Extracting Features from Oblique Ground-Based Multispectral Images for Monitoring Cotton Physiological Response to Nitrogen Treatments
Abstract
1. Introduction
2. Materials and Methods
2.1. Experimental Setup
2.2. Platform Description
2.3. Band Alignment
2.4. Plant Height Estimation
2.5. Vertical Plant Canopy Segmentation and Spectral Analysis
3. Results
3.1. Perspective Correction and Plant Height Estimation
3.2. Image Alignment Quality Analysis
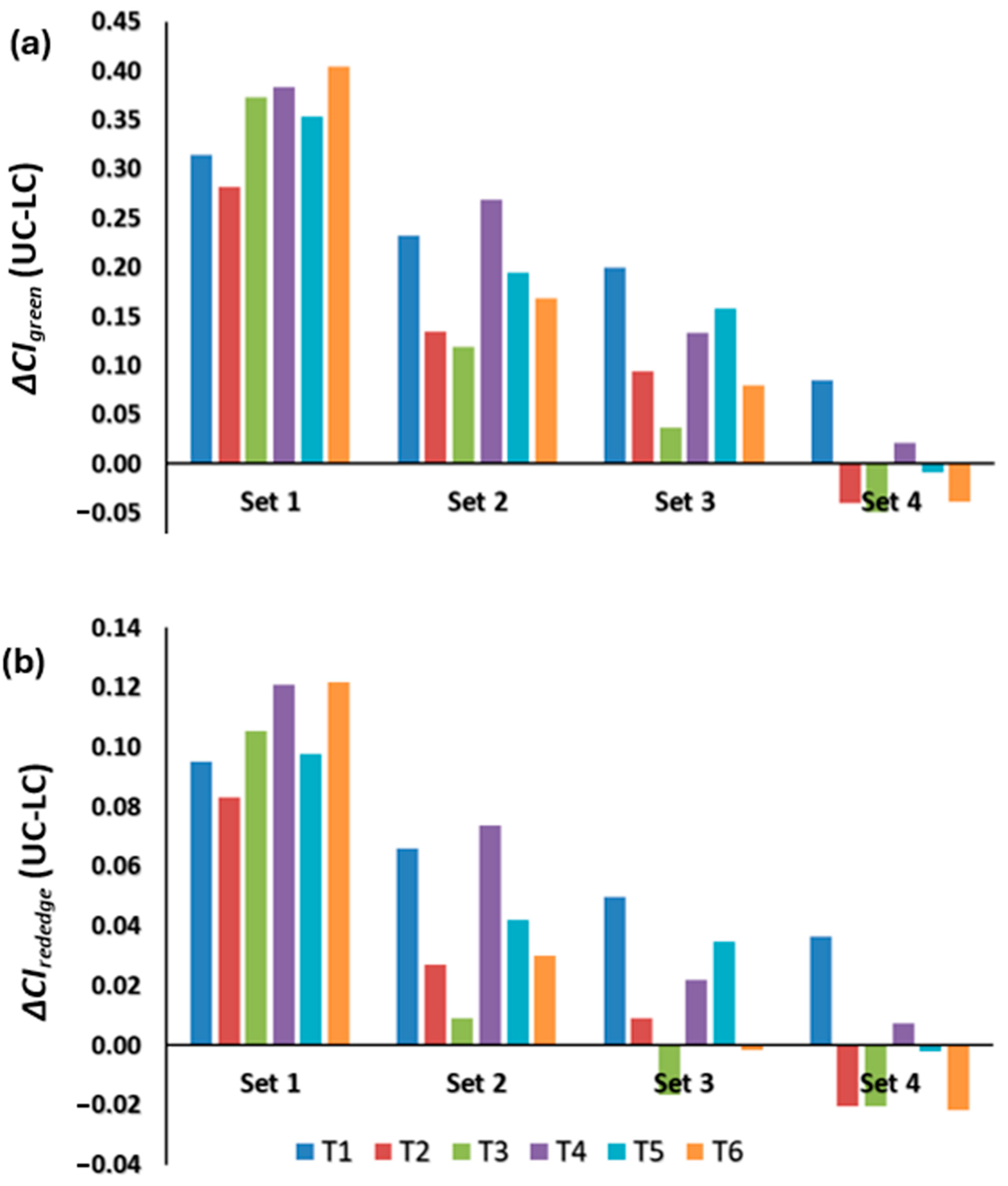
3.3. Plant Canopy Segmentation and Spectral Analysis
4. Discussion
5. Summary and Conclusions
Author Contributions
Funding
Data Availability Statement
Acknowledgments
Conflicts of Interest
References
- Alexopoulos, A.; Koutras, K.; Ali, S.B.; Puccio, S.; Carella, A.; Ottaviano, R.; Kalogeras, A. Complementary use of ground-based proximal sensing and airborne/spaceborne remote sensing techniques in precision agriculture: A systematic review. Agronomy 2023, 13, 1942. [Google Scholar] [CrossRef]
- Sui, R.; Thomasson, J.A. Ground-based sensing system for cotton nitrogen status determination. Trans. ASABE 2006, 49, 1983–1991. [Google Scholar] [CrossRef]
- Jin, X.; Zarco-Tejada, P.J.; Schmidhalter, U.; Reynolds, M.P.; Hawkesford, M.J.; Varshney, R.K.; Yang, T.; Nie, C.; Li, Z.; Ming, B.; et al. High-throughput estimation of crop traits: A review of ground and aerial phenotyping platforms. IEEE Geosci. Remote Sens. Mag. 2020, 9, 200–231. [Google Scholar] [CrossRef]
- Mueller-Sim, T.; Jenkins, M.; Abel, J.; Kantor, G. The Robotanist: A ground-based agricultural robot for high-throughput crop phenotyping. In Proceedings of the 2017 IEEE International Conference on Robotics and Automation (ICRA), Singapore, 29 May–3 June 2017; IEEE: Piscataway, NJ, USA, 2017. [Google Scholar]
- Jiang, Y.; Li, C.; Robertson, J.S.; Sun, S.; Xu, R.; Paterson, A.H. GPhenoVision: A ground mobile system with multi-modal imaging for field-based high throughput phenotyping of cotton. Sci. Rep. 2018, 8, 1213. [Google Scholar] [CrossRef]
- Issac, A.; Ebrahimi, A.; Velni, J.M.; Rains, G. Development and Deployment of a Big Data Pipeline for Field-based High-throughput Cotton Phenotyping Data. Smart Agric. Technol. 2023, 5, 100265. [Google Scholar] [CrossRef]
- Antonucci, F.; Costa, C.; Figorilli, S.; Ortenzi, L.; Manganiello, R.; Santangelo, E.; Gierz, Ł.; Pallottino, F. A Low-Cost Sensorized Vehicle for In-Field Crop Phenotyping. Appl. Sci. 2023, 13, 2436. [Google Scholar] [CrossRef]
- Hu, C.; Xie, S.; Song, D.; Thomasson, J.A.; Hardin, I.V.R.G.; Bagavathiannan, M. Algorithm and system development for robotic micro-volume herbicide spray towards precision weed management. IEEE Robot. Autom. Lett. 2022, 7, 11633–11640. [Google Scholar] [CrossRef]
