Next Article in Journal
OEM-HWNet: A Prior Knowledge-Guided Network for Pavement Interlayer Distress Detection Based on Computer Vision Using GPR
Previous Article in Journal
Research on Full-Sky Star Identification Based on Spatial Projection and Reconfigurable Navigation Catalog
 
 
Font Type:
Arial Georgia Verdana
Font Size:
Aa Aa Aa
Line Spacing:
Column Width:
Background:
Article

Modeling and Correction Methods for Positioning Errors in Loran System at Sea

1
National Time Service Center, Chinese Academy of Sciences, Xi’an 710600, China
2
University of Chinese Academy of Sciences, Beijing 100049, China
3
Key Laboratory of Time Reference and Applications, Chinese Academy of Sciences, Xi’an 710600, China
*
Author to whom correspondence should be addressed.
Remote Sens. 2025, 17(9), 1555; https://doi.org/10.3390/rs17091555
Submission received: 17 March 2025 / Revised: 18 April 2025 / Accepted: 26 April 2025 / Published: 27 April 2025

Abstract

Loran is a crucial maritime navigation system and is also considered a key backup for satellite navigation systems. To enhance positioning and timing services, improving the accuracy of the Loran system is essential. This paper discusses the factors affecting Loran’s positioning and timing performance, with a focus on ASF (additional secondary factor) measurement techniques and filtering methods. This study specifically addresses challenges in maritime navigation and employs a first-order Gauss–Markov process to simulate ASF+SF values. This approach eliminates the need for precise geodetic distances or real-time GNSS corrections. The research included experimental tests conducted along the eastern coast of China, evaluating environmental conditions and the positioning station’s location data. Positioning calculations were performed under maritime navigation conditions. The experimental results demonstrate that when satellite navigation systems are unavailable, the proposed model significantly enhances navigation accuracy. The accuracy, previously at the level of several hundred meters, was improved to approximately 40 m, making Loran a more reliable alternative for maritime applications.

1. Introduction

The construction of longwave navigation systems has an extensive history, with Loran systems playing an indispensable role [1]. The background of the Loran system can be traced back to the early demand for the accurate navigation of global transportation, especially maritime navigation [2,3,4]. As a ground-based station network navigation technology, the significance of the Loran system lies in providing high-precision location information, crucial for fields such as navigation and aviation [5,6].
Global Satellite Navigation Systems (GNSSs) use artificial satellites for navigation and positioning, offering high-precision location services, global coverage, and all-weather operation capabilities [7]. These advantages make GNSSs widely applicable in fields such as transportation, disaster relief, military operations, and geographic information systems [8]. In the modern era, heavily reliant on GNSSs, their importance in navigation, communication, and scientific research cannot be overlooked. However, GNSSs also have some drawbacks, such as signal susceptibility to interference and blockage. With technological advancements, GNSSs have become more vulnerable to various interferences, including intentional malicious activities, environmental influences, and other technical failures [9,10]. If navigation relies solely on GNSSs, vessels navigating at sea will be unable to obtain accurate position information when the frequency band of GNSS signals is disrupted or vessels are not equipped with satellite navigation receivers [11].
To counteract these potential threats, the use of the Loran system as a backup for GNSSs holds significant importance [12,13]. The Loran (Long-Range Navigation) system is a terrestrial radio navigation system that provides position and timing information. Its advantages include long-range coverage, robustness against interference, and independence from satellite signals, making it a valuable backup to GNSSs [14]. Loran is especially useful in coastal and inland waterway navigation due to its strong signal penetration [15]. However, its drawbacks include lower accuracy compared to modern GNSSs and the need for extensive ground-based infrastructure. The system also requires regular maintenance and calibration to ensure accuracy [16]. The positioning accuracy of the Loran system is in the order of hundreds of meters. While this level of accuracy is sufficient for open sea navigation, it is insufficient for applications involving harbor navigation, inland waterway navigation, and coastal operations. Therefore, researching the factors influencing the accuracy of the Loran system and correcting the influence of errors are crucial [17].
Loran systems utilize low-frequency radio waves with a frequency of 100 kHz, and their primary propagation mode is through ground waves along the Earth’s surface and near-Earth atmosphere [18]. However, due to the unevenness of the Earth’s surface and the near-insulating nature of the atmosphere, the medium along the propagation path of the waves experiences two main effects: first, the absorption of wave energy, resulting in a weakening of the electric field strength and affecting the effective range; second, signal distortion, including variations in the propagation speed of radio waves with the frequency and medium, and propagation phenomena such as reflection, refraction, and diffraction near different medium interfaces, leading to drastic changes in the phase, propagation speed, and propagation direction of radio waves [19].
Considering the complexity of radio wave propagation paths, the performance of the Loran system is influenced by various factors. The primary factors (PFs) are caused by atmospheric conditions, where variations in the average refractive index in the atmosphere lead to a deceleration of the wave front relative to the speed of light, which may cause positioning deviations during weather changes [20]. However, this influence can be effectively mitigated by monitoring factors such as atmospheric pressure, temperature, and humidity, improving the system’s reliability. The secondary factors (SFs) are influenced mainly by the conductivity of the ground medium, thereby affecting the signal strength and ground-wave velocity [16,21]. The standard conductivity of seawater is typically used to estimate the impact of the SFs, especially in maritime navigation when Loran is used. Although seawater has relatively high conductivity, the complexity of the terrain and medium variations make accurate calculations challenging. Additional secondary-phase factors (ASFs) are influenced by the terrain, especially in areas with complex terrain such as mountains [22,23]. This terrain effect may lead to system errors, significantly impacting the positioning accuracy of the Loran system.
Another challenge that needs to be addressed is the dynamic changes in the (SF+ASF) values as the vessel moves [24]. These variations are influenced by different geographical regions, seasonal changes, and environmental conditions. A real-time correction mechanism is essential to ensure that the Loran positioning remains accurate even in challenging environments [25]. The Static ASF Model [26] and Dynamic ASF Model [3] have been widely applied to model additional secondary factors (ASFs) for enhancing the positioning accuracy of the Loran system. Despite their effectiveness to a certain extent, these methods exhibit inherent limitations. The Static ASF Model lacks the ability to capture temporal variations and is highly sensitive to user location. The Dynamic ASF Model, while accounting for environmental dynamics, involves considerable modeling complexity and depends heavily on the availability and accuracy of real-time environmental data. Therefore, there is a need for a model that can dynamically predict and correct these errors with minimal computational cost.
Li et al. proposed an ASF correction method [27] based on a combination of a back propagation neural network (BPNN) and transfer learning. This method achieves higher accuracy than pure theoretical methods but requires more accurate measurement results as a data set. Kim et al. proposed an ASF estimation method based on receiver clock offset estimation [28]. The original TOA measurement data were collected from three receivers to correct the ASF error. This method adopted the idea of differentials and relied on differential stations to correct the ASFs.
Furthermore, recent advancements in data processing techniques, including statistical modeling, offer new possibilities for enhancing Loran positioning. By integrating advanced filtering techniques such as Kalman filtering and Gaussian–Markov modeling, the real-time correction of the SF and ASF values becomes feasible [24]. The use of these techniques can help smooth sudden changes in the ASF values caused by terrain variations, reducing positioning errors and improving the overall navigation reliability.
The Loran system typically employs the trilateration-based time difference of arrival (TDOA) method using three dual-station baselines for positioning computation [29]. However, this method has several limitations, such as being constrained by site deployment and measurement errors, and the inability to directly calculate receiver clock errors. To overcome the weaknesses of the hyperbolic TDOA method due to chain restrictions, researchers have explored positioning algorithms involving dual-chain and multichain configurations [30], as well as studies on additional constraint conditions [31]. While these algorithms enhance the utilization of chains and exploit the potential of chain positioning, they remain complex, and timing computations still face limitations.
To address these issues, Yan et al. [32] proposed a pseudorange-based method for Loran-C positioning and timing computation. This method, based on fundamental pseudorange observations, analyzes the impact of random noise, secondary delays, and other factors on positioning and timing results. This method can overcome chain limitations and provide accurate positioning and timing results when observation errors are absent. ASF correction can also be addressed through database establishment. Classic methods for land-based ASF measurements include the Milington method [33], the CLC numerical integration method [23], and empirical methods. R. Hartnett et al. [24] proposed a method for generating an ASF grid using Kalman filtering and smoothing concepts to reduce unwanted nonstationary noise variations in raw ASF data. Gérard Lachapelle et al. [14] provided an effective method for correcting Loran measurements by utilizing the real-time estimation (modeling) of the ASF and its variations via GPS. Li [34] proposed a scheme using Google Maps digital maps, real-time factor collection, and the segmentation of the transition zones of geological conductivity to improve ASF errors and initially established an ASF database within China.
The National Natural Science Foundation supported projects related to the digital modeling and establishment of radio wave environmental parameter information for “Digital China, Digital Earth”. It funded projects such as “GPS technology verification measurement of geological conductivity” and “Combined navigation system ASF correction research” related to Loran-C system engineering, developing the “China Geological Conductivity Electronic Map” and “GIS software for longwave timing ASF correction [35]”. These studies laid a solid foundation for subsequent research.
Based on the above, to improve the positioning accuracy of Loran for vessel navigation, this paper proposes a model based on the Gauss–Markov process. This model can provide real-time (SF+ASF) values to assist Loran receivers in making corrections, thereby enhancing the positioning accuracy. The proposed model aims to offer a practical solution to the limitations of traditional Loran systems by integrating real-time data correction, minimizing computational complexity, and ensuring higher reliability in various operational conditions.
The structure of this paper is organized as follows: Section 1 provides background information and a review of the current research on Loran and ASF correction. Section 2 introduces the fundamental principles of Loran positioning and the ASF correction methods. Section 3 presents the modeling approach for ASFs based on the Gauss–Markov process. Section 4 describes the experimental setup and conditions. Section 5 discusses the collected data and evaluates the applicability of the proposed methods. Finally, Section 6 concludes the paper with a summary of the findings.

