An Explanation of the Differences in Grassland NDVI Change in the Eastern Route of the China–Mongolia–Russia Economic Corridor
Abstract
1. Introduction
2. Materials and Methods
2.1. Study Area
2.2. Data Sources
2.2.1. Land Cover Data
2.2.2. Normalized Difference Vegetation Index (NDVI)
2.2.3. Meteorological Data
2.2.4. Terrain and Soil Data
2.2.5. Socioeconomic Data

2.3. Methods
2.3.1. Spatiotemporal Analysis of Grassland Dynamics
2.3.2. mRMR Sorting Algorithm
2.3.3. Machine Learning Regression
3. Results
3.1. Spatiotemporal Patterns of Grassland NDVI
3.1.1. Temporal Variation Trends of Grassland NDVI
3.1.2. Spatial Distribution Characteristics of Grassland NDVI
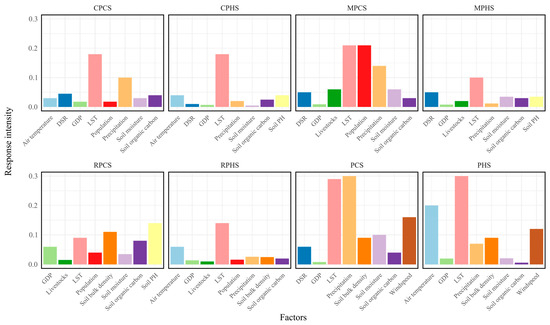
3.2. The Importance of the Driving Factors of Grassland NDVI Sorting
3.3. Comparative Analysis of Driving Factors for NDVI Changes
3.3.1. Comparison of Regression Model Performance
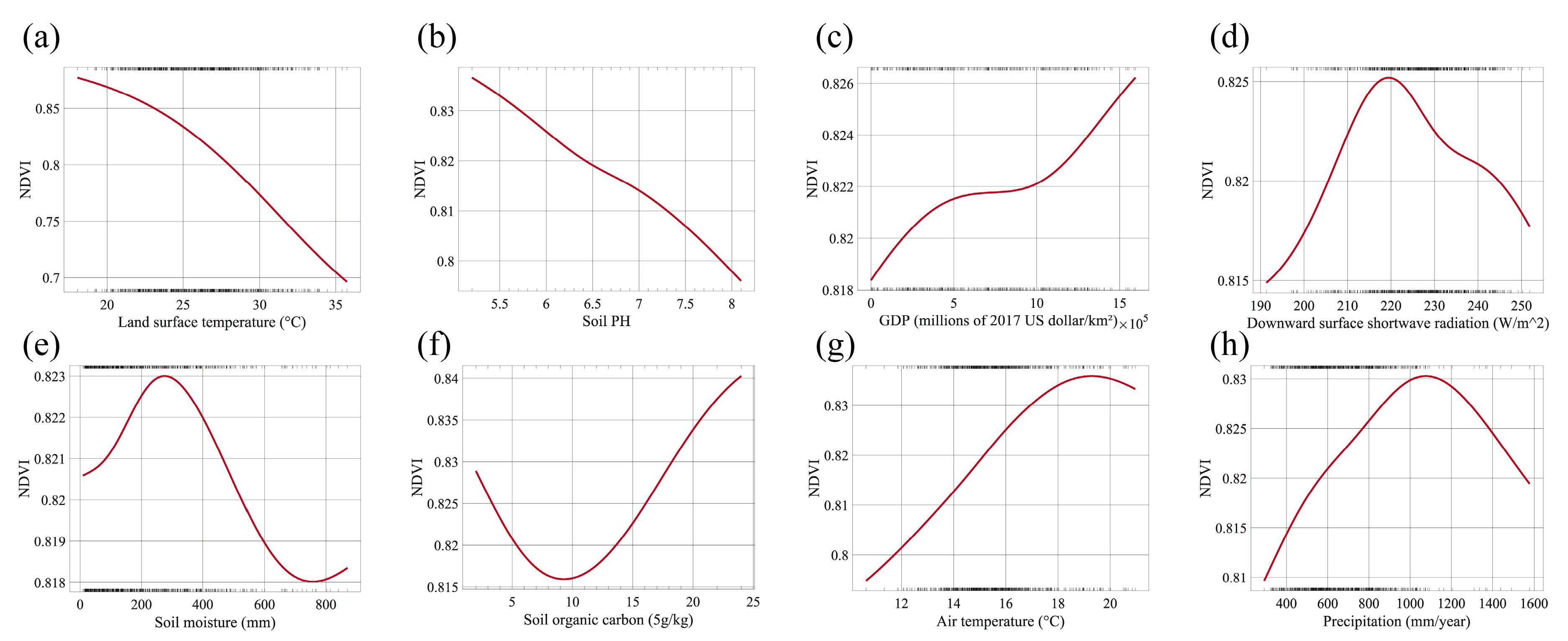
3.3.2. Regional Response Patterns of Grassland NDVI to Main Driving Factors
4. Discussion
4.1. Spatiotemporal Distribution and Trends of Grassland NDVI
4.2. Attribution of Grassland NDVI Changes Using Machine Learning Methods
4.3. The Non-Linear Relationships Between Different Factors and Grassland NDVI
4.4. Limitations of This Study
5. Conclusions
Author Contributions
Funding
Data Availability Statement
Conflicts of Interest
Appendix A
References
- Yan, Z.; Gao, Z.; Sun, B.; Ding, X.; Gao, T.; Li, Y. Global degradation trends of grassland and their driving factors since 2000. Int. J. Digit. Earth 2023, 16, 1661–1684. [Google Scholar] [CrossRef]
- Chen, T.; Bao, A.; Jiapaer, G.; Guo, H.; Zheng, G.; Jiang, L.; Chang, C.; Tuerhanjiang, L. Disentangling the relative impacts of climate change and human activities on arid and semiarid grasslands in Central Asia during 1982–2015. Sci. Total Environ. 2019, 653, 1311–1325. [Google Scholar] [CrossRef] [PubMed]
- Dong, S.; Li, Y.; Li, Y.; Li, S. Spatiotemporal Patterns and Drivers of Land Use and Land Cover Change in the China-Mongolia-Russia Economic Corridor. Pol. J. Environ. Stud. 2021, 30, 1–15. [Google Scholar] [CrossRef]
- Dong, S.; Zheng, J.; Li, Y.; Li, Z.; Li, F.; Jin, L.; Yang, Y.; Bilgaev, A. Quantitative Analysis of the Coupling Coordination Degree Between Urbanization and Eco-environment in Mongolia. Chin. Geogr. Sci. 2019, 29, 861–871. [Google Scholar] [CrossRef]
- Tao, S.; Fang, J.; Zhao, X.; Zhao, S.; Shen, H.; Hu, H.; Tang, Z.; Wang, Z.; Guo, Q. Rapid loss of lakes on the Mongolian Plateau. Proc. Natl. Acad. Sci. USA 2015, 112, 2281–2286. [Google Scholar] [CrossRef]
- Choe, H.; Thorne, J. Climate exposure of East Asian temperate forests suggests transboundary climate adaptation strategies are needed. Clim. Change 2019, 156, 51–67. [Google Scholar] [CrossRef]
