Abstract
The generalized proportionality hypothesis (GPH) highlights the competitive relationships among hydrological components as precipitation (P) transforms into runoff (Q) and evapotranspiration (E), providing a novel perspective on E partitioning that differs from the traditional physical source-based approach. To achieve sequential partitioning of E into initial (Ei) and continuing (Ec) evapotranspiration under the GPH, a P-Q relationship-based Ei estimation method was proposed for the Model Parameter Estimation Experiment (MOPEX) catchments. On this basis, we analyzed the relationship between the GPH-based E components and the physical source-based ones separated by the Penman-Monteith-Mu algorithm. Additionally, we explored the differences between the calculated and inverse Budyko-WT model parameter (Ei/E) and discussed the implications for the Budyko framework. The results showed the following: (1) A significant linear P-Q relationship (p < 0.05) prevailed in the MOPEX catchments, providing a robust data foundation for Ei estimation. Across the MOPEX catchments, Ei and Ec contributed 73% and 27% of total E, respectively. (2) The combined proportion of evaporation from canopy interception and wet soil averaged about 25%, and it was much lower than that of Ei, indicating that it was difficult to establish a connection between Ei and the physical source-based E components. (3) The potential evapotranspiration (EP) satisfying the Budyko-WT model was strictly constrained by the GPH, while the inappropriate EP estimation method largely explained the discrepancy between the calculated and inverse Ei/E. This study deepens the knowledge of the sequential partitioning of E components, uncovers the discrepancies between different E partitioning frameworks, and provides new insights into the characterization of key variables in Budyko models.
1. Introduction
Land evaporation (E), also known as land evapotranspiration, is an important part of the hydrological cycle, and it plays a key role in regulating the exchange of water and energy between land and atmosphere [1,2,3]. A comprehensive understanding of E processes can help optimize water resource allocation and improve water use efficiency [4,5]. However, evapotranspiration is not a single process but comprises multiple processes, which can therefore be divided into several components [6,7]. Investigating the E components is essential for unveiling the complexity of E processes and enhancing the ability to predict the hydrological processes under the influence of climate change and human activities, which is particularly important for tackling the challenges posed by water scarcity and climate change.
Currently, E partitioning is often conceptualized based on its physical sources, with plant transpiration, soil evaporation, and canopy interception evaporation being considered as the main E components [8,9]. Some commonly used E models typically estimate the source-based E components first and then sum these components to obtain the total E values, such as the Priestley–Taylor jet propulsion laboratory (PT-JPL) [10] and variable infiltration capacity (VIC) [11] models. Many studies have explored the proportions of various physical source-based E components and their dynamic change over time [9,12,13,14,15].
Beyond partitioning by physical sources, the generalized proportionality hypothesis (GPH) offers an alternative perspective for dividing the E components. The GPH is derived from the precipitation (P) partitioning theory proposed by L’vovich [16], and it describes the dynamic competition between the water balance components. By applying the GPH to the division of P into E and runoff (Q) at the mean annual catchment scale, Wang and Tang [17] derived a parametric Budyko equation (i.e., the Budyko-WT equation) and demonstrated the applicability of the GPH across temporal scales from the Darwinian perspective. The GPH has recently seen a renaissance in the study of catchment hydrology [18,19,20,21,22,23].
According to the GPH, E can be partitioned into the initial (Ei) and continuing (Ec) evapotranspiration. Ei refers to the portion of E that originates from P before Q generation, while Ec represents the remaining part of E after Q generation. This partitioning captures the temporal dynamic characteristics of the hydrological cycle, emphasizing both the temporal sequence (i.e., whether E occurs before or after Q formation) and the competitive relationships (i.e., whether E competes with Q) inherent in the two-stage E processes. This is fundamentally different from the physical source-based E partitioning, which categorizes E components according to where and how evapotranspiration occurs, without considering the temporal characteristics of the process. In addition, it should be noted that the GPH-based E partitioning is generally applied at the mean annual catchment scale, while the physical source-based approach allows for much finer spatiotemporal scales, enabling analysis at daily and pixel levels. While previous studies have extensively explored the E partitioning from the perspective of its physical sources, investigations from the GPH perspective remain scarce. Furthermore, existing attempts to relate the GPH-based E components with the physical source-based ones have thus far relied on conceptual assumptions rather than empirical evidence [17,24]. The relationship between E components under these two partitioning frameworks is therefore worthy of quantitative exploration.
Ei is one of the E components under the GPH, and its ratio to E (Ei/E) not only represents the relative magnitude of its own contribution to total E but also serves as the Budyko-WT model parameter [17]. Unlike other Budyko models, such as the Budyko–Fu [25,26] and the Budyko-MCY [27,28,29], whose parameters are introduced as mathematical integration variables without explicit physical interpretation, the GPH-based Budyko-WT model features a parameter (Ei/E) with a clear physical meaning, as both Ei and E are physically defined quantities with fixed values that can be determined for a specific catchment and time period. This physical basis provides the potential for directly estimating Ei/E through physical processes. For the applications of the Budyko-WT model oriented toward E estimation, given known values of P and potential evapotranspiration (EP), E can be obtained once Ei is determined, which, in effect, determines the model parameter. Thus, exploring an approach for Ei estimation not only aids in clarifying the partitioning characteristics of GPH-based E components but also facilitates the determination of the Budyko model parameter, which is crucial for advancing both the understanding and the applications of the Budyko framework.
The primary objective of this study was to explore the temporal dynamic characteristics of E processes under the GPH. Towards this, we took the Model Parameter Estimation Experiment (MOPEX) catchments as the study area and proposed an Ei estimation method based on the P-Q relationship by considering its physical meaning. After Ei was determined using this method, Ec was obtained subsequently, thus enabling the GPH-based E partitioning. On this basis, we separated the physical source-based E components by the Penman-Monteith-Mu (PM-Mu) algorithm [30,31,32] to analyze the relationship between E components under two E partitioning frameworks. Finally, we examined the relationship between the inverse and calculated values of the parameter Ei/E of the GPH-based Budyko-WT model.