2. The Foundation of Research on Loran Positioning and Error Correction

Loran is a longwave navigation and positioning system that operates based on precise synchronization between ground transmitters and receivers [29]. By measuring the time of arrival from multiple stations and the signal propagation time, the Loran system can provide high-precision location information. The system’s core lies in the coordinated action of multiple ground transmitters. These transmitters emit timed pulse signals, while the receivers measure the time difference between the arrivals of these signals [36]. By measuring the time differences and considering the signal propagation speed, the user’s distance relative to each transmitter can be calculated. With measurements from at least three transmitters, triangulation can be performed to determine the user’s accurate position.
Loran uses the geodetic coordinate system to describe locations, where longitude and latitude are used to pinpoint points on the Earth’s surface. This choice of coordinate system allows the location information provided by the Loran system to be directly mapped to specific locations on the Earth, providing an intuitive geographical representation for navigation and positioning. During positioning, coordinate system transformations are necessary to convert the distance information measured from multiple transmitters into longitude and latitude in the geodetic coordinate system.
Figure 1 shows the composition of the time delay of each part of the Loran pseudorange. The time equivalence relation vessel can be expressed as follows [32]:
t u + N = T m + T p + T r
where T m represents the time deviation between the Loran transmitter’s signal emission time and the UTC 1PPS, Tp denotes the absolute transmission time from the Loran transmitter antenna to the receiver antenna, T r indicates the total internal transmission time delay in the receiver, T u refers to the receiver’s local 1PPS deviation from the standard 1PPS, i.e., the receiver clock error, and N stands for the time interval between the receiver’s local 1PPS and the group trigger pulse (GTP) [37] outputted by the receiver. T m can be obtained via current loop measurements, and T r can be derived through receiver calibration.
The propagation delay (Tp) of the Loran signal refers to the time delay experienced by the signal as it is transmitted from the transmitting antenna, propagates along the ground, and reaches the receiving antenna. Typically, Tp can be expressed as follows [38]:
T p = P F + S F + A S F
where PF, SF, and ASF represent the atmospheric propagation delay, surface conductive delay, and additional secondary-phase delay, respectively. The PF refers to the fundamental propagation delay, defined as the time required for a signal to travel from the transmitting antenna to the receiving antenna in an infinitely large air medium. When the signal propagates over the sea surface, the discrepancy between the actual propagation delay and the primary delay is termed the SF, which characterizes the impact of the sea surface on the signal propagation. Similarly, when the signal propagates over a land surface, the deviation between the actual propagation delay and the primary delay is defined as the ASF, reflecting the influence of the land surface on the propagation delay.
In practical applications, Loran utilizes time of arrival (TOA) measurements received from three or more transmitting stations to determine position using trilateration. The TOA measurements can be expressed as follows:
T O A = s c + P F + S F + A S F + δ + ε
where TOA denotes the time delay of the propagation between the transmitting station and the user; s represents the geodetic distance between the transmitting station and the user, which is the shortest path connecting two points on the Earth’s surface; c represents the speed of light; δ represents the clock bias error of the receiver; and ε indicates other measurement errors, including measurement noise.
To eliminate the PF and SF, under the assumption of an all-seawater path, the longwave ground-wave transmission channel calculation method specified by the Military Standard of the Electronic Industry of the People’s Republic of China can be employed:
P F = n d / c
SF + ASF = 1.82199 × 10 17 d 5 + 2.0296 × 10 13 d 4 8.36456 × 10 10 d 3 + 1.56566 × 10 6 d 2 + 9.75825 × 10 4 d 1.80101 × 10 3
where n denotes the refractive index of the atmosphere, with n = 1.000315, and c again represents the speed of light. The geodetic distance is denoted by d .
In reality, the term SF+ASF in the formula approximates the actual value. To obtain more accurate results, the BeiDou system (BDS) can be utilized as an external auxiliary to measure the geodetic distance (d) and to perform real-time estimation and compensation for the PF, SF, and ASF. The measurement of the ASF involves numerical integration methods and the concept of establishing a database. The specific numerical integration methods used are not described in this text.
During the process of signal reception by the receiver, influences such as receiver time delays and transmission channel noise can introduce fluctuations or noise in the initially computed ASF values. To smooth the ASF data, a Kalman filter needs to be applied for filtering [39]. Subsequently, using the equations mentioned above, a state-space equation for estimating all the pseudoranges can be constructed, as follows:
x ˙ A S F ( t ) = G A S F ( t ) x A S F ( t ) + w A S F ( t )
y A S F ( t ) = A A S F ( t ) x A S F ( t ) + ν A S F ( t )
x A S F ( t ) = A S F t A S F s T
y A S F ( t ) = A S F
G A S F l ( t ) = 0 0 0 Δ D ( t k ) σ s 2
A A S F ( t ) = 1 1
In this equation, x represents the predicted values of the time ASF and space ASF, y represents the observed values of the ASF after removing the PF and SF, tk represents the time corresponding to the discrete time (k) and sampling period (Δt), ΔD(k) is the distance between two measurement points at discrete time steps, and wASF and vASF are assumed to be mutually independent Gaussian white noises. After Kalman filtering, the measured values of the ASF are obtained.
The corrected TOA is adjusted for the PF, SF, and ASF. Therefore, the Loran pseudorange can be obtained by multiplying the corrected TOA by the speed of light:
ρ TOA t = s t + ρ δ t + ρ ε t
where ρ δ represents the distance error caused by the receiver’s clock bias, and ρ ε represents the distance error resulting from measurement noise. On the reference ellipsoid, the geodetic distance between two points can be calculated using the Andoyer Lambert formula [40]:
d i = a δ i + a Δ δ i
Δ δ i = f 4 [ sin δ i δ i 1 + cos δ i ( sin φ + sin φ i ) 2 sin δ i + δ i 1 cos δ i ( sin φ sin φ i ) 2 ]
In the equation, a represents the radius of the standard reference sphere, δ i denotes the geocentric angle corresponding to the positions of the station and the receiver, and Δ δ i is the correction term for the distance between two points on the ellipsoid. The flattening factor ( f ) describes the oblateness of the ellipsoid. The relation vessel for converting the geodetic latitude and longitude ( B , L ) on the reference ellipsoid to the geocentric latitude and longitude ( φ , λ ) is given as follows:
tan φ = b 2 a 2 tan B
λ = L
where a represents the major axis of the earth, and b represents the minor axis of the earth.
With the known coordinates of the three positioning stations and the geodetic line distances from the receiver to each positioning station obtained using the above equation, the receiver’s coordinates can be determined via the pseudorange measurement method.