- Song, Y. A statistical analysis of the relationship between climatic factors and the Normalized Difference Vegetation Index in China. Int. J. Remote Sens. 2011, 32, 3947–3965. [Google Scholar] [CrossRef]
- Duo, A.; Zhao, W.; Qu, X.; Jing, R.; Xiong, K. Spatio-temporal variation of vegetation coverage and its response to climate change in North China plain in the last 33 years. Int. J. Appl. Earth Obs. Geoinf. 2016, 53, 103–117. [Google Scholar] [CrossRef]
- Jong, R.; Schaepman, M.; Furrer, R.; Bruin, S.; Verburg, P. Spatial relationship between climatologies and changes in global vegetation activity. Glob. Change Biol. 2013, 19, 1953–1964. [Google Scholar] [CrossRef]
- Zhao, Y.; Peth, S.; Krümmelbein, J.; Horn, R.; Wang, Z.; Steffens, M.; Hoffmann, C.; Peng, X. Spatial variability of soil properties affected by grazing intensity in Inner Mongolia grassland. Ecol. Model. 2007, 205, 241–254. [Google Scholar] [CrossRef]
- Kawabata, A.; Ichii, K.; Yamaguchi, Y. Global monitoring of interannual changes in vegetation activities using NDVI and its relationships to temperature and precipitation. Int. J. Remote Sens. 2001, 22, 1377–1382. [Google Scholar] [CrossRef]
- Korb, J.E.; Fule, P.Z. Intra-and Interannual Vegetation Change: Implications for Long-Term Research. Restor. Ecol. 2008, 16, 5–11. [Google Scholar] [CrossRef]
- Green, R.K. Search of Greener Pastures: Advancements in Modeling for Vegetation Dynamics, Climate-Driven Human Migration, and Disaster Classification; University of California: Santa Barbara, CA, USA, 2024. [Google Scholar]
- Getis, A.; Ord, J.K. The analysis of spatial association by use of distance statistics. Geogr. Anal. 1992, 24, 189–206. [Google Scholar] [CrossRef]
- William, M.B. Statistical Methods in the Atmospheric Sciences. J. Am. Stat. Assoc. 2007, 102, 380. [Google Scholar] [CrossRef]
- Henry, B.M. Nonparametric tests against trend. Econometrica 1945, 13, 245–259. [Google Scholar] [CrossRef]
- Maurice, G.K. Rank Correlation Methods. 1948. Available online: https://openlibrary.org/books/OL6064969M/Rank_correlation_methods (accessed on 21 January 2024).
- Alireza, K.; Alireza, K.; Ali Reza, K.; Mahmood, K.; Mohsen, H. Spatial–temporal analysis of net primary production (NPP) and its relationship with climatic factors in Iran. Environ. Monit. Assess. 2020, 192, 718. [Google Scholar] [CrossRef]
- Li, Z.; Huffman, T.; McConkey, B.; Townley-Smith, L. Monitoring and modeling spatial and temporal patterns of grassland dynamics using time-series MODIS NDVI with climate and stocking data. Remote Sens. Environ. 2013, 138, 232–244. [Google Scholar] [CrossRef]
