Signal-to-Noise Ratio Model and Imaging Performance Analysis of Photonic Integrated Interferometric System for Remote Sensing
Abstract
1. Introduction
2. Materials and Methods
2.1. Principle of Integrated Interferometric Imaging System
2.2. Checkerboard Aperture Arrangement
2.3. Signal Transmission Process
2.3.1. Atmospheric Transmission
2.3.2. Coupling into Waveguides
2.3.3. Signal Transmission Within the PIC
2.4. Noise and Signal-to-Noise Ratio Model
2.4.1. Intensisty Noise
2.4.2. Phase Noise
- Environment-related phase noise (): Caused by factors such as thermal fluctuations and platform vibrations. This type of noise must be characterized based on actual device performance and satellite platform parameters.
- Atmospheric turbulence-induced phase noise (): This is the primary focus of our analysis.
2.4.3. SNR Model of Interference Visibility
- Unequal waveguide lengths;
- Differential loss coefficients among transmitting apertures;
- Deviations from ideal 3 dB splitting ratios in beam splitters;
- Phase modulation inaccuracies.
2.5. Sub-Aperture Energy Level
2.6. Impact of Atmospheric Turbulence on Interferometric Measurements
2.6.1. Turbulence Phase Noise
2.6.2. Maximum Baseline Constraint
2.7. System Parameter Specification for Performance Analysis of Photonic Integrated Interferometric Imagers
3. Results
3.1. System Performance Analysis
3.1.1. Entrance Pupil Radiance
3.1.2. Turbulence Phase Noise and Maximum Baseline
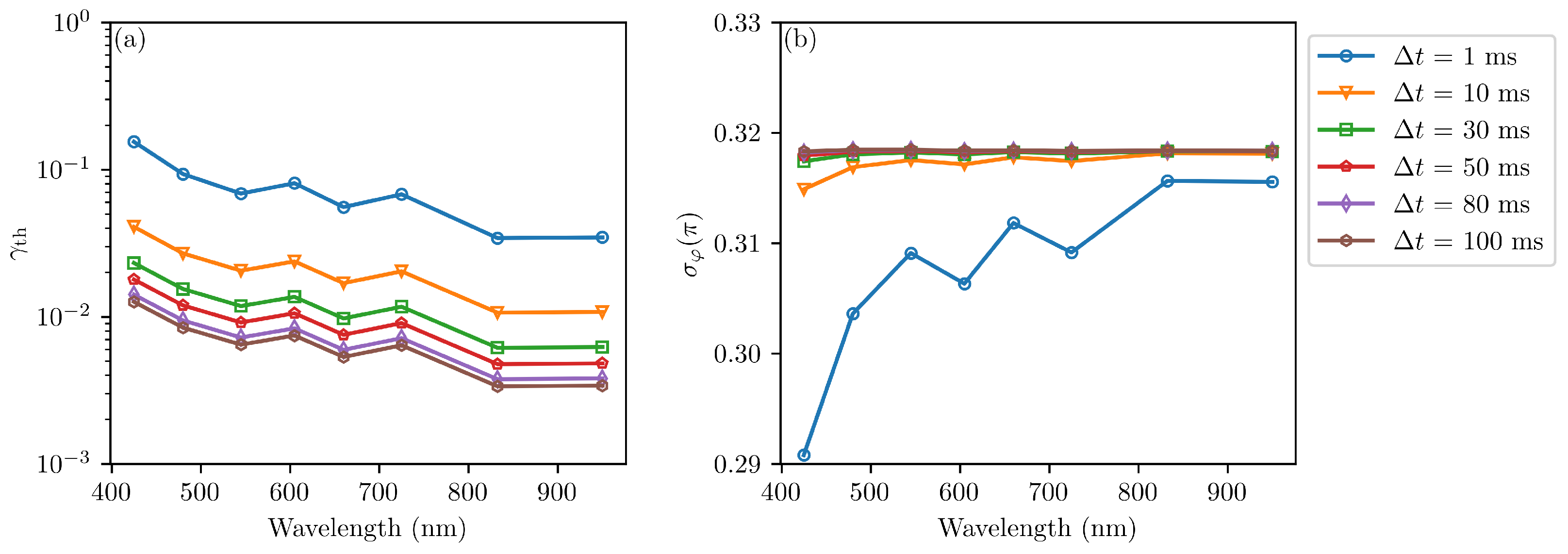
3.1.3. SNR of Visibility Measurement
3.2. Characterization of Imaging Performance
4. Discussion
5. Conclusions
Author Contributions
Funding
Data Availability Statement
Conflicts of Interest
Abbreviations
| WV-110 | WorldView3 110 camera | 
| PIC | Photonic Integrated Circuit | 
| PIIIS | Photonic Integrated Interferometric Imaging System | 
| SPIDER | Segmented Planar Imaging Detector for EO Reconnaissance | 
| RSR | Relative Spectral Response | 
| OPD | Optical Path Difference | 
References
- Kendrick, S.E.; Stahl, H.P. Large Aperture Space Telescope Mirror Fabrication Trades. Proc. SPIE 2008, 7010, 70102G. [Google Scholar] [CrossRef]
- Goodman, J. Statistical Optics; Wiley Series in Pure and Applied Optics; Wiley: Hoboken, NJ, USA, 2015. [Google Scholar]
- Michelson, A.A.; Pease, F.G. Measurement of the Diameter of Alpha-Orionis by the Interferometer. Proc. Natl. Acad. Sci. USA 1921, 7, 143–146. [Google Scholar] [CrossRef] [PubMed]
- Hill, J.M. The large binocular telescope. Appl. Opt. 2010, 49, D115–D122. [Google Scholar] [CrossRef] [PubMed]
- Glindemann, A.; Abuter, R.; Carbognani, F.; Delplancke, F.; Derie, F.; Gennai, A.; Gitton, P.B.; Kervella, P.; Koehler, B.; Leveque, S.A.; et al. The VLT Interferometer: A unique instrument for high-resolution astronomy. Proc. SPIE 2000, 4006, 2–12. [Google Scholar]
- Pannetier, C.; Mourard, D.; Bério, P.; Cassaing, F.; Allouche, F.; Anugu, N.; Bailet, C.; ten Brummelaar, T.; Dejonghe, J.; Gies, D.; et al. Progress of the CHARA/SPICA project. Proc. SPIE 2020, 11446, 192–206. [Google Scholar]
