geeSSEBI: Evaluating Actual Evapotranspiration Estimated with a Google Earth Engine Implementation of S-SEBI
Abstract
1. Introduction
2. Materials and Methods
2.1. Model Structure

2.2. Hourly, Daily, and Monthly Scaling
2.3. Code Structure and Availability
2.4. Evaluation Metrics
2.5. Validation Sites and Data
3. Results
3.1. Instantaneous Timescale
3.2. Daily Timescale
3.3. Monthly Scaling
3.4. Landsat 5 Evaluation
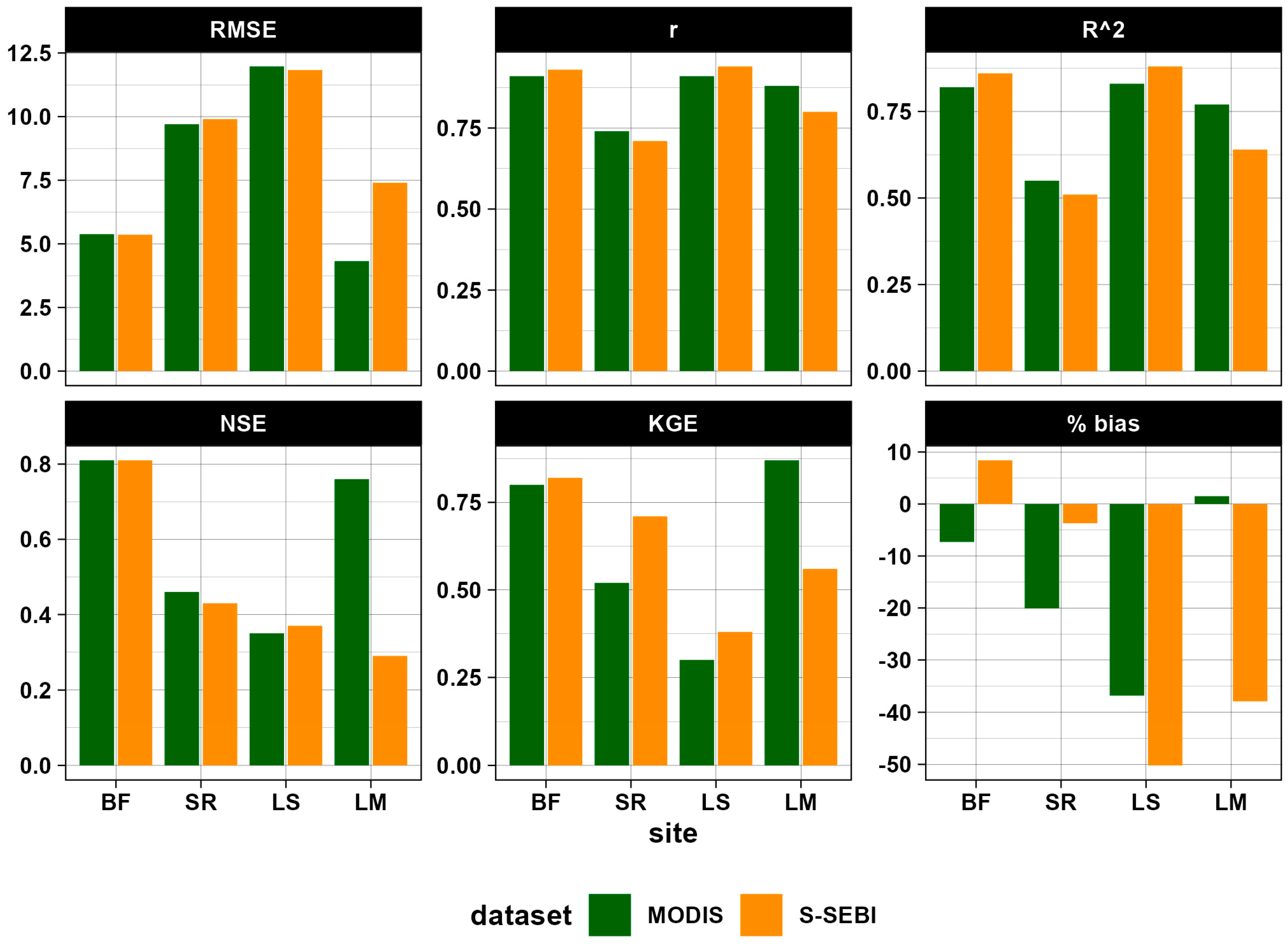
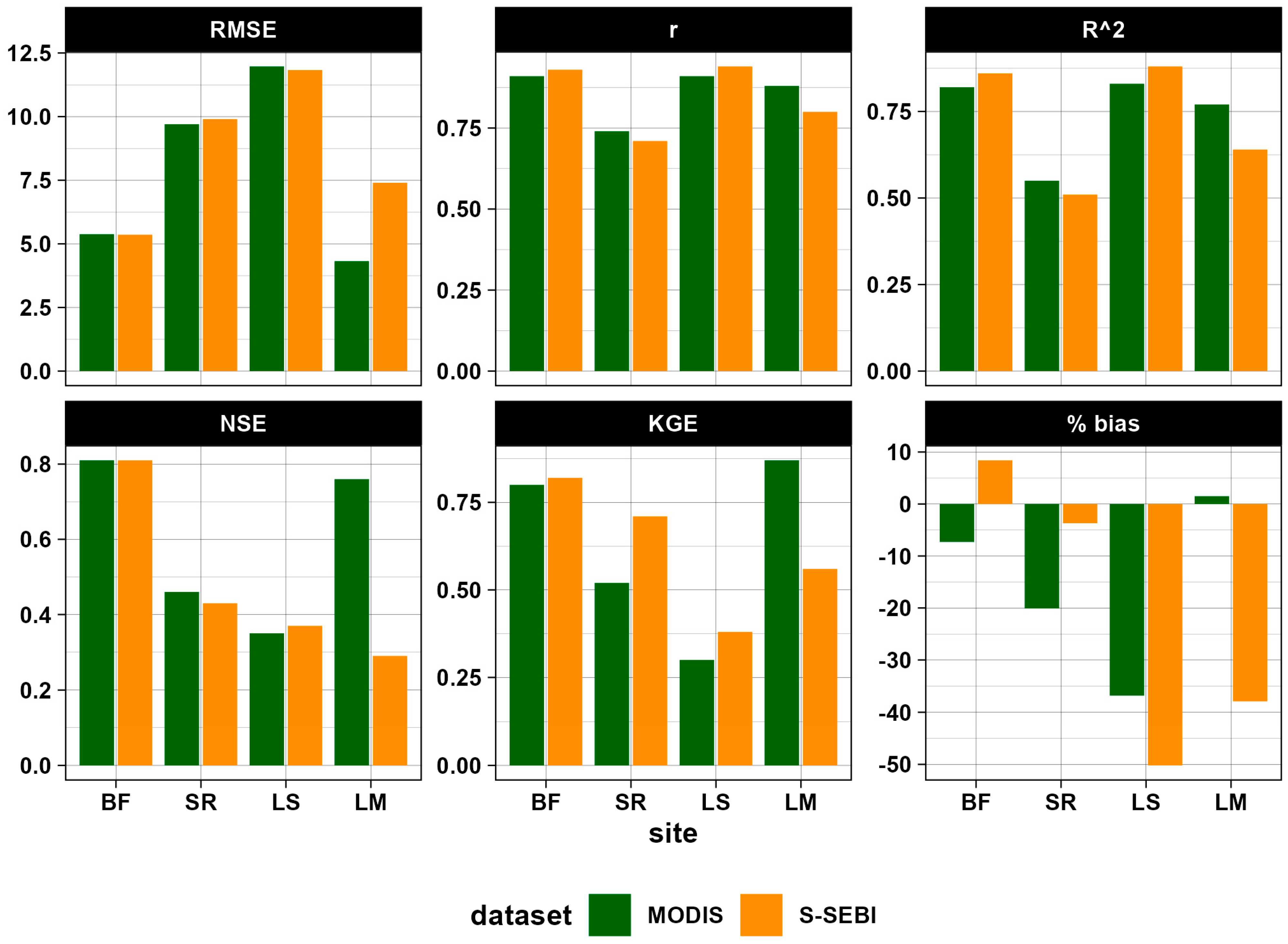
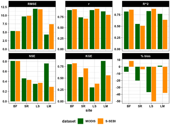
3.5. Evaluation of S-SEBI Estimates Against MODIS Evapotranspiration
4. Discussion
5. Conclusions
Supplementary Materials
Author Contributions
Funding
Data Availability Statement
Conflicts of Interest
Appendix A
Appendix B
| Function | Description | Parameter | Description |
|---|---|---|---|
| preprocessInputsL8 | Takes the first image of the date interval indicated and preprocesses the Landsat 8 level 2 image, for running the S-SEBI model. Returns an ee.Image. | startDate | Date in format ‘YYYY-MM-DD’. |
| endDate | Date in format ‘YYYY-MM-DD’. | ||
| geometry | An object of class ee.Geometry. The image will be clipped to this geometry for processing. | ||
| preprocessInputsL9 | Takes the first image of the date interval indicated and preprocesses the Landsat 9 level 2 image, for running the S-SEBI model. Returns an ee.Image. | startDate | Date in format ‘YYYY-MM-DD’. |
| endDate | Date in format ‘YYYY-MM-DD’. | ||
| geometry | An object of class ee.Geometry. The image will be clipped to that geometry for processing. | ||
| preprocessInputsL5 | Takes the first image of the date interval indicated and preprocesses the Landsat 8 level 2 image, for running the S-SEBI model. Returns an ee.Image. | startDate | Date in format ‘YYYY-MM-DD’. |
| endDate | Date in format ‘YYYY-MM-DD’. | ||
| geometry | An object of class ee.Geometry. The image will be clipped to this geometry for processing. | ||
| runSSEBI | Runs the S-SEBI model on the preprocessed data. Returns an ee.Image. See Figure 3 for bands in output. | inputs | Input image preprocessed with the preprocess functions. |
| geometry | An object of class ee.Geometry. The geometry of the study area on which to run the model. | ||
| rt | Radiation limited line threshold, a floating-point number between 0 and 1. Pixels with albedo lower than this will be ignored in the estimation of the moisture limited line. | ||
| mt | Moisture limited line threshold, a floating-point number between 0 and 1. Pixels with albedo lower than this will be ignored in the estimation of the moisture limited line. | ||
| projection | A string indicating the coordinate reference system, in which the computations will be performed, e.g., ‘EPSG:32633’ | ||
| scale | Spatial resolution at which the computation will be performed. Shall be the same as the resolution of the thermal data used. | ||