2. Materials and Methods
2.1. Hydrometeorological and Remote Sensing Data
The MOPEX dataset contains daily P and Q data during 1948–2003 of 438 catchments across the contiguous United States [33] and has been widely used in catchment-scale hydrological studies [34,35,36,37]. Considering the time span of the auxiliary climate and vegetation datasets used in this study, we restricted all data to the overlapping period of 1982–2003. Daily-scale P and Q were aggregated to the annual scale, and 66 catchments with less than 11 years of data were excluded. Upon inspection, the data for the remaining 372 catchments all met the water balance constraint at the mean annual scale (i.e., P > Q). The temporal scale of 11 years was chosen because previous studies [38,39,40] demonstrated that the terrestrial water storage variation can be approximately ignored at scales longer than 11 years, allowing E to be derived from the water balance equation (i.e., E = P − Q). Then, we examined the linear P-Q relationship for each catchment. Catchments were deleted with a slope outside the interval (0, 1), an insignificant relationship (p > 0.05), or a negative P-axis intercept. In total, 29 catchments were removed, leaving 343 catchments for further analysis (Figure 1). This removal was based on physical and methodological considerations to ensure the applicability of the Ei estimation. The remaining 343 catchments span a wide range of natural geographical and hydro-meteorological conditions, providing a representative basis for analysis. The data length for these catchments ranged from 11 to 22 years, with a median of 20 years.
Figure 1.
Spatial distribution of 343 Model Parameter Estimation Experiment (MOPEX) catchments.
We also acquired the gridMET meteorological dataset [41], the Global Land Surface Satellite (GLASS) fraction of vegetation coverage (FC) [42] and land surface albedo [43] data, and the Global Inventory Modeling and Mapping Studies (GIMMS) leaf area index (LAI) data [44,45] to serve as input for the PM-Mu algorithm (Section 2.4). These datasets are detailed in Table 1. In addition, the gridMET meteorological data were also used to calculate EP (Section 2.5).
Table 1.
Information of the datasets used in this study.
2.2. Generalized Proportionality Hypothesis and Budyko-WT Equation
As shown in Figure 2, precipitation at the event scale falls to the ground and then first satisfies the demand of initial abstraction (Pi), such as canopy interception and water storage in top soils. The remaining water represents surface runoff and continuing abstractions. The proportionality hypothesis of the Soil Conservation Service (SCS) curve number method is that the ratio of surface runoff to its potential is equal to that of continuing abstraction to its potential [46]. Ponce and Shetty [47] extended this hypothesis to hydrological processes similar to event-scale precipitation partitioning and obtained the GPH. Wang and Tang [17] creatively applied the GPH to hydrological partitioning at the mean annual catchment scale and demonstrated its universality across temporal scales.
Figure 2.
Schematic diagram illustrating the two-stage evapotranspiration (E) partitioning. Q is the runoff. E is the evapotranspiration, consisting of the initial (Ei) and continuing (Ec) evapotranspiration. Pi is the initial abstraction in the Soil Conservation Service (SCS) curve number method, which is equivalent to Ei.
At the mean annual scale, P has a priority to meet the demand for Ei, which includes but is not limited to the evapotranspiration from leaf interception and the wet topsoil layer. The remaining available water not taken up by Ei goes to continuing infiltration and surface runoff (or direct runoff). Part of the continuing infiltration is eventually evaporated, called the continuing evapotranspiration (Ec), and the other part forms the base flow. Ei and Ec constitute E, while the surface runoff and base flow constitute Q. No runoff is produced during the first stage. According to the GPH that the ratio of Ec to its potential is equal to that of Q to its potential, a mathematical expression is obtained to describe the competitive relationship among the water balance components [17,48]:
The Budyko-WT equation [17] can be further derived:
where m = Ei/E, with a range of [0, 1]. It modifies the partitioning of E into Ei and Ec and that of P into E and Q.
According to Equation (1) or Equation (2), the inverse Ei (Ei-inv) can be obtained:
Dividing both sides of the above equation by E yields the inverse m (minv):
The key to the E partitioning under the GPH is the estimation of Ei. To achieve the partitioning, we first propose an Ei estimation method based on the P-Q relationship (Section 2.3). After Ei is determined using this approach, Ec is computed as the difference between E and Ei.
2.3. Ei Estimation Based on Catchment P-Q Relationship
According to Wang and Tang [17], runoff is typically not generated immediately upon precipitation but begins only after a certain threshold is reached. This critical value is called the initial abstraction in the event-scale SCS curve number method and is equal to Ei at the mean annual scale. That is, precipitation first meets the demand of Ei, and the remaining water is reserved for the competition between runoff and Ec [17]. In other words, Ei is the portion of evapotranspiration from precipitation that does not participate in runoff formation.
Previous studies have shown that Q generally increases with P at the catchment scale, so there are usually significant positive relationships between annual P and Q. Most of these relationships can be expressed as linear functions [49,50,51,52,53], while a few are expressed as nonlinear functions [54,55,56].
For a given catchment with a linear P-Q relationship, the linear regression equation is as follows:
It can be rewritten as follows:
where k is the slope of the linear P-Q relationship with the range of (0,1).
Generally, runoff occurs when P exceeds a certain value, implying a negative b. Let Pi = −b/k be the critical amount of P before runoff starts, and it is equal to the initial abstraction in the SCS curve number method. When P decreases to Pi, the annual runoff is zero. This reflects an extreme case of interannual variation of P and Q. On the other hand, since the mean annual P and Q (i.e., and ) are also on the regression line (Equation (6)) (i.e., ), Pi is also the initial abstraction at the mean annual scale from the perspective of segmenting annual P and is therefore equal to Ei.