- Coudé du Foresto, V.; Ridgway, S. Fluor—A stellar interferometer using single-mode fibers. In Proceedings of the ESO Conference on High-Resolution Imaging by Interferometry II, Munich, Germany, 15–18 October 1991; p. 731. [Google Scholar]
- Kervella, P.; Coude du Foresto, V.; Glindemann, A.; Hofmann, R. VINCI: The VLT Interferometer commissioning instrument. Proc. SPIE 2000, 4006, 31–42. [Google Scholar] [CrossRef]
- Perrin, G.; Jocou, L.; Perraut, K.; Berger, J.P.; Dembet, R.; Fédou, P.; Lacour, S.; Chapron, F.; Collin, C.; Poulain, S.; et al. Single-Mode Waveguides for GRAVITY. II. Single-mode Fibers and Fiber Control Unit. Astron. Astrophys. 2024, 681, A26. [Google Scholar] [CrossRef]
- Mourard, D.; Berio, P.; Pannetier, C.; Nardetto, N.; Allouche, F.; Bailet, C.; Dejonghe, J.; Geneslay, P.; Jacqmart, E.; Lagarde, S.; et al. CHARA/SPICA: A six-telescope visible instrument for the CHARA Array. Proc. SPIE 2022, 12183, 59–71. [Google Scholar]
- Gillessen, S.; Eisenhauer, F.; Perrin, G.; Brandner, W.; Straubmeier, C.; Perraut, K.; Amorim, A.; Schöller, M.; Araujo-Hauck, C.; Bartko, H.; et al. GRAVITY: A four telescope beam combiner instrument for the VLTI. Proc. SPIE 2010, 7734, 318–337. [Google Scholar]
- Kendrick, R.; Duncan, A.; Wilm, J.; Thurman, S.T.; Stubbs, D.M.; Ogden, C. Flat Panel Space Based Space Surveillance Sensor. In Proceedings of the Advanced Maui Optical & Space Surveillance Technologies Conference, Maui, HI, USA, 10–13 September 2013. [Google Scholar]
- Duncan, A.; Kendrick, R.; Thurman, S.; Wuchenich, D.; Scott, R.P.; Yoo, S.J.B.; Su, T.; Yu, R.; Ogden, C.; Proiett, R. SPIDER: Next Generation Chip Scale Imaging Sensor. In Proceedings of the Advanced Maui Optical & Space Surveillance Technologies Conference, Maui, HI, USA, 15–18 September 2015. [Google Scholar]
- Duncan, A.L.; Kendrick, R.L.; Ogden, C.E.; Wuchenich, D.M.R.; Thurman, S.T.; Su, T.; Lai, W.; Chun, J.; Li, S.; Liu, G.; et al. SPIDER: Next Generation Chip Scale Imaging Sensor Update. In Proceedings of the Advanced Maui Optical and Space Surveillance Technologies Conference, Maui, HI, USA, 20–23 September 2016. [Google Scholar]
- Badham, K.; Kendrick, R.L.; Wuchenich, D.; Ogden, C.; Chriqui, G.; Duncan, A.; Thurman, S.T.; Yoo, S.J.B.; Su, T.; Lai, W.; et al. Photonic Integrated Circuit-Based Imaging System for SPIDER. In Proceedings of the 2017 Conference on Lasers and Electro-Optics Pacific Rim (CLEO-PR), Singapore, 31 July–4 August 2017; pp. 1–5. [Google Scholar] [CrossRef]
- Badham, K.; Duncan, A.; Kendrick, R.L.; Wuchenich, D.; Ogden, C.; Chriqui, G.; Thurman, S.T.; Su, T.; Lai, W.; Chun, J. Testbed Experiment for SPIDER: A Photonic Integrated Circuit-Based Interferometric Imaging System. In Proceedings of the Advanced Maui Optical and Space Surveillance (AMOS) Technologies Conference, Maui, HI, USA, 19–22 September 2017; p. 58. [Google Scholar]