| plotSSEBI | Creates the scatterplot of LST against albedo (similar to the one in Figure 2). As in Google Earth Engine, the number of points that can be displayed is limited, this function randomly samples 1000 pixels from the map, for producing the plot. | image | The ee.Image produced by runSSEBI. |
| rg | An ee.Geometry, indicating the region of interest. Usually, the same used in runSSEBI and preprocessInputs. | ||
| prj | A string indicating the coordinate reference system, in which the computations will be performed, e.g., ‘EPSG:32633’. | ||
| scale | Spatial resolution at which the computation will be performed. Should be the same as the resolution of the thermal data used. | ||
| etHist | Creates the histogram of daily ET, based on the image in input. | image | The ee.Image produced by the runSSEBI function. |
| rg | Region of interest, specified as an ee.Geometry. | ||
| scale | Spatial resolution at which the computation will be performed. |
Appendix C
References
- Dolman, A.J.; Miralles, D.G.; Jeu, R.A.M. de Fifty Years since Monteith’s 1965 Seminal Paper: The Emergence of Global Ecohydrology. Ecohydrology 2014, 7, 897–902. [Google Scholar] [CrossRef]
- Baldocchi, D.D. How Eddy Covariance Flux Measurements Have Contributed to Our Understanding of Global Change Biology. Glob. Chang. Biol. 2020, 26, 242–260. [Google Scholar] [CrossRef]
- Baldocchi, D. Measuring Fluxes of Trace Gases and Energy between Ecosystems and the Atmosphere–the State and Future of the Eddy Covariance Method. Glob. Chang. Biol. 2014, 20, 3600–3609. [Google Scholar] [CrossRef]
- Da Costa Faria Martins, S.; dos Santos, M.A.; Lyra, G.B.; de Souza, J.L.; Lyra, G.B.; Teodoro, I.; Ferreira, F.F.; Júnior, R.A.F.; dos Santos Almeida, A.C.; de Souza, R.C. Actual Evapotranspiration for Sugarcane Based on Bowen Ratio-Energy Balance and Soil Water Balance Models with Optimized Crop Coefficients. Water Resour. Manag. 2022, 36, 4557–4574. [Google Scholar] [CrossRef]
- Perez, P.J.; Castellvi, F.; Ibañez, M.; Rosell, J.I. Assessment of Reliability of Bowen Ratio Method for Partitioning Fluxes. Agric. For. Meteorol. 1999, 97, 141–150. [Google Scholar] [CrossRef]
- Dugas, W.A.; Upchurch, D.R.; Ritchie, J.T. A Weighing Lysimeter for Evapotranspiration and Root Measurements. Agron. J. 1985, 77, 821–825. [Google Scholar] [CrossRef]
- Benli, B.; Kodal, S.; Ilbeyi, A.; Ustun, H. Determination of Evapotranspiration and Basal Crop Coefficient of Alfalfa with a Weighing Lysimeter. Agric. Water Manag. 2006, 81, 358–370. [Google Scholar] [CrossRef]
- Chen, J.M.; Liu, J. Evolution of Evapotranspiration Models Using Thermal and Shortwave Remote Sensing Data. Remote Sens. Environ. 2020, 237, 111594. [Google Scholar] [CrossRef]
- Ghilain, N.; Arboleda, A.; Gellens-Meulenberghs, F. Evapotranspiration Modelling at Large Scale Using Near-Real Time MSG SEVIRI Derived Data. Hydrol. Earth Syst. Sci. 2011, 15, 771–786. [Google Scholar] [CrossRef]
