Multi-Level Spectral Attention Network for Hyperspectral BRDF Reconstruction from Multi-Angle Multi-Spectral Images
Abstract
1. Introduction
2. Methodology
2.1. Improvement of Walthall BRDF Model Based on Illumination Correction
2.2. BRDF Reconstruction Model Based on Multi-Level Spectral Attention Mechanism
2.3. Loss Function of the Reconstruction Model
3. Experimental Results and Analysis
3.1. Experimental Data and Settings
- (1)
- The UAV flies at an altitude of 50 m and collects data at a 0° observation zenith angle. At this time, the flight direction is from south to north, and the stable gimbal moves vertically downward to complete the push-scan of the space dimension;
- (2)
- Lower the altitude of the UAV and collect observations at a 5° zenith angle. At this time, the flight route follows the planned rectangular route: adjust the stabilization gimbal’s side swing angle to 5° and fly each rectangle in a clockwise direction to complete the collection of all observation azimuth angles at the zenith angle;
- (3)
- Decrease the flight altitude, adjust the lateral movement distance, stabilize the gimbal side swing angle to 10°, and continue to complete the acquisition of all observation azimuth angles under the zenith angle in a clockwise direction;
- (4)
- Continue to adjust the flight altitude, lateral displacement, and lateral swing angle, and repeat the above steps to complete the collection of the remaining observation zenith angle information;
- (5)
- Observations are conducted over multiple days at different times to collect data corresponding to varying solar zenith and azimuth angles. Finally, the data are reviewed, and additional flights are conducted if necessary to ensure comprehensive coverage.
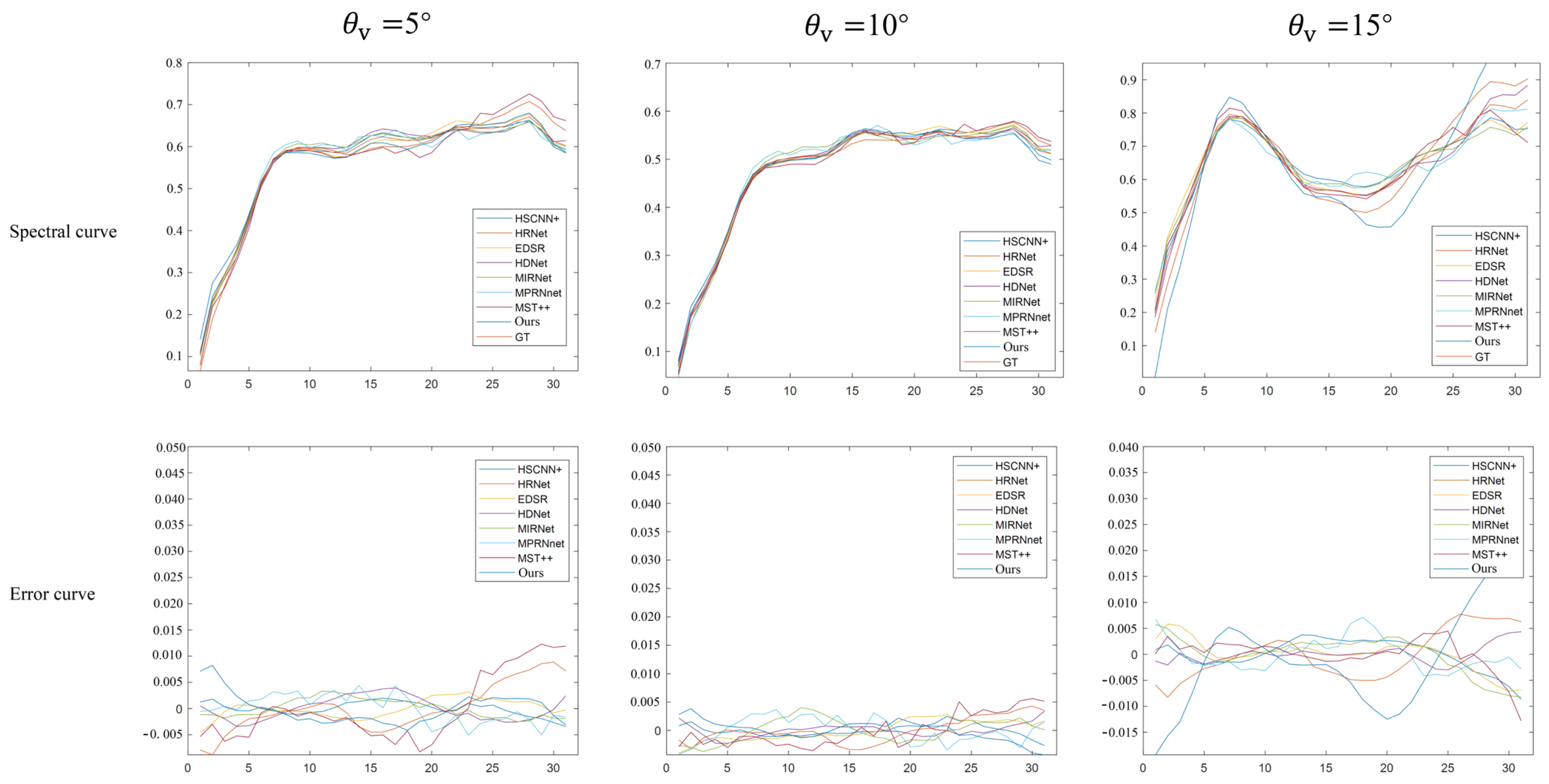
3.2. Comparative Experiment and Analysis
3.3. Ablation Experiment and Analysis
3.4. Quantitative Application
4. Conclusions
Author Contributions
Funding
Data Availability Statement
Conflicts of Interest
References
- Zhang, H.; Jiao, Z.T.; Dong, Y.D.; Li, J.Y.; Li, X.W. Albedo Retrieved from BRDF Archetype and Surface Directional Reflectance. Remote Sens. 2015, 19, 355–367. [Google Scholar] [CrossRef]
- Zhu, W.; You, D.; Wen, J.; Tang, Y.; Gong, B.; Han, Y. Evaluation of Linear Kernel-Driven BRDF Models over Snow-Free Rugged Terrain. Remote Sens. 2023, 15, 786. [Google Scholar] [CrossRef]
- Han, Y.; Wen, J.; Xiao, Q.; Bao, Y.; Chen, X.; Liu, Q.; He, M. Review of the Land Surface BRDF Inversion Methods based on Remotely Sensed Satellite Data. Natl. Remote Sens. Bull. 2023, 27, 2024–2040. [Google Scholar] [CrossRef]