3. Modeling (SF+ASF) Based on the Gaussian–Markov Process

The receiver’s time of arrival (TOA) is related to the PF, SF, and ASF. Correcting the PF, SF, and ASF requires accurate values for the geodetic distance ( d ). Considering that it is quite difficult to obtain geodetic distances precisely when there is no satellite navigation system available for precise positioning, we consider establishing a model that can predict real-time (SF+ASF) values without relying on the d .
We use a first-order Gaussian–Markov process [41] for modeling purposes. A first-order Gaussian–Markov process is a first-order random process that both exhibits Markovian properties and follows a Gaussian distribution. In such a process, the conditional probability distribution of the current state depends solely on the previous state, and all states are generated by Gaussian distributions. Consequently, a first-order Gaussian–Markov process can be fully described by two sets of parameters: the mean and variance of the initial state, as well as the mean and variance of the state transitions.
A discrete-state Markov process is known as a Markov chain, which is defined in the following form [42]:
p X t = j / X t 1 = i 1 , X t 2 = i 2 , , X t n = i n = p X t = j / X t n = i n
If the stochastic process [1] satisfies the condition that, for any integer n ≥ 1 and any sequence of times 0 ≤ t1 < t2 … < tn < t, as well as any states i1, i2, …, in,j ∈ S, then it is called a Markov chain. The n-step transition probability from state i at time m to state j after n steps in the system is denoted as follows:
p i j ( n ) ( m ) = p X m + n = j / X m = i ( i , j S )
The variation in the ASF indeed conforms to the pattern described above; hence, a first-order Gaussian–Markov process can be utilized for modeling (SF+ASF). The initial SF value ( ρ A S F 1 ) is obtained through measurement calculations by the BDS receiver. Thereafter, for each ρ A S F k , the state transition matrix (P) is given as follows:
P = exp β Δ D ( k )
Thus, the ASF model is established in the following form:
ρ A S F ( k ) = ρ A S F ( k ) ¯ + ρ A S F t ( k ) + ρ A S F s ( k ) ,
ρ A S F t ( k ) = constant
ρ A S F s ( k ) = exp β Δ D ( k ) ρ A S F s ( k 1 ) + w A S F s ( k 1 ) σ 2 2 β ( 1 e 2 β ( Δ D ( k ) ) )
Here, represents the (SF+ASF) calibration value, ρ A S F t represents the time-varying (SF+ASF) component, ρ A S F s is the spatial (SF+ASF) component, Δ D k is the distance between two measurement points at discrete time steps, and β represents the inverse of a distance constant analogous to the time constant in a traditional Gaussian–Markov process.
As stated by Choi et al. [43], the ASF can be categorized into the nominal ASF, spatial ASF, and temporal ASF, based on their respective characteristics. The nominal ASF is determined by averaging actual measurements over a period of at least one year [35], accounting for seasonal variations along the signal propagation path between each transmitting station and receiver. The spatial ASF involves creating an individual ASF map for each transmitting station and receiver, with the spatial ASF values calculated as the relative difference from the nominal ASF at each grid point within the coverage area. The temporal ASF is influenced by environmental factors such as weather or seasonal changes, leading to significant variations over time.
The model’s prediction of the ASF primarily focuses on spatial variations, meaning it is unable to effectively predict seasonal or temporal changes and can only be corrected using long-term measurements. As a result, the temporal ASF caused by time variations represents a limitation of this model. The correction of the temporal ASF can be referenced from the work [43].
Upon further investigation, we focused on the specific values of β ( k ) and w A S F ( k ) .
The parameter β is referred to as the memory factor. A value of β close to 1 results in a smoother and more stable model, while a value closer to 0 leads to a more responsive but less stable model. In general, for systems exhibiting stable behavior, a larger β is preferred, whereas rapidly changing systems typically require a smaller β. For ships navigating at sea, the variation in the ASF over short time intervals is relatively small; therefore, a larger β can be adopted to reflect this stability. The term w A S F ( k ) represents random noise and should be tuned according to the expected noise level in the system.
Although D k may not be an exact value, we assume that Δ D k is accurate since the error terms tend to cancel out in the subtraction process. In practical computations, however, it is found that simply adjusting β and w does not precisely capture ρ A S F . Therefore, consideration is given to introducing a correction term to β :
β ( k ) = β D ( k ) D ( k + 1 )
The second term on the right-hand side of Equation (23) is represented as follows:
w ( k ) = w ( 1 exp β ( k ) Δ D ( k ) ) D ( k ) D ( k + 1 )
In the above formula, β and w are constants. Thus, Equation (23) can be expressed as follows:
ρ A S F s ( k ) = exp β ( k ) Δ D ( k ) ρ A S F s ( k 1 ) + w ( k )
To obtain an optimal pair of the parameters β and w for the model that ensures the best fit between the predicted and measured ASF curves, we adopt a grid search strategy. The loss function is defined as follows:
J ( β , w ) = 1 N = k = 1 N ( A S F k model ( β , w ) A S F k t r u e ) 2
where A S F k t r u e denotes the measured ASF value, A S F k m o d e l ( β , w ) represents the model output, and N is the total number of samples.
The temporal parameters of the Gaussian–Markov process can reflect the time-varying characteristics of the receiver, which are key to building a Gaussian–Markov process model. Estimating the correlation time of positioning data through auto-correlation analysis allows for a more rational representation of the actual variation patterns of the ASF. An ideal analytical method for the Gaussian–Markov process is the auto-correlation function approach, and for a first-order Gaussian–Markov process, the auto-correlation function is given as follows:
R τ = σ 2 e τ T c
By utilizing the auto-correlation function, one can determine the parameters σ 2 and T c .