- Petropoulos, G.P.; Ireland, G.; Cass, A.; Srivastava, P.K. Performance Assessment of the SEVIRI Evapotranspiration Operational Product: Results Over Diverse Mediterranean Ecosystems. IEEE Sens. J. 2015, 15, 3412–3423. [Google Scholar] [CrossRef]
- Mu, Q.; Zhao, M.; Running, S.W. Improvements to a MODIS Global Terrestrial Evapotranspiration Algorithm. Remote Sens. Environ. 2011, 115, 1781–1800. [Google Scholar] [CrossRef]
- Martens, B.; Miralles, D.G.; Lievens, H.; Schalie, R.V.D.; Jeu, R.A.M.D.; Fernández-Prieto, D.; Beck, H.E.; Dorigo, W.A.; Verhoest, N.E.C. GLEAM v3: Satellite-Based Land Evaporation and Root-Zone Soil Moisture. Geosci. Model Dev. 2017, 10, 1903–1925. [Google Scholar] [CrossRef]
- Cheng, J.; Kustas, W.P. Using Very High Resolution Thermal Infrared Imagery for More Accurate Determination of the Impact of Land Cover Differences on Evapotranspiration in an Irrigated Agricultural Area. Remote Sens. 2019, 11, 613. [Google Scholar] [CrossRef]
- Ha, W.; Kolb, T.E.; Springer, A.E.; Dore, S.; O’Donnell, F.C.; Martinez Morales, R.; Masek Lopez, S.; Koch, G.W. Evapotranspiration Comparisons between Eddy Covariance Measurements and Meteorological and Remote-Sensing-Based Models in Disturbed Ponderosa Pine Forests. Ecohydrology 2015, 8, 1335–1350. [Google Scholar] [CrossRef]
- Anderson, M.C.; Allen, R.G.; Morse, A.; Kustas, W.P. Use of Landsat Thermal Imagery in Monitoring Evapotranspiration and Managing Water Resources. Remote Sens. Environ. 2012, 122, 50–65. [Google Scholar] [CrossRef]
- Kustas, W.; Anderson, M. Advances in Thermal Infrared Remote Sensing for Land Surface Modeling. Agric. For. Meteorol. 2009, 149, 2071–2081. [Google Scholar] [CrossRef]
- Norman, J.M.; Kustas, W.P.; Humes, K.S. Source Approach for Estimating Soil and Vegetation Energy Fluxes in Observations of Directional Radiometric Surface Temperature. Agric. For. Meteorol. 1995, 77, 263–293. [Google Scholar] [CrossRef]
- Roerink, G.; Su, Z.; Menenti, M. S-SEBI: A Simple Remote Sensing Algorithm to Estimate the Surface Energy Balance. Phys. Chem. Earth Part B Hydrol. Ocean. Atmos. 2000, 25, 147–157. [Google Scholar] [CrossRef]
- Bastiaanssen, W.G.; Menenti, M.; Feddes, R.; Holtslag, A. A Remote Sensing Surface Energy Balance Algorithm for Land (SEBAL). 1. Formulation. J. Hydrol. 1998, 212, 198–212. [Google Scholar] [CrossRef]
- Allen, R.G.; Tasumi, M.; Trezza, R. Satellite-Based Energy Balance for Mapping Evapotranspiration with Internalized Calibration (METRIC)—Model. J. Irrig. Drain. Eng. 2007, 133, 380–394. [Google Scholar] [CrossRef]
- Senay, G.B.; Bohms, S.; Singh, R.K.; Gowda, P.H.; Velpuri, N.M.; Alemu, H.; Verdin, J.P. Operational Evapotranspiration Mapping Using Remote Sensing and Weather Datasets: A New Parameterization for the SSEB Approach. JAWRA J. Am. Water Resour. Assoc. 2013, 49, 577–591. [Google Scholar] [CrossRef]
- Anderson, M.C.; Norman, J.M.; Diak, G.R.; Kustas, W.P.; Mecikalski, J.R. A Two-Source Time-Integrated Model for Estimating Surface Fluxes Using Thermal Infrared Remote Sensing. Remote Sens. Environ. 1997, 60, 195–216. [Google Scholar] [CrossRef]