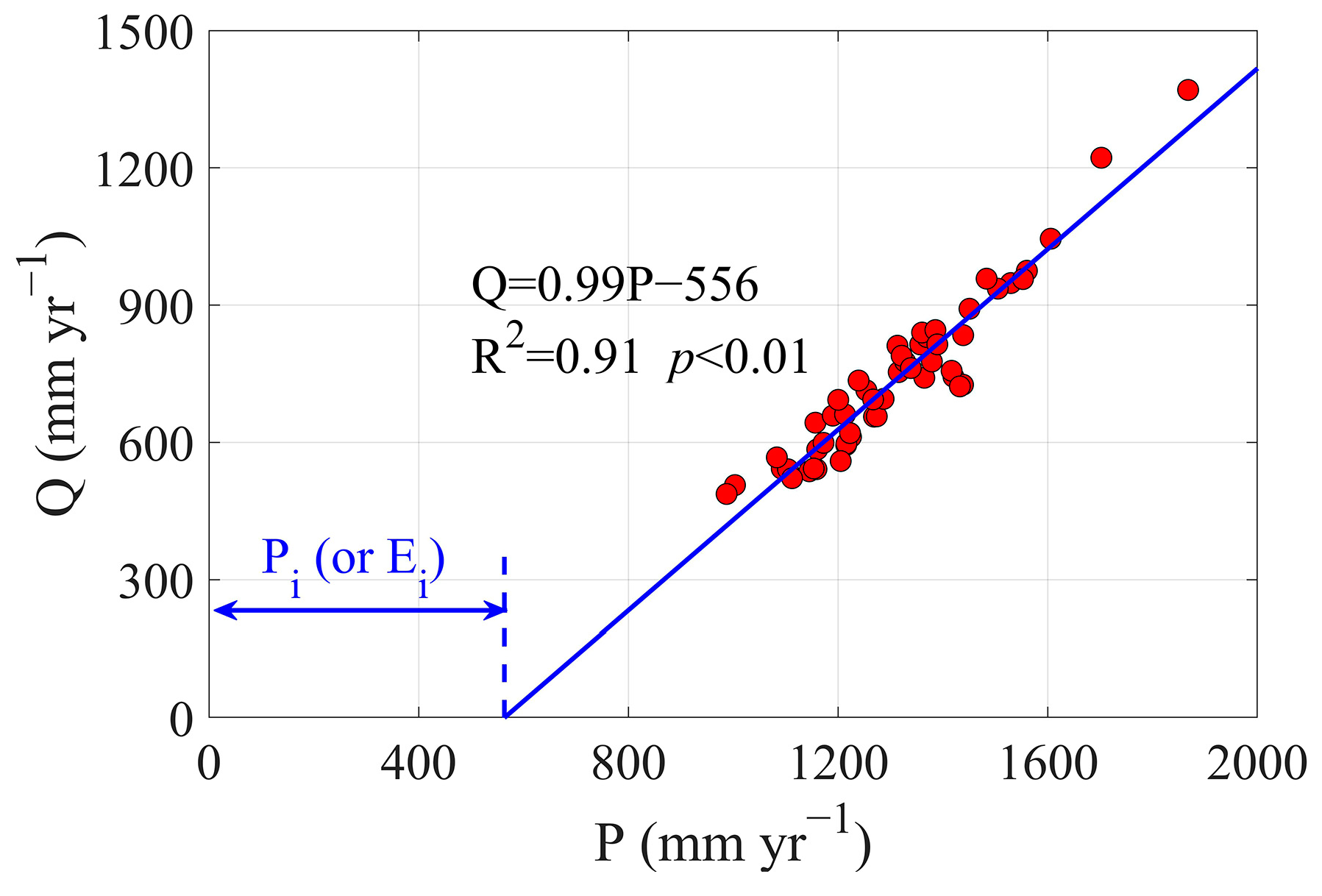
Figure 3 illustrates the Ei estimation based on the linear P-Q relationship for a randomly selected catchment. For this catchment, Q begins when P gradually increases from zero to a critical value Pi (549.09 mm yr−1). Then, Q increases with P. This threshold represents the portion of precipitation that is first allocated to evapotranspiration before any runoff occurs, namely Ei.
Figure 3.
Schematic diagram of the Ei estimation based on the linear P-Q relationship. Take the catchment with the ID of 03051000 as an example.
2.4. Estimation of E Components Based on Penman-Monteith-Mu Algorithm
Here, we used the PM-Mu algorithm to estimate the physical source-based E components [30,31,32]. The algorithm is driven by climate and remote sensing vegetation data, with E being the sum of canopy interception evaporation (Ewc), vegetation transpiration (Et), and soil evaporation (Es), where Es includes (saturated) wet soil evaporation (Ews) and (unsaturated) moist soil evaporation (Ems). This finer partitioning enables a more detailed examination of the relationship between Ei and the physical source-based E components. In addition, the PM-Mu algorithm has been shown to perform well in estimating E globally [57]. The corresponding equations are as follows:
where is the slope of the saturation vapor pressure curve at the air temperature (kPa °C−1). Rn is the net radiation (MJ m−2 day−1). Fwet is the water cover fraction, calculated using the relative humidity. is the latent heat of vaporization (kPa °C−1), which is a function of air temperature. VPD denotes the vapor pressure deficit (kPa). is the air density, with a value of 1.29 kg m−3. CP is the specific heat capacity of air, with a value of 1.013 × 10−3 MJ kg−1 °C−1. is the psychometric constant (kPa °C−1). is an empirical coefficient, with a value of 250. rvc and rhrc are wet canopy resistance and aerodynamic resistance to evaporated water on the wet canopy surface (s m−1). rs and ra are surface resistance and aerodynamic resistance (s m−1). rtot and ras are total aerodynamic resistance to vapor transport and aerodynamic resistance at the soil surface (s m−1). For detailed calculations, please refer to relative references [31,58,59].
Based on the PM-Mu algorithm, we estimated four components of E at the pixel and daily scales across the contiguous United States during 1982–2003, and the annual values of each component and total E were obtained by summing the daily values. Due to the lack of observational data for validating of each component, we used the catchment water balance-based E (Ewb) to validate the E estimated by the PM-Mu algorithm (Epm), which was a widely adopted approach for validating E estimates [60,61]. We then analyzed the relationship between Ei and the physical source-based E components. It should be noted that the PM-Mu algorithm mainly focuses on the vegetation ecosystem, and it does not estimate E for the non-vegetation pixels, such as water bodies, perennial snow/ice, sparse vegetation (rock, tundra, and desert), and urban/built-up areas [59,62]. Therefore, we further excluded the catchments containing non-vegetation pixels when evaluating the E estimation performance and analyzing E components. To ensure comparability, the temporal coverage of data for the resulting 211 MOPEX catchments involved in E validation and component analysis were completely consistent.
2.5. Comparison of the Inverse and Calculated Budyko-WT Model Parameter
The ratio of Ei to E not only represents the proportion of E components under the GPH but also serves as the Budyko-WT model parameter (m). In Budyko-related studies, the model parameter is typically derived from known P, E, and EP. Inverse values of the model parameter are commonly used to establish empirical formulas [63,64] or to extrapolate to ungauged periods or catchments directly [65,66] for E simulation. Estimating Ei based on the linear P-Q relationship offers an alternative method for determining the Budyko model parameter, with the resulting Ei and m denoted as Ei-cal and mcal, respectively, both representing the calculated values.