- Lili, X.; Lili, X.; Baolin, L.; Baolin, L.; Yecheng, Y.; Xizhang, G.; Tao, Z.; Tao, Z.; Tao, Z.; Qingling, S.; et al. Detecting Different Types of Directional Land Cover Changes Using MODIS NDVI Time Series Dataset. Remote Sens. 2016, 8, 495. [Google Scholar] [CrossRef]
- Taifeng, D.; Jiangui, L.; Jiali, S.; Budong, Q.; Ted, H.; Yinsuo, Z.; Catherine, C.; Bahram, D. Assessing the Impact of Climate Variability on Cropland Productivity in the Canadian Prairies Using Time Series MODIS FAPAR. Remote Sens. 2016, 8, 281. [Google Scholar] [CrossRef]
- Youjia, L.; Lijun, L.; Lijun, L.; Lijun, L.; Shizuka, H. Spatiotemporal analysis of trends in vegetation change across an artificial desert oasis, Northwest China, 1975–2010. Arab. J. Geosci. 2020, 13, 742. [Google Scholar] [CrossRef]
- Zohre, E.-K.; Maryam, M.; Mohsen, E.-K.; Ruhollah, T.-M. Impacts of vegetation anomalies and agricultural drought on wind erosion over Iran from 2000 to 2018. Appl. Geogr. 2020, 125, 102330. [Google Scholar] [CrossRef]
- Noel, A.C.; Christopher, K.W. Statistics for Spatio-Temporal Data; John Wiley & Sons: Hoboken, NJ, USA, 2011. [Google Scholar]
- Li, C.; Dou, T.; Wang, Y.; Zhu, T.; Yin, H.; Zhou, M.; Liu, L.; Wu, X. A Method for Quantifying the Impacts of Human Activities on Net Primary Production of Grasslands in Northwest China. Remote Sens. 2021, 13, 2479. [Google Scholar] [CrossRef]
- Yang, H.; Yao, L.; Wang, Y.; Li, J. Relative contribution of climate change and human activities to vegetation degradation and restoration in North Xinjiang, China. Rangel. J. 2017, 39, 289–302. [Google Scholar] [CrossRef]
- Chen, T.; Tang, G.; Yuan, Y.; Guo, H.; Xu, Z.; Jiang, G.; Chen, X. Unraveling the relative impacts of climate change and human activities on grassland productivity in Central Asia over last three decades. Sci. Total Environ. 2020, 743, 140649. [Google Scholar] [CrossRef]
- Seabloom, E.W.; Adler, P.B.; Alberti, J.; Biederman, L.; Buckley, Y.M.; Cadotte, M.W.; Collins, S.L.; Dee, L.; Fay, P.A.; Firn, J.; et al. Increasing effects of chronic nutrient enrichment on plant diversity loss and ecosystem productivity over time. Ecology 2021, 102, e03218. [Google Scholar] [CrossRef]
- Bi, X.; Li, B.; Zhang, L.; Nan, B.; Zhang, X.; Yang, Z. Response of grassland productivity to climate change and anthropogenic activities in arid regions of Central Asia. PeerJ 2020, 8, e9797. [Google Scholar] [CrossRef]
- Morecroft, M.D.; Masters, G.J.; Brown, V.K.; Clarke, I.P.; Taylor, M.E.; Whitehouse, A.T. Changing precipitation patterns alter plant community dynamics and succession in an ex-arable grassland. Funct. Ecol. 2004, 18, 648–655. [Google Scholar] [CrossRef]
- Yuan, X.; Li, L.; Chen, X.; Shi, H. Effects of Precipitation Intensity and Temperature on NDVI-Based Grass Change over Northern China during the Period from 1982 to 2011. Remote Sens. 2015, 7, 10164–10183. [Google Scholar] [CrossRef]
