Sign in to use this feature.

Years

Between: -

Subjects

remove_circle_outline
remove_circle_outline
remove_circle_outline
remove_circle_outline
remove_circle_outline
remove_circle_outline
remove_circle_outline
remove_circle_outline
remove_circle_outline

Journals

Article Types

Countries / Regions

remove_circle_outline
remove_circle_outline
remove_circle_outline
remove_circle_outline

Search Results (752)

Search Parameters:
Keywords = interferometric imaging

Order results
Result details
Results per page
Select all
Export citation of selected articles as:
50 pages, 5839 KB  
Review
Wavefront Coherence Stabilization for Large Segmented Telescope: Measurement and Control
by Wuyang Wang, Qichang An and Xiaoxia Wu
Photonics 2026, 13(4), 360; https://doi.org/10.3390/photonics13040360 - 9 Apr 2026
Abstract
Large-aperture optical synthetic aperture technology, by combining multiple aperture units, breaks through the limitations of a single reflector and has become the preferred system for extending the resolution and diffraction limit of imaging systems. In particular, segmented telescopes have accumulated extensive engineering practice [...] Read more.
Large-aperture optical synthetic aperture technology, by combining multiple aperture units, breaks through the limitations of a single reflector and has become the preferred system for extending the resolution and diffraction limit of imaging systems. In particular, segmented telescopes have accumulated extensive engineering practice experience, such as the 30 m TMT and the 39 m ELT. However, the stable maintenance of wavefront coherence between multiple sub-apertures requires strict phase synchronization and group delay matching accuracy, which hinders the further development of sparse aperture telescopes and distributed interferometric telescopes (Long-Baseline Interferometers). This review systematically summarizes the research progress on synthetic aperture systems in wavefront coherence detection and stable maintenance control, focusing on two main physical architectures (Michelson and Fizeau types) and the related control algorithms. Furthermore, based on the basic logic from “measurement” to “modulation”, it prospects the development trends driven by interdisciplinary technologies such as embodied intelligent dynamic prediction, photonic integration, and real-time sensing based on deep learning. The aim is to provide a reference for wavefront-stabilization solutions in the next-generation ultra-large-aperture optical synthetic aperture systems. Full article
(This article belongs to the Special Issue State-of-the-Art Optical Systems for Astronomy)
Show Figures

Figure 1

28 pages, 15563 KB  
Article
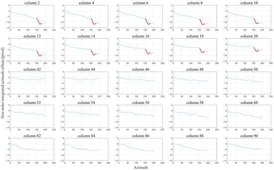
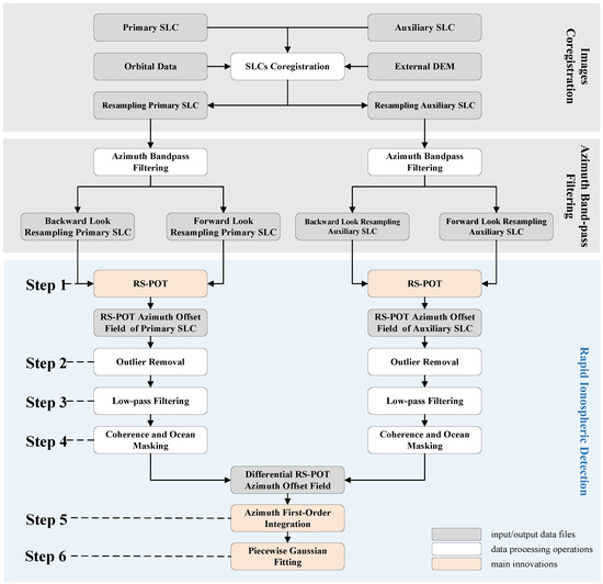
Rapid Detection of Ionospheric Disturbances in L-Band InSAR Systems: A Case Study Using LT-1 Data
by Huaishuai Wang, Hongjun Song, Yulun Wu, Yang Liu, Jili Wang and Xiang Zhang
Remote Sens. 2026, 18(7), 1030; https://doi.org/10.3390/rs18071030 - 29 Mar 2026
Viewed by 300
Abstract
Ionospheric effects constitute a key error source limiting the accuracy of surface deformation monitoring using L-band interferometric synthetic aperture radar (InSAR). Efficient identification of interferometric pairs affected by ionospheric disturbances is therefore essential for large-scale and high-throughput automated InSAR processing. To address this [...] Read more.
Ionospheric effects constitute a key error source limiting the accuracy of surface deformation monitoring using L-band interferometric synthetic aperture radar (InSAR). Efficient identification of interferometric pairs affected by ionospheric disturbances is therefore essential for large-scale and high-throughput automated InSAR processing. To address this issue, a parameterized ionospheric detection method based on azimuth offsets derived from sub-aperture images is proposed. The proposed method integrates random-sampling pixel offset tracking (RS-POT) with piecewise Gaussian fitting to enable rapid and robust detection of ionospheric disturbances. Experimental validation was conducted using 50 interferometric pairs acquired by the LuTan-1 (LT-1) satellite, China’s first dual-satellite L-band SAR mission, covering high-, mid-, and low-latitude regions with varying ionospheric conditions. The results demonstrate that the proposed method can reliably identify ionospheric disturbances under diverse conditions while maintaining high computational efficiency. The proposed framework provides an effective solution for determining whether ionospheric correction is required, thereby improving the efficiency of automated interferometric processing workflows. Full article
Show Figures