Here, we calculated EP using the Priestley-Taylor equation [67] and then obtained the inverse Ei (i.e., Ei-inv) by Equation (3) and the inverse Budyko-WT model parameter (i.e., minv) by Equation (4). We subsequently compared the relationship between Ei-inv and minv with the calculated ones. EP was calculated as follows:
where α is the Priestley-Taylor coefficient, typically set to 1.26 [67]. G is the soil heat flux (MJ m−2 day−1), which is often neglected at the daily scale.
3. Results
3.1. Linear Characteristics of the P-Q Relationship in MOPEX Catchments
The spatial distribution and frequency statistics of the coefficient of determination (R2) of the linear P-Q relationship for the MOPEX catchments are shown in Figure 4. It can be observed that a generally linear P-Q relationship prevailed throughout the MOPEX catchments. After excluding the catchments with missing data, about 92% (343 out of 372) of the MOPEX catchments showed a significant linear P-Q relationship (p < 0.05). Among the 343 catchments remaining after the screening, the R2 of the linear P-Q relationship was greater than 0.50 for about 87% of the catchments, and for more than 50% of the catchments, the R2 exceeded 0.74. This indicates that the linear function effectively captured the annual P-Q relationship in the MOPEX catchments, providing a solid data foundation for estimating catchment Ei based on the linear P-Q relationship.
Figure 4.
(a) Spatial distribution and (b) frequency statistics of the R2 of the linear P-Q relationship in 343 MOPEX catchments.
3.2. Spatial Patterns of Ei and Ec in MOPEX Catchments
After Ei was determined based on the linear P-Q relationship, Ec was obtained by the difference between E and Ei. Figure 5 shows the spatial distribution of Ei, Ec, and the proportion of Ei to E. Overall, Ei was larger than Ec, and their mean values across 343 MOPEX catchments were 478.45 ± 173.73 (mean ± standard deviation) and 170.38 ± 118.78 mm yr−1, respectively. In terms of proportions, the average Ei/E was 73% ± 20%, while the average Ec/E, as its complement, was 27% ± 20%. Spatially, higher Ei values were concentrated in catchments in eastern and southeastern areas of the contiguous United States (Figure 5a), and these catchments generally exhibited higher Ei proportions, with many exceeding 80% (Figure 5c). The overall spatial pattern of Ec (Figure 5b) was opposite to that of Ei.
Figure 5.
Spatial distribution of (a) Ei, (b) Ec, and (c) Ei/E in 343 MOPEX catchments. The proportion of Ec complements that of Ei, i.e., Ec/E = 1 − Ei/E.
3.3. Relationship of E Components Between Two Partitioning Frameworks
The PM-Mu algorithm was employed to estimate the physical source-based E components, which were then summed to yield the total E. We first evaluated the performance of the PM-Mu algorithm in E estimation. As indicated by the comparison in Figure 6, there was a significant linear relationship between Epm and Ewb (R2 = 0.59, p < 0.01), with the mean absolute error (MAE) of 192.56 mm yr−1. The estimation performance was comparable to that reported by Mu, Zhao, and Running [31] for the PM-Mu algorithm in the contiguous United States. By and large, the good agreement between Epm and Ewb suggests that the PM-Mu algorithm performed adequately in estimating E for the MOPEX catchments.
Figure 6.
Comparison between the water balance-based E (Ewb) and the Penman-Monteith-Mu (PM-Mu) algorithm-based E (Epm) for the MOPEX catchments.
The proportions of each component of E are shown in Figure 7. For 221 MOPEX catchments participating in E validation and component analysis, the average proportions of Ewc, Et, Ews, and Ems derived from the PM-Mu algorithm were about 16% ± 9%, 49% ± 11%, 9% ± 3% and 26% ± 14%, respectively. In some studies, Ei was calculated as the sum of Ewc and Ews [24,57]. For 221 MOPEX catchments, the average (Ewc + Ews)/E obtained based on the PM-Mu algorithm was about 25%, markedly lower than the average Ei/E (74%) obtained using the linear P-Q relationship in this study. Specifically, in 216 of the 221 catchments, the total proportion of Ewc and Ews was less than the proportion of Ei.
Figure 7.
Violin plot showing the distribution of the proportion of each E component based on the PM-Mu algorithm. E is the sum of canopy interception evaporation (Ewc), vegetation transpiration (Et), wet soil evaporation (Ews), and moist soil evaporation (Ems). The inserted pie chart shows the average proportions of the four components.
Ei is defined as the portion of evapotranspiration from precipitation that does not participate in the runoff formation and is characterized as not competing with the portion of precipitation used to produce runoff. Wang and Tang [17] suggested that Ei includes but is not limited to evaporation that occurs due to vegetation interception and water storage in top soils. This itself indicates that Ewc and Ews are insufficient to constitute the entirety of Ei. In addition, we noticed that under the limiting case, the Buyko-WT model parameter Ei/E can take the value of unity. In this case, E = Ei, implying that Ei encompasses all the physical source-based E components. Therefore, upon comprehensive consideration, the assumption that Ei = Ewc + Ews is not appropriate, and it is difficult to establish a direct correspondence between Ei and the physical source-based E components.
3.4. Comparison Between the Inverse and Calculated Ei/E
Ei and Ei/E were derived from P, Q, and EP (Equation (13)) by Equation (1) or (2). There were 20 catchments with negative Ei-inv and corresponding negative minv. In the Budyko space, the data points (EP/P, E/P) for these catchments fell below the lower bound of the Budyko-WT curves (i.e., m = 0). Clearly, this lacked physical significance. From Equation (4), we found that when EP > P(P − Q)/Q, Ei-inv would be negative. This indicates that the EP satisfying the Budyko-WT model should be smaller than P(P − Q)/Q. However, as we all know, EP estimation from different meteorological equations varies in magnitude [68,69]. As can be expected, when a larger EP is used, Ei-inv is more likely to be negative, thereby limiting the applications of the Budyko-WT model.
