Pansharpened WorldView-3 Imagery and Machine Learning for Detecting Mal secco Disease in a Citrus Orchard
Highlights
- Early citrus disease stages exhibit detectable identifiable spectral signatures associated with early stages of citrus disease.
- A feature-optimized machine learning approach results in classification robustness under field conditions.
- Early detection enhances timely management and reduces the risk of disease spread.
- The proposed workflow offers a transferable framework for remote sensing-based plant health monitoring.
Abstract
1. Introduction
2. Materials and Methods
2.1. Study Area
2.2. MSD Symptoms Dataset
2.3. Classification
2.4. Background Noise Assessment
2.5. Spectral Fidelity of Pansharpened Image
3. Results
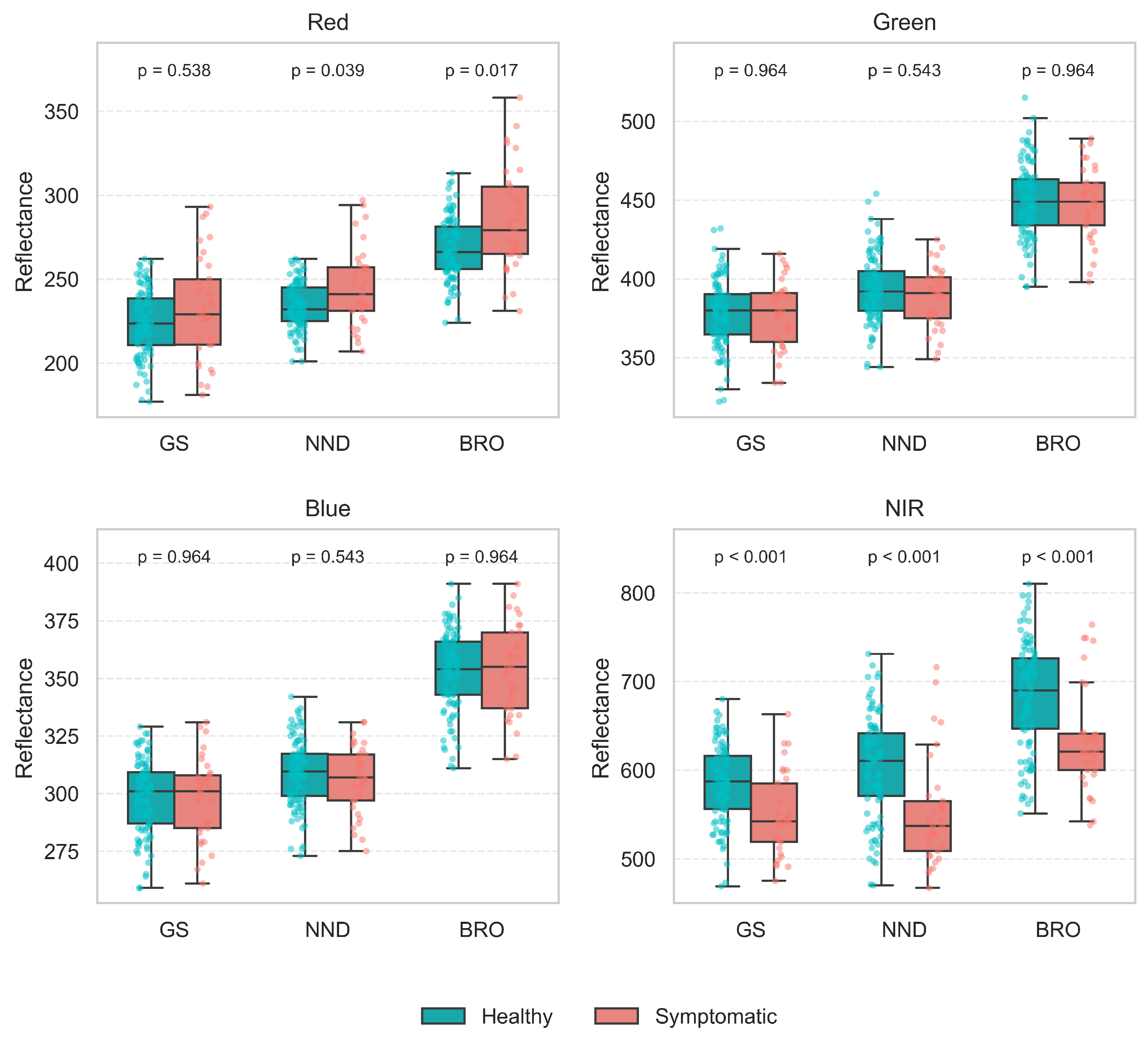
3.1. Background Noise
3.2. Classification Accuracy
3.3. Spectral Fidelity of Pansharpened Image
4. Discussion
4.1. Evaluation of Pansharpening Methods and Classifier Performance
4.2. Spatial Reliability and Operational Implications
4.3. Spectral Distortion and Soil Influence
4.4. Environmental Factors and Disease Dynamics
4.5. Transferability to Other Citrus Orchards and Diseases
4.6. Prospects for Future Studies
5. Conclusions
Author Contributions
Funding
Data Availability Statement
Acknowledgments
Conflicts of Interest
References
- Lacirignola, C.; D’Onghia, A. The Mediterranean citriculture: Productions and perspectives. In Citrus Tristeza Virus and Toxoptera Citricidus: A Serious Threat to the Mediterranean Citrus Industry; D’Onghia, A., Djelouah, K., Roistacher, C., Eds.; Options Méditerranéennes: Série B. Etudes et Recherches; CIHEAM: Bari, Italy, 2009; Volume 65, pp. 13–17. [Google Scholar]
- Giudice, A.L.; Mbohwa, C.; Clasadonte, M.T.; Ingrao, C. Environmental assessment of the citrus fruit production in Sicily using LCA. Ital. J. Food Sci. 2013, 25, 202–212. [Google Scholar]
- Greenhalgh, P. Lemon. Citrus lemon (L.) Burm. F, Familiy: Rutaceae; IFEAT Socio-Economic Report; IFEAT: Thannhausen, Germany, 2021. [Google Scholar]
- Migheli, Q.; Cacciola, S.O.; Balmas, V.; Pane, A.; Ezra, D.; Di San Lio, G.M. Mal Secco Disease Caused by Phoma Tracheiphila: A Potential Threat Lemon Production Worldwide. Plant Dis. 2009, 93, 852–867. [Google Scholar] [CrossRef]
- Nigro, F.; Ippolito, A.; Salerno, M.G. Mal secco disease of citrus: A journey through a century of research. J. Plant Pathol. 2011, 93, 523–560. [Google Scholar]
- Krasnov, H.; Ezra, D.; Bahri, B.A.; Cacciola, S.O.; Meparishvili, G.; Migheli, Q.; Blank, L. Potential distribution of the citrus Mal Secco disease in the Mediterranean basin under current and future climate conditions. Plant Pathol. 2023, 72, 765–773. [Google Scholar] [CrossRef]
- Abbate, L.; Mercati, F.; Fatta Del Bosco, S. An Overview on Citrus Mal Secco Disease: Approaches and Strategies to Select Tolerant Genotypes in C. limon. Crop Breeding, Genet. Genom. 2019, 1, e190018. [Google Scholar] [CrossRef]