4. Results

The BDS positioning data and Loran positioning data were collected in the eastern coastal waters of China at the geographical coordinates 28°N, 121°E. The Loran stations in the Loran chain are located in Rongcheng, Shandong Province; Xuancheng, Anhui Province; and Helong, Jilin Province.
For scenarios in which the receiver operates along the coastline and the signal path involves mixed land–sea propagation, a transition buffer zone of ±500 m is defined. In this region, the ASF values are determined using a two-end interpolation strategy:
A S F ( s ) = α A S F s e a ( s ) + ( 1 α ) A S F l a n d ( s )
where the weight α = ( d s e a + d l a n d ) / d l a n d , which can be adaptively adjusted based on the proportion of the land–sea sections in the propagation path. This strategy helps to avoid model instability caused by abrupt changes in the ASF values.
Figure 2 illustrates the positional relation vessel between the receiver and the positioning stations. Both the BDS and Loran receivers are measured simultaneously, using the more precise positioning results from the BDS to compute the geodetic distances between the receiver and the positioning stations, thereby obtaining the initial geodetic distances. Concurrently, the azimuth angles corresponding to the positioning stations are measured by the receiver to derive the ground distance above sea level along those directions. These ground distances are primarily used for calculating the SF values.
Figure 3 illustrates the HDOP values of the Loran chain in the eastern waters of China. It is evident that the HDOP values in these waters are relatively low, indicating a well-distributed Loran chain.
The test was conducted under clear weather conditions, ensuring minimal environmental interference. During the experiment, the boat maintained a nearly constant cruising speed, with the average velocity measured at approximately 25 km/h. The water surface remained relatively calm, and external disturbances such as wind and current were negligible, providing a stable environment for data collection. Figure 4 shows the trajectory over a duration of 10,000 s (depicted by the white line). To clearly illustrate the variation in the SF+ASF, samples were taken once every second, for a total of 10,000 samples. Using the Loran receiver, the time of arrival was measured, and the current coordinates were computed accordingly.
To address the significant impact of terrain variations in mountainous regions and elsewhere on the ASF, Chen et al.’s CLC numerical integration method [23] was employed to calculate the ASF values at the point where the land meets the sea for each positioning station. We simulated ASF values along the geodetic propagation paths for different azimuth angles at each positioning station. Upon measuring the ASFs, a lookup table can be constructed, with each ASF value corresponding to a specific azimuth angle.
Given that this experiment focused on the ASF variations over the sea surface, situations wherein the receiver is positioned on land were not considered in this study. To investigate the change in the ASF during the motion of the receiver, we simulated a sailing trajectory starting at a location of 121° east longitude and 27° north latitude over the sea surface. The SF and ASF curves were drawn based on the measured values and the “Military Standard of the Electronic Industry of the People’s Republic of China”.
Figure 5 demonstrates the computation and simulation of the SF and ASF from the positioning stations to the coastal region using the numerical integration method proposed by Chen et al., selecting different ASF values based on changes in the ASF map. This composite (SF+ASF) model reflects (SF+ASF) changes during the movement of the receiver across the simulated trajectory.
When the radio wave propagation path between the positioning station and the receiver transitions from flat ground to mountainous areas, the ASF can experience sudden changes, impacting the positioning result. In such cases, Kalman filters can be employed to process the sampled values, yielding a smoother, continuous outcome.
Figure 6 demonstrates how the ASF becomes smoother after applying a Kalman filter when it jumps due to passage through mountainous terrain. Although this method overlooks the influence of ground ASF variations, its impact on vessels navigating on the sea surface is relatively small.
Subsequently, the Loran positioning program is used to resolve the uncorrected positioning trajectories and the positioning errors after correction, as shown in Figure 7. The horizontal positioning error (HPE) (95%) is 269.10 m.
After obtaining a set of (SF+ASF) measurements over a period of time, they can be used to test the fit of the (SF+ASF) model created using a Gaussian–Markov process against the actual measurements.
The selection of different values for β has an impact on the variation in the model. The value of β is mainly associated with the growth rate of the model. A larger value of β implies a higher rate of change in the model. However, merely adjusting the value of β alone is insufficient. Since the growth rate of an exponential function eventually surpasses that of a linear function at a certain point in time, additional constraints must be imposed on the model to ensure appropriate fitting.
Figure 8 presents a comparison of the goodness-of-fit between the unadjusted and adjusted models. In the graph, the blue line represents the actual (SF+ASF) values, the red line indicates the corrected (SF+ASF) values after adjustment, the purple line shows the (SF+ASF) values without constraining β, and the yellow line displays the (SF+ASF) values without constraining β(k). The mean error of the unadjusted model compared to the true values is 2.09 × 10−2, with a maximum error of 8.07 × 10−2, and a variance of 6.98 × 10−4. In contrast, the mean error of the adjusted model relative to the true values is −1.33 × 10−4, the maximum error is 3.04 × 10−4, and the variance is 1.85 × 10−7. This illustrates the improved fit of the model after the adjustments have been applied.
Figure 9 illustrates the positioning errors resulting from using the (SF+ASF) values generated by the model for correction. With the initial SF values and the actual ASF map, the HPE (95%) after applying the adjusted model is 33.64 m. It is evident that the positioning accuracy significantly improved by hundreds of meters to tens of meters.
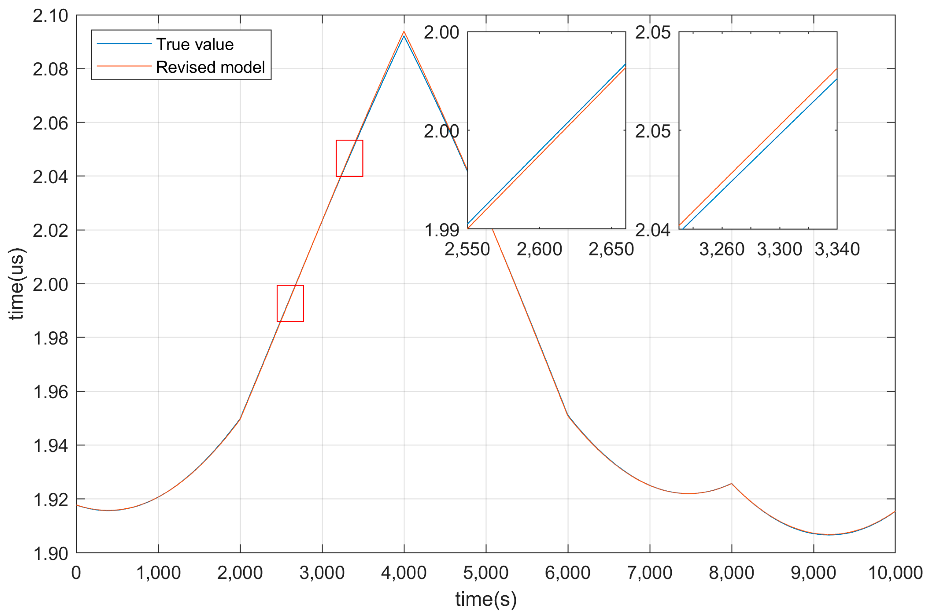
Figure 10 illustrates the comparison between the true values without the ASF and the model values. From the adjusted curve, it can be observed that at approximately 2910 s, the model prediction values shift from slightly below the actual values to slightly above them, reaching a maximum difference at approximately 4000 s. However, as the distance between the receiver and the positioning station subsequently decreases, the model prediction curve rapidly adjusts and converges toward the actual SF values. This suggests that when the receiver’s trajectory alternates between “approaching” and “moving away from” the positioning station, the predictive performance of the model tends to improve.
The following section will compare the prediction performance of the traditional Extended Kalman Filter (EKF) method with that of the proposed model.
In the EKF, the state vector can be represented as follows:
x k = A S F k A S ˙ F k
where A S F k represents the current ASF value, and A S ˙ F k denotes its rate of change.
The state transition equation is as follows:
x k + 1 = f ( x k ) + w k
where
f ( x k ) = A S F k + A S ˙ F k Δ t A S ˙ F k
The observation model is as follows:
z k = h ( x k ) + v k , h ( x k ) = A S F k
where wk and vk are the process noise and observation noise, respectively, both assumed to follow a Gaussian distribution.
The state prediction is as follows:
x ^ k k 1 = f ( x ^ k 1 )
The covariance prediction is as follows:
P k k 1 = F k 1 P k 1 F k 1 T + Q
where
F k 1 = f x | x ^ k 1
The update phase is as follows:
K k = P k k 1 H k T ( H k P k k 1 H k T + R ) 1
x ^ k = x ^ k | k 1 + K k ( z k h ( x ^ k | k 1 ) )
P k = ( I K k H k ) P k k 1
Figure 11 shows the error between the corrected value and the true value after the ASF is corrected using EKF. Table 1 presents the error statistics after ASF correction using the Gauss–Markov model and the traditional EKF method, including the maximum error, minimum error, root-mean-square error (RMSE), and horizontal positioning error at 95% confidence (HPE95). It can be observed that the correction performance of the Gauss–Markov model is comparable to that of the traditional method. However, it is noteworthy that the Gauss–Markov model operates independently of precise real-time measurements, differential Loran corrections, and ASF maps—advantages that the traditional model does not possess.
To further illustrate the limitations of the model and how to address these limitations, we conducted two comparative experiments. As shown in Figure 12, the vessel performed a back-and-forth motion in the maritime area, first moving away from the positioning station and then approaching it. The trajectory is depicted in (a). The SF values generated by the model and the actual SF values are shown in (b). It can be observed that when β and ω are adjusted to an appropriate value, the model fits well with the actual values, almost matching them precisely.
However, when the receiver continually moves farther from the positioning station, the suppressing effect of the constraint becomes less effective than the rate of exponential growth, leading to a substantial increase in the model’s output and, consequently, a growing error. As shown in Figure 13, if a simulated vessel consistently moves away from the positioning station, the ASF error increases by 0.01 nanoseconds after approximately 7000 s. To address this situation, it is feasible to consider employing an inertial navigation system (INS) to adjust the model’s β value to re-establish the adequate suppression of the exponential growth rate. Assuming the vessel does not have an INS and requires high-precision positioning, the vessel can travel a short distance toward the nearest Loran station, as shown from 8000 s to 10,000 s. In this scenario, the model’s predicted values will quickly approach the true values, thereby achieving the goal of improving the positioning accuracy.
To determine the optimal values for the model parameters β and w , a grid search method was applied. The objective function minimized the mean-squared error (MSE) between the model-predicted ASF values and ground-truth ASF values. A total of 299 parameter combinations were evaluated in the ranges β [ 0.7 ,   0.99 ] and w [ 0.001 ,   0.05 ] .
The results indicate that the model is sensitive to both parameters. A lower β introduces excessive responsiveness to noise, while a higher β causes temporal lag. The optimal combination ( β = 0.91, w = 0.012) achieves a good balance between responsiveness and stability. A sensitivity analysis is presented in Figure 14 to illustrate the impact of the parameter variation on the model performance.
Figure 14 shows the effect of adjusting w and β on the MSE value.