After excluding the catchments with negative Ei-inv, we compared the inverse and calculated values of Ei and m, respectively. As shown in Figure 8, although there existed a significant linear relationship between Ei-inv and Ei-cal (p < 0.01), the R2 was relatively low (0.31), and the regression line also deviated substantially from the 1:1 line. The data points of minv and mcal were scattered, and their relationship was not statistically significant (p > 0.05). The discrepancy in m is mainly attributed to the improper estimation of EP. In Budyko-related studies, the model parameter is typically inverted by known P, E, and EP [65,70]. For a given catchment during a given period, P and Q are fixed, so E is determined by the water balance equation. However, in practical applications, various methods are available for EP estimation, leading to discrepancies in its values and, consequently, differences in the Budyko model parameter values. In other words, inverting the model parameter inherently implies that it varies with the chosen EP. This approach is feasible for the Budyko-Fu and Budyko-MCY models, where their model parameters do not possess a clearly defined physical meaning. However, for the GPH-based Budyko-WT model, inverting the model parameter can be problematic. Once P and E are determined, different EP leads to differences in Ei (or m). Yet, by definition, Ei is a well-defined physical quantity whose value should not depend on EP. This, in turn, indicates that the value of EP in the Budyko-WT equation should be strictly constrained by the GPH, which, via Equation (1), yields the following expression:
Figure 8.
Comparison of inverse and calculated values of (a) Ei and (b) Budyko-WT model parameter (m = Ei/E). The subscripts “inv” and “cal” represent the inverse and calculated values, respectively.
4. Discussion
In this study, we examined the P-Q relationships across the MOPEX catchments and found that they can be well characterized by linear functions. This provided a solid data foundation for estimating Ei based on the linear P-Q relationships. However, in different regions, P-Q relationships can manifest diverse characteristics. For example, previous studies have found that the exponential [54,55], power [56], and hyperbolic tangent [71] functions can also effectively describe the interannual relationships between P and Q. In this case, alternative methods for Ei estimation should be explored. Nonetheless, it is crucial to emphasize that Ei is a physical quantity with a determined value for each catchment, and it will not change with EP estimation methods in the Budyko-WT model.
Using the linear P-Q relationships, Ei was estimated for the MOPEX catchments, and Ec was subsequently determined as the difference between E and Ei. In this way, the partitioning of E into Ei and Ec under the GPH was achieved at the mean annual catchment scale. This partitioning can also be extended to the interannual process to further elucidate the interannual variability of the E components and their responses to the climate and land surface changes.
The physical source-based E components were estimated by the PM-Mu algorithm. The results in Figure 7 suggest substantial variability in the proportions of different E components. The variability across catchments may be attributed to differences in climatic conditions and landscape characteristics. Generally, catchments in more arid regions may exhibit higher proportions of Es due to sparse vegetation, which reduces shading and interception, thereby increasing the potential for Es. In contrast, humid catchments typically have higher vegetation cover, which enhances Ewc and Et [13,14,72].
By comparison, we found that the improper use of the EP estimation method led to large differences between the inverse and calculated values of the Budyko-WT model parameter, prompting us to propose a GPH-constrained expression for EP. In the future, it will be worthwhile to explore the characteristics of the GPH-based EP and its relationship with the commonly used meteorological EP.
5. Conclusions
In this study, we partitioned E into Ei and Ec under the GPH. To achieve this, we proposed an estimation method for Ei based on the linear P-Q relationship. This method strictly adhered to the physical definition of Ei and demonstrated good applicability across the MOPEX catchments. The results showed that Ei and Ec accounted for approximately 73% and 27% of total E, highlighting the dominant role of Ei in E. We further compared the GPH-based E components with physical source-based components derived from the PM-Mu algorithm. The observed discrepancy between the proportion of Ei to total E and the combined proportion of Ewc and Ews indicated that a connection between the two partitioning frameworks is difficult to establish. Further exploration revealed that deviation between the inverse and calculated Budyko-WT model parameter (Ei/E) was mainly caused by improper EP estimation. We therefore proposed a GPH-constrained expression for EP. Overall, this study provides new perspectives and corresponding calculation method for quantifying E components. The results enrich the scientific understanding of the Budyko model parameter and contribute to the ongoing advancement of research on the catchment-scale coupled water-energy balance.
Author Contributions
Conceptualization, C.C. and W.L.; methodology, C.C. and W.L.; software, C.C.; validation, C.C., W.L. and Z.M.; formal analysis, C.C.; investigation, C.C., R.C. and Z.M.; resources, W.L.; data curation, C.C. and R.C.; writing—original draft preparation, C.C.; writing—review and editing, W.L. and X.H.; visualization, C.C. and R.C.; supervision, W.L. and X.H.; project administration, W.L.; funding acquisition, W.L. All authors have read and agreed to the published version of the manuscript.
Funding
This research was funded by the National Natural Science Foundation of China, grant numbers 41971049 and 41571036.
Data Availability Statement
The download links for all datasets are provided in Table 1 of the manuscript.
Acknowledgments
The authors are appreciative of the datasets used in this study provided by the researchers and their teams. We also thank the editors and the two anonymous reviewers for their constructive comments and suggestions, which have significantly improved the manuscript.
Conflicts of Interest
The authors declare no conflicts of interest.