Figure 1

24 pages, 36594 KB  
Article
Deformation Prediction and Potential Landslide Identification in the Upstream of Sarez Lake Based on Time Series InSAR and Stacked LSTM
by Hang Zhu, Qian Shen, Junli Li, Majid Gulayozov, Yakui Shao, Bingqian Chen and Changming Zhu
Remote Sens. 2026, 18(5), 811; https://doi.org/10.3390/rs18050811 - 6 Mar 2026
Viewed by 450
Abstract
The identification of potential landslides and targeted risk analysis is crucial for the warning and prevention of geological landslide disasters. This article presents a time series deformation prediction framework based on a Long Short-Term Memory (LSTM) network deep learning model for analyzing Interferometric [...] Read more.
The identification of potential landslides and targeted risk analysis is crucial for the warning and prevention of geological landslide disasters. This article presents a time series deformation prediction framework based on a Long Short-Term Memory (LSTM) network deep learning model for analyzing Interferometric Synthetic Aperture Radar (InSAR) data. By employing an advanced stacked LSTM network model, we effectively capture temporal dependencies and move beyond traditional methods that depend on explicit deformation. This approach enables short- to medium-term deformation prediction through structured time dynamic modeling, identifies potential landslide targets in the high-altitude regions upstream of Lake Sarez, and classifies associated risk levels. The results indicate that: (1) In short-term forecasting, the stacked LSTM model effectively captures trend turning points, producing stable and reliable predictions with a Mean Absolute Error (MAE) of 0.164 mm and a Root Mean Square Error (RMSE) of 0.194 mm; (2) From 2019 to 2022, regional surface deformation characteristics exhibited significant spatial heterogeneity, with the potential landslide on the right bank identified as the most critical settlement center, demonstrating a line of sight (LOS) deformation rate consistently exceeding 49 mm per year, while the Usoi Dam displayed relatively good stability during this period; (3) By integrating InSAR deformation rate maps with Sentinel-2 optical images, we identified a total of 72 potential landslide targets in the region, four of which exhibited deformation rates exceeding −30 mm per year, indicating significant activity and classifying them as high-risk areas requiring attention. This provides a targeted reference list for the prevention and control of geological landslides around Lake Sarez and establishes a reliable technical pathway for the early identification of landslides under complex geological conditions in high-altitude mountainous areas. Full article
Show Figures

Figure 1

13 pages, 2724 KB  
Article
Phase Reconstruction and Unwrapping Method for InSAR Building Layover Areas in Complex Scenes Integrated with YOLOv11
by Miao Xu, Guowang Jin, Ruibing Cui, Hao Ye and Jiajun Wang
Appl. Sci. 2026, 16(5), 2372; https://doi.org/10.3390/app16052372 - 28 Feb 2026
Viewed by 211
Abstract
Aimed at the problems of severe layover, interferometric phase aliasing and phase jumps caused by dense urban features, which lead to difficulties in phase unwrapping and insufficient automation and intelligence in building areas under complex scenes, this paper proposes a phase reconstruction and [...] Read more.
Aimed at the problems of severe layover, interferometric phase aliasing and phase jumps caused by dense urban features, which lead to difficulties in phase unwrapping and insufficient automation and intelligence in building areas under complex scenes, this paper proposes a phase reconstruction and unwrapping method for interferometric synthetic aperture radar (InSAR) building layover areas in complex scenarios integrated with YOLOv11. Based on a self-constructed dedicated dataset, the YOLOv11 object detection network is trained to identify and locate building layover areas in synthetic aperture radar (SAR) images and extract their original interferometric phases. On this basis, by integrating the building facade interferometry model and the interferometric phase gradient model, regions dominated by facade scattering are effectively identified, and their interferometric phases are reconstructed to reduce scattering interference from non-relevant areas. Finally, the reconstructed phase is unwrapped using a quality-guided phase unwrapping method. Experimental results demonstrate that the proposed method can automatically and intelligently achieve phase unwrapping in building areas under complex scenes, providing reliable technical support for urban deformation monitoring and 3D reconstruction. Full article
(This article belongs to the Section Earth Sciences)
Show Figures