- Chen, H.; Fu, M.; Shing, L.; Vasudevan, G.; Kowalczyk, T.; Hurlburt, N.; Yoo, S.J.B. Silicon Photonic Integrated Circuits for Heterodyne Interferometric Imaging of Incoherent Light Source. In Proceedings of the 2024 Conference on Lasers and Electro-Optics (CLEO), Charlotte, NC, USA, 5–10 May 2024; pp. 1–2. [Google Scholar]
- Mugnier, L.; Michau, V.; Debary, H.; Cassaing, F. Analysis of a Compact Interferometric Imager. Proc. SPIE 2022, 12180, 121803. [Google Scholar]
- Su, T.; Scott, R.P.; Ogden, C.; Thurman, S.T.; Kendrick, R.L.; Duncan, A.; Yu, R.; Yoo, S.J.B. Experimental Demonstration of Interferometric Imaging Using Photonic Integrated Circuits. Opt. Express 2017, 25, 12653–12665. [Google Scholar] [CrossRef] [PubMed]
- Su, T.H.; Liu, G.Y.; Badham, K.E.; Thurman, S.T.; Kendrick, R.L.; Duncan, A.; Wuchenich, D.; Ogden, C.; Chriqui, G.; Feng, S.Q.; et al. Interferometric Imaging Using Si3N4 Photonic Integrated Circuits for a SPIDER Imager. Opt. Express 2018, 26, 12801–12812. [Google Scholar] [CrossRef]
- Zhang, Y.; Ravichandran, R.; Zhang, Y.; Yoo, S.J.B. Large Scale Si3N4 Integrated Circuit for High-resolution Interferometric Imaging. In Proceedings of the 2023 Conference on Lasers and Electro-Optics (CLEO), San Jose, CA, USA, 7–12 May 2023; pp. 1–2. [Google Scholar]
- Liu, G.; Wen, D.S.; Song, Z.X. System Design of an Optical Interferometer Based on Compressive Sensing. Mon. Not. R. Astron. Soc. 2018, 478, 2065–2073. [Google Scholar] [CrossRef]
- Liu, G.; Wen, D.; Fan, W.; Song, Z.; Sun, Z. Fully Connected Aperture Array Design of the Segmented Planar Imaging System. Opt. Lett. 2022, 47, 4596–4599. [Google Scholar] [CrossRef]
- Pan, X.; Yang, Z.; Jia, R.; Ren, G.; Peng, Q. Photonic Integrated Interference Imaging System Based on Front-End S-shaped Microlens Array and Con-DDPM. Opt. Express 2024, 32, 29112–29124. [Google Scholar] [CrossRef] [PubMed]
- Pan, X.; Yang, Z.; Jia, R.; Zhao, J.; Wang, H.; Ren, G.; Peng, Q. Research on Improving the Performance of Photonic Integrated Interference Imaging Systems Using Wave-Shaped Microlens Array. Opt. Laser Technol. 2025, 185, 112614. [Google Scholar] [CrossRef]
- Wang, Z.; Cai, X.; Jiang, P.; Shi, G.; He, J.; Gao, D.; Sun, Y.; Liao, J.; Jin, L.; Feng, J. Research on Optical Interferometric Imaging with Flexible Control Using Optical Fibers and PIC Chip. Opt. Express 2024, 32, 31311–31324. [Google Scholar] [CrossRef]
- Yao, M.; Cui, H.; Wang, S.; Wei, K. System Design of Segmented Planar Imaging System. Opt. Eng. 2023, 62, 034111. [Google Scholar] [CrossRef]
- Liu, G.; Wen, D.; Fan, W.; Song, Z.; Li, B.; Jiang, T. Single Photonic Integrated Circuit Imaging System with a 2D Lens Array Arrangement. Opt. Express 2022, 30, 4905–4918. [Google Scholar] [CrossRef]
- Chu, Q.; Shen, Y.; Yuan, M.; Gong, M. Numerical Simulation and Optimal Design of Segmented Planar Imaging Detector for Electro-Optical Reconnaissance. Opt. Commun. 2017, 405, 288–296. [Google Scholar] [CrossRef]
- Yu, Q.; Ge, B.; Li, Y.; Yue, Y.; Sun, S. System Design for a “Checkerboard” Imager. Appl. Opt. 2018, 57, 10218. [Google Scholar] [CrossRef]