References
- Brutsaert, W. Hydrology: An Introduction; Cambridge University Press: Cambridge, UK, 2005. [Google Scholar]
- Chang, Y.; Ding, Y.; Zhao, Q.; Zhang, S. Attributing Evapotranspiration Changes with an Extended Budyko Framework Considering Glacier Changes in a Cryospheric-Dominated Watershed. Remote Sens. 2023, 15, 558. [Google Scholar] [CrossRef]
- Yin, L.; Wang, X.; Feng, X.; Fu, B.; Chen, Y. A comparison of SSEBop-model-based evapotranspiration with eight evapotranspiration products in the Yellow River Basin, China. Remote Sens. 2020, 12, 2528. [Google Scholar] [CrossRef]
- Yang, D.; Yang, Y.; Xia, J. Hydrological cycle and water resources in a changing world: A review. Geogr. Sustain. 2021, 2, 115–122. [Google Scholar] [CrossRef]
- Xue, Y.; Liang, H.; Zhang, B.; He, C. Vegetation restoration dominated the variation of water use efficiency in China. J. Hydrol. 2022, 612, 128257. [Google Scholar] [CrossRef]
- Lawrence, D.M.; Thornton, P.E.; Oleson, K.W.; Bonan, G.B. The partitioning of evapotranspiration into transpiration, soil evaporation, and canopy evaporation in a GCM: Impacts on land–atmosphere interaction. J. Hydrometeorol. 2007, 8, 862–880. [Google Scholar] [CrossRef]
- Wang, K.; Dickinson, R.E. A review of global terrestrial evapotranspiration: Observation, modeling, climatology, and climatic variability. Rev. Geophys. 2012, 50, RG2005. [Google Scholar] [CrossRef]
- Miralles, D.G.; Jiménez, C.; Jung, M.; Michel, D.; Ershadi, A.; McCabe, M.F.; Hirschi, M.; Martens, B.; Dolman, A.J.; Fisher, J.B.; et al. The WACMOS-ET project—Part 2: Evaluation of global terrestrial evaporation data sets. Hydrol. Earth Syst. Sci. 2016, 20, 823–842. [Google Scholar] [CrossRef]
- Nguyen, M.N.; Hao, Y.; Baik, J.; Choi, M. Partitioning evapotranspiration based on the total ecosystem conductance fractions of soil, interception, and canopy in different biomes. J. Hydrol. 2021, 603, 126970. [Google Scholar] [CrossRef]
- Fisher, J.B.; Tu, K.P.; Baldocchi, D.D. Global estimates of the land–atmosphere water flux based on monthly AVHRR and ISLSCP-II data, validated at 16 FLUXNET sites. Remote Sens. Environ. 2008, 112, 901–919. [Google Scholar] [CrossRef]
- Liang, X.; Lettenmaier, D.P.; Wood, E.F.; Burge, S.J. A simple hydrologically based model of land surface water and energy fluxes for general circulation models. J. Geophys. Res. 1994, 99, 14415–14428. [Google Scholar] [CrossRef]
- Yang, W.; Zhao, Y.; Guan, H.; Tang, Y.; Yang, M.; Wang, Q.; Zhao, J. Estimating spatiotemporal dynamics of evapotranspiration and assessing the cause for its increase in China. Agric. For. Meteorol. 2023, 333, 109394. [Google Scholar] [CrossRef]
- Jiang, F.; Xie, X.; Wang, Y.; Liang, S.; Zhu, B.; Meng, S.; Zhang, X.; Chen, Y.; Liu, Y. Vegetation greening intensified transpiration but constrained soil evaporation on the Loess Plateau. J. Hydrol. 2022, 614, 128514. [Google Scholar] [CrossRef]
- Niu, Z.; He, H.; Zhu, G.; Ren, X.; Zhang, L.; Zhang, K. A spatial-temporal continuous dataset of the transpiration to evapotranspiration ratio in China from 1981–2015. Sci. Data 2020, 7, 369. [Google Scholar] [CrossRef] [PubMed]
- Zhuang, J.; Li, Y.; Bai, P.; Chen, L.; Guo, X.; Xing, Y.; Feng, A.; Yu, W.; Huang, M. Changed evapotranspiration and its components induced by greening vegetation in the Three Rivers Source of the Tibetan Plateau. J. Hydrol. 2024, 633, 130970. [Google Scholar] [CrossRef]
- L’vovich, M.I. World Water Resources and Their Future; American Geophysical Union: Washington, DC, USA, 1979; p. 415. [Google Scholar]
- Wang, D.; Tang, Y. A one-parameter Budyko model for water balance captures emergent behavior in darwinian hydrologic models. Geophys. Res. Lett. 2014, 41, 4569–4577. [Google Scholar] [CrossRef]
- Chen, X.; Wang, D. Modeling seasonal surface runoff and base flow based on the generalized proportionality hypothesis. J. Hydrol. 2015, 527, 367–379. [Google Scholar] [CrossRef]
- Tang, Y.; Wang, D. Evaluating the role of watershed properties in long-term water balance through a Budyko equation based on two-stage partitioning of precipitation. Water Resour. Res. 2017, 53, 4142–4157. [Google Scholar] [CrossRef]
- Abeshu, G.W.; Li, H.Y. Horton Index: Conceptual framework for exploring multi-scale links between catchment water balance and vegetation dynamics. Water Resour. Res. 2021, 57, e2020WR029343. [Google Scholar] [CrossRef]
- Fang, Q.; Wang, G.; Zhang, S.; Peng, Y.; Xue, B.; Cao, Y.; Shrestha, S. A novel ecohydrological model by capturing variations in climate change and vegetation coverage in a semi-arid region of China. Environ. Res. 2022, 211, 113085. [Google Scholar] [CrossRef]
- Pellat, F.P.; Payán, J.G.; Aguilar, V.S.; Rodríguez, A.S.V.; González, M.A.B. Budyko-type models and the proportionality hypothesis in long-term water and energy balances. Water 2022, 14, 3315. [Google Scholar] [CrossRef]
- Tang, Y.; Tang, Q.; Zhang, L. Derivation of interannual climate elasticity of streamflow. Water Resour. Res. 2020, 56, e2020WR027703. [Google Scholar] [CrossRef]
