Dam Deformation Data Preprocessing with Optimized Variational Mode Decomposition and Kernel Density Estimation
Abstract
1. Introduction
- (1)
- A novel framework based on the envelope function and Parallel Jaya (PJaya) algorithm is proposed to optimize the key parameters of VMD.
- (2)
- Sample entropy and the Pearson correlation coefficient are selected as hybrid discriminating indicators to distinguish the high-frequency Intrinsic Mode Functions (IMFs) obtained by OVMD.
- (3)
- KDE is employed to identify the outlier information concealed within the extracted high-frequency IMFs, while data denoising is accomplished by the superposition of the remaining low-frequency IMFs.
2. Methods
2.1. Optimized Variational Mode Decomposition
2.1.1. Variational Mode Decomposition
- (1)
- Set the mode number and the penalty parameter , the initialize modal functions , the center frequency , and the Lagrange multiplier . Let .
- (2)
- Let , update and in accordance with Equations (3) and (4).
- (3)
- Update , where is the noise threshold parameter in the deformation monitoring sequence.
- (4)
- For constraint , terminate the loop () once is satisfied. Otherwise, re-execute step (2).
2.1.2. PJaya Algorithm
2.1.3. Optimize the VMD Parameters Using the PJaya Algorithm
2.2. Kernel Density Estimation
2.3. Discriminating Indicators
2.3.1. Sample Entropy
2.3.2. Pearson Correlation Coefficient
2.4. Model Implementation
- (1)
- Parameter optimization: Input the deformation monitoring data and calculate the optimal parameter combinations of VMD using the average envelope entropy objective function and Parallel Jaya algorithm.
- (2)
- Data decomposition: The optimized VMD algorithm with parameter optimization is used to decompose the original deformation data to obtain sets of IMFs, from low frequency to high frequency in order of IMF1~IMFk.
- (3)
- Mode screening: Calculate the sample entropy and Pearson’s correlation coefficient of each IMF and obtain a group of high-frequency modes by setting the threshold discrimination.
- (4)
- Outliers identification: Sum up the high-frequency IMFs to get a new set of reconstructed sequences. The PDF of the reconstructed sequence is estimated using KDE, and the threshold is set by . Any data with a density below this threshold is eliminated.
- (5)
- Data denoising: Sum up the remaining IMFs to get a new denoised sequence, thereby achieving data noise reduction.
3. Case Study
3.1. Case Study 1: Preprocessing of the Simulated Deformation Data
3.2. Case Study 2: Preprocessing of the Measured Dam Horizontal Deformation
4. Conclusions
- (1)
- The proposed method utilizes the average envelope entropy as the objective function and leverages a PJaya algorithm to optimize the number of decomposition modes adaptively and the penalty parameter . This approach addresses the limitations associated with manual parameter selection and mitigates the risks of over- and under-decomposition of the deformation data.
- (2)
- By employing sample entropy and the correlation coefficient as discriminant indicators, the proposed method can accurately identify high-frequency mode functions. Additionally, outliers in residual high-frequency mode functions are effectively located through kernel density estimation, facilitating precise localization and identification of outliers in dam deformation data.
- (3)
- By superimposing low- and medium-frequency mode functions, the obtained preprocessed data effectively eliminates noise from the original dataset. The efficacy and superiority of the proposed data preprocessing method have been validated through multiple evaluation metrics and comparisons with other signal decomposition-based approaches, including standard VMD, EMD, and EEMD.
- (1)
- Develop a robust data preprocessing framework for denoising dam deformation data, even with incomplete datasets. Additionally, extend the application of the proposed preprocessing method to analyze other types of dam monitoring data, including but not limited to seepage pressure, stress distribution, and temperature gradients.
- (2)
- The proposed method is currently designed for data preprocessing and quality control, not real-time monitoring and anomaly detection. Future research should focus on integrating the preprocessing method with real-time warning systems to improve anomaly detection performance in dam safety monitoring.