- Norman, J.M.; Anderson, M.C.; Kustas, W.P.; French, A.N.; Mecikalski, J.; Torn, R.; Diak, G.R.; Schmugge, T.J.; Tanner, B.C.W. Remote Sensing of Surface Energy Fluxes at 101-m Pixel Resolutions. Water Resour. Res. 2003, 39. [Google Scholar] [CrossRef]
- Al Zayed, I.S.; Elagib, N.A.; Ribbe, L.; Heinrich, J. Satellite-Based Evapotranspiration over Gezira Irrigation Scheme, Sudan: A Comparative Study. Agric. Water Manag. 2016, 177, 66–76. [Google Scholar] [CrossRef]
- Wang, K.; Wang, P.; Li, Z.; Cribb, M.; Sparrow, M. A Simple Method to Estimate Actual Evapotranspiration from a Combination of Net Radiation, Vegetation Index, and Temperature. J. Geophys. Res. Atmos. 2007, 112. [Google Scholar] [CrossRef]
- Chirouze, J.; Boulet, G.; Jarlan, L.; Fieuzal, R.; Rodriguez, J.C.; Ezzahar, J.; Er-Raki, S.; Bigeard, G.; Merlin, O.; Garatuza-Payan, J.; et al. Intercomparison of Four Remote-Sensing-Based Energy Balance Methods to Retrieve Surface Evapotranspiration and Water Stress of Irrigated Fields in Semi-Arid Climate. Hydrol. Earth Syst. Sci. 2014, 18, 1165–1188. [Google Scholar] [CrossRef]
- Galleguillos, M.; Jacob, F.; Prévot, L.; French, A.; Lagacherie, P. Comparison of Two Temperature Differencing Methods to Estimate Daily Evapotranspiration over a Mediterranean Vineyard Watershed from ASTER Data. Remote Sens. Environ. 2011, 115, 1326–1340. [Google Scholar] [CrossRef]
- Verstraeten, W.W.; Veroustraete, F.; Feyen, J. Estimating Evapotranspiration of European Forests from NOAA-Imagery at Satellite Overpass Time: Towards an Operational Processing Chain for Integrated Optical and Thermal Sensor Data Products. Remote Sens. Environ. 2005, 96, 256–276. [Google Scholar] [CrossRef]
- Anderson, M.C.; Kustas, W.P.; Norman, J.M.; Hain, C.R.; Mecikalski, J.R.; Schultz, L.; González-Dugo, M.P.; Cammalleri, C.; D’Urso, G.; Pimstein, A.; et al. Mapping Daily Evapotranspiration at Field to Continental Scales Using Geostationary and Polar Orbiting Satellite Imagery. Hydrol. Earth Syst. Sci. 2011, 15, 223–239. [Google Scholar] [CrossRef]
- Liu, S.; Su, H.; Zhang, R.; Tian, J.; Chen, S.; Wang, W.; Yang, L.; Liang, H. Based on the Gaussian Fitting Method to Derive Daily Evapotranspiration from Remotely Sensed Instantaneous Evapotranspiration. Adv. Meteorol. 2019, 2019, 6253832. [Google Scholar] [CrossRef]
- Hall, F.G.; Huemmrich, K.F.; Goetz, S.J.; Sellers, P.J.; Nickeson, J.E. Satellite Remote Sensing of Surface Energy Balance: Success, Failures, and Unresolved Issues in FIFE. J. Geophys. Res. Atmos. 1992, 97, 19061–19089. [Google Scholar] [CrossRef]
- Anderson, M.C.; Kustas, W.P.; Alfieri, J.G.; Gao, F.; Hain, C.; Prueger, J.H.; Evett, S.; Colaizzi, P.; Howell, T.; Chávez, J.L. Mapping Daily Evapotranspiration at Landsat Spatial Scales during the BEAREX’08 Field Campaign. Adv. Water Resour. 2012, 50, 162–177. [Google Scholar] [CrossRef]