- Wang, Z.; Fu, B.; Wu, X.; Wang, S.; Li, Y.; Feng, Y.; Zhang, L.; Hu, Y.; Cheng, L.; Li, B. Distinguishing Trajectories and Drivers of Vegetated Ecosystems in China’s Loess Plateau. Earth’s Future 2024, 12, e2023EF003769. [Google Scholar] [CrossRef]
- Hou, Q.; Ji, Z.; Yang, H.; Yu, X. Impacts of climate change and human activities on different degraded grassland based on NDVI. Sci. Rep. 2022, 12, 15918. [Google Scholar] [CrossRef]
- John, R.; Chen, J.; Ouyang, Z.; Xiao, J.; Becker, R.; Samanta, A.; Ganguly, S.; Yuan, W.; Batkhishig, O. Vegetation response to extreme climate events on the Mongolian Plateau from 2000 to 2010. Environ. Res. Lett. 2012, 8, 035033. [Google Scholar] [CrossRef]
- Lu, Z.; Peng, S.; Slette, I.; Cheng, G.; Li, X.; Chen, A. Soil moisture seasonality alters vegetation response to drought in the Mongolian Plateau. Environ. Res. Lett. 2020, 16, 014050. [Google Scholar] [CrossRef]
- Li, G.; Yu, L.; Liu, T.; Bao, Y.; Yu, J.; Xin, B.; Bao, L.; Li, X.; Chang, X.; Zhang, S. Spatial and temporal variations of grassland vegetation on the Mongolian Plateau and its response to climate change. Front. Ecol. Evol. 2023, 11, 1067209. [Google Scholar] [CrossRef]
- Miao, L.; Sun, Z.; Ren, Y.; Schierhorn, F.; Müller, D. Grassland greening on the Mongolian Plateau despite higher grazing intensity. Land Degrad. Dev. 2021, 32, 792–802. [Google Scholar] [CrossRef]
- Nanzad, L.; Zhang, J.; Tuvdendorj, B.; Yang, S.; Rinzin, S.; Prodhan, F.; Sharma, T.P.P. Assessment of Drought Impact on Net Primary Productivity in the Terrestrial Ecosystems of Mongolia from 2003 to 2018. Remote. Sens. 2021, 13, 2522. [Google Scholar] [CrossRef]
- Chadaeva, V.; Gorobtsova, O.; Pshegusov, R.; Tsepkova, N.; Tembotov, R.; Khanov, Z.; Gedgafova, F.; Zhashuev, A.; Uligova, T.; Khakunova, E.; et al. Stages of grassland degradation in subalpine ecosystems of the Central Caucasus, Russia. Chil. J. Agric. Res. 2021, 81, 630–642. [Google Scholar] [CrossRef]
- Chendev, Y.G.; Sauer, T.J.; Ramirez, G.H.; Burras, C.L. History of East European Chernozem Soil Degradation; Protection and Restoration by Tree Windbreaks in the Russian Steppe. Sustainability 2015, 7, 705–724. [Google Scholar] [CrossRef]
- Mathar, W.P.; Kämpf, I.; Kleinebecker, T.; Kuzmin, I.; Tolstikov, A.; Tupitsin, S.; Hölzel, N. Floristic diversity of meadow steppes in the Western Siberian Plain: Effects of abiotic site conditions, management and landscape structure. Biodivers. Conserv. 2016, 25, 2361–2379. [Google Scholar] [CrossRef]
- Peng, J.; Jiang, H.; Liu, Q.; Green, S.M.; Quine, T.A.; Liu, H.; Qiu, S.; Liu, Y.; Meersmans, J. Human activity vs. climate change: Distinguishing dominant drivers on LAI dynamics in karst region of southwest China. Sci. Total Environ. 2021, 769, 144297. [Google Scholar] [CrossRef]