- Davino, S.; Willemsen, A.; Panno, S.; Davino, M.; Catara, A.; Elena, S.F.; Rubio, L. Emergence and Phylodynamics of Citrus tristeza virus in Sicily, Italy. PLoS ONE 2013, 8, e66700. [Google Scholar] [CrossRef] [PubMed]
- Boa, E. Citrus Huanglongbing (Greening) Disease. Plant Health Cases 2023, 12 p. [Google Scholar] [CrossRef]
- Galvañ, A.; Bassanezi, R.B.; Luo, W.; Vanaclocha, P.; Vicent, A.; Lázaro, E. Risk-based regionalization approach for area-wide management of HLB vectors in the Mediterranean Basin. Front. Plant Sci. 2023, 14, 1256935. [Google Scholar] [CrossRef]
- Licciardello, G.; Grasso, F.M.; Bella, P.; Cirvilleri, G.; Grimaldi, V.; Catara, V. Identification and Detection of Phoma Tracheiphila Causal Agent Citrus Mal Secco Disease, Real-Time Polymerase Chain Reaction. Plant Dis. 2006, 90, 1523–1530. [Google Scholar] [CrossRef]
- Rovetto, E.I.; Garbelotto, M.; Moricca, S.; Amato, M.; La Spada, F.; Cacciola, S.O. A portable fluorescence-based recombinase polymerase amplification assay for the detection of mal secco disease by Plenodomus tracheiphilus. Crop Prot. 2024, 184, 106825. [Google Scholar] [CrossRef]
- Arlotta, C.; Cortese, M.; Ciacciulli, A.; Paolo, D.P.; Russo, R.; Catalano, C.; Licciardello, G.; Licciardello, C.; Gentile, A.; Di Silvestro, S.; et al. Phenotypic Evaluation of a Lemon Hybrid Population to Identify Sources of Resistance to Plenodomus tracheiphilus. HortScience 2024, 59, 658–665. [Google Scholar] [CrossRef]
- Ben-Hamo, M.; Ezra, D.; Krasnov, H.; Blank, L. Spatial and Temporal Dynamics of Mal Secco Disease Spread in Lemon Orchards in Israel. Phytopathology 2020, 110, 863–872. [Google Scholar] [CrossRef] [PubMed]
- Abdulridha, J.; Batuman, O.; Ampatzidis, Y. UAV-Based Remote Sensing Technique to Detect Citrus Canker Disease Utilizing Hyperspectral Imaging and Machine Learning. Remote Sens. 2019, 11, 1373. [Google Scholar] [CrossRef]
- Yang, C.; Suh, C.P.C. Applying machine learning classifiers to Sentinel-2 imagery for early identification of cotton fields to advance boll weevil eradication. Comput. Electron. Agric. 2023, 213, 108268. [Google Scholar] [CrossRef]
- Perroy, R.L.; Hughes, M.; Keith, L.M.; Collier, E.; Sullivan, T.; Low, G. Examining the Utility of Visible Near-Infrared and Optical Remote Sensing for the Early Detection of Rapid ‘Ōhi‘a Death. Remote Sens. 2020, 12, 1846. [Google Scholar] [CrossRef]
- Li, X.; Liang, Z.; Yang, G.; Lin, T.; Liu, B. Assessing the Severity of Verticillium Wilt in Cotton Fields and Constructing Pesticide Application Prescription Maps Using Unmanned Aerial Vehicle (UAV) Multispectral Images. Drones 2024, 8, 176. [Google Scholar] [CrossRef]
- Maglione, P. Very High Resolution Optical Satellites: An Overview of the Most Commonly used. Am. J. Appl. Sci. 2016, 13, 91–99. [Google Scholar] [CrossRef]
- Wald, L.; Ranchin, T.; Mangolini, M. Fusion of satellite images of different spatial resolutions: Assessing the quality of resulting images. Photogramm. Eng. Remote Sens. 1997, 63, 691–699. [Google Scholar]
