Adaptive Month Matching: A Phenological Alignment Method for Transfer Learning in Cropland Segmentation
Abstract
1. Introduction
2. Materials and Methods
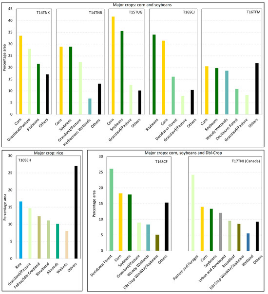
2.1. Study Area
2.2. Remote Sensing Data
2.3. Ground Truth Data
2.4. Alignment of Phenological Stages
- Optimizing time series in training area: Use an iterative Multi-Criteria Decision Analysis (MCDA) [42] to optimize the time series data in the training area based on the major crops in the target area.
- Extracting NDVI profiles: Compute and average the NDVI profiles from bi-weekly Sentinel-2 time series data for each major crop in both the training and target areas.
- Selecting candidate months: Calculate NDVI changes for candidate months in the target area, including the same months as the training time series, as well as one month before and one month after.
- Compute differences and slopes: Calculate the absolute differences and slope differences between each month in the optimal training time series and the corresponding candidate months in the target area.
- Calculate combined score: Normalize the differences and slopes and compute combined scores.
- Identify best match: Select the candidate month with the lowest combined score as the best match.

2.5. Data Preparation
2.6. DL Model Training
2.7. Evaluation
3. Results
3.1. Transfer DL Model for Corn and Soybeans
3.2. Transfer DL Model for Corn, Soybeans, and Dbl-Crop
3.3. Transfer DL Model for Rice
4. Discussion
4.1. Phenological Stage Alignment Methods
4.2. One, Two-, and Three-Month Time Series
4.3. Comparative Analysis with Prior Research
4.4. Implementation Prospects and Limitations
5. Conclusions
Author Contributions
Funding
Data Availability Statement
Conflicts of Interest
References
- Zhang, X.; Chen, N.; Sheng, H.; Ip, C.; Yang, L.; Chen, Y.; Sang, Z.; Tadesse, T.; Lim, T.P.Y.; Rajabifard, A.; et al. Urban drought challenge to 2030 sustainable development goals. Sci. Total Environ. 2019, 693, 133536. [Google Scholar] [CrossRef] [PubMed]
- Wang, Z.; Sun, X.; Liu, X.; Xu, F.; Huang, H.; Ti, R.; Yu, H.; Wang, Y.; Wei, Y. Improved Paddy Rice Classification Utilizing Sentinel-1/2 Imagery in Anhui China: Phenological Features, Algorithms, Validation and Analysis. Agriculture 2024, 14, 1282. [Google Scholar] [CrossRef]
- Zhao, B.; Huang, B.; Zhong, Y. Transfer Learning with Fully Pretrained Deep Convolution Networks for Land-Use Classification. IEEE Geosci. Remote Sens. Lett. 2017, 14, 1436–1440. [Google Scholar] [CrossRef]
- Yang, L.; Huang, R.; Zhang, J.; Huang, J.; Wang, L.; Dong, J.; Shao, J. Inter-Continental Transfer of Pre-Trained Deep Learning Rice Mapping Model and Its Generalization Ability. Remote Sens. 2023, 15, 2443. [Google Scholar] [CrossRef]
- Song, W.; Feng, A.; Wang, G.; Zhang, Q.; Dai, W.; Wei, X.; Hu, Y.; Amankwah, S.O.Y.; Zhou, F.; Liu, Y. Bi-Objective Crop Mapping from Sentinel-2 Images Based on Multiple Deep Learning Networks. Remote Sens. 2023, 15, 3417. [Google Scholar] [CrossRef]
- Moghimi, A.; Khodadadzadeh, M.; Li, J.; Plaza, A.J. Review of deep learning for remote sensing data. Remote Sens. 2018, 10, 638. [Google Scholar] [CrossRef]
- Kamilaris, A.; Prenafeta-Boldú, F.X. Deep Learning in Agriculture: A Survey. Comput. Electron. Agric. 2018, 147, 70–90. [Google Scholar] [CrossRef]
- Viana, C.M.; Freire, D.; Abrantes, P.; Rocha, J.; Pereira, P. Agricultural land systems importance for supporting food security and sustainable development goals: A systematic review. Sci. Total Environ. 2022, 806, 150718. [Google Scholar] [CrossRef]
- Csikós, N.; Szabó, B.; Hermann, T.; Laborczi, A.; Matus, J.; Pásztor, L.; Szatmári, G.; Takács, K.; Tóth, G. Cropland Productivity Evaluation: A 100 m Resolution Country Assessment Combining Earth Observation and Direct Measurements. Remote Sens. 2023, 15, 1236. [Google Scholar] [CrossRef]
- Ahirwal, J.; Sahoo, U.K.; Thangjam, U.; Thong, P. Oil palm agroforestry enhances crop yield and ecosystem carbon stock in northeast India: Implications for the United Nations sustainable development goals. Sustain. Prod. Consum. 2022, 30, 478–487. [Google Scholar] [CrossRef]
- United Nations Development Program, U.N.D.P. Sustainable Development Goals. Available online: https://www.undp.org/sustainable-development-goals (accessed on 20 July 2024).