Author Contributions
Funding
Data Availability Statement
Conflicts of Interest
References
- Seyed-Kolbadi, S.M.; Hariri-Ardebili, M.A.; Mirtaheri, M.; Pourkamali-Anaraki, F. Instrumented Health Monitoring of an Earth Dam. Infrastructures 2020, 5, 26. [Google Scholar] [CrossRef]
- Hariri-Ardebili, M.A.; Mahdavi, G.; Nuss, L.K.; Lall, U. The role of artificial intelligence and digital technologies in dam engineering: Narrative review and outlook. Eng. Appl. Artif. Intell. 2023, 126, 6813. [Google Scholar] [CrossRef]
- Li, Z.; Dai, J.; Huang, D.; Wen, Z.; Li, H.; Wang, Z.; Kang, R. Application and prospects of satellite remote sensing monitoring technology in water conservancy projects. Adv. Water Sci. 2023, 34, 798–811. [Google Scholar] [CrossRef]
- Scaioni, M.; Marsella, M.; Crosetto, M.; Tornatore, V.; Wang, J. Geodetic and Remote-Sensing Sensors for Dam Deformation Monitoring. Sensors 2018, 18, 3682. [Google Scholar] [CrossRef]
- Barzaghi, R.; Cazzaniga, N.; De Gaetani, C.; Pinto, L.; Tornatore, V. Estimating and Comparing Dam Deformation Using Classical and GNSS Techniques. Sensors 2018, 18, 756. [Google Scholar] [CrossRef]
- Deng, Z.; Gao, Q.; Huang, M.; Wan, N.; Zhang, J.; He, Z. From data processing to behavior monitoring: A comprehensive overview of dam health monitoring technology. Structures 2025, 71, 108094. [Google Scholar] [CrossRef]
- Li, B.; Yang, J.; Hu, D.X. Dam monitoring data analysis methods: A literature review. Struct. Control Health Monit. 2019, 27, e2501. [Google Scholar] [CrossRef]
- Fontana, M.; Bernardi, M.S.; Cigna, F.; Tapete, D.; Menafoglio, A.; Vantini, S. Identification of Precursors in InSAR Time Series Using Functional Data Analysis Post-Processing: Demonstration on Mud Volcano Eruptions. Remote Sens. 2024, 16, 1191. [Google Scholar] [CrossRef]
- Erdogan, H. The Effects of Additive Outliers on Time Series Components and Robust Estimation: A Case Study on the Oymapinar Dam, Turkey. Exp. Tech. 2012, 36, 39–52. [Google Scholar] [CrossRef]
- Yuen, K.-V.; Ortiz, G.A. Outlier detection and robust regression for correlated data. Comput. Methods Appl. Mech. Eng. 2017, 313, 632–646. [Google Scholar] [CrossRef]
- Li, X.; Li, Y.L.; Lu, X.; Wang, Y.F.; Zhang, H.; Zhang, P. An online anomaly recognition and early warning model for dam safety monitoring data. Struct. Health Monit. 2020, 19, 796–809. [Google Scholar] [CrossRef]
- Lin, C.; Chen, S.; Hariri-Ardebili, M.A.; Li, T. An Explainable Probabilistic Model for Health Monitoring of Concrete Dam via Optimized Sparse Bayesian Learning and Sensitivity Analysis. Struct. Control Health Monit. 2023, 2023, 2979822. [Google Scholar] [CrossRef]
- Chen, S.; Gu, C.; Lin, C.; Wang, Y.; Hariri-Ardebili, M.A. Prediction, monitoring, and interpretation of dam leakage flow via adaptative kernel extreme learning machine. Measurement 2020, 166, 108161. [Google Scholar] [CrossRef]
- Zheng, D.J.; Li, X.Q.; Yang, M.; Su, H.Z.; Gu, C.S. Copula entropy and information diffusion theory-based newprediction method for high dam monitoring. Earthq. Struct. 2018, 14, 143–153. [Google Scholar]