5. Discussion

The results of this study demonstrate that the proposed (SF+ASF) modeling approach significantly enhances the positioning accuracy of the Loran system, particularly in satellite-denied environments. By leveraging BDS data to estimate geodetic distances and applying a Gaussian–Markov model to predict (SF+ASF) variations, the proposed method improved the Loran positioning accuracy from an uncorrected HPE of 269.10 m to 33.64 m after correction, achieving a notable improvement of several hundred meters.
One key finding is that the Loran chain in the eastern waters of China exhibits relatively low HDOP values, indicating a well-distributed network that provides stable positioning coverage. The experimental results also highlight the effectiveness of numerical integration methods in computing ASF values, as demonstrated in Figure 4. The lookup table approach allows for accurate ASF estimation based on azimuth angles, ensuring the reliable modeling of the (SF+ASF) variations. However, this study acknowledges the impact of sudden ASF variations when transitioning from flat ground to mountainous terrain, necessitating the application of Kalman filtering to smooth the ASF values, as illustrated in Figure 5. The filtering process reduces abrupt changes and improves the stability of the computed ASF values for maritime navigation.
A significant challenge identified in this study is the influence of the parameter β in the Gaussian–Markov model. The results suggest that the growth rate of the model is sensitive to β, and the improper selection of this parameter can lead to excessive deviations in the predicted (SF+ASF) values. Figure 7 demonstrates that without appropriate constraints, the model’s error remains substantial, whereas incorporating sequence constraints and adjusting β effectively reduces the mean error and variance, improving the model’s fit to actual data. Furthermore, the experiments in Figure 10 and Figure 11 highlight the model’s limitations in different movement scenarios. When the receiver moves back and forth relative to the positioning station, the predictive performance remains strong, but when the receiver continuously moves away, the suppressing effect of the constraints weakens, causing increased prediction errors. This issue can be mitigated by integrating an inertial navigation system (INS) to dynamically adjust β or by altering the vessel’s trajectory to temporarily move toward the positioning station.
Another critical observation is that the ASF correction significantly impacts the positioning accuracy. The comparison in Figure 9 shows that when ASFs are not included in the model, prediction errors increase over time. This underscores the importance of incorporating ASF values to enhance the reliability of Loran-based navigation. Additionally, the ability of the model to adapt to dynamic trajectories is evident, as shown in Figure 10 and Figure 11. The results suggest that while the model effectively predicts (SF+ASF) variations under standard conditions, additional measures are required when the vessel continuously moves away from the Loran stations.
The ASF sequence generation algorithm used in this study exhibits linear time and space complexity. Specifically, the algorithm begins by initializing two vectors of length (l), followed by a for-loop that iterates from k = 2 to k = l. In each iteration, the computation involves only a constant number of operations, including exponential evaluations and basic floating-point arithmetic, which depend solely on the previous state rather than the entire history.
As a result, the time complexity of the algorithm is O(l). Moreover, since the algorithm only stores two intermediate vectors of length (l), the space complexity is also O(l).
In summary, the algorithm demonstrates high computational efficiency and low memory usage, making it well suited for large-scale or high-frequency ASF modeling and simulation tasks.
Overall, this study provides a promising method for improving the Loran positioning accuracy in GNSS-denied environments. The Gaussian–Markov model, combined with numerical integration for ASF computation and Kalman filtering for ASF smoothing, effectively reduces positioning errors. However, future work should focus on optimizing β adjustments using adaptive algorithms, integrating real-time INS corrections, and on further validating the model in diverse geographic environments, including coastal and inland water regions with complex terrain influences.
Compared with previous approaches, the model proposed in this paper offers several key advantages. First, it eliminates the need for a large number of differential stations and detailed ASF maps, thereby significantly reducing infrastructure and measurement costs. Second, the model introduces correction factors ( β ( k ) and w A S F k ), which enhance the adaptability and accuracy of the prediction model, making it more suitable for integration with Kalman filtering.
In future work, we will further explore the applicability of this model in other maritime areas, which may involve adjustments to the model’s parameters. Specifically, we plan to validate its performance in different oceanic conditions, including varying sea states, which may affect the signal propagation characteristics. Additionally, we will investigate the predictive performance of the SF+ASF model in terrestrial regions and mountainous areas with significant surface undulations. Based on this model and the relevant parameters derived from oceanic conditions, we will continue to explore the most appropriate curve model to represent the (SF+ASF) variations in such terrains.
In addition, we plan to conduct comparative studies across diverse geographical environments to investigate how various environmental factors influence signal propagation. This will include analyzing the effects of land–sea transitions, coastal regions with complex topographies, seasonal weather variations, and urban areas where man-made structures may introduce additional interference. These factors will be dynamically integrated into the model. Furthermore, we aim to explore hybrid modeling approaches that combine empirical observations with physics-based models, thereby enhancing the adaptability and robustness of our method under varying geographical conditions.
To enhance the accuracy and robustness of our model, we plan to collect more data from environments such as oceans and mountainous regions, utilizing machine learning, deep learning, and other methods to record data over extended periods. These techniques will allow us to develop adaptive algorithms capable of real-time model adjustments based on incoming data. We will also investigate the potential of data fusion techniques, combining information from multiple sensor sources, such as GNSSs, inertial navigation systems, and remote sensing data, to refine the SF+ASF predictions.
During actual measurements, we will account for other environmental errors and ensure time synchronization between devices in advance to improve the accuracy of Loran positioning as much as possible.