Figure 1

23 pages, 10384 KB  
Article
Monitoring and Analysis of Surface Deformation in Mining Area Based on LuTan-1 and Sentinel-1A Data
by Zisu Cheng, Meinan Zheng, Qingbiao Guo, Yingchun Wang, Jinchao Li and Xiang Zhang
Remote Sens. 2026, 18(5), 713; https://doi.org/10.3390/rs18050713 - 27 Feb 2026
Viewed by 310
Abstract
High-intensity mining activities in coal mining areas have produced large-gradient surface deformation, posing severe challenges to deformation monitoring using Interferometric Synthetic Aperture Radar (InSAR) techniques based on C-band Synthetic Aperture Radar (SAR) data. This study systematically evaluated the applicability of L-band LuTan-1 SAR [...] Read more.
High-intensity mining activities in coal mining areas have produced large-gradient surface deformation, posing severe challenges to deformation monitoring using Interferometric Synthetic Aperture Radar (InSAR) techniques based on C-band Synthetic Aperture Radar (SAR) data. This study systematically evaluated the applicability of L-band LuTan-1 SAR (L-SAR) data versus C-band Sentinel-1A data for monitoring mining-induced surface deformation, using the Guqiao Coal Mine in Huainan as the study area. Based on 10 ascending-track and 13 descending-track L-SAR images and 42 Sentinel-1A images, deformation retrievals were performed using Differential InSAR (DInSAR) and the Small Baseline Subset (SBAS) InSAR approach, respectively, and the results were validated against independent levelling measurements. Results indicate that the mean coherence of descending- and ascending-track L-SAR interferometric pairs are 0.42 and 0.45, respectively, substantially higher than Sentinel-1A’s 0.25. In the DInSAR analysis along profile A–A′, the maximum line-of-sight (LOS) displacement obtained from descending- and ascending-track L-SAR are −0.40 m and −0.43 m, respectively, compared with −0.25 m from Sentinel-1A. In the SBAS-InSAR time-series analysis, descending- and ascending-track L-SAR yield 209,418 and 228,388 coherent points, respectively, clearly revealing the temporal evolution of surface deformation; their maximum LOS deformation rates are approximately −1.54 m·yr−1 and −2.0 m·yr−1, respectively. By contrast, Sentinel-1A selects only 81,669 coherent points, with severe loss of coherence in the subsidence center and a maximum LOS deformation rate of about −0.48 m·yr−1. Accuracy validation shows that the Root Mean Square Error (RMSE) of vertical displacements obtained from DInSAR monitoring results based on descending and ascending L-SAR data is 16.1 mm, satisfying the requirement of centimeter-level accuracy for mining area surface subsidence monitoring. The study demonstrates the pronounced advantages of L-SAR for monitoring large-gradient, nonlinear deformation in mining environments. L-band data outperform C-band Sentinel-1A across coherence preservation, deformation sensitivity, and monitoring accuracy, providing a scientific basis for the broader application of domestic L-band SAR satellites in disaster risk assessment and long-term time-series monitoring of mining-induced subsidence. Full article
(This article belongs to the Special Issue Advances in Surface Deformation Monitoring Using SAR Interferometry)
Show Figures