- Jiang, M.; Tian, S.; Zheng, Z.; Zhan, Q.; He, Y. Human Activity Influences on Vegetation Cover Changes in Beijing, China, from 2000 to 2015. Remote Sens. 2017, 9, 271. [Google Scholar] [CrossRef]
- Xiong, Q.; Xiao, Y.; Halmy, M.W.A.; Dakhil, M.A.; Liang, P.; Liu, C.; Zhang, L.; Pandey, B.; Pan, K.; El Kafraway, S.B.; et al. Monitoring the impact of climate change and human activities on grassland vegetation dynamics in the northeastern Qinghai-Tibet Plateau of China during 2000–2015. J. Arid Land 2019, 11, 637–651. [Google Scholar] [CrossRef]
- Lu, T.; Zheng, C.; Zhou, B.; Wu, J.; Wang, X.; Zhao, Y.; Liu, X.; Yuan, W. Response of Liquid Water and Vapor Flow to Rainfall Events in Sandy Soil of Arid and Semi-Arid Regions. Agronomy 2023, 13, 2424. [Google Scholar] [CrossRef]
- Hui, Y.; Zhang, Q.; Xu, C.-Y.; Xiong, L.; Chen, J.; Xie, P. Vegetation’s role in controlling long-term response of near ground air temperature to precipitation change in a semi-arid region. J. Arid Environ. 2018, 152, 83–86. [Google Scholar] [CrossRef]
- Sun, Y.; Wang, C.; Chen, H.; Ruan, H. Response of Plants to Water Stress: A Meta-Analysis. Front. Plant Sci. 2020, 11, 978. [Google Scholar] [CrossRef]
- Xu, B.-C.; Arain, M.; Black, T.; Law, B.; Pastorello, G.; Chu, H. Seasonal variability of forest sensitivity to heat and drought stresses: A synthesis based on carbon fluxes from North American forest ecosystems. Glob. Change Biol. 2019, 26, 901–918. [Google Scholar] [CrossRef]
- Zhang, Z. Impact of drought on vegetation over inner Mongolia autonomous region. J. Phys. Conf. Ser. 2024, 2798, 012034. [Google Scholar] [CrossRef]
- Dearmon, J.; Smith, T.E. Gaussian Process Regression and Bayesian Model Averaging: An Alternative Approach to Modeling Spatial Phenomena. Geogr. Anal. 2016, 48, 82–111. [Google Scholar] [CrossRef]
- Stas, M.; Orshoven, J.V.; Dong, Q.; Heremans, S.; Zhang, B. A comparison of machine learning algorithms for regional wheat yield prediction using NDVI time series of SPOT-VGT. In Proceedings of the 2016 Fifth International Conference on Agro-Geoinformatics (Agro-Geoinformatics), Tianjin, China, 18–20 July 2016; pp. 1–5. [Google Scholar]
- Tin, Z. Relationship between vegetation index and ground surface temperature on the Tibetan Plateau alpine grassland. J. Glaciol. Geocryol. 2015, 37, 58–69. [Google Scholar]
- Zhang, Y.; Gao, J.; Liu, L.; Wang, Z.; Ding, M.; Yang, X. NDVI-based vegetation changes and their responses to climate change from 1982 to 2011: A case study in the Koshi River Basin in the middle Himalayas. Glob. Planet. Change 2013, 108, 139–148. [Google Scholar] [CrossRef]