6. Conclusions

In the Loran system, factors such as the PF, SF, and ASF affect the ranging accuracy by causing signal delays and variations, impacting the positioning precision. To address this issue, this study used the BDS as an external data source to dynamically estimate the SF and ASF values during movement. By incorporating real-time BDS data, the system can adaptively correct for environmental influences on Loran signals, improving the positioning accuracy.
This study employed a Gaussian–Markov model to capture the combined effects of the SF and ASF, accounting for signal variations’ temporal correlation and stochastic nature. This enables real-time corrections, significantly enhancing the Loran’s positioning performance, even in satellite-denied environments. When satellite navigation is unavailable, the method improves the Loran accuracy by several hundred meters, achieving sub-100 m precision for maritime navigation in GNSS-challenged areas.
The key innovation is the use of a predictive model for real-time (SF+ASF) estimation, eliminating the need for precise geodetic distance measurements. This approach offers a practical solution for correcting Loran system errors in scenarios without accurate satellite positioning or traditional corrections, enhancing Loran’s reliability and usability in complex environments.

Author Contributions

Conceptualization, J.L. and H.W.; methodology, J.L. and H.W.; software, J.L.; validation, J.L. and H.W.; formal analysis, J.L.; investigation, J.L. and H.W.; resources, H.W.; data curation, J.L.; writing—original draft preparation, J.L.; writing—review and editing, J.L. and H.W.; visualization, J.L.; supervision, H.W.; project administration, H.W.; funding acquisition, H.W. All authors have read and agreed to the published version of the manuscript.

Funding

This research was funded by the Youth Innovation Promotion Association CAS, grant number Y2023109.

Data Availability Statement

The supporting data for this study can be obtained upon request from the corresponding author. Due to privacy concerns involving the participants, these data are not publicly available.

Conflicts of Interest

The authors declare no conflicts of interest.