Figure 1

19 pages, 5144 KB  
Article
Study of a Fusion Method Combining InSAR and UAV Photo-Grammetry for Monitoring Surface Subsidence Induced by Coal Mining
by Shikai An, Liang Yuan and Qimeng Liu
Remote Sens. 2026, 18(5), 701; https://doi.org/10.3390/rs18050701 - 26 Feb 2026
Viewed by 281
Abstract
This study proposes a feature-level fusion method that integrates Differential Interferometric Synthetic Aperture Radar (D-InSAR) and Unmanned Aerial Vehicle photogrammetry (UAV-P) for monitoring mining-induced subsidence basin (MSB). The method begins by extracting key subsidence characteristics based on the patterns of coal-mining-related surface displacement; [...] Read more.
This study proposes a feature-level fusion method that integrates Differential Interferometric Synthetic Aperture Radar (D-InSAR) and Unmanned Aerial Vehicle photogrammetry (UAV-P) for monitoring mining-induced subsidence basin (MSB). The method begins by extracting key subsidence characteristics based on the patterns of coal-mining-related surface displacement; the centimeter-level subsidence boundary is determined from D-InSAR data, while the meter-scale deformation at the subsidence center is derived from UAV-P. These extracted features are then used to invert the parameters of the probability integral method (PIM). The subsidence basin predicted by the inverted parameters serves as a criterion to select the superior dataset between the D-InSAR and UAV-derived results. Finally, the selected subsidence data are fused to generate a composite subsidence map. The proposed method was applied to the 2S201 panel in the Wangjiata Coal Mine using eight Sentinel-1A images and two UAV surveys. The fusion results were evaluated for their regional and overall accuracy against 30 ground control points measured by total station and GPS. The results demonstrate that the fusion method not only accurately extracts large-scale deformations in the mining area, with a maximum subsidence of 2.5 m and a root mean square error (RMSE) of 0.277 m in the subsidence center area, but also precisely identifies the subsidence boundary region with an accuracy of 0.039 m. The fused subsidence basin exhibits an overall accuracy of 0.182 m, which represents a significant improvement of 83.6% and 27.8% over the results obtained using D-InSAR and UAV alone, respectively. This method effectively reconstructs the complete morphology of the mining-induced subsidence basin, confirming its feasibility for practical applications. Full article
(This article belongs to the Special Issue Applications of Photogrammetry and Lidar Techniques in Mining Areas)
Show Figures

Figure 1

13 pages, 2621 KB  
Article
Enhanced Optical Triangulation Method for Piezoelectric Stack
by Sinan Köksu and Sedat Nazlıbilek
Instruments 2026, 10(1), 13; https://doi.org/10.3390/instruments10010013 - 26 Feb 2026
Viewed by 374
Abstract
The precise control of piezoelectric actuators is limited by inherent hysteresis, creep, and nonlinear behavior, which necessitate high-resolution displacement sensing for effective closed-loop operation. Although optical interferometers can achieve nanometer and sub-nanometer resolution, their practical implementation is often constrained by complex optical alignment, [...] Read more.
The precise control of piezoelectric actuators is limited by inherent hysteresis, creep, and nonlinear behavior, which necessitate high-resolution displacement sensing for effective closed-loop operation. Although optical interferometers can achieve nanometer and sub-nanometer resolution, their practical implementation is often constrained by complex optical alignment, sensitivity to environmental disturbances, and limited robustness in high-speed measurements. Optical triangulation sensors offer a more robust and straightforward alternative; however, their resolution is typically insufficient for nanometer-scale displacement measurements. In this study, a novel optical triangulation sensor based on a two-stage geometric optical amplification scheme is proposed for measuring the expansion of piezoelectric stacks. The method relies purely on geometric optical amplification and does not require interferometric techniques or complex signal processing. Using off-the-shelf optical components and an industrial imaging sensor, the proposed system achieves a displacement resolution of 109.6 nm, a repeatability of 74.62 nm, and an accuracy of 98.81% with a maximum error of 207.14 nm under hysteresis measurements. The achieved resolution is primarily limited by the spatial resolution of the camera sensor, indicating that further improvements are possible through optimization of the optical configuration or the use of higher-resolution imaging devices. Owing to its simplicity and robustness, the proposed sensor is well suited for real-time closed-loop control of piezoelectric actuators. Full article
(This article belongs to the Section Sensing Technologies and Precision Measurement)
Show Figures