- Htitiou, A.; Boudhar, A.; Lebrini, Y.; Hadria, R.; Lionboui, H.; Benabdelouahab, T. A comparative analysis of different phenological information retrieved from Sentinel-2 time series images to improve crop classification: A machine learning approach. Geocarto Int. 2022, 37, 1426–1449. [Google Scholar] [CrossRef]
- Lark, T.J.; Schelly, I.H.; Gibbs, H.K. Accuracy, Bias, and Improvements in Mapping Crops and Cropland across the United States Using the USDA Cropland Data Layer. Remote Sens. 2021, 13, 968. [Google Scholar] [CrossRef]
- Hao, P.; Di, L.; Zhang, C.; Guo, L. Transfer Learning for Crop classification with Cropland Data Layer data (CDL) as training samples. Sci. Total Environ. 2020, 733, 138869. [Google Scholar] [CrossRef] [PubMed]
- Sun, L.; Lou, Y.; Shi, Q.; Zhang, L. Spatial domain transfer: Cross-regional paddy rice mapping with a few samples based on Sentinel-1 and Sentinel-2 data on GEE. Int. J. Appl. Earth Obs. Geoinf. 2024, 128, 103762. [Google Scholar] [CrossRef]
- You, N.; Dong, J. Examining earliest identifiable timing of crops using all available Sentinel 1/2 imagery and Google Earth Engine. ISPRS J. Photogramm. Remote Sens. 2020, 161, 109–123. [Google Scholar] [CrossRef]
- Hoppe, H.; Dietrich, P.; Marzahn, P.; Weiß, T.; Nitzsche, C.; Freiherr von Lukas, U.; Wengerek, T.; Borg, E. Transferability of Machine Learning Models for Crop Classification in Remote Sensing Imagery Using a New Test Methodology: A Study on Phenological, Temporal, and Spatial Influences. Remote Sens. 2024, 16, 1493. [Google Scholar] [CrossRef]
- Shi, Y.; Li, L.; Wu, B.; Zhang, Y.; Wang, B.; Niu, W.; He, L.; Jin, N.; Pan, S.; Tian, H.; et al. Predicting rice productivity for ground data-sparse regions: A transferable framework and its application to North Korea. Sci. Total Environ. 2024, 946, 174227. [Google Scholar] [CrossRef] [PubMed]
- Antonijević, O.; Jelić, S.; Bajat, B.; Kilibarda, M. Transfer learning approach based on satellite image time series for the crop classification problem. J. Big Data 2023, 10, 54. [Google Scholar] [CrossRef]
- Xu, J.; Zhu, Y.; Zhong, R.; Lin, Z.; Xu, J.; Jiang, H.; Huang, J.; Li, H.; Lin, T. DeepCropMapping: A multi-temporal deep learning approach with improved spatial generalizability for dynamic corn and soybean mapping. Remote Sens. Environ. 2020, 247, 111946. [Google Scholar] [CrossRef]
- Chen, S.; Yi, Q.; Wang, F.; Zheng, J.; Li, J. Improving the matching degree between remotely sensed phenological dates and physiological growing stages of soybean by a dynamic offset-adjustment strategy. Sci. Total Environ. 2024, 906, 167783. [Google Scholar] [CrossRef]
- Shen, Y.; Zhang, X.; Yang, Z. Mapping corn and soybean phenometrics at field scales over the United States Corn Belt by fusing time series of Landsat 8 and Sentinel-2 data with VIIRS data. ISPRS J. Photogramm. Remote Sens. 2022, 186, 55–69. [Google Scholar] [CrossRef]
- Ge, S.; Zhang, J.; Pan, Y.; Yang, Z.; Zhu, S. Transferable deep learning model based on the phenological matching principle for mapping crop extent. Int. J. Appl. Earth Obs. Geoinf. 2021, 102, 102451. [Google Scholar] [CrossRef]