- Li, H.; Zhang, H.; Zhang, B.; Chen, Z.; Yang, M.; Zhang, Y. A Method Suitable for Vicarious Calibration of a UAV Hyperspectral Remote Sensor. IEEE J. Sel. Top. Appl. Earth Obs. Remote Sens. 2015, 8, 3209–3223. [Google Scholar] [CrossRef]
- Tao, B.C.; Hu, X.Q.; Yang, L.K.; Zhang, L.; Chen, L.; Xu, N.; Wang, L.; Wu, R.Q.; Zhang, D.F.; Zhang, P. BRDF Feature Observation Method and Modeling of Desert Site based on UAV Platform. Natl. Remote Sens. Bull. 2021, 25, 1964–1977. [Google Scholar] [CrossRef]
- Jiao, Z.; Zhang, H.; Dong, Y.; Liu, Q.; Xiao, Q.; Li, X. An Algorithm for Retrieval of Surface Albedo From Small View-Angle Airborne Observations Through the Use of BRDF Archetypes as Prior Knowledge. IEEE J. Sel. Top. Appl. Earth Obs. Remote Sens. 2015, 8, 3279–3293. [Google Scholar] [CrossRef]
- Wu, S.; Wen, J.; Liu, Q.; You, D.; Yin, G.; Lin, X. Improving Kernel-Driven BRDF Model for Capturing Vegetation Canopy Reflectance with Large Leaf Inclinations. IEEE J. Sel. Top. Appl. Earth Obs. Remote Sens. 2020, 13, 2639–2655. [Google Scholar] [CrossRef]
- Song, F.; Fan, W.; Liu, Q.; Xu, X. A Method of Acquiring BRDF of Objects in the Field. J. Remote Sens. Beijing 2020, 13, 239–255. [Google Scholar]
- Zhang, C.B.; Yang, S.T.; Zhao, C.S.; Lou, H.Z.; Zhang, Y.C.; Bai, J.; Wang, Z.W.; Guan, Y.B.; Zhang, Y. Topographic Data Accuracy Verification of Small Consumer UAV. J. Remote Sens. 2018, 22, 185–195. [Google Scholar] [CrossRef]
- Chang, Y.X.; Jiao, Z.T.; Dong, Y.D.; Zhang, X.N.; He, D.D.; Yin, S.Y.; Cui, L.; Ding, A.X. Parameterization and Correction of Hotspot Parameters of Ross-Li Kernel Driven Models on POLDER Dataset. J. Remote Sens. 2019, 23, 661–672. [Google Scholar] [CrossRef]
- Dong, Y.D.; Jiao, Z.T.; Zhang, H.; Li, J.Y.; Jiao, G.P.; Shi, H.Y. Efficient Algorithm for Improving the Hotspot Effect of the Operational MODIS BRDF Product. J. Remote Sens. 2014, 18, 804–825. [Google Scholar]
- Guo, J.; Jiao, Z.T.; Ding, A.X.; Dong, Y.D.; Zhang, X.N.; Cui, L.; Yin, S.Y.; Chang, Y.X.; Xie, R. Evaluation of Three BRDF Models’ Performance Using Spaceborne POLDER Snow Data. Natl. Remote Sens. Bull. 2022, 26, 2060–2072. [Google Scholar] [CrossRef]
- Li, J.; Jiao, Z.; Zhang, H.; Dong, Y. Variance of Bidirectional Beflectance and Its Application Using Operational MODIS BRDF Model. J. Remote Sens. 2020, 13, 2639–2655. [Google Scholar]
- Qiu, F.; Huo, J.W.; Zhang, Q.; Chen, X.H.; Zhang, Y.G. Observation and Analysis of Bidirectional and Hotspot Reflectance of Conifer Forest Canopies with a Multiangle Hyperspectral UAV Imaging Platform. Natl. Remote Sens. Bull. 2021, 25, 1013–1024. [Google Scholar] [CrossRef]