- Xiong, Y.; Ge, Y.; Grimstad, L.; From, P.J. An autonomous strawberry-harvesting robot: Design, development, integration, and field evaluation. J. Field Robot. 2020, 37, 202–224. [Google Scholar] [CrossRef]
- Lowe, D.G. Object recognition from local scale-invariant features. In Proceedings of the Seventh IEEE International Conference on Computer Vision, Kerkyra, Greece, 20–27 September 1999; IEEE: Piscataway, NJ, USA, 1999. [Google Scholar]
- Karami, E.; Prasad, S.; Shehata, M. Image matching using SIFT, SURF, BRIEF and ORB: Performance comparison for distorted images. arXiv 2017, arXiv:1710.02726. [Google Scholar]
- Tareen, S.A.K.; Saleem, Z. A comparative analysis of sift, surf, kaze, akaze, orb, and brisk. In Proceedings of the 2018 International Conference on Computing, Mathematics and Engineering Technologies (iCoMET), Sukkur, Pakistan, 3–4 March 2018; IEEE: Piscataway, NJ, USA, 2018. [Google Scholar]
- Dong, J.; Burnham, J.G.; Boots, B.; Rains, G.; Dellaert, F. 4D crop monitoring: Spatio-temporal reconstruction for agriculture. In Proceedings of the 2017 IEEE International Conference on Robotics and Automation (ICRA), Singapore, 29 May–3 June 2017; IEEE: Piscataway, NJ, USA, 2017. [Google Scholar]
- Islam, R.; Habibullah, H.; Hossain, T. AGRI-SLAM: A real-time stereo visual SLAM for agricultural environment. Auton. Robot. 2023, 47, 649–668. [Google Scholar] [CrossRef]
- Yun, C.; Kim, H.; Jeon, C.; Gang, M.; Lee, W.S.; Han, J.G. Stereovision-based ridge-furrow detection and tracking for auto-guided cultivator. Comput. Electron. Agric. 2021, 191, 106490. [Google Scholar] [CrossRef]
- Kim, W.; Lee, D.; Kim, Y.; Kim, T.; Lee, W.; Choi, C. Stereo-vision-based crop height estimation for agricultural robots. Comput. Electron. Agric. 2021, 181, 105937. [Google Scholar] [CrossRef]
- Bao, Y.; Tang, L.; Breitzman, M.W.; Salas Fernandez, M.G.; Schnable, P.S. Field-based robotic phenotyping of sorghum plant architecture using stereo vision. J. Field Robot. 2019, 36, 397–415. [Google Scholar] [CrossRef]
- Wei, Z.; Jung, C.; Su, C. RegiNet: Gradient guided multispectral image registration using convolutional neural networks. Neurocomputing 2020, 415, 193–200. [Google Scholar] [CrossRef]
- da Silva, M.V.; Silva, L.H.; Junior, J.D.D.; Escarpinati, M.C.; Backes, A.R.; Mari, J.F. Generating synthetic multispectral images using neural style transfer: A study with application in channel alignment. Comput. Electron. Agric. 2023, 206, 107668. [Google Scholar] [CrossRef]
- Olenskyj, A.G.; Sams, B.S.; Fei, Z.; Singh, V.; Raja, P.V.; Bornhorst, G.M.; Earles, J.M. End-to-end deep learning for directly estimating grape yield from ground-based imagery. Comput. Electron. Agric. 2022, 198, 107081. [Google Scholar] [CrossRef]