- Ren, Q.; Li, M.; Kong, R.; Shen, Y.; Du, S.L. A hybrid approach for interval prediction of concrete dam displacements under uncertain conditions. Eng. Comput. 2021, 39, 1285–1303. [Google Scholar] [CrossRef]
- Gu, C.; Wu, B.; Chen, Y. A High-Robust Displacement Prediction Model for Super-High Arch Dams Integrating Wavelet De-Noising and Improved Random Forest. Water 2023, 15, 1271. [Google Scholar] [CrossRef]
- Jia, D.; Yang, J.; Sheng, G. Dam deformation prediction model based on the multiple decomposition and denoising methods. Measurement 2024, 238, 115268. [Google Scholar] [CrossRef]
- Mata, J.; Tavares de Castro, A.; Sá da Costa, J. Time–frequency analysis for concrete dam safety control: Correlation between the daily variation of structural response and air temperature. Eng. Struct. 2013, 48, 658–665. [Google Scholar] [CrossRef]
- Huang, N.E.; Shen, Z.; Long, S.R.; Wu, M.C.; Shih, H.H.; Zheng, Q.; Yen, N.-C.; Tung, C.C.; Liu, H.H. The empirical mode decomposition and the Hilbert spectrum for nonlinear and non-stationary time series analysis. Proc. R. Soc. Lond. Ser. A Math. Phys. Eng. Sci. 1998, 454, 903–995. [Google Scholar] [CrossRef]
- Zhang, Z.; Gu, C.; Bao, T.; Zhang, L.; Yu, H. Application analysis of empirical mode decomposition and phase space reconstruction in dam time-varying characteristic. Sci. China-Technol. Sci. 2010, 53, 1711–1716. [Google Scholar] [CrossRef]
- Bian, K.; Wu, Z.Y. Data-based model with EMD and a new model selection criterion for dam health monitoring. Eng. Struct. 2022, 260, 114171. [Google Scholar] [CrossRef]
- Wu, Z.; Huang, N.E. Ensemble Empirical Mode Decomposition: A Noise-Assisted Data Analysis Method. Adv. Adapt. Data Anal. 2009, 1, 1–41. [Google Scholar] [CrossRef]
- Su, H.; Li, H.; Chen, Z.; Wen, Z. An approach using ensemble empirical mode decomposition to remove noise from prototypical observations on dam safety. Springerplus 2016, 5, 650. [Google Scholar] [CrossRef] [PubMed]
- Li, B.; Zhang, L.; Zhang, Q.; Yang, S. An EEMD-Based Denoising Method for Seismic Signal of High Arch Dam Combining Wavelet with Singular Spectrum Analysis. Shock Vib. 2019, 2019, 4937595. [Google Scholar] [CrossRef]
- Guo, T.; Zhang, T.; Lim, E.; Lopez-Benitez, M.; Ma, F.; Yu, L. A Review of Wavelet Analysis and Its Applications: Challenges and Opportunities. IEEE Access 2022, 10, 58869–58903. [Google Scholar] [CrossRef]
- Dragomiretskiy, K.; Zosso, D. Variational Mode Decomposition. IEEE Trans. Signal Process. 2014, 62, 531–544. [Google Scholar] [CrossRef]
- Chen, H.; Lu, T.; Huang, J.; He, X.; Yu, K.; Sun, X.; Ma, X.; Huang, Z. An Improved VMD-LSTM Model for Time-Varying GNSS Time Series Prediction with Temporally Correlated Noise. Remote Sens. 2023, 15, 3694. [Google Scholar] [CrossRef]
- Zhiyao, L.; Yong, D.; Denghua, L. Coupling VMD and MSSA denoising for dam deformation prediction. Structures 2023, 58, 105503. [Google Scholar] [CrossRef]
- Wang, H.; Ao, Y.; Wang, C.; Zhang, Y.; Zhang, X. A dynamic prediction model of landslide displacement based on VMD-SSO-LSTM approach. Sci. Rep. 2024, 14, 9203. [Google Scholar] [CrossRef]
- Li, H.; Liu, T.; Wu, X.; Chen, Q. An optimized VMD method and its applications in bearing fault diagnosis. Measurement 2020, 166, 108185. [Google Scholar] [CrossRef]