Figure 1

15 pages, 3839 KB  
Article
Experimental Investigation of Pixelated Instantaneous Phase-Shifting Interferometry Using Liquid Crystal Spatial Light Modulator
by Fuzhong Bai, Zhiwen Zhao, Jiayi Chen, Xiaojuan Gao, Yubo Chang, Jianxin Wang and Jixiang Cai
Photonics 2026, 13(3), 218; https://doi.org/10.3390/photonics13030218 - 25 Feb 2026
Viewed by 353
Abstract
A pixelated instantaneous phase-shifting interferometry (PSI) using a phase-only liquid crystal spatial light modulator (LC-SLM) is developed and experimentally validated. The LC-SLM generates high-frequency spatial phase modulation and introduces pixelated instantaneous phase-shifting between two incident orthogonal linearly polarized beams propagating along the same [...] Read more.
A pixelated instantaneous phase-shifting interferometry (PSI) using a phase-only liquid crystal spatial light modulator (LC-SLM) is developed and experimentally validated. The LC-SLM generates high-frequency spatial phase modulation and introduces pixelated instantaneous phase-shifting between two incident orthogonal linearly polarized beams propagating along the same optical path. A single-frame pixelated phase-shifted interferogram is captured in one exposure, and the wavefront phase is reconstructed subsequently by using the proposed loop retrieval algorithm. In the experimental investigation, an interference region segmentation method based on wavefront-modulated sequential images is firstly developed to realize precise alignment between LC-SLM pixels and CCD pixels. Secondly, based on the PSI setup established, wavefront measurement experiments for system aberration, tilted wavefront and defocused wavefront are performed. Experimental results show that the root-mean-square (RMS) value of the residual wavefront between the retrieved tilted wavefront and its fitting plane is 0.046 λ. Furthermore, the RMS value of the residual wavefront between the defocused wavefront retrieved by the proposed method and the eight-step phase-shifting method is 0.075 λ, which verifies the effectiveness of the proposed approach. This work provides a simple and rapidly deployable solution for single-shot interferometric measurement. Full article
(This article belongs to the Special Issue Next-Generation Liquid Crystal Devices and Applications)
Show Figures

Figure 1

17 pages, 14773 KB  
Article
AI-Based 2D Phase Unwrapping Under Rayleigh-Distributed Speckle Noise and Phase Decorrelation
by Aidan Soal, Juergen Meyer, Bryn Currie and Steven Marsh
Photonics 2026, 13(2), 208; https://doi.org/10.3390/photonics13020208 - 22 Feb 2026
Viewed by 409
Abstract
Phase unwrapping is a critical step in interferometric imaging modalities such as holography and synthetic aperture radar, yet conventional analytical algorithms struggle in low signal-to-noise and high-speckle environments. This study presents an artificial intelligence (AI)-based phase-unwrapping framework using a Pix2Pix conditional generative adversarial [...] Read more.
Phase unwrapping is a critical step in interferometric imaging modalities such as holography and synthetic aperture radar, yet conventional analytical algorithms struggle in low signal-to-noise and high-speckle environments. This study presents an artificial intelligence (AI)-based phase-unwrapping framework using a Pix2Pix conditional generative adversarial network (cGAN). A model was designed for robustness under Rayleigh-distributed speckle noise and phase decorrelation, conditions representative of realistic interferometric measurements. Trained on synthetically generated wrapped–unwrapped phase pairs, the AI approach was compared against established analytical phase-unwrapping methods, a quality-guided unwrapping algorithm (Herraez)and a minimum-norm network-flow optimization method (Costantini). Quantitative evaluation using the root mean square error (RMSE), structural similarity index measure (SSIM), and a composite performance index demonstrated that the cGAN was superior under noisy conditions, successfully recovering phase information beyond its training noise range at σ=10, and accurately unwrapping phases up to σ=20. This was under a pure unwrapping performance analysis, utility performance was also tested comparing all images to clean noiseless phase. The Pix2Pix model also proved resilient to detector artifacts, despite not being explicitly trained on them, and its worst performance yielded RMSE and SSIM values of 0.089 and 0.927, respectively, with perfect values being 0 and 1. The proposed framework simultaneously unwraps and denoises the phase, offering a simple, open-source, and highly adaptable alternative for phase unwrapping in noisy interferometric systems. Future work will focus on extending the framework to experimental datasets. Full article
Show Figures

