Abstract
Infrared small target detection technology has received extensive attention due to its advantages in long-distance monitoring. However, there is much room for improvement in its performance due to complex backgrounds and the lack of distinct features in small targets. Many specific scenarios can lead to target loss, such as edge-adjacent targets, intersecting targets, low contrast caused by locally bright backgrounds, and false alarms induced by globally bright backgrounds. To address these issues, we have identified the positional correlation differences between the local background location and whether the target can be perceived by the human eye, thereby introducing geographic information weights to represent this correlation difference. We first constructed a non-concentric Gaussian difference structure to prevent the central target energy loss caused by traditional concentric filters. Based on this, we introduced Gabor filters, which have the capability of directional feature extraction and position correlation representation, into the non-concentric differential structure. By adjusting the relative position of the Gabor filter center and configuring frequency parameters based on geographic information, we optimized the filter weights to handle complex situations, such as targets being close to background clutter or other targets. Subsequently, an improved logarithmic function was applied to adjust the overall saliency of candidate targets, preventing the loss of low-contrast targets and the residual high-energy background clutter. Extensive experiments show that our method exhibits effective detection performance and robustness in four application scenes and three challenging image distribution scenes.
1. Introduction
Infrared small target detection is widely needed in fields such as night vision, search and rescue, early fire warning systems, military surveillance, border security, and more. According to the definition by the Society of Photo-Optical Instrumentation Engineers (SPIE), targets with an imaging size of less than 81 pixels are considered weak and small targets. Detecting small infrared targets is particularly challenging due to complex background patterns, low-contrast targets with limited features, and the inherent constraints of infrared sensors. Detection methods for these targets can be categorized into single-frame and multi-frame approaches [1]. Multi-frame methods utilize temporal information to enhance detection stability and reliability. However, their practical application is often constrained by high computational complexity and real-time performance requirements. As a result, combining single-frame and multi-frame approaches is common in practice. A robust single-frame detection method lays the groundwork for efficient multi-frame detection by reducing computational costs and simplifying the process. Consequently, single-frame small target detection remains a central research focus in this domain.
Traditional methods for infrared small target detection focus on modeling features of complex backgrounds, small targets, and the contrast between them. In recent years, with the rapid progress in artificial intelligence, deep-learning-based approaches for infrared small target detection have gained significant attention [2,3,4]. Many of these methods draw inspiration from classical techniques, which have repeatedly demonstrated their reliability and effectiveness [1,5,6,7]. However, due to the unique characteristics of infrared small targets and the requirements of specific application scenarios, deep-learning-based features have not yet fully replaced manually modeled features. Therefore, manual feature modeling remains a valuable area of research.
In terms of feature modeling, existing methods can be divided into two main categories: those that rely on global features [8,9,10,11] and those that focus on local features [12,13,14,15]. For detecting low-contrast small targets in complex backgrounds, global feature-based methods often demonstrate superior performance. This advantage stems from their ability to leverage the sparsity of small targets and the low-rank characteristics of the background, reducing reliance on the local contrast of the targets or the complexity of the background. However, these methods can also introduce sparse background components and noise, and their iterative processing may lead to significant time consumption. In comparison, local feature-based modeling approaches are more flexible, allowing for the creation of models tailored to specific scenarios. Additionally, the computational complexity of these methods is relatively low, facilitating parallel processing and making them more suitable for engineering applications.
Methods based on local feature modeling offer flexible design possibilities and have attracted considerable attention in both academic research and practical engineering applications. In particular, approaches that utilize local contrast effectively balance background suppression with target enhancement, demonstrating significant potential for further innovation in model development [12,13,16,17]. These methods generally detect small targets by computing the differences between the central region and its surrounding areas within localized regions. The differences are typically defined using either a ratio or a subtraction operation. Furthermore, evaluating these differences across multiple directions and scales simultaneously enhances the suppression of complex backgrounds while amplifying the features of dim targets. During this process, the estimated values for the target and background are often derived using specific statistical measures, such as the mean, median, maximum, or minimum.
1.1. Related Works
1.1.1. Approach Focused on Local Features
Methods that rely on local feature extraction generally analyze target and background properties within a specified window, with the window size playing a critical role in determining detection accuracy. These methods are highly adaptable, enabling algorithmic adjustments suited to specific scenarios, which makes them particularly promising for practical engineering applications. When dealing with weak targets or complex backgrounds, integrating supplementary prior knowledge can enhance the model’s feature representation capabilities, thereby improving detection performance in difficult conditions.
Methods based on local contrast have received the most attention, as they simulate the human visual attention mechanism by calculating the difference, ratio, or a combination of both between the estimated values of the target and the background [12,15,18,19,20,21,22]. These models for calculating differences can be extended to various directions and scales, enhancing the algorithm’s robustness across different scenes and improving its adaptability to targets of varying sizes [13,18,23,24]. Some methods convert absolute differences into relative differences, allowing the model to better distinguish between bright backgrounds and weak targets. Relative differences can be calculated using the ratio between the target and background or other forms of normalization. This transformation reduces the interference of bright backgrounds, enhances the detection of weak targets in complex backgrounds, and improves the model’s robustness and accuracy, particularly in scenes with significant variations in lighting or contrast [19,25]. Furthermore, to make the model more reasonable, some methods have introduced weighting functions [14,26,27,28].