- Jin, Z.; He, D.; Wei, Z. Intelligent fault diagnosis of train axle box bearing based on parameter optimization VMD and improved DBN. Eng. Appl. Artif. Intell. 2022, 110, 104713. [Google Scholar] [CrossRef]
- Li, Z.; Chen, J.; Zi, Y.; Pan, J. Independence-oriented VMD to identify fault feature for wheel set bearing fault diagnosis of high speed locomotive. Mech. Syst. Signal Process. 2017, 85, 512–529. [Google Scholar] [CrossRef]
- Xin, J.; Jiang, Y.; Zhou, J.; Peng, L.; Liu, S.; Tang, Q. Bridge deformation prediction based on SHM data using improved VMD and conditional KDE. Eng. Struct. 2022, 261, 114285. [Google Scholar] [CrossRef]
- Civera, M.; Surace, C. A Comparative Analysis of Signal Decomposition Techniques for Structural Health Monitoring on an Experimental Benchmark. Sensors 2021, 21, 1825. [Google Scholar] [CrossRef] [PubMed]
- Rao, R. Jaya: A simple and new optimization algorithm for solving constrained and unconstrained optimization problems. Int. J. Ind. Eng. Comput. 2016, 7, 19–34. [Google Scholar]
- Lei, W.; Wang, G.; Wan, B.; Min, Y.; Wu, J.; Li, B. High voltage shunt reactor acoustic signal denoising based on the combination of VMD parameters optimized by coati optimization algorithm and wavelet threshold. Measurement 2024, 224, 113854. [Google Scholar] [CrossRef]
- Richman, J.S.; Moorman, J.R. Physiological time-series analysis using approximate entropy and sample entropy. Am. J. Physiol. Heart Circ. Physiol. 2000, 278, 2039–2049. [Google Scholar] [CrossRef]
- Delgado-Bonal, A.; Marshak, A. Approximate Entropy and Sample Entropy: A Comprehensive Tutorial. Entropy 2019, 21, 541. [Google Scholar] [CrossRef]
- Chen, S.; Gu, C.; Lin, C.; Hariri-Ardebili, M.A. Prediction of arch dam deformation via correlated multi-target stacking. Appl. Math. Model. 2021, 91, 1175–1193. [Google Scholar] [CrossRef]
- Gu, C.; Wu, Z. Safety Monitoring of Dams and Dam Foundations-Theories & Methods and Their Application; Hohai University Press: Nanjing, China, 2006. [Google Scholar]
- Mata, J. Interpretation of concrete dam behaviour with artificial neural network and multiple linear regression models. Eng. Struct. 2011, 33, 903–910. [Google Scholar] [CrossRef]
- Salazar, F.; Morán, R.; Toledo, M.A.; Oñate, E. Data-Based Models for the Prediction of Dam Behaviour: A Review and Some Methodological Considerations. Arch. Comput. Methods Eng. 2015, 24, 1–21. [Google Scholar] [CrossRef]
- Shi, Y.; Yang, J.; Wu, J.; He, J. A statistical model of deformation during the construction of a concrete face rockfill dam. Struct. Control Health Monit. 2018, 25, e2074. [Google Scholar] [CrossRef]
- Prakash, G.; Sadhu, A.; Narasimhan, S.; Brehe, J.M. Initial service life data towards structural health monitoring of a concrete arch dam. Struct. Control Health Monit. 2018, 25, e2036. [Google Scholar] [CrossRef]
- Lin, C.; Li, T.; Chen, S.; Yuan, L.; van Gelder, P.H.A.J.M.; Yorke-Smith, N. Long-term viscoelastic deformation monitoring of a concrete dam: A multi-output surrogate model approach for parameter identification. Eng. Struct. 2022, 266, 114553. [Google Scholar] [CrossRef]