- Jeong, S.-J.; Ho, C.-H.; Jeong, J.-H. Increase in vegetation greenness and decrease in springtime warming over east Asia. Geophys. Res. Lett. 2009, 36, L02710. [Google Scholar] [CrossRef]
- Sun, R.; Chen, S.; Su, H. Climate Dynamics of the Spatiotemporal Changes of Vegetation NDVI in Northern China from 1982 to 2015. Remote Sens. 2021, 13, 187. [Google Scholar] [CrossRef]
- Shang, C.; Wu, T.; Huang, G.; Wu, J. Weak sustainability is not sustainable: Socioeconomic and environmental assessment of Inner Mongolia for the past three decades. Resour. Conserv. Recycl. 2019, 141, 243–252. [Google Scholar] [CrossRef]
- Zhang, Y.; Wang, Q.; Wang, Z.; Yang, Y.; Li, J.-L. Impact of human activities and climate change on the grassland dynamics under different regime policies in the Mongolian Plateau. Sci. Total Environ. 2020, 698, 134304. [Google Scholar] [CrossRef] [PubMed]
- Wang, Y.; Yang, Y. Analysis of the Heterogeneous Coordination between Urban Development Levels and the Ecological Environment in the Chinese Grassland Region (2000–2020): A Case Study of the Inner Mongolia Autonomous Region. Land 2024, 13, 951. [Google Scholar] [CrossRef]
- Behnisch, M.; Krüger, T.; Jaeger, J.A. Rapid rise in urban sprawl: Global hotspots and trends since 1990. PLoS Sustain. Transform. 2022, 1, e0000034. [Google Scholar] [CrossRef]
- Gantumur, B.; Wu, F.; Vandansambuu, B.; Tsegmid, B.; Dalaibaatar, E.; Zhao, Y. Spatiotemporal dynamics of urban expansion and its simulation using CA-ANN model in Ulaanbaatar, Mongolia. Geocarto Int. 2020, 37, 494–509. [Google Scholar] [CrossRef]
- Fan, P.; Chen, J.; John, R. Urbanization and environmental change during the economic transition on the Mongolian Plateau: Hohhot and Ulaanbaatar. Environ. Res. 2016, 144 Pt B, 96–112. [Google Scholar] [CrossRef]
- Zhou, T.; Yang, H.; Qiu, X.; Sun, H.; Song, P.; Yang, W. China’s grassland ecological compensation policy achieves win-win goals in Inner Mongolia. Environ. Res. Commun. 2023, 5, 031007. [Google Scholar] [CrossRef]
- Chen, H.; Shao, L.; Zhao, M.; Zhang, X.; Zhang, D. Grassland conservation programs, vegetation rehabilitation and spatial dependency in Inner Mongolia, China. Land Use Policy 2017, 64, 429–439. [Google Scholar] [CrossRef]
- Jiang, P.; Ding, W.; Yuan, Y.; Ye, W. Diverse response of vegetation growth to multi-time-scale drought under different soil textures in China’s pastoral areas. J. Environ. Manag. 2020, 274, 110992. [Google Scholar] [CrossRef]
- Wiesmeier, M.; Steffens, M.; Kölbl, A.; Kögel-Knabner, I. Degradation and small-scale spatial homogenization of topsoils in intensively-grazed steppes of Northern China. Soil Tillage Res. 2009, 104, 299–310. [Google Scholar] [CrossRef]