- Alparone, L.; Aiazzi, B.; Baronti, S.; Garzelli, A.; Nencini, F.; Selva, M. Multispectral and Panchromatic Data Fusion Assessment Without Reference. Photogramm. Eng. Remote Sens. 2008, 74, 193–200. [Google Scholar] [CrossRef]
- Aiazzi, B.; Alparone, L.; Baronti, S.; Garzelli, A. Quality assessment of pansharpening methods and products. IEEE Geosci. Remote Sens. Soc. Newsl. 2011, 1, 10–18. [Google Scholar]
- Jones, E.G.; Wong, S.; Milton, A.; Sclauzero, J.; Whittenbury, H.; McDonnell, M.D. The Impact of Pan-Sharpening and Spectral Resolution on Vineyard Segmentation through Machine Learning. Remote Sens. 2020, 12, 934. [Google Scholar] [CrossRef]
- Tarquini, S.; Isola, I.; Favalli, M.; Battistini, A.; Dotta, G. TINITALY, a Digital Elevation Model of Italy with a 10 Meters Cell Size; (Version 1.1); Istituto Nazionale di Geofisica e Vulcanologia: Rome, Italy, 2023. [Google Scholar] [CrossRef]
- Maurer, T. How To Pan-Sharpen Images Using The Gram-Schmidt Pan-Sharpen Method—A Recipe. Int. Arch. Photogramm. Remote Sens. Spat. Inf. Sci. 2013, XL-1/W1, 239–244. [Google Scholar] [CrossRef]
- Laben, C.A.; Brower, B.V. Process for Enhancing the Spatial Resolution of Multispectral Imagery Using Pan-Sharpening. US US6011875A, 4 January 2000. [Google Scholar]
- Sun, W.; Chen, B.; Messinger, D. Nearest-neighbor diffusion-based pan-sharpening algorithm for spectral images. Opt. Eng. 2014, 53, 013107. [Google Scholar] [CrossRef]
- Hallada, W.A.; Cox, S. Image sharpening for mixed spatial and spectral resolution satellite systems. In Proceedings of the 17th International Symposium on Remote Sensing of Environment, Ann Arbor, MI, USA, 9–13 May 1983. [Google Scholar]
- Adugna, T.; Xu, W.; Fan, J. Comparison of Random Forest and Support Vector Machine Classifiers for Regional Land Cover Mapping Using Coarse Resolution FY-3C Images. Remote Sens. 2022, 14, 574. [Google Scholar] [CrossRef]
- Zaka, M.M.; Samat, A. Advances in Remote Sensing and Machine Learning Methods for Invasive Plants Study: A Comprehensive Review. Remote Sens. 2024, 16, 3781. [Google Scholar] [CrossRef]
- Szeghalmy, S.; Fazekas, A. A Comparative Study of the Use of Stratified Cross-Validation and Distribution-Balanced Stratified Cross-Validation in Imbalanced Learning. Sensors 2023, 23, 2333. [Google Scholar] [CrossRef]
- Rainio, O.; Teuho, J.; Klén, R. Evaluation metrics and statistical tests for machine learning. Sci. Rep. 2024, 14, 6086. [Google Scholar] [CrossRef]
- Kruse, F.A.; Lefkoff, A.B.; Boardman, J.W.; Heidebrecht, K.B.; Shapiro, A.T.; Barloon, P.J.; Goetz, A.F.H. The spectral image processing system (SIPS)—Interactive visualization and analysis of imaging spectrometer data. Remote Sens. Environ. 1993, 44, 145–163. [Google Scholar] [CrossRef]