- Huang, Y.; Lee, M.A.; Thomson, S.J.; Reddy, K.N. Ground-based hyperspectral remote sensing for weed management in crop production. Int. J. Agric. Biol. Eng. 2016, 9, 98–109. [Google Scholar]
- Brown, J.; Sukkarieh, S. Improving monocular depth prediction in ambiguous scenes using a single range measurement. IFAC-PapersOnLine 2019, 52, 355–360. [Google Scholar] [CrossRef]
- Gutiérrez, S.; Wendel, A.; Underwood, J. Ground based hyperspectral imaging for extensive mango yield estimation. Comput. Electron. Agric. 2019, 157, 126–135. [Google Scholar] [CrossRef]
- Tanaka, Y.; Watanabe, T.; Katsura, K.; Tsujimoto, Y.; Takai, T.; Tanaka, T.S.T.; Kawamura, K.; Saito, H.; Homma, K.; Mairoua, S.G.; et al. Deep learning enables instant and versatile estimation of rice yield using ground-based RGB images. Plant Phenomics 2023, 5, 0073. [Google Scholar] [CrossRef]
- Sethy, P.K.; Barpanda, N.K.; Rath, A.K.; Behera, S.K. Nitrogen deficiency prediction of rice crop based on convolutional neural network. J. Ambient. Intell. Humaniz. Comput. 2020, 11, 5703–5711. [Google Scholar] [CrossRef]
- Zhao, G.; Cai, W.; Wang, Z.; Wu, H.; Peng, Y.; Cheng, L. Phenotypic parameters estimation of plants using deep learning-based 3-D reconstruction from single RGB image. IEEE Geosci. Remote Sens. Lett. 2022, 19, 1–5. [Google Scholar] [CrossRef]
- Cui, X.; Feng, Q.; Wang, S.; Zhang, J. Monocular depth estimation with self-supervised learning for vineyard unmanned agricultural vehicle. Sensors 2022, 22, 721. [Google Scholar] [CrossRef] [PubMed]
- Ranftl, R.; Bochkovskiy, A.; Koltun, V. Vision transformers for dense prediction. arXiv 2021, arXiv:2103.13413. [Google Scholar]
- Ranftl, R.; Lasinger, K.; Hafner, D.; Schindler, K.; Koltun, V. Towards robust monocular depth estimation: Mixing datasets for zero-shot cross-dataset transfer. IEEE Trans. Pattern Anal. Mach. Intell. 2020, 44, 1623–1637. [Google Scholar] [CrossRef] [PubMed]
- Zhao, C.; Zhang, Y.; Poggi, M.; Tosi, F.; Guo, X.; Zhu, Z.; Huang, G.; Tang, Y.; Mattoccia, S. Monovit: Self-supervised monocular depth estimation with a vision transformer. In Proceedings of the 2022 International Conference on 3D Vision (3DV), Prague, Czech Republic, 12–16 September 2022; IEEE: Piscataway, NJ, USA, 2022. [Google Scholar]
- Tangellapalli, S.A.; Sangha, H.S.; Peschel, J.; Duncan, B.A. Assessing Monocular Depth Estimation Networks for UAS Deployment in Rainforest Environments. In Proceedings of the 2024 IEEE/RSJ International Conference on Intelligent Robots and Systems (IROS), Abu Dhabi, United Arab Emirates, 14–18 October 2024; IEEE: Piscataway, NJ, USA, 2024. [Google Scholar]