- Fu, J.; Wang, W.; Shao, Q.; Xing, W.; Cao, M.; Wei, J.; Chen, Z.; Nie, W. Improved global evapotranspiration estimates using proportionality hypothesis-based water balance constraints. Remote Sens. Environ. 2022, 279, 113140. [Google Scholar] [CrossRef]
- Fu, B. On the calculation of the evaporation from land surface. Sci. Atmos. Sin. 1981, 5, 23–31. (In Chinese) [Google Scholar]
- Zhang, L.; Hickel, K.; Dawes, W.R.; Chiew, F.H.S.; Western, A.W.; Briggs, P.R. A rational function approach for estimating mean annual evapotranspiration. Water Resour. Res. 2004, 40, W02502. [Google Scholar] [CrossRef]
- Mezentsev, V.S. More on the calculation of average total evaporation. Meteorol. Gidrol. 1955, 5, 24–26. [Google Scholar]
- Choudhury, B.J. Evaluation of an empirical equation for annual evaporation using field observations and results from a biophysical model. J. Hydrol. 1999, 216, 99–110. [Google Scholar] [CrossRef]
- Yang, H.; Yang, D.; Lei, Z.; Sun, F. New analytical derivation of the mean annual water-energy balance equation. Water Resour. Res. 2008, 44, W03410. [Google Scholar] [CrossRef]
- Monteith, J.I.L. Evaporation and Environment; University Press: Cambridge, UK, 1965; pp. 205–234. [Google Scholar]
- Mu, Q.; Zhao, M.; Running, S.W. Improvements to a MODIS global terrestrial evapotranspiration algorithm. Remote Sens. Environ. 2011, 115, 1781–1800. [Google Scholar] [CrossRef]
- Penman, H.L. Natural evaporation from open water, bare soil and grass. Proc. R. Soc. Lond. Ser. A-Math. Phys. Sci. 1948, 193, 120–145. [Google Scholar] [CrossRef]
- Duan, Q.; Schaake, J.; Andre’assian, V.; Franks, S.; Goteti, G.; Gupta, H.V.; Gusev, Y.M.; Habets, F.; Hall, A.; Hay, L.; et al. Model Parameter Estimation Experiment (MOPEX): An overview of science strategy and major results from the second and third workshops. J. Hydrol. 2006, 320, 3–17. [Google Scholar] [CrossRef]
- Gentine, P.; D’Odorico, P.; Lintner, B.R.; Sivandran, G.; Salvucci, G. Interdependence of climate, soil, and vegetation as constrained by the Budyko curve. Geophys. Res. Lett. 2012, 39, L19404. [Google Scholar] [CrossRef]
- Greve, P.; Gudmundsson, L.; Orlowsky, B.; Seneviratne, S.I. Introducing a probabilistic Budyko framework. Geophys. Res. Lett. 2015, 42, 2261–2269. [Google Scholar] [CrossRef]
- Daly, E.; Calabrese, S.; Yin, J.; Porporato, A. Hydrological spaces of long-term catchment water balance. Water Resour. Res. 2019, 55, 10747–10764. [Google Scholar] [CrossRef]
- Krapu, C.; Borsuk, M. A differentiable hydrology approach for modeling with time-varying parameters. Water Resour. Res. 2022, 58, e2021WR031377. [Google Scholar] [CrossRef]
- Maurer, T.; Avanzi, F.; Glaser, S.D.; Bales, R.C. Drivers of drought-induced shifts in the water balance through a Budyko approach. Hydrol. Earth Syst. Sci. 2022, 26, 589–607. [Google Scholar] [CrossRef]
- Hwang, J.; Devineni, N. An improved Zhang’s dynamic water balance model using Budyko-based snow representation for better streamflow predictions. Water Resour. Res. 2022, 58, e2021WR030203. [Google Scholar] [CrossRef]
- Han, J.; Yang, Y.; Roderick, M.L.; McVicar, T.R.; Yang, D.; Zhang, S.; Beck, H.E. Assessing the steady-state assumption in water balance calculation across global catchments. Water Resour. Res. 2020, 56, e2020WR027392. [Google Scholar] [CrossRef]
- Abatzoglou, J.T. Development of gridded surface meteorological data for ecological applications and modelling. Int. J. Climatol. 2013, 33, 121–131. [Google Scholar] [CrossRef]
- Jia, K.; Yang, L.; Liang, S.; Xiao, Z.; Zhao, X.; Yao, Y.; Zhang, X.; Jiang, B.; Liu, D. Long-Term Global Land Surface Satellite (GLASS) Fractional Vegetation Cover Product Derived From MODIS and AVHRR Data. IEEE J. Sel. Top. Appl. Earth Observ. Remote Sens. 2019, 12, 508–518. [Google Scholar] [CrossRef]
- Liang, S.; Cheng, J.; Jia, K.; Jiang, B.; Liu, Q.; Xiao, Z.; Yao, Y.; Yuan, W.; Zhang, X.; Zhao, X.; et al. The Global Land Surface Satellite (GLASS) Product Suite. Bull. Am. Meteorol. Soc. 2020, 102, E323–E337. [Google Scholar] [CrossRef]
- Cao, S.; Li, M.; Zhu, Z.; Wang, Z.; Zha, J.; Zhao, W.; Duanmu, Z.; Chen, J.; Zheng, Y.; Chen, Y.; et al. Spatiotemporally consistent global dataset of the GIMMS leaf area index (GIMMS LAI4g) from 1982 to 2020. Earth Syst. Sci. Data 2023, 15, 4877–4899. [Google Scholar] [CrossRef]
- Zhu, Z.; Bi, J.; Pan, Y.; Ganguly, S.; Anav, A.; Xu, L.; Samanta, A.; Piao, S.; Nemani, R.; Myneni, R. Global Data Sets of Vegetation Leaf Area Index (LAI)3g and Fraction of Photosynthetically Active Radiation (FPAR)3g Derived from Global Inventory Modeling and Mapping Studies (GIMMS) Normalized Difference Vegetation Index (NDVI3g) for the Period 1981 to 2011. Remote Sens. 2013, 5, 927–948. [Google Scholar] [CrossRef]
- SCS; U.S. Department of Agriculture Soil Conservation Service. National Engineering Handbook, Section 4, Hydrology; U.S. Government Printing Office: Washington, DC, USA, 1972.