- Vivone, G.; Alparone, L.; Chanussot, J.; Dalla Mura, M.; Garzelli, A.; Licciardi, G.; Restaino, R.; Wald, L. A critical comparison of pansharpening algorithms. In Proceedings of the 2014 IEEE Geoscience and Remote Sensing Symposium, Quebec City, QC, Canada, 13–18 July 2014; pp. 191–194. [Google Scholar] [CrossRef]
- Guan, X.; Li, F.; Zhang, X.; Ma, M.; Mei, S. Assessing Full-Resolution Pansharpening Quality: A Comparative Study of Methods and Measurements. IEEE J. Sel. Top. Appl. Earth Obs. Remote Sens. 2023, 16, 6860–6875. [Google Scholar] [CrossRef]
- Chen, Y.; Zhou, Y.; Ge, Y.; An, R.; Chen, Y. Enhancing Land Cover Mapping through Integration of Pixel-Based and Object-Based Classifications from Remotely Sensed Imagery. Remote Sens. 2018, 10, 77. [Google Scholar] [CrossRef]
- Hsieh, P.F.; Lee, L.; Chen, N.Y. Effect of spatial resolution on classification errors of pure and mixed pixels in remote sensing. IEEE Trans. Geosci. Remote Sens. 2001, 19, 2657–2663. [Google Scholar] [CrossRef]
- Belgiu, M.; Drăguţ, L. Random forest in remote sensing: A review of applications and future directions. ISPRS J. Photogramm. Remote Sens. 2016, 114, 24–31. [Google Scholar] [CrossRef]
- Zarco-Tejada, P.J.; Camino, C.; Beck, P.S.A.; Calderon, R.; Hornero, A.; Hernández-Clemente, R.; Kattenborn, T.; Montes-Borrego, M.; Susca, L.; Morelli, M.; et al. Previsual symptoms of Xylella fastidiosa infection revealed in spectral plant-trait alterations. Nat. Plants 2018, 4, 432–439. [Google Scholar] [CrossRef] [PubMed]
- Singh, A.; Jones, S.; Ganapathysubramanian, B.; Sarkar, S.; Mueller, D.; Sandhu, K.; Nagasubramanian, K. Challenges and Opportunities in Machine-Augmented Plant Stress Phenotyping. Trends Plant Sci. 2021, 26, 53–69. [Google Scholar] [CrossRef] [PubMed]
- Beene, D.; Zhang, S.; Lippitt, C.D.; Bogus, S.M. Performance evaluation of multiple pan-sharpening techniques on NDVI: A statistical framework. Geographies 2022, 2, 435–452. [Google Scholar] [CrossRef]
- Rahaman, K.R.; Hassan, Q.K.; Ahmed, M.R. Pan-sharpening of Landsat-8 images and its application in calculating vegetation greenness and canopy water contents. ISPRS Int. J. Geo-Inf. 2017, 6, 168. [Google Scholar] [CrossRef]
- Tsukamoto, N.; Sugaya, Y.; Omachi, S. Spectrum Correction Using Modeled Panchromatic Image for Pansharpening. J. Imaging 2020, 6, 20. [Google Scholar] [CrossRef]
- A.B, A.A.; Rahim, A.B.A. Spectral Fidelity and Spatial Enhancement: An Assessment and Cascading of Pan-Sharpening Techniques for Satellite Imagery. arXiv 2024, arXiv:2405.18900. [Google Scholar] [CrossRef]
- Johnson, B. Effects of Pansharpening on Vegetation Indices. ISPRS Int. J. Geo-Inf. 2014, 3, 507–522. [Google Scholar] [CrossRef]
- Weidong, L.; Baret, F.; Xingfa, G.; Qingxi, T.; Lanfen, Z.; Bing, Z. Relating soil surface moisture to reflectance. Remote Sens. Environ. 2002, 81, 238–246. [Google Scholar] [CrossRef]
- Bartholomeus, H.; Schaepman, M.; Kooistra, L.; Stevens, A.; Hoogmoed, W.; Spaargaren, O. Spectral reflectance based indices for soil organic carbon quantification. Geoderma 2008, 145, 28–36. [Google Scholar] [CrossRef]