- Mizuta, K.; Sato, Y.; Hayashi, J.; Toyota, M.; Morokuma, M. Canopy coverage of wheat measured with high accuracy using the HSV colour model and relative depth estimation model, MiDaS. Plant Prod. Sci. 2024, 27, 294–303. [Google Scholar] [CrossRef]
- Gharakhani, H.; Thomasson, J.A.; Nematzadeh, P.; Yadav, P.K.; Hague, S. Using under-canopy cotton imagery for cotton variety classification. In Proceedings of the Autonomous Air and Ground Sensing Systems for Agricultural Optimization and Phenotyping VII, Orlando, FL, USA, 3–7 April 2022; SPIE: Philadelphia, PA, USA, 2022. [Google Scholar]
- Xiao, S.; Ye, Y.; Fei, S.; Chen, H.; Cai, Z.; Che, Y.; Wang, Q.; Ghafoor, A.; Bi, K.; Shao, K.; et al. High-throughput calculation of organ-scale traits with reconstructed accurate 3D canopy structures using a UAV RGB camera with an advanced cross-circling oblique route. ISPRS J. Photogramm. Remote Sens. 2023, 201, 104–122. [Google Scholar] [CrossRef]
- Zhu, B.; Zhang, Y.; Sun, Y.; Shi, Y.; Ma, Y.; Guo, Y. Quantitative estimation of organ-scale phenotypic parameters of field crops through 3D modeling using extremely low altitude UAV images. Comput. Electron. Agric. 2023, 210, 107910. [Google Scholar] [CrossRef]
- Che, Y.; Wang, Q.; Xie, Z.; Zhou, L.; Li, S.; Hui, F.; Wang, X.; Li, B.; Ma, Y. Estimation of maize plant height and leaf area index dynamics using an unmanned aerial vehicle with oblique and nadir photography. Ann. Bot. 2020, 126, 765–773. [Google Scholar] [CrossRef]
- Li, M.; Shamshiri, R.R.; Schirrmann, M.; Weltzien, C. Impact of camera viewing angle for estimating leaf parameters of wheat plants from 3D point clouds. Agriculture 2021, 11, 563. [Google Scholar] [CrossRef]
- Hasan, M.M.; Chopin, J.P.; Laga, H.; Miklavcic, S.J. Detection and analysis of wheat spikes using convolutional neural networks. Plant Methods 2018, 14, 100. [Google Scholar] [CrossRef]
- Nelson, D.W.; Sommers, L.E. Determination of total nitrogen in plant material. Agron. J. 1973, 65, 109–112. [Google Scholar] [CrossRef]
- Evangelidis, G.D.; Psarakis, E.Z. Parametric image alignment using enhanced correlation coefficient maximization. IEEE Trans. Pattern Anal. Mach. Intell. 2008, 30, 1858–1865. [Google Scholar] [CrossRef] [PubMed]
- Mittal, A.; Moorthy, A.K.; Bovik, A.C. No-reference image quality assessment in the spatial domain. IEEE Trans. Image Process. 2012, 21, 4695–4708. [Google Scholar] [CrossRef] [PubMed]
- Liu, J.; Guo, B.; Jiang, W.; Gong, W.; Xiao, X. Epipolar rectification with minimum perspective distortion for oblique images. Sensors 2016, 16, 1870. [Google Scholar] [CrossRef] [PubMed]