References

  1. Lo, S.C.; Peterson, B.B.; Enge, P.K. Loran data modulation: A primer. IEEE Aerosp. Electron. Syst. Mag. 2007, 22, 31–51. [Google Scholar] [CrossRef]
  2. Hargreaves, C.; Williams, P.; Bransby, M. ASF Quality Assurance for eLoran. In Proceedings of the IEEE/ION Position Location and Navigation Symposium (PLANS), Myrtle Beach, SC, USA, 23–26 April 2012; IEEE: Piscataway, NJ, USA, 2012; pp. 1169–1174. [Google Scholar]
  3. Basker, S.; William, P.; Bransby, M.; Last, D.; Offermans, G.; Helwig, A. Enhanced Loran: Real-time maritime trials. In Proceedings of the IEEE/ON Position, Location and Navigation Symposium, Monterey, CA, USA, 5–8 May 2008; IEEE: Piscataway, NJ, USA, 2008; pp. 792–799. [Google Scholar]
  4. Ward, N.; Hargreaves, C.; Williams, P.; Bransby, M. Delivering resilient PNT. In Proceedings of the 15th World Congress of the International-Association-of-Institutes-of-Navigation (lAIN), Prague, Czech Republic, 20–23 October 2015; IEEE: Piscataway, NJ, USA, 2015. [Google Scholar]
  5. Hargreaves, C.; Williams, P. A Method of Providing Integrity for eLoran. In Proceedings of the International Technical Meeting of the Institute-of-Navigation, San Diego, CA, USA, 27–29 January 2014; pp. 588–593. [Google Scholar]
  6. Li, S.; Wang, Y.; Hua, Y.; Yuan, J. Loran-C Signal Fast Acquisition Method and Its Performance Analysis. J. Electron. Inf. Technol. 2013, 35, 2175–2179. [Google Scholar] [CrossRef]
  7. Ding, C.; Chen, J.; Liu, R. A new differential loran navigation system. GNSS World China 2019, 44, 68–76. [Google Scholar]
  8. Han, K.; Won, J. GNSS Signal Design Trade-off Between Data Bit Duration and Spreading Code Period for High Sensitivity in Signal Detection. J. Position. Navig. Timing 2017, 6, 87–94. [Google Scholar] [CrossRef]
  9. Iyidir, B.; Özkazanç, Y. Jamming of GPS receivers. In Proceedings of the IEEE 12th Signal Processing and Communications Applications Conference, Kusadasi, Turkey, 28–30 April 2004; IEEE: Piscataway, NJ, USA, 2004; pp. 747–750. [Google Scholar]
  10. Wang, E.; Yang, Y.; Zhang, Z.; Pang, T. Availability analysis of GPS receiver autonomous integrity monitoring algorithm. J. Dalian Marit. Univ. 2015, 41, 91–95. [Google Scholar]
  11. Li, N.; Zhao, L.; Li, L.; Jia, C. Integrity monitoring of high-accuracy GNSS-based attitude determination. GPS Solut. 2018, 22, 120. [Google Scholar] [CrossRef]
  12. Johnson, G.; Shalaev, R.; Hartnett, R.; Swaszek, P.; Narins, N. Can LORAN meet GPS backup requirements? IEEE Aerosp. Electron. Syst. Mag. 2005, 20, 3–12. [Google Scholar] [CrossRef]
  13. Johnson, G.W.; Swaszek, P.F.; Hartnett, R.J.; Shalaev, R.; Wiggins, M. An evaluation of eLoran as a backup to GPS. In Proceedings of the IEEE Conference on Technologies for Homeland Security—Enhancing Critical Infrastructure Dependability, Woburn, MA, USA, 16–17 May 2007; IEEE: Piscataway, NJ, USA, 2007; pp. 95–100. [Google Scholar]
  14. Lachapelle, G.; Townsend, B.; Halayko, D. Analysis of GPS and Loran-C performance for land vehicle navigation in the Canadian Rockies. In Proceedings of the 1992 Position Location and Navigation Symp—Five Hundred Years After Columbus: Navigation Challenges of Tomorrow (Plans 92), Monterey, CA, USA, 23 March 1992; IEEE: Piscataway, NJ, USA, 1992; pp. 504–508. [Google Scholar]
  15. Fang, T.H.; Kim, Y.; Park, S.G.; Seo, K.; Park, S.H. GPS and eLoran Integrated Navigation for Marine Applications Using Augmented Measurement Equation Based on Range Domain. Int. J. Control. Autom. Syst. 2020, 18, 2349–2359. [Google Scholar] [CrossRef]
  16. Jiangning, X.U.; Kejing, C.A.O.; Guoheng, C.U.I. Wigner-Vill Transformation Analysis for Cycle Identification of Loran-C. J. Proj. Rocket. Missiles Guid. 2010, 30, 211–214. [Google Scholar]
  17. Mason, G.W.; Adams, W.C. Enhanced LOng RAnge Navigation (eLORAN) System e.g., Positioning, Navigation and Timing (PNT) Service Has Additional Secondary Factor (ASF) Data That Is Based upon Different Geographical Positions and Different Times. EP3699625-A1, 15 April 2021. [Google Scholar]
  18. Kjerstad, N. The role of LORAN-C in present and future navigation: From a Norwegian nautical perspective. J. Navig. 2002, 55, 185–195. [Google Scholar] [CrossRef]
  19. Qin, H.L.; Jin, X.Q.; Cong, L.; Yao, J.T. MEDLL-based method of ground-wave and cycle identification for Loran-C signal. In Proceedings of the 14th IEEE International Conference on Electronic Measurement and Instruments (ICEMI), Changsha, China, 1–3 November 2019; IEEE: Piscataway, NJ, USA, 2019; pp. 114–123. [Google Scholar]
  20. Brodeur, L.R. LORAN-C Radio Navigation Receiver Has Manually Operated Thumbwheel Switches Coupled with Digital Comparator Circuits and LED Read=Out Display. US4104635-A, 1 August 1978. [Google Scholar]
  21. Lee, J.; Hwang, S.W.; Lee, S.J.; Hoon, Y.S. dLoran Measurement in Yeongil Bay using the Pohang Loran-C (9930M). J. Korean Navig. Port Res. 2014, 38, 227–232. [Google Scholar] [CrossRef]
  22. Li, R.; Su, J.; Wang, N. ASF Correction in Long-wave Time Service. J. Astronaut. Metrol. Meas. 2011, 31, 34–36. [Google Scholar]
  23. Chen, X.M.; Li, W.K.; Chen, Y.B.; Xu, J.M.; Chen, H.Q. Calculation & Research on ASF Correction of Loran-C. J. Astronaut. Metrol. Meas. 2009, 29, 26–30. [Google Scholar]
  24. Hartnett, R.; Swaszek, P.F.; Johnson, G. Integrated GPS/Loran Receiver for ASF Propagation Studies. In Proceedings of the 16th International Technical Meeting of the Satellite Division of the Institute of Navigation (ION GPS/GNSS 2003), Portland, OR, USA, 9–12 September 2003; pp. 968–977. [Google Scholar]
  25. Luo, N.; Mao, G.; Lachapelle, G.; Cannon, E. ASF Effect Analysis Using an Integrated GPS/eLORAN Positioning System. In Proceedings of the 2006 National Technical Meeting of the Institute-of-Navigation, Monterey, CA, USA, 18–20 January 2006; pp. 967–976. [Google Scholar]
  26. Hwang, S.W.; Lee, S.J.; Shin, M.Y.; Choi, Y.; Yu, D.; Chansik, P.; Hoon, Y.S. A Generation Method of ASF Mapping by the Predicted ASF with the Measured One in the Yeongil Bay. J. Korean Navig. Port Res. 2013, 37, 375–381. [Google Scholar] [CrossRef]
  27. Wang, L.L.; Liang, Z.C.; Pu, Y.R.; Xi, X.L. Method for Loran-C Additional Secondary Factor Correction Based on Neural Network and Transfer Learning. IEEE Antennas Wirel. Propag. Lett. 2022, 21, 332–336. [Google Scholar] [CrossRef]
  28. Kim, Y.; Fang, T.H.; Seo, K.; Park, S.H. A Test of a Loran-C Multi-chain Positioning Method Using ASF Estimates. In Proceedings of the European Navigation Conference (ENC), Warsaw, Poland, 9–12 April 2019; IEEE: Piscataway, NJ, USA, 2019. [Google Scholar]
  29. Li, S.; Wang, Y.; Hua, Y.; Xu, Y. Research of Loran-C data demodulation and decoding technology. Chin. J. Sci. Instrum. 2012, 33, 1407–1413. [Google Scholar]
  30. Son, P.W.; Rhee, J.H.; Seo, J. Novel Multichain-Based Loran Positioning Algorithm for Resilient Navigation. IEEE Trans. Aerosp. Electron. Syst. 2018, 54, 666–679. [Google Scholar] [CrossRef]
  31. Roland, W.; McGann, E.; Edward, M.; William, R. Processing Method for Integrating Loran-C and Satellite Navigation System Technologies Modulates Loran-C Navigation Signal Transmissions to Provide Communications Signal and Supplemental Navigation Signal, Timed to Provide Additional Position Information. US5563611-A, 8 October 1996. [Google Scholar]
  32. Yan, B.; Li, Y.; Guo, W.; Hua, Y. A solution method of positioning and timing based on pseudo distance assigning for Loran-C. J. Time Freq. 2020, 43, 130–142. [Google Scholar]
  33. Min, S.; Wang, J.; Jiang, T.; Tian, Z. The calculation research of hyperbolic navigation position fixing based on double station chains loran c navigator. J. Electron. Inf. Technol. 2003, 25, 700–703. [Google Scholar]