Figure 1

22 pages, 25750 KB  
Article
Rainforest Monitoring Using Deep Learning and Short Time Series of Sentinel-1 IW Data
by Ricardo Dal Molin, Laetitia Thirion-Lefevre, Régis Guinvarc’h and Paola Rizzoli
Remote Sens. 2026, 18(4), 598; https://doi.org/10.3390/rs18040598 - 14 Feb 2026
Viewed by 343
Abstract
The latest advances in remote sensing play a central role in providing Earth observation (EO) data for numerous applications in the scope of reaching environmentally sustainable goals. However, over tropical rainforests, optical imaging is often hindered by extensive cloud coverage, which means that [...] Read more.
The latest advances in remote sensing play a central role in providing Earth observation (EO) data for numerous applications in the scope of reaching environmentally sustainable goals. However, over tropical rainforests, optical imaging is often hindered by extensive cloud coverage, which means that analysis-ready images are mostly restricted to the dry season. In this study, we propose combining radar features extracted from short time series of Sentinel-1 Interferometric Wide Swath (IW) data with a deep learning-based classification scheme to continuously monitor the state of forests. The proposed methodology is based on the joint use of SAR backscatter and interferometric coherences at different temporal baselines to perform pixel-wise classification of land cover classes of interest. However, we show that for a sequence of Sentinel-1 time series, different land cover classes exhibit particular seasonal-dependent variations. Another challenge in performing short-term predictions stems from the fact that ground truths are usually available only on a yearly basis. To address these challenges, we propose a seasonal sampling of the training data, masked by potential deforestation, along with a classification based on a modified U-Net model. The classification results show that overall accuracies above 90% can be achieved throughout the whole year with the proposed method, emerging as a potential tool for mapping rainforests with unprecedented temporal resolution. Full article
Show Figures

Figure 1

24 pages, 8773 KB  
Article
Soil Displacement Estimation from Integrated Sensing Technologies in Data-Driven Models Biased by Temporal Coherence of PS-InSAR
by Raffaele Tarantini, Gaetano Miraglia, Stefania Coccimiglio, Rosario Ceravolo and Giuseppe Andrea Ferro
Land 2026, 15(2), 296; https://doi.org/10.3390/land15020296 - 10 Feb 2026
Viewed by 457
Abstract
Spaceborne Synthetic Aperture Radar (SAR) interferometry provides long-term displacement measurements, but the quality of Persistent Scatterer (PS) time series depends critically on temporal coherence. Low-coherence points often exhibit auto-uncorrelated behaviours, which may be relevant to discriminate fast phenomena. This work introduces a coherence-based [...] Read more.
Spaceborne Synthetic Aperture Radar (SAR) interferometry provides long-term displacement measurements, but the quality of Persistent Scatterer (PS) time series depends critically on temporal coherence. Low-coherence points often exhibit auto-uncorrelated behaviours, which may be relevant to discriminate fast phenomena. This work introduces a coherence-based framework that identifies the coherence threshold beyond which PS displacement series retain sufficient reliability to support modelling. The threshold is estimated by analysing how data uncertainty, inferred through Sparse Bayesian Learning (SBL) techniques, varies with coherence and by detecting abrupt changes in this relationship. Once the optimal threshold is established, only the most reliable PS are used to train an SBL regression model linking satellite line-of-sight displacement to soil temperature and surface humidity measured by a low-cost ground sensor. PS-Interferometric SAR (PS-InSAR) time series are derived from COSMO-SkyMed raw images. The SBL model employs compressive-sensing principles and latent-parameter dictionaries of basis functions, whose latent parameters are calibrated through a constrained multi-start optimisation of a normalised residual-based objective function, regularised by a sub-validation dataset. In this work, it is shown that the trained model enables temporally denser reconstruction of displacement histories than the satellite revisit cycle allows and enables continuous soil monitoring by comparing model predictions with newly acquired PS-InSAR data. Full article
(This article belongs to the Special Issue Ground Deformation Monitoring via Remote Sensing Time Series Data)
Show Figures

Figure 1

28 pages, 11414 KB  
Article
Monitoring and Prediction of Subsidence in Mining Areas of Liaoyuan Northern New District Based on InSAR Technology
by Menghao Li, Yichen Zhang, Jiquan Zhang, Zhou Wen, Jintao Huang and Haoying Li
GeoHazards 2026, 7(1), 17; https://doi.org/10.3390/geohazards7010017 - 1 Feb 2026
Viewed by 752
Abstract
Ground subsidence in mined-out areas has irreversible impacts on residents’ lives and infrastructure, making its monitoring and prediction crucial for ensuring safety, protecting the ecological environment, and promoting sustainable development. This study employed the Small Baseline Subset Interferometric Synthetic Aperture Radar (SBAS-InSAR) technique [...] Read more.
Ground subsidence in mined-out areas has irreversible impacts on residents’ lives and infrastructure, making its monitoring and prediction crucial for ensuring safety, protecting the ecological environment, and promoting sustainable development. This study employed the Small Baseline Subset Interferometric Synthetic Aperture Radar (SBAS-InSAR) technique to process Sentinel-1A satellite images of Liaoyuan’s Northern New District from August 2022 to March 2025, deriving ground deformation data. The SBAS-InSAR results were validated using unmanned aerial vehicle (UAV) measurements. Monitoring revealed deformation rates ranging from −26.80 mm/year (subsidence) to 13.12 mm/year (uplift) in the area, with a maximum cumulative subsidence of 59.59 mm observed near the Xi’an Sixth District. Based on spatiotemporal patterns, most mining-induced subsidence in the study area is in its late stage, primarily caused by progressive compaction of fractured rock masses and voids within the collapse and fracture zones. Using subsidence data from August 2022 to March 2024, three prediction models—LSTM, GRU, and TCN-GRU—were trained and subsequently applied to forecast subsidence from March 2024 to August 2025. Comparisons between the predictions and SBAS-InSAR measurements showed that all models achieved high accuracy. Among them, the TCN-GRU model yielded predictions closest to the actual values, with a correlation coefficient exceeding 0.95, validating its potential for application in time-series settlement monitoring. Full article
Show Figures

