by solar radiation and energy and matter exchange among its four major subsystems: atmosphere, ocean, land, and cryosphere. Among these four subsystems, the ocean significantly influences and sustains Earth’s climate over decadal to millennial timescales. Although modern numerical models increasingly capture intricate dynamical details, the fundamental concepts of large-scale ocean variability are less frequently explored. This study revisits ocean circulation through the lens of self-organization theory and synergetics. The key synergetic concepts of mode competition, order parameters, and the slaving principle are interpreted within the framework of general ocean circulation and the Atlantic Meridional Overturning Circulation (AMOC). The Brusselator, a simplified model of a nonlinear dynamical system initially developed in chemical kinetics, serves as a conceptual analog for ocean circulation energy conversion. Despite its high abstraction, this proxy model effectively captures essential bifurcation behaviors, such as Hopf bifurcation transitions and limit-cycle behaviors. This clarifies feedback regulation, instability, and potential regime transitions in the AMOC. The synthesis in this study is intended for an interdisciplinary readership and highlights the broader applicability of synergetic principles to the complex Earth climate system maintained far from equilibrium. Full article
(This article belongs to the Section Oceans and Coastal Zones)
Show Figures

Graphical abstract

Back to TopTop