- Yang, G.; Li, X.; Liu, P.; Yao, X.; Zhu, Y.; Cao, W.; Cheng, T. Automated in-season mapping of winter wheat in China with training data generation and model transfer. ISPRS J. Photogramm. Remote Sens. 2023, 202, 422–438. [Google Scholar] [CrossRef]
- Diao, C. Remote sensing phenological monitoring framework to characterize corn and soybean physiological growing stages. Remote Sens. Environ. 2020, 248, 111960. [Google Scholar] [CrossRef]
- Segarra, J.; Araus, J.L.; Kefauver, S.C. Farming and Earth Observation: Sentinel-2 data to estimate within-field wheat grain yield. Int. J. Appl. Earth Obs. Geoinf. 2022, 107, 102697. [Google Scholar] [CrossRef]
- Yang, Z.; Diao, C.; Gao, F.; Li, B. EMET: An emergence-based thermal phenological framework for near real-time crop type mapping. ISPRS J. Photogramm. Remote Sens. 2024, 215, 271–291. [Google Scholar] [CrossRef]
- Sakamoto, T.; Wardlow, B.D.; Gitelson, A.A.; Verma, S.B.; Suyker, A.E.; Arkebauer, T.J. A Two-Step Filtering approach for detecting maize and soybean phenology with time-series MODIS data. Remote Sens. Environ. 2010, 114, 2146–2159. [Google Scholar] [CrossRef]
- Liu, L.; Cao, R.; Chen, J.; Shen, M.; Wang, S.; Zhou, J.; He, B. Detecting crop phenology from vegetation index time-series data by improved shape model fitting in each phenological stage. Remote Sens. Environ. 2022, 277, 113060. [Google Scholar] [CrossRef]
- Cao, R.; Li, L.; Liu, L.; Liang, H.; Zhu, X.; Shen, M.; Zhou, J.; Li, Y.; Chen, J. A spatiotemporal shape model fitting method for within-season crop phenology detection. ISPRS J. Photogramm. Remote Sens. 2024, 217, 179–198. [Google Scholar] [CrossRef]
- Hamrouni, Y.; Paillassa, E.; Chéret, V.; Monteil, C.; Sheeren, D. From local to global: A transfer learning-based approach for mapping poplar plantations at national scale using Sentinel-2. ISPRS J. Photogramm. Remote Sens. 2021, 171, 76–100. [Google Scholar] [CrossRef]
- Konduri, V.S.; Kumar, J.; Hargrove, W.W.; Hoffman, F.M.; Ganguly, A.R. Mapping crops within the growing season across the United States. Remote Sens. Environ. 2020, 251, 112048. [Google Scholar] [CrossRef]
- Zhang, C.; Di, L.; Lin, L.; Li, H.; Guo, L.; Yang, Z.; Yu, E.G.; Di, Y.; Yang, A. Towards automation of in-season crop type mapping using spatiotemporal crop information and remote sensing data. Agric. Syst. 2022, 201, 103462. [Google Scholar] [CrossRef]
- Maleki, R.; Wu, F.; Oubara, A.; Fathollahi, L.; Yang, G. Refinement of Cropland Data Layer with Effective Confidence Layer Interval and Image Filtering. Agriculture 2024, 14, 1285. [Google Scholar] [CrossRef]
- Abernethy, J.; Beeson, P.; Boryan, C.; Hunt, K.; Sartore, L. Preseason crop type prediction using crop sequence boundaries. Comput. Electron. Agric. 2023, 208, 107768. [Google Scholar] [CrossRef]
- Tran, K.H.; Zhang, H.K.; McMaine, J.T.; Zhang, X.; Luo, D. 10 m crop type mapping using Sentinel-2 reflectance and 30 m cropland data layer product. Int. J. Appl. Earth Obs. Geoinf. 2022, 107, 102692. [Google Scholar] [CrossRef]