- Ding, C.; Zhang, X.; Liu, X.; Meng, H.; Xu, M. Structure Design and Image Reconstruction of Hexagonal-Array Photonics Integrated Interference Imaging System. IEEE Access 2020, 8, 139396–139403. [Google Scholar] [CrossRef]
- Zhao, Z.; Yuan, Y.; Zhang, C.; Wang, X.; Gao, W. Imaging Quality Characterization and Optimization of Segmented Planar Imaging System Based on Honeycomb Dense Azimuth Sampling Lens Array. Opt. Express 2023, 31, 35670–35684. [Google Scholar] [CrossRef]
- Gao, W.P.; Wang, X.R.; Ma, L.; Yuan, Y.; Guo, D.F. Quantitative Analysis of Segmented Planar Imaging Quality Based on Hierarchical Multistage Sampling Lens Array. Opt. Express 2019, 27, 7955–7967. [Google Scholar] [CrossRef] [PubMed]
- Gao, W.; Wang, X.; He, Y.; Zang, J.; Li, P.; Wang, F. Research on the Quality Improvement of the Segmented Interferometric Array Integrated Optical Imaging Based on Hierarchical Non-Uniform Sampling Lens Array. Symmetry 2025, 17, 336. [Google Scholar] [CrossRef]
- Debary, H.; Mugnier, L.M.; Michau, V. Aperture Configuration Optimization for Extended Scene Observation by an Interferometric Telescope. Opt. Lett. 2022, 47, 4056–4059. [Google Scholar] [CrossRef]
- Song, X.; Zuo, Y.; Zeng, T.; Si, B.; Hong, X.; Wu, J. Structural Design of an Improved SPIDER Optical System Based on a Multimode Interference Coupler. Opt. Express 2023, 31, 33704–33718. [Google Scholar] [CrossRef]
- Liu, G.; Wen, D.; Song, Z.; Li, Z.; Zhang, W.; Wei, X. Optimized Design of an Emerging Optical Imager Using Compressive Sensing. Opt. Laser Technol. 2019, 110, 158–164. [Google Scholar] [CrossRef]
- Liu, G.; Wen, D.; Song, Z.; Jiang, T. System Design of an Optical Interferometer Based on Compressive Sensing: An Update. Opt. Express 2020, 28, 19349–19361. [Google Scholar] [CrossRef]
- Yong, J.; Li, K.; Feng, Z.; Wu, Z.; Ye, S.; Song, B.; Wei, R.; Cao, C. Research on Photon-Integrated Interferometric Remote Sensing Image Reconstruction Based on Compressed Sensing. Remote Sens. 2023, 15, 2478. [Google Scholar] [CrossRef]
- Chen, T.; Zeng, X.; Zhang, Z.; Zhang, F.; Bai, Y.; Zhang, X. REM: A Simplified Revised Entropy Image Reconstruction for Photonics Integrated Interference Imaging System. Opt. Commun. 2021, 501, 127341. [Google Scholar] [CrossRef]
- Mars, M.; Betcke, M.M.; McEwen, J.D. Learned Interferometric Imaging for the SPIDER Instrument. RAS Tech. Instrum. 2023, 2, 760–778. [Google Scholar] [CrossRef]
- Sun, Y.; Liu, C.; Ma, H.; Zhang, W. Image Reconstruction Based on Deep Learning for the SPIDER Optical Interferometric System. Curr. Opt. Photonics 2022, 6, 260–269. [Google Scholar]
- Xu, Q.; Chang, W.; Huang, F.; Zhang, W. Image Reconstruction Method for Photonic Integrated Interferometric Imaging Based on Deep Learning. Curr. Opt. Photonics 2024, 8, 391–398. [Google Scholar] [CrossRef]
- Chen, J.; Ge, B.; Yu, Q. Influence of Measurement Errors of the Complex Coherence Factor on Reconstructed Image Quality of Integrated Optical Interferometric Imagers. Opt. Eng. 2022, 61, 105108. [Google Scholar] [CrossRef]