- Jackson, R.D.; Hatfield, J.L.; Reginato, R.; Idso, S.; Pinter Jr, P. Estimation of Daily Evapotranspiration from One Time-of-Day Measurements. Agric. Water Manag. 1983, 7, 351–362. [Google Scholar] [CrossRef]
- Gorelick, N.; Hancher, M.; Dixon, M.; Ilyushchenko, S.; Thau, D.; Moore, R. Google Earth Engine: Planetary-Scale Geospatial Analysis for Everyone. Remote Sens. Environ. 2017, 202, 18–27. [Google Scholar] [CrossRef]
- Melton, F.S.; Huntington, J.; Grimm, R.; Herring, J.; Hall, M.; Rollison, D.; Erickson, T.; Allen, R.; Anderson, M.; Fisher, J.B. OpenET: Filling a Critical Data Gap in Water Management for the Western United States. JAWRA J. Am. Water Resour. Assoc. 2022, 58, 971–994. [Google Scholar] [CrossRef]
- Volk, J.M.; Huntington, J.L.; Melton, F.S.; Allen, R.; Anderson, M.; Fisher, J.B.; Kilic, A.; Ruhoff, A.; Senay, G.B.; Minor, B.; et al. Assessing the Accuracy of OpenET Satellite-Based Evapotranspiration Data to Support Water Resource and Land Management Applications. Nat. Water 2024, 2, 193–205. [Google Scholar] [CrossRef]
- Laipelt, L.; Kayser, R.H.B.; Fleischmann, A.S.; Ruhoff, A.; Bastiaanssen, W.; Erickson, T.A.; Melton, F. Long-Term Monitoring of Evapotranspiration Using the SEBAL Algorithm and Google Earth Engine Cloud Computing. ISPRS J. Photogramm. Remote Sens. 2021, 178, 81–96. [Google Scholar] [CrossRef]
- Senay, G.B.; Friedrichs, M.; Morton, C.; Parrish, G.E.L.; Schauer, M.; Khand, K.; Kagone, S.; Boiko, O.; Huntington, J. Mapping Actual Evapotranspiration Using Landsat for the Conterminous United States: Google Earth Engine Implementation and Assessment of the SSEBop Model. Remote Sens. Environ. 2022, 275, 113011. [Google Scholar] [CrossRef]
- Talsma, C.J.; Good, S.P.; Miralles, D.G.; Fisher, J.B.; Martens, B.; Jimenez, C.; Purdy, A.J. Sensitivity of Evapotranspiration Components in Remote Sensing-Based Models. Remote Sens. 2018, 10, 1601. [Google Scholar] [CrossRef]
- Mhawej, M.; Caiserman, A.; Nasrallah, A.; Dawi, A.; Bachour, R.; Faour, G. Automated Evapotranspiration Retrieval Model with Missing Soil-Related Datasets: The Proposal of SEBALI. Agric. Water Manag. 2020, 229, 105938. [Google Scholar] [CrossRef]
- Abunnasr, Y.; Mhawej, M.; Chrysoulakis, N. SEBU: A Novel Fully Automated Google Earth Engine Surface Energy Balance Model for Urban Areas. Urban Clim. 2022, 44, 101187. [Google Scholar] [CrossRef]
- Da Rocha, N.S.; Käfer, P.S.; Skokovic, D.; Veeck, G.; Diaz, L.R.; Kaiser, E.A.; Carvalho, C.M.; Cruz, R.C.; Sobrino, J.A.; Roberti, D.R.; et al. The Influence of Land Surface Temperature in Evapotranspiration Estimated by the S-SEBI Model. Atmosphere 2020, 11, 1059. [Google Scholar] [CrossRef]
- Sobrino, J.A.; Raissouni, N. Toward Remote Sensing Methods for Land Cover Dynamic Monitoring: Application to Morocco. Int. J. Remote Sens. 2000, 21, 353–366. [Google Scholar] [CrossRef]
- Carlson, T.N.; Ripley, D.A. On the Relation between NDVI, Fractional Vegetation Cover, and Leaf Area Index. Remote Sens. Environ. 1997, 62, 241–252. [Google Scholar] [CrossRef]