- Gorelick, N.; Hancher, M.; Dixon, M.; Ilyushchenko, S.; Thau, D.; Moore, R. Google Earth Engine: Planetary-scale geospatial analysis for everyone. Remote Sens. Environ. 2017, 202, 18–27. [Google Scholar] [CrossRef]
- Wang, S.; Azzari, G.; Lobell, D.B. Crop type mapping without field-level labels: Random forest transfer and unsupervised clustering techniques. Remote Sens. Environ. 2019, 222, 303–317. [Google Scholar] [CrossRef]
- Massey, R.; Sankey, T.T.; Yadav, K.; Congalton, R.G.; Tilton, J.C. Integrating cloud-based workflows in continental-scale cropland extent classification. Remote Sens. Environ. 2018, 219, 162–179. [Google Scholar] [CrossRef]
- Pouliot, D.; Alavi, N.; Wilson, S.; Duffe, J.; Pasher, J.; Davidson, A.; Daneshfar, B.; Lindsay, E. Assessment of Landsat Based Deep-Learning Membership Analysis for Development of from–to Change Time Series in the Prairie Region of Canada from 1984 to 2018. Remote Sens. 2021, 13, 634. [Google Scholar] [CrossRef]
- Onojeghuo, A.O.; Miao, Y.; Blackburn, G.A. Deep ResU-Net Convolutional Neural Networks Segmentation for Smallholder Paddy Rice Mapping Using Sentinel 1 SAR and Sentinel 2 Optical Imagery. Remote Sens. 2023, 15, 1517. [Google Scholar] [CrossRef]
- Ferla, G.; Mura, B.; Falasco, S.; Caputo, P.; Matarazzo, A. Multi-Criteria Decision Analysis (MCDA) for sustainability assessment in food sector. A systematic literature review on methods, indicators and tools. Sci. Total Environ. 2024, 946, 174235. [Google Scholar] [CrossRef] [PubMed]
- ESA. Copernicus Sentinel-2 Collection 1 MSI Level-2A (L2A). Available online: https://sentinels.copernicus.eu/web/sentinel/sentinel-data-access/sentinel-products/sentinel-2-data-products/collection-1-level-2a (accessed on 17 July 2024).
- Oubara, A.; Wu, F.; Maleki, R.; Ma, B.; Amamra, A.; Yang, G. Enhancing Adversarial Learning-Based Change Detection in Imbalanced Datasets Using Artificial Image Generation and Attention Mechanism. ISPRS Int. J. Geo-Inf. 2024, 13, 125. [Google Scholar] [CrossRef]
- Li, Z.; Deng, X.; Lan, Y.; Liu, C.; Qing, J. Fruit tree canopy segmentation from UAV orthophoto maps based on a lightweight improved U-Net. Comput. Electron. Agric. 2024, 217, 108538. [Google Scholar] [CrossRef]
- Mckay, M.; Danilevicz, M.F.; Ashworth, M.B.; Rocha, R.L.; Upadhyaya, S.R.; Bennamoun, M.; Edwards, D. Focus on the Crop Not the Weed: Canola Identification for Precision Weed Management Using Deep Learning. Remote Sens. 2024, 16, 2041. [Google Scholar] [CrossRef]
- Congalton, R.G.; Green, K. Assessing the Accuracy of Remotely Sensed Data: Principles and Practices; CRC Press: Boca Raton, FL, USA, 2019. [Google Scholar]













| Target Areas | Matching Method | Months Matched to May–July–September | Corn 1 | Soybeans | Other | |||||||
|---|---|---|---|---|---|---|---|---|---|---|---|---|
| OA | UA | PA | F1 | UA | PA | F1 | UA | PA | F1 | |||
| (%) | (%) | (%) | (%) | (%) | (%) | (%) | ||||||
| T14TNK | STS | May–July–September | 60.2 | 98.1 2 | 16.0 | 0.27 | 61.2 | 63.2 | 0.58 | 59.4 | 89.3 | 0.69 |
| IMM, VIM | June–July–September | 69.4 | 97.1 | 34.8 | 0.50 | 68.6 | 69.8 | 0.66 | 65.5 | 92.0 | 0.74 | |