- Deng, X.; Tao, W.; Diao, Y.; Sang, B.; Sha, W. Imaging Analysis of Photonic Integrated Interference Imaging System Based on Compact Sampling Lenslet Array Considering On-Chip Optical Loss. Photonics 2023, 10, 797. [Google Scholar] [CrossRef]
- Ziran, Z.; Guomian, L.; Huajun, F.; Zhihai, X.; Qi, L.; Hao, Z.; Yueting, C. Analysis of Signal Energy and Noise in Photonic Integrated Interferometric Imaging System. Acta Opt. Sin. 2022, 42, 1311001. [Google Scholar]
- Pedretti, E.; Traub, W.A.; Monnier, J.D.; Millan-Gabet, R.; Carleton, N.P.; Schloerb, F.P.; Brewer, M.K.; Berger, J.P.; Lacasse, M.G.; Ragland, S. Robust Determination of Optical Path Difference: Fringe Tracking at the Infrared Optical Telescope Array Interferometer. Appl. Opt. 2005, 44, 5173–5179. [Google Scholar] [CrossRef]
- Lacour, S.; Dembet, R.; Abuter, R.; Fédou, P.; Perrin, G.; Choquet, E.; Pfuhl, O.; Eisenhauer, F.; Woillez, J.; Cassaing, F.; et al. The GRAVITY fringe tracker. Astron. Astrophys. 2019, 624, A99. [Google Scholar] [CrossRef]
- Fried, D.L. Limiting Resolution Looking Down Through the Atmosphere. J. Opt. Soc. Am. 1966, 56, 1380. [Google Scholar] [CrossRef]
- Vermote, E.; Tanre, D.; Deuze, J.; Herman, M.; Morcette, J.J. Second Simulation of the Satellite Signal in the Solar Spectrum, 6S: An Overview. IEEE Trans. Geosci. Remote Sens. 1997, 35, 675–686. [Google Scholar] [CrossRef]
- Wilson, R.T. Py6S: A Python Interface to the 6S Radiative Transfer Model. Comput. Geosci. 2013, 51, 166–171. [Google Scholar] [CrossRef]
- Stotts, L.B.; Andrews, L.C. Improving the Hufnagel-Andrews-Phillips refractive index structure parameter model using turbulent intensity. Opt. Express 2023, 31, 14265–14277. [Google Scholar] [CrossRef] [PubMed]
- Cantrell, S.J.; Christopherson, J.; Anderson, C.; Stensaas, G.L.; Chandra, S.N.R.; Kim, M.; Park, S. System Characterization Report on the WorldView-3 Imager; Technical Report; US Geological Survey: Sioux Falls, SD, USA, 2021. [Google Scholar]
- Born, M.; Wolf, E. Principles of Optics: Electromagnetic Theory of Propagation, Interference and Diffraction of Light; Elsevier: Amsterdam, The Netherlands, 2013. [Google Scholar]
- Guyon, O. Wide field interferometric imaging with single-mode fibers. Astron. Astrophys. 2002, 387, 366–378. [Google Scholar] [CrossRef]
- Levrier, F.; Falgarone, E.; Viallefond, F. Fourier phase analysis in radio-interferometry. Astron. Astrophys. 2006, 456, 205–214. [Google Scholar] [CrossRef]
- Juvells, I.; Vallmitjana, S.; Carnicer, A.; Campos, J. The role of amplitude and phase of the Fourier transform in the digital image processing. Am. J. Phys. 1991, 59, 711–718. [Google Scholar] [CrossRef]
- Singal, A.K. Radio astronomical imaging and phase information. Bull. Astron. Soc. India 2005, 33, 245. [Google Scholar]
- Roddier, F. The Effects of Atmospheric Turbulence in Optical Astronomy; Elsevier: Amsterdam, The Netherlands, 1981. [Google Scholar]
- Shermeyer, J.; Hossler, T.; Van Etten, A.; Hogan, D.; Lewis, R.; Kim, D. RarePlanes Dataset. 2020. Available online: https://paperswithcode.com/dataset/rareplanes (accessed on 9 March 2025).