- Wang, L.; Hu, X.Q.; Xu, N.; Chen, L.; Zhang, P.; Xu, H.L. Research on Construction of Directional Reflectance Reference Model for Desert Stable Earth Targets. Natl. Remote Sens. Bull. 2023, 27, 2270–2282. [Google Scholar] [CrossRef]
- Crucil, G.; Zhang, H.; Pauly, K.; Van Oost, K. A Semi-Empirical Anisotropy Correction Model for UAS-based Multispectral Images of Bare Soil. Remote Sens. 2022, 14, 537. [Google Scholar] [CrossRef]
- Wang, Z.; Li, H.; Wang, S.; Song, L.; Chen, J. Methodology and Modeling of UAV Push-Broom Hyperspectral BRDF Observation Considering Illumination Correction. Remote Sens. 2024, 16, 543. [Google Scholar] [CrossRef]
- Fu, L.; Gao, F.; Wu, J.; Li, R.; Karkee, M.; Zhang, Q. Application of Consumer RGB-D Cameras for Fruit Detection and Localization in Field: A Critical Review. Comput. Electron. Agric. 2020, 177, 105687. [Google Scholar] [CrossRef]
- Ma, Q.; Jiang, J.; Liu, X.; Ma, J. Reciprocal Transformer for Hyperspectral and Multispectral Image Fusion. Inf. Fusion 2024, 104, 102148. [Google Scholar] [CrossRef]
- Han, K.; Wang, Y.; Chen, H.; Chen, X.; Guo, J.; Liu, Z.; Tao, D. A Survey on Vision Transformer. IEEE Trans. Pattern Anal. Mach. Intell. 2022, 45, 87–110. [Google Scholar] [CrossRef] [PubMed]
- Benzenati, T.; Kallel, A.; Kessentini, Y. STF-Trans: A Two-Stream Spatiotemporal Fusion Transformer for Very High Resolution Satellites Images. Neurocomputing 2024, 563, 126868. [Google Scholar] [CrossRef]
- Vaswani, A. Attention is All You Need. Adv. Neural Inf. Process. Syst. 2017, 30, 105687. [Google Scholar]
- Nilson, T.; Kuusk, A. A Reflectance Model for the Homogeneous Plant Canopy and Its Inversion. Remote Sens. Environ. 1989, 27, 157–167. [Google Scholar] [CrossRef]
- Liang, S.; Strahler, A.H. Retrieval of Surface BRDF from Multiangle Remotely Sensed Data. Remote Sens. Environ. 1994, 50, 18–30. [Google Scholar] [CrossRef]
- Song, L.; Li, H.; Chen, T.; Chen, J.; Liu, S.; Fan, J.; Wang, Q. An integrated solution of UAV push-broom hyperspectral system based on geometric correction with MSI and radiation correction considering outdoor illumination variation. Remote Sens. 2022, 14, 6267. [Google Scholar] [CrossRef]
- Cai, Y.; Lin, J.; Lin, Z.; Wang, H.; Zhang, Y.; Pfister, H.; Van Gool, L. MST++: Multi-Stage Spectral-Wise Transformer for Efficient Spectral Reconstruction. In Proceedings of the IEEE/CVF Conference on Computer Vision and Pattern Recognition Workshops, New Orleans, LA, USA, 19–23 June 2022. [Google Scholar]
- Li, J.; Wu, C.; Song, R.; Li, Y.; Liu, F. Adaptive weighted attention network with camera spectral sensitivity prior for spectral reconstruction from RGB images. In Proceedings of the IEEE/CVF Conference on Computer Vision and Pattern Recognition Workshops, Seattle, WA, USA, 14–19 June 2020. [Google Scholar]