| AMM | June–July–October | 72.9 | 94.8 | 49.6 | 0.63 | 57.2 | 78.1 | 0.65 | 73.1 | 82.6 | 0.77 | |
| T14TNR | STS | May–July–September | 57.6 | 96.8 | 33.7 | 0.48 | 47.8 | 81.9 | 0.58 | 60.5 | 56.4 | 0.56 |
| VIM | June–July–October | 65.6 | 74.1 | 45.2 | 0.55 | 87.4 | 69.8 | 0.77 | 48.6 | 88.3 | 0.62 | |
| IMM, AMM | June–July–September | 64.8 | 95.7 | 52.1 | 0.67 | 53.3 | 86.8 | 0.64 | 66.7 | 58.6 | 0.62 | |
| T15TUG | STS | May–July–September | 61.4 | 98.7 | 32.0 | 0.48 | 86.3 | 66.3 | 0.74 | 41.1 | 92.4 | 0.56 |
| VIM | June–August–September | 61.7 | 97.8 | 37.3 | 0.52 | 92.8 | 59.5 | 0.71 | 41.3 | 94.0 | 0.55 | |
| IMM, AMM | June–August–October | 80.1 | 83.4 | 92.2 | 0.87 | 81.3 | 71.9 | 0.76 | 73.1 | 66.2 | 0.69 | |
| T16SCJ | VIM, STS | May–July–September | 61.9 | 98.6 | 10.4 | 0.18 | 92.5 | 66.1 | 0.76 | 50.9 | 98.8 | 0.66 |
| IMM | June–August–September | 80.4 | 97.1 | 57.4 | 0.71 | 83.8 | 83.6 | 0.83 | 71.2 | 94.8 | 0.80 | |
| AMM | June–July–September | 75.9 | 98.1 | 48.9 | 0.64 | 87.0 | 77.4 | 0.81 | 63.3 | 95.3 | 0.75 | |
| T16TFM | STS | May–July–September | 71.3 | 96.7 | 6.3 | 0.11 | 80.8 | 48.7 | 0.60 | 69.5 | 99.0 | 0.81 |
| AMM, IMM, VIM | June–July–September | 76.9 | 95.7 | 27.5 | 0.42 | 79.5 | 59.5 | 0.67 | 74.6 | 97.9 | 0.85 | |
| T17TNJ (Canada) | STS | May–July–September | 77.0 | 97.1 | 5.5 | 0.09 | 68.8 | 23.4 | 0.34 | 76.5 | 99.6 | 0.86 |
| IMM | June–August–October | 83.9 | 95.9 | 26.9 | 0.39 | 78.3 | 62.5 | 0.68 | 83.9 | 98.4 | 0.90 | |
| VIM | June–July–October | 77.1 | 95.0 | 11.9 | 0.19 | 72.3 | 31.8 | 0.42 | 77.5 | 99.3 | 0.86 | |
| AMM | June–July–September | 76.9 | 95.6 | 8.5 | 0.16 | 67.2 | 28.8 | 0.39 | 77.1 | 99.2 | 0.87 | |
| Target Areas | Matching Method | Months Matched to April–June–September | Corn 1 | Soybeans | Dbl-Crop | Other | |||||||||
|---|---|---|---|---|---|---|---|---|---|---|---|---|---|---|---|
| OA | UA | PA | F1 | UA | PA | F1 | UA | PA | F1 | UA | PA | F1 | |||
| (%) | (%) | (%) | (%) | (%) | (%) | (%) | (%) | (%) | |||||||
| T16SCF | IMM, AMM, VIM, STS | April–June–September | 90.0 | 93.8 | 76.0 | 0.84 | 82.7 | 81.5 | 0.81 | 79.0 | 94.7 | 0.86 | 91.7 | 95.2 | 0.93 |
| T17TNJ (Canada) | STS | April–June–September | 63.3 | 74.5 | 90.1 2 | 0.81 | 9.2 | 0.6 | 0 | 26.5 | 42.0 | 0.31 | 4.2 | 0.7 | 0.00 |
| IMM | May–July–August | 72.0 | 86.7 | 2.1 | 0.03 | 75.4 | 67.7 | 0.70 | 37.2 | 14.7 | 0.19 | 71.4 | 95.1 | 0.81 | |
| VIM | March–May–October | 50.8 | 39.0 | 8.3 | 0.13 | 14.2 | 28.0 | 0.18 | 0.5 | 0.7 | 0.00 | 64.1 | 72.8 | 0.67 | |
| AMM | March–June–October | 51.9 | 35.8 | 32.1 | 0.32 | 16.2 | 29.8 | 0.20 | 1.8 | 0.6 | 0.00 | 67.0 | 66.8 | 0.66 | |
| Target Areas | Matching Method | Months Matched to July–August–September | Rice 1 | Other | |||||
|---|---|---|---|---|---|---|---|---|---|
| OA | UA | PA | F1 | UA | PA | F1 | |||
| (%) | (%) | (%) | (%) | (%) | |||||
| T10SEH | IMM, STS | July–August–September | 97.17 | 82.58 | 93.14 2 | 0.860 | 98.93 | 97.54 | 0.979 |
| AMM, VIM | June–August–September | 97.88 | 85.36 | 92.83 | 0.873 | 98.96 | 98.47 | 0.982 | |