- Dabov, K.; Foi, A.; Katkovnik, V.; Egiazarian, K. Image denoising by sparse 3-D transform-domain collaborative filtering. IEEE Trans. Image Process. 2007, 16, 2080–2095. [Google Scholar] [CrossRef]
- Irbah, A.; Borgnino, J.; Djafer, D.; Damé, L.; Keckhut, P. Solar Seeing Monitor MISOLFA: A New Method for Estimating Atmospheric Turbulence Parameters. Antike Abendl. 2016, 591, A150. [Google Scholar] [CrossRef][Green Version]












| Parameters | Value | 
|---|---|
| Orbital height H | 617 km | 
| Diameter of sub-aperture D | 0.005 m | 
| Maximum baseline | 0.1 m | 
| Minimum baseline | 0.005 m | 
| Size of aperture array | |
| Spectral ragne | 400–1040 nm | 
| Number of spectral bands | 8 | 
| Size of waveguide array | |
| Efficiency of optical throughout | 10 dB | 
| Detector quantum efficiency | 0.7 | 
| Readout noise | 10 | 
| Dark noise | 5 /s | 
| Parameters | Value | 
|---|---|
| Type of Atmospheric | Mid-latitude summer | 
| Aerosol Model | Rural-VIS = 23 km | 
| Spectral range | 0.4–1.4 μm | 
| Zenith angle | |
| Solar zenith angle | |
| Surface albedo | 0.3 | 
| Disclaimer/Publisher’s Note: The statements, opinions and data contained in all publications are solely those of the individual author(s) and contributor(s) and not of MDPI and/or the editor(s). MDPI and/or the editor(s) disclaim responsibility for any injury to people or property resulting from any ideas, methods, instructions or products referred to in the content. | 
© 2025 by the authors. Licensee MDPI, Basel, Switzerland. This article is an open access article distributed under the terms and conditions of the Creative Commons Attribution (CC BY) license (https://creativecommons.org/licenses/by/4.0/).
Share and Cite
Zhang, C.; He, Y.; Yu, Q. Signal-to-Noise Ratio Model and Imaging Performance Analysis of Photonic Integrated Interferometric System for Remote Sensing. Remote Sens. 2025, 17, 1484. https://doi.org/10.3390/rs17091484
Zhang C, He Y, Yu Q. Signal-to-Noise Ratio Model and Imaging Performance Analysis of Photonic Integrated Interferometric System for Remote Sensing. Remote Sensing. 2025; 17(9):1484. https://doi.org/10.3390/rs17091484
Chicago/Turabian StyleZhang, Chuang, Yan He, and Qinghua Yu. 2025. "Signal-to-Noise Ratio Model and Imaging Performance Analysis of Photonic Integrated Interferometric System for Remote Sensing" Remote Sensing 17, no. 9: 1484. https://doi.org/10.3390/rs17091484
APA StyleZhang, C., He, Y., & Yu, Q. (2025). Signal-to-Noise Ratio Model and Imaging Performance Analysis of Photonic Integrated Interferometric System for Remote Sensing. Remote Sensing, 17(9), 1484. https://doi.org/10.3390/rs17091484
 
        


 
                         
       