Figure 1

26 pages, 6698 KB  
Article
A Novel Decomposition-Prediction Framework for Predicting InSAR-Derived Ground Displacement: A Case Study of the XMLC Landslide in China
by Mimi Peng, Jing Xue, Zhuge Xia, Jiantao Du and Yinghui Quan
Remote Sens. 2026, 18(3), 425; https://doi.org/10.3390/rs18030425 - 28 Jan 2026
Viewed by 376
Abstract
Interferometric Synthetic Aperture Radar (InSAR) is an advanced imaging geodesy technique for detecting and characterizing surface deformation with high spatial resolution and broad spatial coverage. However, as an inherently post-event observation method, InSAR suffers from limited capability for near-real-time and short-term updates of [...] Read more.
Interferometric Synthetic Aperture Radar (InSAR) is an advanced imaging geodesy technique for detecting and characterizing surface deformation with high spatial resolution and broad spatial coverage. However, as an inherently post-event observation method, InSAR suffers from limited capability for near-real-time and short-term updates of deformation time series. In this paper, we proposed a data-driven adaptive framework for deformation prediction based on a hybrid deep learning method to accurately predict the InSAR-derived deformation time series and take the Xi’erguazi−Mawo landslide complex (XMLC) as a case study. The InSAR-derived time series was initially decomposed into trend and periodic components with a two-step decomposition process, which were thereafter modeled separately to enhance the characterization of motion kinematics and prediction accuracy. After retrieving the observations from the multi-temporal InSAR method, two-step signal decomposition was then performed using the Complete Ensemble Empirical Mode Decomposition with Adaptive Noise (CEEMDAN) and Variational Mode Decomposition (VMD). The decomposed trend and periodic components were further evaluated using statistical hypothesis testing to verify their significance and reliability. Compared with the single-decomposition model, the further decomposition leads to an overall improvement in prediction accuracy, i.e., the Mean Absolute Errors (MAEs) and the Root Mean Square Errors (RMSEs) are reduced by 40–49% and 36–42%, respectively. Subsequently, the Radial Basis Function (RBF) neural network and the proposed CNN-BiLSTM-SelfAttention (CBS) models were constructed to predict the trend and periodic variations, respectively. The CNN and self-attention help to extract local features in time series and strengthen the ability to capture global dependencies and key fluctuation patterns. Compared with the single network model in prediction, the MAEs and RMSEs are reduced by 22–57% and 4–33%, respectively. Finally, the two predicted components were integrated to generate the fused deformation prediction results. Ablation experiments and comparative experiments show that the proposed method has superior ability. Through rapid and accurate prediction of InSAR-derived deformation time series, this research could contribute to the early-warning systems of slope instabilities. Full article
Show Figures