| Corn 1 | Other | ||||||
|---|---|---|---|---|---|---|---|
| Target Area | OA | UA | PA | F1 | UA | PA | F1 |
| (%) | (%) | (%) | (%) | (%) | |||
| T14TNK (AMM) | 72.91 | 94.80 | 49.60 | 0.63 | 73.11 | 82.68 | 0.77 |
| T2 (U-Net3) | 80.56 | 87.13 | 0.83 | 0.02 | 83.54 | 99.80 | 0.91 |
| T14TNR (AMM) | 64.82 | 95.70 | 52.10 | 0.67 | 66.76 | 58.62 | 0.62 |
| T1 (U-Net3) | 78.00 | 81.17 | 1.99 | 0.04 | 87.43 | 99.68 | 0.93 |
| T15TUG (AMM) | 80.11 | 83.41 | 92.27 | 0.87 | 73.17 | 66.24 | 0.69 |
| T3 (U-Net3) | 59.88 | 76.68 | 4.58 | 0.09 | 79.84 | 98.93 | 0.88 |
| T16SCF (AMM) | 90.00 | 93.87 | 76.00 | 0.84 | 91.72 | 95.26 | 0.93 |
| T6 (U-Net3) | 94.60 | 95.31 | 89.18 | 0.92 | 95.18 | 96.70 | 0.96 |
| T16SCJ (AMM) | 75.94 | 98.10 | 48.99 | 0.64 | 63.36 | 95.32 | 0.75 |
| T5 (U-Net3) | 79.07 | 87.36 | 40.82 | 0.56 | 89.55 | 97.02 | 0.93 |
| T16TFM (AMM) | 76.91 | 95.73 | 27.51 | 0.42 | 74.64 | 97.91 | 0.85 |
| T4 (U-Net3) | 77.72 | 86.76 | 12.71 | 0.22 | 84.13 | 99.31 | 0.91 |
| T17TNJ (Canada) | 76.92 | 95.62 | 8.54 | 0.16 | 77.12 | 99.28 | 0.87 |
| T8 (China, U-Net3) | 83.15 | 43.21 | 88.61 | 0.58 | 97.13 | 77.73 | 0.86 |
| Rice 1 | Other | ||||||
|---|---|---|---|---|---|---|---|
| Target Area | OA | UA | PA | F1 | UA | PA | F1 |
| (%) | (%) | (%) | (%) | (%) | |||
| T10SEH (AMM) | 97.88 | 85.36 | 92.83 | 0.87 | 98.96 | 98.47 | 0.98 |
| T7 (U-Net3) | 94.31 | 90.88 | 91.33 | 0.91 | 95.25 | 95.03 | 0.95 |
Disclaimer/Publisher’s Note: The statements, opinions and data contained in all publications are solely those of the individual author(s) and contributor(s) and not of MDPI and/or the editor(s). MDPI and/or the editor(s) disclaim responsibility for any injury to people or property resulting from any ideas, methods, instructions or products referred to in the content. |
© 2025 by the authors. Licensee MDPI, Basel, Switzerland. This article is an open access article distributed under the terms and conditions of the Creative Commons Attribution (CC BY) license (https://creativecommons.org/licenses/by/4.0/).
Share and Cite
Maleki, R.; Wu, F.; Qu, G.; Oubara, A.; Fathollahi, L.; Yang, G. Adaptive Month Matching: A Phenological Alignment Method for Transfer Learning in Cropland Segmentation. Remote Sens. 2025, 17, 283. https://doi.org/10.3390/rs17020283
Maleki R, Wu F, Qu G, Oubara A, Fathollahi L, Yang G. Adaptive Month Matching: A Phenological Alignment Method for Transfer Learning in Cropland Segmentation. Remote Sensing. 2025; 17(2):283. https://doi.org/10.3390/rs17020283
Chicago/Turabian StyleMaleki, Reza, Falin Wu, Guoxin Qu, Amel Oubara, Loghman Fathollahi, and Gongliu Yang. 2025. "Adaptive Month Matching: A Phenological Alignment Method for Transfer Learning in Cropland Segmentation" Remote Sensing 17, no. 2: 283. https://doi.org/10.3390/rs17020283
APA StyleMaleki, R., Wu, F., Qu, G., Oubara, A., Fathollahi, L., & Yang, G. (2025). Adaptive Month Matching: A Phenological Alignment Method for Transfer Learning in Cropland Segmentation. Remote Sensing, 17(2), 283. https://doi.org/10.3390/rs17020283