- Bascietto, M.; Santangelo, E.; Beni, C. Spatial Variations of Vegetation Index from Remote Sensing Linked to Soil Colloidal Status. Land 2021, 10, 80. [Google Scholar] [CrossRef]
- Gao, X.; Huete, A.; Ni, W.; Miura, T. Optical-Biophysical Relationships of Vegetation Spectra without Background Contamination. Remote Sens. Environ. 2000, 74, 609–620. [Google Scholar] [CrossRef]
- Huete, A.; Jackson, R.; Post, D. Spectral response of a plant canopy with different soil backgrounds. Remote Sens. Environ. 1985, 17, 37–53. [Google Scholar] [CrossRef]
- Pergola, M.; D’Amico, M.; Celano, G.; Palese, A.; Scuderi, A.; Di Vita, G.; Pappalardo, G.; Inglese, P. Sustainability evaluation of Sicily’s lemon and orange production: An energy, economic and environmental analysis. J. Environ. Manag. 2013, 128, 674–682. [Google Scholar] [CrossRef] [PubMed]
- Ezra, D.; Kroitor, T.; Sadowsky, A. Molecular characterization of Phoma tracheiphila, causal agent of Mal secco disease of citrus, in Israel. Eur. J. Plant Pathol. 2007, 118, 183–191. [Google Scholar] [CrossRef]
- Zarco-Tejada, P.J.; Poblete, T.; Camino, C.; Gonzalez-Dugo, V.; Calderon, R.; Hornero, A.; Hernandez-Clemente, R.; Román-Écija, M.; Velasco-Amo, M.P.; Landa, B.B.; et al. Divergent abiotic spectral pathways unravel pathogen stress signals across species. Nat. Commun. 2021, 12, 6088. [Google Scholar] [CrossRef] [PubMed]
- Li, X.; Lee, W.S.; Li, M.; Ehsani, R.; Mishra, A.R.; Yang, C.; Mangan, R.L. Feasibility study on Huanglongbing (citrus greening) detection based on WorldView-2 satellite imagery. Biosyst. Eng. 2015, 132, 28–38. [Google Scholar] [CrossRef]
- Stuckens, J.; Dzikiti, S.; Verstraeten, W.W.; Verreynne, S.; Swennen, R.; Coppin, P. Physiological interpretation of a hyperspectral time series in a citrus orchard. Agric. For. Meteorol. 2011, 151, 1002–1015. [Google Scholar] [CrossRef]
- Kothari, S.; Beauchamp-Rioux, R.; Blanchard, F.; Crofts, A.L.; Girard, A.; Guilbeault-Mayers, X.; Hacker, P.W.; Pardo, J.; Schweiger, A.K.; Demers-Thibeault, S.; et al. Predicting leaf traits across functional groups using reflectance spectroscopy. New Phytol. 2023, 238, 549–566. [Google Scholar] [CrossRef]
- Sankaran, S.; Maja, J.; Buchanon, S.; Ehsani, R. Huanglongbing (Citrus Greening) Detection Using Visible, Near Infrared and Thermal Imaging Techniques. Sensors 2013, 13, 2117–2130. [Google Scholar] [CrossRef]
- Terentev, A.; Dolzhenko, V.; Fedotov, A.; Eremenko, D. Current State of Hyperspectral Remote Sensing for Early Plant Disease Detection: A Review. Sensors 2022, 22, 757. [Google Scholar] [CrossRef]
- Torres-Sánchez, J.; Pena, J.M.; de Castro, A.I.; López-Granados, F. Multi-temporal mapping of the vegetation fraction in early-season wheat fields using images from UAV. Comput. Electron. Agric. 2014, 103, 104–113. [Google Scholar] [CrossRef]
- Shi, C.; Wang, L. Incorporating spatial information in spectral unmixing: A review. Remote Sens. Environ. 2014, 149, 70–87. [Google Scholar] [CrossRef]