  34. Li, L.; Quddus, M.; Zhao, L. High accuracy tightly-coupled integrity monitoring algorithm for map-matching. Transp. Res. Part C-Emerg. Technol. 2013, 36, 13–26. [Google Scholar] [CrossRef]
  35. Xilin, K.E.; Hongqing, C.; Yuepeng, Z.; Jizhang, S.U.N.; Jin, C.; Fengyun, Z. GIS Software for ASF Correction in Timing of Long-wave. J. Astronaut. Metrol. Meas. 2007, 27, 34–37. [Google Scholar]
  36. Li, Z.S. Design and analysis of improved Butterworth low pass filter. In Proceedings of the 8th International Conference on Electronic Measurement and Instruments, Xi’an, China, 16–18 August 2007; IEEE: Piscataway, NJ, USA, 2007; pp. 729–732. [Google Scholar]
  37. Che, A.; Wang, Y.; Liu, C.; Ji, D. A Method to Measure the Time Delay for the Loran C Timing Receiver. J. Astronaut. Metrol. Meas. 2012, 32, 13–16. [Google Scholar]
  38. Zhu, Y.; Xu, J.; Cui, G.; Ma, J. Time-frequency Methods for Period Identification of Loran-C. J. Electron. Inf. Technol. 2010, 32, 732–736. [Google Scholar] [CrossRef]
  39. Monin, A. Submarine floating antenna model for LORAN-C signal processing. IEEE Trans. Aerosp. Electron. Syst. 2003, 39, 1304–1315. [Google Scholar] [CrossRef]
  40. Foy, W.H. Position-location solutions by taylor-series estimation. IEEE Trans. Aerosp. Electron. Syst. 1976, 12, 187–194. [Google Scholar] [CrossRef]
  41. Beekman, J.A. Gaussian-markov processes and a boundary value problem. Trans. Am. Math. Soc. 1967, 126, 29–42. [Google Scholar] [CrossRef]
  42. Dynkin, E.B. Markov processes. In Markov Processes: Volume 1; Springer: Berlin/Heidelberg, Germany, 1965; pp. 77–104. [Google Scholar]
  43. Choi, Y.; Hwang, S.W.; Yeo, S.-R.; Chansik, P.; Hoon, Y.S.; Lee, S.J. A Study on the ASF Correction Age and Error for Effective eLORAN Data Channel Utilization in Korea. J. Position. Navig. Timing 2013, 2, 109–114. [Google Scholar] [CrossRef]
Figure 1. Loran pseudorange positioning time-equivalent diagram.
Figure 1. Loran pseudorange positioning time-equivalent diagram.
Remotesensing 17 01555 g001
Figure 2. Diagram of positioning station and receiver locations. The three black dots represent the three positioning stations, and the red dot represents the receiver.
Figure 2. Diagram of positioning station and receiver locations. The three black dots represent the three positioning stations, and the red dot represents the receiver.
Remotesensing 17 01555 g002
Figure 3. HDOP values of Loran’s block-chain.
Figure 3. HDOP values of Loran’s block-chain.
Remotesensing 17 01555 g003
Figure 4. Illustration of trajectory during operation.
Figure 4. Illustration of trajectory during operation.
Remotesensing 17 01555 g004
Figure 5. SF and ASF curves. The red line represents the ASF values, the blue line represents the SF values, and the yellow line represents the SF+ASF values.
Figure 5. SF and ASF curves. The red line represents the ASF values, the blue line represents the SF values, and the yellow line represents the SF+ASF values.
Remotesensing 17 01555 g005
Figure 6. ASF values after Kalman filtering. The blue line represents the measured ASF, and the red line represents the filtered ASF.
Figure 6. ASF values after Kalman filtering. The blue line represents the measured ASF, and the red line represents the filtered ASF.
Remotesensing 17 01555 g006
Figure 7. Uncorrected Loran positioning horizontal distance errors.
Figure 7. Uncorrected Loran positioning horizontal distance errors.
Remotesensing 17 01555 g007
Figure 8. Comparison between the modeled (SF+ASF) values and actual (SF+ASF) values. The blue line represents the true value, the yellow line represents the value without β(k) constraints, the purple line represents the value without β constraints, and the red line represents the model.
Figure 8. Comparison between the modeled (SF+ASF) values and actual (SF+ASF) values. The blue line represents the true value, the yellow line represents the value without β(k) constraints, the purple line represents the value without β constraints, and the red line represents the model.
Remotesensing 17 01555 g008
Figure 9. HPE after using the model to correct the Loran positioning.
Figure 9. HPE after using the model to correct the Loran positioning.
Remotesensing 17 01555 g009
Figure 10. Comparison between the modeled and measured values without the inclusion of the ASF. The blue line represents the true value, and the red line represents the model. The two red boxes are used to magnify the difference between the predicted values and the true values of the two parts.
Figure 10. Comparison between the modeled and measured values without the inclusion of the ASF. The blue line represents the true value, and the red line represents the model. The two red boxes are used to magnify the difference between the predicted values and the true values of the two parts.
Remotesensing 17 01555 g010
Figure 11. Prediction error of the EKF model.
Figure 11. Prediction error of the EKF model.
Remotesensing 17 01555 g011
Figure 12. The predictive performance of the model when the receiver moves back and forth. (a) The white line represents the navigation track. (b) The blue line represents the true value, and the red line represents the model.
Figure 12. The predictive performance of the model when the receiver moves back and forth. (a) The white line represents the navigation track. (b) The blue line represents the true value, and the red line represents the model.
Remotesensing 17 01555 g012
Figure 13. The predictive performance of the model when the receiver continuously moves away from the positioning station. (a) The white line represents the navigation track. (b) The blue line represents the true value, and the red line represents the model.
Figure 13. The predictive performance of the model when the receiver continuously moves away from the positioning station. (a) The white line represents the navigation track. (b) The blue line represents the true value, and the red line represents the model.
Remotesensing 17 01555 g013
Figure 14. Parameter sensitivity heatmap ( β , w , M S E ).
Figure 14. Parameter sensitivity heatmap ( β , w , M S E ).
Remotesensing 17 01555 g014
Table 1. Comparison of positioning errors between the Gauss–Markov model and the traditional EKF method.
Table 1. Comparison of positioning errors between the Gauss–Markov model and the traditional EKF method.
MethodMaximum ErrorMinimum ErrorRMSEHPE (95%)
Gauss–Markov52.93 m0.73 m38.28 m33.64 m
EKF55.89 m1.05 m41.32 m37.53 m
Disclaimer/Publisher’s Note: The statements, opinions and data contained in all publications are solely those of the individual author(s) and contributor(s) and not of MDPI and/or the editor(s). MDPI and/or the editor(s) disclaim responsibility for any injury to people or property resulting from any ideas, methods, instructions or products referred to in the content.

Share and Cite

MDPI and ACS Style

Li, J.; Wu, H. Modeling and Correction Methods for Positioning Errors in Loran System at Sea. Remote Sens. 2025, 17, 1555. https://doi.org/10.3390/rs17091555

AMA Style

Li J, Wu H. Modeling and Correction Methods for Positioning Errors in Loran System at Sea. Remote Sensing. 2025; 17(9):1555. https://doi.org/10.3390/rs17091555

Chicago/Turabian Style

Li, Jingling, and Huabing Wu. 2025. "Modeling and Correction Methods for Positioning Errors in Loran System at Sea" Remote Sensing 17, no. 9: 1555. https://doi.org/10.3390/rs17091555

APA Style

Li, J., & Wu, H. (2025). Modeling and Correction Methods for Positioning Errors in Loran System at Sea. Remote Sensing, 17(9), 1555. https://doi.org/10.3390/rs17091555

Note that from the first issue of 2016, this journal uses article numbers instead of page numbers. See further details here.

Article Metrics

Back to TopTop