- Ponce, V.M.; Shetty, A.V. A conceptual model of catchment water balance: 1. Formulation and calibration. J. Hydrol. 1995, 173, 27–40. [Google Scholar] [CrossRef]
- Zhang, S.; Yang, Y.; McVicar, T.R.; Zhang, L.; Yang, D.; Li, X. A proportionality-based multi-scale catchment water balance model and its global verification. J. Hydrol. 2020, 582, 124446. [Google Scholar] [CrossRef]
- Miao, C.; Ni, J.; Borthwick, A.G.L.; Yang, L. A preliminary estimate of human and natural contributions to the changes in water discharge and sediment load in the Yellow River. Glob. Planet. Change 2011, 76, 196–205. [Google Scholar] [CrossRef]
- Zhang, Y.; Feng, X.; Wang, X.; Fu, B. Characterizing drought in terms of changes in the precipitation–runoff relationship: A case study of the Loess Plateau, China. Hydrol. Earth Syst. Sci. 2018, 22, 1749–1766. [Google Scholar] [CrossRef]
- Avanzi, F.; Rungee, J.; Maurer, T.; Bales, R.; Ma, Q.; Glaser, S.; Conklin, M. Climate elasticity of evapotranspiration shifts the water balance of Mediterranean climates during multi-year droughts. Hydrol. Earth Syst. Sci. 2020, 24, 4317–4337. [Google Scholar] [CrossRef]
- Zhang, Y.; Cheng, L.; Zhang, L.; Qin, S.; Liu, L.; Liu, P.; Liu, Y. Does non-stationarity induced by multiyear drought invalidate the paired-catchment method? Hydrol. Earth Syst. Sci. 2022, 26, 6379–6397. [Google Scholar] [CrossRef]
- Palmroth, S.; Katul, G.G.; Hui, D.; McCarthy, H.R.; Jackson, R.B.; Oren, R. Estimation of long-term basin scale evapotranspiration from streamflow time series. Water Resour. Res. 2010, 46, W10512. [Google Scholar] [CrossRef]
- Gupta, S.C.; Kessler, A.C.; Brown, M.K.; Zvomuya, F. Climate and agricultural land use change impacts on streamflow in the upper midwestern United States. Water Resour. Res. 2015, 51, 5301–5317. [Google Scholar] [CrossRef]
- Fu, G.; Chiew, F.H.; Zheng, H.; Robertson, D.E.; Potter, N.J.; Teng, J.; Post, D.A.; Charles, S.P.; Zhang, L. Statistical analysis of attributions of climatic characteristics to nonstationary rainfall-streamflow relationship. J. Hydrol. 2021, 603, 127017. [Google Scholar] [CrossRef]
- Han, J.; Gao, J.; Luo, H. Changes and implications of the relationship between rainfall, runoff and sediment load in the Wuding River basin on the Chinese Loess Plateau. Catena 2019, 175, 228–235. [Google Scholar] [CrossRef]
- Fu, J.; Wang, W.; Liu, B.; Lu, Y.; Xing, W.; Cao, M.; Zhu, S.; Guan, T.; Wei, J.; Chen, Z. Seasonal divergence of evapotranspiration sensitivity to vegetation changes—A proportionality-hypothesis-based analytical solution. J. Hydrol. 2023, 617, 129055. [Google Scholar] [CrossRef]
- Allen, R.G.; Pereira, L.S.; Raes, D.; Smith, M. Crop Evapotranspiration: Guidelines for Computing Crop Water Requirements; FAO Irrigation and Drainage Paper No. 56; FAO: Rome, Italy, 1998. [Google Scholar]
- Running, S.W.; Mu, Q.; Zhao, M.; Moreno, A. User’s Guide MODIS Global Terrestrial Evapotranspiration (ET) Product (MOD16A2/A3 and Year-end Gap-filled MOD16A2GF/A3GF) NASA Earth Observing System MODIS Land Algorithm (For Collection 6.1); National Aeronautics and Space Administration: Washington, DC, USA, 2021.
- Bai, P. Comparison of remote sensing evapotranspiration models: Consistency, merits, and pitfalls. J. Hydrol. 2023, 617, 128856. [Google Scholar] [CrossRef]
- Bai, P.; Liu, X. Intercomparison and evaluation of three global high-resolution evapotranspiration products across China. J. Hydrol. 2018, 566, 743–755. [Google Scholar] [CrossRef]
- Yang, J.; Liu, Z.; Yu, Q.; Lu, X. Estimation of global transpiration from remotely sensed solar-induced chlorophyll fluorescence. Remote Sens. Environ. 2024, 303, 113998. [Google Scholar] [CrossRef]
- Ning, T.; Li, Z.; Liu, W. Vegetation dynamics and climate seasonality jointly control the interannual catchment water balance in the Loess Plateau under the Budyko framework. Hydrol. Earth Syst. Sci. 2017, 21, 1515–1526. [Google Scholar] [CrossRef]
- Li, D.; Pan, M.; Cong, Z.; Zhang, L.; Wood, E. Vegetation control on water and energy balance within the Budyko framework. Water Resour. Res. 2013, 49, 969–976. [Google Scholar] [CrossRef]
- Kim, D.; Chun, J.A. Revisiting a two-parameter Budyko equation with the complementary evaporation principle for proper consideration of surface energy balance. Water Resour. Res. 2021, 57, e2021WR030838. [Google Scholar] [CrossRef]
- Zhang, L.; Brutsaert, W. Blending the evaporation precipitation ratio with the complementary principle function for the prediction of evaporation. Water Resour. Res. 2021, 57, e2021WR029729. [Google Scholar] [CrossRef]
- Priestley, C.H.B.; Taylor, R.J. On the assessment of surface heat flux and evaporation using large-scale parameters. Mon. Weather Rev. 1972, 100, 81–92. [Google Scholar] [CrossRef]
- Fisher, J.B.; Whittaker, R.J.; Malhi, Y. ET come home: Potential evapotranspiration in geographical ecology. Glob. Ecol. Biogeogr. 2010, 20, 1–18. [Google Scholar] [CrossRef]
- Proutsos, N.; Tigkas, D.; Tsevreni, I.; Alexandris, S.G.; Stefanidis, A.D.S.A.B.S.; Nwokolo, S.C. A thorough evaluation of 127 potential evapotranspiration models in two Mediterranean urban green sites. Remote Sens. 2023, 15, 3680. [Google Scholar] [CrossRef]
- Cheng, C.; Liu, W.; Mu, Z.; Zhou, H.; Ning, T. Lumped variable representing the integrative effects of climate and underlying surface system: Interpreting Budyko model parameter from earth system science perspective. J. Hydrol. 2023, 620, 129379. [Google Scholar] [CrossRef]
- Zhang, L.; Zhao, F.; Chen, Y.; Dixon, R.N.M. Estimating effects of plantation expansion and climate variability on streamflow for catchments in Australia. Water Resour. Res. 2011, 47, W12539. [Google Scholar] [CrossRef]
- Paschalis, A.; Fatichi, S.; Pappas, C.; Or, D. Covariation of vegetation and climate constrains present and future T/ET variability. Environ. Res. Lett. 2018, 13, 104012. [Google Scholar] [CrossRef]
Disclaimer/Publisher’s Note: The statements, opinions and data contained in all publications are solely those of the individual author(s) and contributor(s) and not of MDPI and/or the editor(s). MDPI and/or the editor(s) disclaim responsibility for any injury to people or property resulting from any ideas, methods, instructions or products referred to in the content. |
© 2025 by the authors. Licensee MDPI, Basel, Switzerland. This article is an open access article distributed under the terms and conditions of the Creative Commons Attribution (CC BY) license (https://creativecommons.org/licenses/by/4.0/).