- Swaminathan, V.; Thomasson, J.A.; Hardin, R.G.; Rajan, N. Selection of appropriate multispectral camera exposure settings and radiometric calibration methods for applications in phenotyping and precision agriculture. arXiv 2024, arXiv:2402.18553. [Google Scholar] [CrossRef]
- Bagnall, G.C.; Thomasson, J.A.; Yang, C.; Wang, T.; Han, X.; Sima, C.; Chang, A. Uncrewed aerial vehicle radiometric calibration: A comparison of autoexposure and fixed-exposure images. Plant Phenome J. 2023, 6, e20082. [Google Scholar] [CrossRef]














| Dataset Label | Above-Ground Camera Mounting Height (m) | Camera Pitch (°) |
|---|---|---|
| Set 1 | 2.0 | 30 |
| Set 2 | 2.0 | 55 |
| Set 3 | 3.0 | 68 |
| Set 4 | 1.5 | 70 |
| Bands | Set 1 | Set 2 | Set 3 | Set 4 |
|---|---|---|---|---|
| Blue | 133.35 | 159.45 | 141.72 | 161.59 |
| Green | 130.01 | 140.20 | 136.46 | 140.22 |
| Red | 107.28 | 118.50 | 111.08 | 117.82 |
| NIR | 136.72 | 137.77 | 142.23 | 143.62 |
Disclaimer/Publisher’s Note: The statements, opinions and data contained in all publications are solely those of the individual author(s) and contributor(s) and not of MDPI and/or the editor(s). MDPI and/or the editor(s) disclaim responsibility for any injury to people or property resulting from any ideas, methods, instructions or products referred to in the content. |
© 2025 by the authors. Licensee MDPI, Basel, Switzerland. This article is an open access article distributed under the terms and conditions of the Creative Commons Attribution (CC BY) license (https://creativecommons.org/licenses/by/4.0/).
Share and Cite
Swaminathan, V.; Thomasson, J.A.; Rajan, N.; Hardin, R.G. Extracting Features from Oblique Ground-Based Multispectral Images for Monitoring Cotton Physiological Response to Nitrogen Treatments. Remote Sens. 2025, 17, 579. https://doi.org/10.3390/rs17040579
Swaminathan V, Thomasson JA, Rajan N, Hardin RG. Extracting Features from Oblique Ground-Based Multispectral Images for Monitoring Cotton Physiological Response to Nitrogen Treatments. Remote Sensing. 2025; 17(4):579. https://doi.org/10.3390/rs17040579
Chicago/Turabian StyleSwaminathan, Vaishali, J. Alex Thomasson, Nithya Rajan, and Robert G. Hardin. 2025. "Extracting Features from Oblique Ground-Based Multispectral Images for Monitoring Cotton Physiological Response to Nitrogen Treatments" Remote Sensing 17, no. 4: 579. https://doi.org/10.3390/rs17040579
APA StyleSwaminathan, V., Thomasson, J. A., Rajan, N., & Hardin, R. G. (2025). Extracting Features from Oblique Ground-Based Multispectral Images for Monitoring Cotton Physiological Response to Nitrogen Treatments. Remote Sensing, 17(4), 579. https://doi.org/10.3390/rs17040579