Figure 1

27 pages, 16408 KB  
Article
A SNR-Based Adaptive Goldstein Filter for Ionospheric Faraday Rotation Estimation Using Spaceborne Full-Polarimetric SAR Data
by Zelin Wang, Xun Wang, Dong Li and Yunhua Zhang
Remote Sens. 2026, 18(2), 378; https://doi.org/10.3390/rs18020378 - 22 Jan 2026
Viewed by 373
Abstract
The spaceborne full-polarimetric (FP) synthetic aperture radar (SAR) is an advanced sensor for high-resolution Earth observation. However, FP data acquired by such a system are prone to distortions induced by ionospheric Faraday rotation (FR). From the perspective of exploiting these distortions, this enables [...] Read more.
The spaceborne full-polarimetric (FP) synthetic aperture radar (SAR) is an advanced sensor for high-resolution Earth observation. However, FP data acquired by such a system are prone to distortions induced by ionospheric Faraday rotation (FR). From the perspective of exploiting these distortions, this enables the estimation of the ionospheric FR angle (FRA), and consequently the total electron content, across most global regions (including the extensive ocean areas) using spaceborne FP SAR measurements. The accuracy of FRA estimation, however, is highly sensitive to noise interference. This study addresses denoising in FRA retrieval based on the Bickel–Bates estimator, with a specific focus on noise reduction methods built upon the adaptive Goldstein filter (AGF) that was originally designed for radar interferometric processing. For the first time, three signal-to-noise ratio (SNR)-based AGFs suitable for FRA estimation are investigated. A key feature of these filters is that their SNRs are all defined using the amplitude of the Bickel–Bates estimator signal rather than the FRA estimates themselves. Accordingly, these AGFs are applied to the estimator signal instead of the estimated FRAs. Two of the three AGFs are developed by adopting the mathematical forms of SNRs and filter parameters consistent with the existing SNR-based AGFs for interferogram. The third AGF is newly proposed by utilizing more general mathematical forms of SNR and filter parameter that differ from the first two. Specifically, its SNR definition aligns with that widely used in image processing, and its filter parameter is derived as a function of the defined SNR plus an additionally introduced adjustable factor. The three SNR-based AGFs tailored for FRA estimation are tested and evaluated against existing AGF variants and classical image denoising methods using three sets of FP SAR Datasets acquired by the L-band ALOS PALSAR sensor, encompassing an ocean-only scene, a plain land–ocean combined scene, and a more complex land–ocean combined scene. Experimental results demonstrate that all three filters can effectively mitigate noise, with the newly proposed AGF achieving the best performance among all denoising methods included in the comparison. Full article
Show Figures

Figure 1

19 pages, 14577 KB  
Article
The Sequential Joint-Scatterer InSAR for Sentinel-1 Long-Term Deformation Estimation
by Jinbao Zhang, Wei Duan, Huihua Hu, Huiming Chai, Ye Yun and Xiaolei Lv
Remote Sens. 2026, 18(2), 329; https://doi.org/10.3390/rs18020329 - 19 Jan 2026
Viewed by 391
Abstract
Synthetic Aperture Radar (SAR) and Interferometric SAR (InSAR) techniques have received rapid advance in recent years, and the Multi-temporal InSAR (MT-InSAR) has been widely applied in various earth observations. Distributed scatterer (DS) InSAR is one of the most advanced MT-InSAR methods, and has [...] Read more.
Synthetic Aperture Radar (SAR) and Interferometric SAR (InSAR) techniques have received rapid advance in recent years, and the Multi-temporal InSAR (MT-InSAR) has been widely applied in various earth observations. Distributed scatterer (DS) InSAR is one of the most advanced MT-InSAR methods, and has overcome the limitation of the lack of enough measurement points in the low coherent regions for traditional methods. While the Joint-Scatterer InSAR (JS-InSAR) is the extension of DS InSAR method, which exploited the overall information of Joint Scatterers to carry out DS identification and phase optimization. And it can avoid the inaccuracy caused by the offset errors between scatterers in complex terrain areas. However, the intensive computation and low efficiency have severely restricted the application of JS-InSAR, especially when dealing with massive and long historical SAR images. As the sequential estimator has proven to successfully improve the efficiency of MT-InAR and obtain near-time deformation time series, in this work, we proposed the sequential-based JS-InSAR (S-JSInSAR) method with flexible batches. This method has adaptively divided large single look complex (SLC) stack into different batches with flexible number and certain overlaps. Then, the JS-InSAR processing is performed on each batch, respectively, and these estimated results are integrated into the final deformation time series based on the connection mode. Thus, S-JSInSAR can efficiently process large InSAR dataset, and mitigate the decorrelation effect caused by long temporal baselines. To demonstrate the effectiveness of the S-JSInSAR, a multi-year of 145 Sentinel-1 ascending SAR images in Tangshan, China, were collected to estimate the long deformation time series. And the results compared with other methods have shown the processing time has substantially decreased without the loss of deformation accuracy, and obtain deformation spatial distribution with more details in local regions, which have well validated the efficiency and reliability of the proposed method. Full article
Show Figures

Figure 1

Back to TopTop