- Shi, Z.; Chen, C.; Xiong, Z.; Liu, D.; Wu, F. HSCNN+: Advanced CNN-Based Hyperspectral Recovery from RGB Images. In Proceedings of the IEEE/CVF Conference on Computer Vision and Pattern Recognition Workshops, Salt Lake City, UT, USA, 18–22 June 2018; pp. 939–947. [Google Scholar]
- Zhao, Y.; Po, L.M.; Yan, Q.; Liu, W.; Lin, T. Hierarchical Regression Network for Spectral Reconstruction from RGB Images. In Proceedings of the IEEE/CVF Conference on Computer Vision and Pattern Recognition Workshops, Seattle, WA, USA, 14–19 June 2020; pp. 422–423. [Google Scholar]
- Lim, B.; Son, S.; Kim, H.; Nah, S.; Mu Lee, K. Enhanced Deep Residual Networks for Single Image Super-Resolution. In Proceedings of the IEEE/CVF Conference on Computer Vision and Pattern Recognition Workshops, Honolulu, HI, USA, 21–26 July 2017; pp. 136–144. [Google Scholar]
- Hu, X.; Cai, Y.; Lin, J.; Wang, H.; Yuan, X.; Zhang, Y.; Van Gool, L. HDNet: High-Resolution Dual-Domain Learning for Spectral Compressive Imaging. In Proceedings of the IEEE/CVF Conference on Computer Vision and Pattern Recognition, New Orleans, LA, USA, 19–24 June 2022; pp. 17542–17551. [Google Scholar]
- Zamir, S.W.; Arora, A.; Khan, S.; Hayat, M.; Khan, F.S.; Yang, M.H.; Shao, L. Learning Enriched Features for Real Image Restoration and Enhancement. In Proceedings of the 16th European Conference on Computer Vision, Glasgow, UK, 23–28 August 2020; pp. 492–511. [Google Scholar]
- Zamir, S.W.; Arora, A.; Khan, S.; Hayat, M.; Khan, F.S.; Yang, M.H.; Shao, L. Multi-Stage Progressive Image Restoration. In Proceedings of the IEEE/CVF Conference on Computer Vision and Pattern Recognition, Nashville, TN, USA, 20–25 June 2021; pp. 14821–14831. [Google Scholar]













| Time | Flights | Solar Zenith Angle (°) | Solar Azimuth (°) |
|---|---|---|---|
| 20230303 | 7 | 0–56 | 103–235 |
| 20230304 | 3 | 32–60 | 124–271 |
| Zenith Angle (°) | Flight Altitude (m) | Distance of Lateral Displacement (m) |
|---|---|---|
| 0 | 50 | 0 |
| 5 | 49.8 | 4.35 |
| 10 | 49.2 | 8.68 |
| 15 | 48.2 | 12.94 |
| 20 | 46.9 | 17.10 |
| 25 | 45.3 | 21.13 |
| Method | RMSE | MRAE | Parameter Calculation Amount (M/Millions) |
|---|---|---|---|
| HSCNN+ | 0.0866 | 0.5472 | 4.65 |
| HRNet | 0.0815 | 0.4997 | 31.70 |
| EDSR | 0.0621 | 0.4804 | 2.42 |
| HDNet | 0.0530 | 0.3751 | 2.66 |
| MIRNet | 0.0488 | 0.3539 | 3.75 |
| MPRNet | 0.0488 | 0.3469 | 3.62 |
| MST++ | 0.0469 | 0.3385 | 1.62 |
| Ours | 0.0461 | 0.3377 | 1.62 |
| Number of SST | RMSE | MRAE | Parameter Calculation Amount (M) |
|---|---|---|---|
| N = 2 | 0.0465 | 0.3402 | 1.08 |