- Ke, Y.; Im, J.; Park, S.; Gong, H. Downscaling of MODIS One Kilometer Evapotranspiration Using Landsat-8 Data and Machine Learning Approaches. Remote Sens. 2016, 8, 215. [Google Scholar] [CrossRef]
- Su, Z. The Surface Energy Balance System (SEBS) for Estimation of Turbulent Heat Fluxes. Hydrol. Earth Syst. Sci. 2002, 6, 85–100. [Google Scholar] [CrossRef]
- Sobrino, J.A.; Souza da Rocha, N.; Skoković, D.; Suélen Käfer, P.; López-Urrea, R.; Jiménez-Muñoz, J.C.; Alves Rolim, S.B. Evapotranspiration Estimation with the S-SEBI Method from Landsat 8 Data against Lysimeter Measurements at the Barrax Site, Spain. Remote Sens. 2021, 13, 3686. [Google Scholar] [CrossRef]
- McFeeters, S.K. The Use of the Normalized Difference Water Index (NDWI) in the Delineation of Open Water Features. Int. J. Remote Sens. 1996, 17, 1425–1432. [Google Scholar] [CrossRef]
- Li, W.; Du, Z.; Ling, F.; Zhou, D.; Wang, H.; Gui, Y.; Sun, B.; Zhang, X. A Comparison of Land Surface Water Mapping Using the Normalized Difference Water Index from TM, ETM+ and ALI. Remote Sens. 2013, 5, 5530–5549. [Google Scholar] [CrossRef]
- Zambrano-Bigiarini, M. hydroGOF: Goodness-of-Fit Functions for Comparison of Simulated and Observed Hydrological Time Series 2020. Available online: https://cran.r-project.org/web/packages/hydroGOF/index.html (accessed on 5 May 2023).
- Arriga, N.; Goded, I.; Dell’Acqua, A.; Matteucci, M. ETC L2 ARCHIVE, San Rossore 2, 2018-12-31–2023-12-31. 2024. Available online: https://hdl.handle.net/11676/mE-iI51KvEWbOWWGg13yvbi_ (accessed on 22 July 2024).
- Arriga, N.; Goded, I.; Manca, G. ICOS Ecosystem Thematic Centre Warm Winter 2020 Ecosystem Eddy Covariance Flux Product from San Rossore 2 2022. Available online: https://data.icos-cp.eu/portal/#%7B%22filterCategories%22:%7B%22project%22:%5B%22icos%22%5D,%22level%22:%5B1,2%5D,%22stationclass%22:%5B%22ICOS%22%5D%7D%7D (accessed on 22 July 2024).
- Gerosa, G.; Bignotti, L.; Finco, A.; Marzuoli, R.; Plebani, D. ETC L2 ARCHIVE, Bosco Fontana, 2018-12-31–2023-12-31. 2024. Available online: https://data.icos-cp.eu/portal/#%7B%22filterCategories%22:%7B%22project%22:%5B%22icos%22%5D,%22level%22:%5B1,2%5D,%22stationclass%22:%5B%22ICOS%22%5D%7D%7D (accessed on 22 July 2024).
- Pitacco, A.; Tezza, L.; Meggio, F.; Peressotti, A.; Vendrame, N. ETC L2 ARCHIVE, Lison, 2015-12-31–2023-12-31. 2024. Available online: https://data.icos-cp.eu/portal/#%7B%22filterCategories%22:%7B%22project%22:%5B%22icos%22%5D,%22level%22:%5B1,2%5D,%22stationclass%22:%5B%22ICOS%22%5D%7D%7D (accessed on 22 July 2024).
- Brut, A.; Tallec, T.; Granouillac, F.; Zawilski, B.; Claverie, N.; Lemaire, B.; Ceschia, E. ETC L2 ARCHIVE, Lamasquere, 2019-12-31–2023-12-31. 2024. Available online: https://data.icos-cp.eu/portal/#%7B%22filterCategories%22:%7B%22project%22:%5B%22icos%22%5D,%22level%22:%5B1,2%5D,%22stationclass%22:%5B%22ICOS%22%5D%7D%7D (accessed on 22 July 2024).