- Su, Y.Z.; Li, Y.L.; Zhao, H.L. Soil Properties and their Spatial Pattern in a Degraded Sandy Grassland under Post-grazing Restoration, Inner Mongolia, Northern China. Biogeochemistry 2006, 79, 297–314. [Google Scholar] [CrossRef]
- Qi, Y.-C.; Dong, Y.-S.; Jin, Z.; Peng, Q.; Xiao, S.-S.; He, Y.-T. Spatial Heterogeneity of Soil Nutrients and Respiration in the Desertified Grasslands of Inner Mongolia, China. Pedosphere 2010, 20, 655–665. [Google Scholar] [CrossRef]












| Category | Subtypes Included | Ecological Interpretation |
|---|---|---|
| Persistent Hotspots | Persistent, Intensifying | Stable high NDVI/continuous improvement |
| Unstable Hotspots | New, Consecutive, Diminishing, Sporadic, Oscillating, Historical Hotspots | High NDVI with significant fluctuations |
| Non-Significant | No Pattern | Undetectable temporal trends |
| Unstable Cold Spots | New, Consecutive, Diminishing, Sporadic, Oscillating, Cold spots | Low NDVI with marked variability |
| Persistent Cold Spots | Persistent, Intensifying | Stable low NDVI/continuous degradation |
Disclaimer/Publisher’s Note: The statements, opinions and data contained in all publications are solely those of the individual author(s) and contributor(s) and not of MDPI and/or the editor(s). MDPI and/or the editor(s) disclaim responsibility for any injury to people or property resulting from any ideas, methods, instructions or products referred to in the content. |
© 2025 by the authors. Licensee MDPI, Basel, Switzerland. This article is an open access article distributed under the terms and conditions of the Creative Commons Attribution (CC BY) license (https://creativecommons.org/licenses/by/4.0/).
Share and Cite
Wang, Z.; Wang, J.; Wang, W.; Zhang, C.; Mandakh, U.; Ganbat, D.; Myanganbuu, N. An Explanation of the Differences in Grassland NDVI Change in the Eastern Route of the China–Mongolia–Russia Economic Corridor. Remote Sens. 2025, 17, 867. https://doi.org/10.3390/rs17050867
Wang Z, Wang J, Wang W, Zhang C, Mandakh U, Ganbat D, Myanganbuu N. An Explanation of the Differences in Grassland NDVI Change in the Eastern Route of the China–Mongolia–Russia Economic Corridor. Remote Sensing. 2025; 17(5):867. https://doi.org/10.3390/rs17050867
Chicago/Turabian StyleWang, Zhengfei, Jiayue Wang, Wenlong Wang, Chao Zhang, Urtnasan Mandakh, Danzanchadav Ganbat, and Nyamkhuu Myanganbuu. 2025. "An Explanation of the Differences in Grassland NDVI Change in the Eastern Route of the China–Mongolia–Russia Economic Corridor" Remote Sensing 17, no. 5: 867. https://doi.org/10.3390/rs17050867
APA StyleWang, Z., Wang, J., Wang, W., Zhang, C., Mandakh, U., Ganbat, D., & Myanganbuu, N. (2025). An Explanation of the Differences in Grassland NDVI Change in the Eastern Route of the China–Mongolia–Russia Economic Corridor. Remote Sensing, 17(5), 867. https://doi.org/10.3390/rs17050867