- Blaschke, T. Object based image analysis for remote sensing. ISPRS J. Photogramm. Remote Sens. 2010, 65, 2–16. [Google Scholar] [CrossRef]
- Yang, J.; Jones, T.; Caspersen, J.; He, Y. Object-based canopy gap segmentation and classification: Quantifying the pros and cons of integrating optical and LiDAR data. Remote Sens. 2015, 7, 15917–15932. [Google Scholar] [CrossRef]








| Metric | SVM | RF | ||||
|---|---|---|---|---|---|---|
| Gram–Schmidt | NNDiffuse | Brovey | Gram–Schmidt | NNDiffuse | Brovey | |
| 0.38 | 0.39 | 0.34 | 0.40 | 0.48 | 0.50 | |
| Acc | 0.75 | 0.75 | 0.69 | 0.76 | 0.79 | 0.80 |
| Prec | 0.88 | 0.86 | 0.91 | 0.87 | 0.90 | 0.90 |
| Rec | 0.78 | 0.79 | 0.65 | 0.80 | 0.81 | 0.84 |
| FDR | 0.12 | 0.14 | 0.09 | 0.13 | 0.10 | 0.10 |
| Actual/Predicted | Predicted Healthy | Predicted Symptomatic |
|---|---|---|
| Healthy | 87 | 17 |
| Symptomatic | 10 | 23 |
| Image | Red | Green | Blue | NIR |
|---|---|---|---|---|
| MS | 305 ± 5.54 a | 388 ± 9.35 a | 234 ± 15.9 a | 583 ± 56.2 a |
| Gram–Schmidt | 298 ± 16.3 b | 378 ± 21.3 b | 226 ± 22.9 b | 576 ± 46.4 a |
| NNDiffuse | 308 ± 14.5 a | 392 ± 20.1 a | 236 ± 17.1 a | 591 ± 61.6 a |
| Brovey | 353 ± 17.6 c | 449 ± 23.1 c | 272 ± 23.0 c | 671 ± 64.2 b |
| Algorithm | SAM |
|---|---|
| Gram–Schmidt | 2. |
| NNDiffuse | 1. |
| Brovey | 2. |
Disclaimer/Publisher’s Note: The statements, opinions and data contained in all publications are solely those of the individual author(s) and contributor(s) and not of MDPI and/or the editor(s). MDPI and/or the editor(s) disclaim responsibility for any injury to people or property resulting from any ideas, methods, instructions or products referred to in the content. |
© 2025 by the authors. Licensee MDPI, Basel, Switzerland. This article is an open access article distributed under the terms and conditions of the Creative Commons Attribution (CC BY) license.
Share and Cite
Palma, A.; Tiberini, A.; Caruso, M.; Di Silvestro, S.; Bascietto, M. Pansharpened WorldView-3 Imagery and Machine Learning for Detecting Mal secco Disease in a Citrus Orchard. Remote Sens. 2026, 18, 110. https://doi.org/10.3390/rs18010110
Palma A, Tiberini A, Caruso M, Di Silvestro S, Bascietto M. Pansharpened WorldView-3 Imagery and Machine Learning for Detecting Mal secco Disease in a Citrus Orchard. Remote Sensing. 2026; 18(1):110. https://doi.org/10.3390/rs18010110
Chicago/Turabian StylePalma, Adriano, Antonio Tiberini, Marco Caruso, Silvia Di Silvestro, and Marco Bascietto. 2026. "Pansharpened WorldView-3 Imagery and Machine Learning for Detecting Mal secco Disease in a Citrus Orchard" Remote Sensing 18, no. 1: 110. https://doi.org/10.3390/rs18010110
APA StylePalma, A., Tiberini, A., Caruso, M., Di Silvestro, S., & Bascietto, M. (2026). Pansharpened WorldView-3 Imagery and Machine Learning for Detecting Mal secco Disease in a Citrus Orchard. Remote Sensing, 18(1), 110. https://doi.org/10.3390/rs18010110