- Liang, S. Narrowband to Broadband Conversions of Land Surface Albedo I: Algorithms. Remote Sens. Environ. 2001, 76, 213–238. [Google Scholar] [CrossRef]
- Liang, S.; Shuey, C.J.; Russ, A.L.; Fang, H.; Chen, M.; Walthall, C.L.; Daughtry, C.S.T.; Hunt, R. Narrowband to Broadband Conversions of Land Surface Albedo: II. Validation. Remote Sens. Environ. 2003, 84, 25–41. [Google Scholar] [CrossRef]
- Sobrino, J.A.; Gómez, M.; Jiménez-Muñoz, J.C.; Olioso, A.; Chehbouni, G. A Simple Algorithm to Estimate Evapotranspiration from DAIS Data: Application to the DAISEX Campaigns. J. Hydrol. 2005, 315, 117–125. [Google Scholar] [CrossRef]
- Sobrino, J.A.; Gómez, M.; Jiménez-Muñoz, J.C.; Olioso, A. Application of a Simple Algorithm to Estimate Daily Evapotranspiration from NOAA–AVHRR Images for the Iberian Peninsula. Remote Sens. Environ. 2007, 110, 139–148. [Google Scholar] [CrossRef]
- Timmermans, W.J.; Kustas, W.P.; Anderson, M.C.; French, A.N. An Intercomparison of the Surface Energy Balance Algorithm for Land (SEBAL) and the Two-Source Energy Balance (TSEB) Modeling Schemes. Remote Sens. Environ. 2007, 108, 369–384. [Google Scholar] [CrossRef]
- Trezza, R.; Allen, R.G.; Tasumi, M. Estimation of Actual Evapotranspiration along the Middle Rio Grande of New Mexico Using MODIS and Landsat Imagery with the METRIC Model. Remote Sens. 2013, 5, 5397–5423. [Google Scholar] [CrossRef]
- Allen, R.G.; Tasumi, M.; Morse, A.; Trezza, R. A Landsat-Based Energy Balance and Evapotranspiration Model in Western US Water Rights Regulation and Planning. Irrig. Drain. Syst. 2005, 19, 251–268. [Google Scholar] [CrossRef]
- Roche, J.W.; Ma, Q.; Rungee, J.; Bales, R.C. Evapotranspiration Mapping for Forest Management in California’s Sierra Nevada. Front. For. Glob. Chang. 2020, 3, 69. [Google Scholar] [CrossRef]
- Häusler, M.; Nunes, J.P.; Soares, P.; Sánchez, J.M.; Silva, J.M.; Warneke, T.; Keizer, J.J.; Pereira, J.M. Assessment of the Indirect Impact of Wildfire (Severity) on Actual Evapotranspiration in Eucalyptus Forest Based on the Surface Energy Balance Estimated from Remote-Sensing Techniques. Int. J. Remote Sens. 2018, 39, 6499–6524. [Google Scholar] [CrossRef]
- Sánchez, J.M.; Bisquert, M.; Rubio, E.; Caselles, V. Impact of Land Cover Change Induced by a Fire Event on the Surface Energy Fluxes Derived from Remote Sensing. Remote Sens. 2015, 7, 14899–14915. [Google Scholar] [CrossRef]
- Ghorbanpour, A.K.; Kisekka, I.; Afshar, A.; Hessels, T.; Taraghi, M.; Hessari, B.; Tourian, M.J.; Duan, Z. Crop Water Productivity Mapping and Benchmarking Using Remote Sensing and Google Earth Engine Cloud Computing. Remote Sens. 2022, 14, 4934. [Google Scholar] [CrossRef]
- Anderson, R.; Lo, M.-H.; Swenson, S.; Famiglietti, J.; Tang, Q.; Skaggs, T.; Lin, Y.-H.; Wu, R.-J. Using Satellite-Based Estimates of Evapotranspiration and Groundwater Changes to Determine Anthropogenic Water Fluxes in Land Surface Models. Geosci. Model Dev. 2015, 8, 3021–3031. [Google Scholar] [CrossRef]
- Mhawej, M.; Faour, G. Open-Source Google Earth Engine 30-m Evapotranspiration Rates Retrieval: The SEBALIGEE System. Environ. Model. Softw. 2020, 133, 104845. [Google Scholar] [CrossRef]
- Anderson, M.C.; Hain, C.; Wardlow, B.; Pimstein, A.; Mecikalski, J.R.; Kustas, W.P. Evaluation of Drought Indices Based on Thermal Remote Sensing of Evapotranspiration over the Continental United States. J. Clim. 2011, 24, 2025–2044. [Google Scholar] [CrossRef]
- Montes, C.; Jacob, F. Comparing Landsat-7 ETM+ and ASTER Imageries to Estimate Daily Evapotranspiration Within a Mediterranean Vineyard Watershed. IEEE Geosci. Remote Sens. Lett. 2017, 14, 459–463. [Google Scholar] [CrossRef]
- Fadel, A.; Mhawej, M.; Faour, G.; Slim, K. On the Application of METRIC-GEE to Estimate Spatial and Temporal Evaporation Rates in a Mediterranean Lake. Remote Sens. Appl. Soc. Environ. 2020, 20, 100431. [Google Scholar] [CrossRef]