| N = 3 | 0.0461 | 0.3377 | 1.62 |
| N = 4 | 0.0489 | 0.3685 | 2.16 |
| N = 5 | 0.0493 | 0.3798 | 2.70 |
| Reflectance | Without Considering Illumination | With Considering Illumination | ||||||||||
|---|---|---|---|---|---|---|---|---|---|---|---|---|
| 450 nm | 490 nm | 650 nm | 750 nm | 850 nm | Avg. | 450 nm | 490 nm | 650 nm | 750 nm | 850 nm | Avg. | |
| 5% | 0.02 | 0.02 | 0.02 | 0.02 | 0.03 | 0.02 | 0.01 | 0.01 | 0.01 | 0.01 | 0.02 | 0.01 |
| 10% | 0.03 | 0.03 | 0.03 | 0.03 | 0.04 | 0.03 | 0.01 | 0.01 | 0.02 | 0.02 | 0.02 | 0.02 |
| 20% | 0.05 | 0.05 | 0.06 | 0.06 | 0.07 | 0.06 | 0.03 | 0.03 | 0.03 | 0.04 | 0.04 | 0.03 |
| 40% | 0.03 | 0.04 | 0.05 | 0.05 | 0.05 | 0.04 | 0.02 | 0.02 | 0.03 | 0.03 | 0.03 | 0.03 |
| 50% | 0.06 | 0.06 | 0.08 | 0.09 | 0.08 | 0.07 | 0.03 | 0.04 | 0.05 | 0.05 | 0.05 | 0.04 |
| Reflectance | 450 nm | 490 nm | 650 nm | 750 nm | 850 nm | Avg. |
|---|---|---|---|---|---|---|
| 5% | 0.05 | 0.06 | 0.06 | 0.05 | 0.05 | 0.05 |
| 10% | 0.06 | 0.06 | 0.07 | 0.05 | 0.07 | 0.06 |
| 20% | 0.07 | 0.06 | 0.07 | 0.06 | 0.07 | 0.07 |
| 40% | 0.06 | 0.07 | 0.06 | 0.06 | 0.08 | 0.07 |
| 50% | 0.09 | 0.06 | 0.07 | 0.08 | 0.09 | 0.08 |
Disclaimer/Publisher’s Note: The statements, opinions and data contained in all publications are solely those of the individual author(s) and contributor(s) and not of MDPI and/or the editor(s). MDPI and/or the editor(s) disclaim responsibility for any injury to people or property resulting from any ideas, methods, instructions or products referred to in the content. |
© 2025 by the authors. Licensee MDPI, Basel, Switzerland. This article is an open access article distributed under the terms and conditions of the Creative Commons Attribution (CC BY) license (https://creativecommons.org/licenses/by/4.0/).
Share and Cite
Song, L.; Li, H. Multi-Level Spectral Attention Network for Hyperspectral BRDF Reconstruction from Multi-Angle Multi-Spectral Images. Remote Sens. 2025, 17, 863. https://doi.org/10.3390/rs17050863
Song L, Li H. Multi-Level Spectral Attention Network for Hyperspectral BRDF Reconstruction from Multi-Angle Multi-Spectral Images. Remote Sensing. 2025; 17(5):863. https://doi.org/10.3390/rs17050863
Chicago/Turabian StyleSong, Liyao, and Haiwei Li. 2025. "Multi-Level Spectral Attention Network for Hyperspectral BRDF Reconstruction from Multi-Angle Multi-Spectral Images" Remote Sensing 17, no. 5: 863. https://doi.org/10.3390/rs17050863
APA StyleSong, L., & Li, H. (2025). Multi-Level Spectral Attention Network for Hyperspectral BRDF Reconstruction from Multi-Angle Multi-Spectral Images. Remote Sensing, 17(5), 863. https://doi.org/10.3390/rs17050863