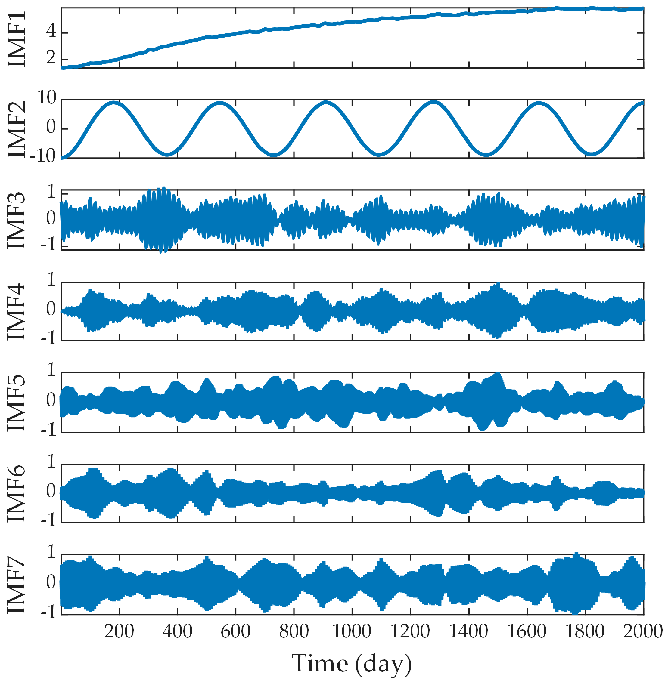
| Discriminating Indicators | IMF1 | IMF2 | IMF3 | IMF4 | IMF5 | IMF6 | IMF7 |
|---|---|---|---|---|---|---|---|
| SE | 0.0066 | 0.0387 | 0.5945 | 0.5372 | 0.2776 | 0.4496 | 0.5874 |
| 0.2069 | 0.9639 | 0.0337 | 0.0436 | 0.0375 | 0.0464 | 0.0380 |
| Method | OVMD | VMD | EMD | EEMD |
|---|---|---|---|---|
| SNR | 34.5875 | 30.2050 | 28.6438 | 31.7735 |
| Parameters | GNSS-1 | GNSS-2 | GNSS-3 | GNSS-4 |
|---|---|---|---|---|
| () |
| Point Number | Discriminating Indicators | IMF1 | IMF2 | IMF3 | IMF4 | IMF5 |
|---|---|---|---|---|---|---|
| GNSS-1 | SE | 0.0214 | 0.1911 | 0.5123 | 0.4493 | 0.5795 |
| 0.9707 | 0.2472 | 0.1075 | 0.1077 | 0.0936 | ||
| GNSS-2 | SE | 0.0198 | 0.0963 | 0.3128 | 0.4633 | 0.2552 |
| 0.9531 | 0.3479 | 0.1559 | 0.0913 | 0.0877 | ||
| GNSS-3 | SE | 0.0158 | 0.1512 | 0.3039 | 0.3495 | / |
| 0.9736 | 0.2580 | 0.0952 | 0.0749 | / | ||
| GNSS-4 | SE | 0.0184 | 0.1229 | 0.3954 | 0.3299 | / |
| 0.9709 | 0.2701 | 0.0853 | 0.0683 | / |
| Scenarios | Metrics | OVMD | VMD | EMD | EEMD |
|---|---|---|---|---|---|
| GNSS-1 | SER | 0.9683 | 0.9562 | 0.9163 | 0.9518 |
| 0.9859 | 0.9814 | 0.9829 | 0.9756 | ||
| GNSS-2 | SER | 0.9596 | 0.9580 | 0.8473 | 0.9458 |
| 0.9833 | 0.9822 | 0.9699 | 0.9772 | ||
| GNSS-3 | SER | 0.9788 | 0.9706 | 0.9767 | 0.9633 |
| 0.9895 | 0.9871 | 0.9821 | 0.9854 | ||
| GNSS-4 | SER | 0.9829 | 0.9661 | 0.9273 | 0.9704 |
| 0.9885 | 0.9855 | 0.9843 | 0.9855 |
Disclaimer/Publisher’s Note: The statements, opinions and data contained in all publications are solely those of the individual author(s) and contributor(s) and not of MDPI and/or the editor(s). MDPI and/or the editor(s) disclaim responsibility for any injury to people or property resulting from any ideas, methods, instructions or products referred to in the content. |
© 2025 by the authors. Licensee MDPI, Basel, Switzerland. This article is an open access article distributed under the terms and conditions of the Creative Commons Attribution (CC BY) license (https://creativecommons.org/licenses/by/4.0/).
Share and Cite
Chen, S.; Lin, C.; Gu, Y.; Sheng, J.; Hariri-Ardebili, M.A. Dam Deformation Data Preprocessing with Optimized Variational Mode Decomposition and Kernel Density Estimation. Remote Sens. 2025, 17, 718. https://doi.org/10.3390/rs17040718
Chen S, Lin C, Gu Y, Sheng J, Hariri-Ardebili MA. Dam Deformation Data Preprocessing with Optimized Variational Mode Decomposition and Kernel Density Estimation. Remote Sensing. 2025; 17(4):718. https://doi.org/10.3390/rs17040718
Chicago/Turabian StyleChen, Siyu, Chaoning Lin, Yanchang Gu, Jinbao Sheng, and Mohammad Amin Hariri-Ardebili. 2025. "Dam Deformation Data Preprocessing with Optimized Variational Mode Decomposition and Kernel Density Estimation" Remote Sensing 17, no. 4: 718. https://doi.org/10.3390/rs17040718
APA StyleChen, S., Lin, C., Gu, Y., Sheng, J., & Hariri-Ardebili, M. A. (2025). Dam Deformation Data Preprocessing with Optimized Variational Mode Decomposition and Kernel Density Estimation. Remote Sensing, 17(4), 718. https://doi.org/10.3390/rs17040718