- Elfarkh, J.; Simonneaux, V.; Jarlan, L.; Ezzahar, J.; Boulet, G.; Chakir, A.; Er-Raki, S. Evapotranspiration Estimates in a Traditional Irrigated Area in Semi-Arid Mediterranean. Comparison of Four Remote Sensing-Based Models. Agric. Water Manag. 2022, 270, 107728. [Google Scholar] [CrossRef]
- Fu, J.; Wang, W.; Shao, Q.; Xing, W.; Cao, M.; Wei, J.; Chen, Z.; Nie, W. Improved Global Evapotranspiration Estimates Using Proportionality Hypothesis-Based Water Balance Constraints. Remote Sens. Environ. 2022, 279, 113140. [Google Scholar] [CrossRef]
- Chen, H.; Ghani Razaqpur, A.; Wei, Y.; Huang, J.J.; Li, H.; McBean, E. Estimation of Global Land Surface Evapotranspiration and Its Trend Using a Surface Energy Balance Constrained Deep Learning Model. J. Hydrol. 2023, 627, 130224. [Google Scholar] [CrossRef]









| Site | Lat | Lon | Elev | Ecosystem | MAT | MAP | Date Start | Date End | Number of Images |
|---|---|---|---|---|---|---|---|---|---|
| San Rossore2 | 43.73° | 10.29° | 4 m | Pine forest | 15.3 °C | 950 mm | 1 January 2013 | 31 December 2023 | 296 |
| Bosco Fontana | 45.19° | 10.74° | 37 m | Mixed broadleaved forest | 14.5 °C | 697 mm | 1 January 2016 | 31 December 2023 | 161 |
| Lison | 45.74° | 12.75° | 1 m | Vineyard | 13.0 °C | 1100 mm | 1 January 2016 | 31 December 2023 | 223 |
| Lamasquere | 43.49° | 1.24° | 121 m | Crop (maize and winter wheat) | 13.4 °C | 677 mm | 1 January 2005 | 31 December 2023 | 175 |
| Site | RMSE | R | R2 | KGE | NSE | % Bias | N° Images |
|---|---|---|---|---|---|---|---|
| San Rossore2 | 1.05 | 0.73 | 0.54 | 0.70 | 0.37 | −7.2 | 296 |
| Bosco Fontana | 1.03 | 0.81 | 0.66 | 0.80 | 0.61 | −4.5 | 161 |
| Lison | 1.37 | 0.86 | 0.74 | 0.58 | 0.53 | −32.7 | 223 |
| Lamasquere | 1.16 | 0.80 | 0.64 | 0.69 | 0.47 | −24.5 | 175 |
| Accuracy Metric | Bosco Fontana | San Rossore2 | Lison | Lamasquere |
|---|---|---|---|---|
| RMSE | 0.79 | 1.03 | 1.32 | 1.3 |
| % bias | 3.9 | 10.6 | −43.5 | −45.2 |
| NSE | 0.75 | 0.43 | 0.49 | 0.2 |
| r | 0.89 | 0.8 | 0.88 | 0.74 |
| R2 | 0.79 | 0.64 | 0.78 | 0.55 |
| KGE | 0.85 | 0.68 | 0.43 | 0.44 |
Disclaimer/Publisher’s Note: The statements, opinions and data contained in all publications are solely those of the individual author(s) and contributor(s) and not of MDPI and/or the editor(s). MDPI and/or the editor(s) disclaim responsibility for any injury to people or property resulting from any ideas, methods, instructions or products referred to in the content. |
© 2025 by the authors. Licensee MDPI, Basel, Switzerland. This article is an open access article distributed under the terms and conditions of the Creative Commons Attribution (CC BY) license (https://creativecommons.org/licenses/by/4.0/).
Share and Cite
Kabala, J.P.; Sobrino, J.A.; Crisafulli, V.; Skoković, D.; Battipaglia, G. geeSSEBI: Evaluating Actual Evapotranspiration Estimated with a Google Earth Engine Implementation of S-SEBI. Remote Sens. 2025, 17, 395. https://doi.org/10.3390/rs17030395
Kabala JP, Sobrino JA, Crisafulli V, Skoković D, Battipaglia G. geeSSEBI: Evaluating Actual Evapotranspiration Estimated with a Google Earth Engine Implementation of S-SEBI. Remote Sensing. 2025; 17(3):395. https://doi.org/10.3390/rs17030395
Chicago/Turabian StyleKabala, Jerzy Piotr, Jose Antonio Sobrino, Virginia Crisafulli, Dražen Skoković, and Giovanna Battipaglia. 2025. "geeSSEBI: Evaluating Actual Evapotranspiration Estimated with a Google Earth Engine Implementation of S-SEBI" Remote Sensing 17, no. 3: 395. https://doi.org/10.3390/rs17030395
APA StyleKabala, J. P., Sobrino, J. A., Crisafulli, V., Skoković, D., & Battipaglia, G. (2025). geeSSEBI: Evaluating Actual Evapotranspiration Estimated with a Google Earth Engine Implementation of S-SEBI. Remote Sensing, 17(3), 395. https://doi.org/10.3390/rs17030395