For sequential image data, several spatiotemporal joint modeling methods have been proposed. By leveraging prior information from the temporal dimension, these methods significantly enhance target detection capabilities, allowing for more effective integration of spatial and temporal features. This leads to improved detection accuracy and robustness, especially in dynamic or complex environments where targets evolve over time [29,30].
The DoG (Difference of Gaussians) model can detect high-frequency information by calculating the difference between two Gaussian-blurred images at different scales, making it suitable for detecting small targets. This method is straightforward and characterized by a clear underlying principle and low computational complexity. Furthermore, the form of the weighting function is in line with the ideal characteristics of infrared imaging, offering strong noise resistance [16]. The performance is somewhat affected when dealing with complex scenes. DDoG [31] and IDoGb [32] incorporate local directional information to enhance the suppression of the surrounding background. The IDPGSM [33] method integrates spatial domain contrast techniques, resulting in a further enhancement of performance. This DoG-based detection model uses a concentric diffusion structure, assigning the highest weight to the center point in both scale spaces. It performs well when the target is bright and the background is smooth. However, in complex backgrounds with weak targets, the high-weighted positions can diminish the energy of the weak target. Both DoG [16] and IDoGb [32] address this issue by setting the second scale to infinity, effectively mitigating this problem and preserving the target’s integrity.
1.1.2. Global Feature-Based Approach
The IPI (Infrared Patch-Image) method [8], based on the assumption of a low-rank background, transforms the small target detection problem into an optimization task that seeks to recover both the low-rank background and the sparse small targets. This approach emphasizes the extraction of global features by leveraging the low-rank properties of the infrared background, enabling more effective separation of small targets from complex backgrounds. Its main advantage is that it does not require presetting the size and shape of the target, making it highly adaptable to different scenes. However, the drawback lies in the iterative process, which reduces its real-time performance. NRAM [34] introduces a structured l2,1 norm to eliminate strong sparse edge residuals. NIPPS [35] is aimed at addressing the detection performance issues caused by insufficient samples. By introducing partial sum minimization of singular values, they enhance the robustness and accuracy of infrared small target detection. The NOLC method [10] is proposed from a new perspective, considering that actual data show a vast difference between sparse and low-rank terms for different infrared images.
To address the issue of disrupted local background self-similarity in the IPI model, the IPT (infrared patch-tensor) model was introduced. Dai extended the IPI model into a three-dimensional tensor form, creating the RIPT [11] model, which fully leverages the structural information of the background and the local and non-local priors in the image. This enhances detection performance and robustness. Furthermore, a novel non-convex low-rank constraint named PSTNN [36], combined with a weighted norm, was introduced, significantly improving performance and reducing the complexity of the ADMM solver. Guan et al. extended the IPT framework by incorporating local contrast energy to form the NTRS model [37] for infrared small target detection. At the same time, Kong focused on improving background rank representation and noise robustness by introducing the LogTFNN model [38]. A novel group IPT model (GIPT) is proposed by using different weights to constrain and differentiate line structures from point structures [39]. In addition, dim and small infrared target detection algorithms for time-space domain feature fusing to the IPT model have also received attention from several researchers [40,41,42,43,44].
1.1.3. Approach Focused on Deep Feature Extraction
Deep-learning-based features, in contrast to handcrafted features, excel at capturing richer semantic information and complex patterns within high-dimensional spaces. With the rapid progress of artificial intelligence, deep feature-based methods for infrared small target detection have emerged as a prominent research focus. Wang et al. first demonstrated the potential of end-to-end convolutional neural networks for small target detection in 2017 [2], marking a significant milestone in this field. Zhao et al. introduced a GAN architecture inspired by U-Net, which autonomously extracts features while incorporating loss to enhance detection precision [3]. Building on these advancements, ALCNet was designed to integrate local contrast priors, effectively improving background suppression and target visibility in complex infrared scenes [5]. Similarly, RISTDnet combined handcrafted and deep features to produce a target/background likelihood map, demonstrating a novel hybrid approach [6]. Over the past years, significant efforts have been made to advance this field further [45,46,47,48,49,50,51]. For instance, methods such as RPCANet [52] and LWNet [4] have focused on improving detection robustness under challenging conditions, while others [49,50,53] have explored dense architectures to boost feature representation. However, despite these advancements, challenges remain due to the limited availability of annotated data, small target imaging areas, and the lack of distinct texture and shape features. These limitations underline the necessity for continued research into deep-learning-based methods for infrared small target detection.
1.2. Motivation and Contributions
When dealing with complex scenes, such as those affected by noise or cluttered backgrounds, this approach may fail to remain effective. In the Difference of Gaussians (DoG) model, the target and background are ideally assumed to follow Gaussian distributions. The Euclidean distance between each pixel and the center point is incorporated as a factor in weight calculations. This approach enhances the model’s capability to handle complex backgrounds. However, the concentric structure design may reduce target contrast, negatively impacting the detection of dim targets due to the weakened differentiation between the target and background. Inspired by this, we focus on designing more rational weights to achieve a more robust distinction between the target and background. By optimizing the weight design, we aim to enhance the model’s sensitivity to subtle differences between the infrared target and its complex background, thereby improving detection performance across various conditions. This approach addresses the limitations of previous models that reduce target contrast, ensuring better adaptability and accuracy in challenging detection scenarios. Figure 1 presents the flowchart of the new infrared small target detection model proposed in this paper. Our method has the following key contributions:
Figure 1.
Flowchart of the method proposed in this paper.
- Non-identical distribution hypothesis mechanism: We use a Gaussian function suited for small targets, nested with a Gabor function to capture the directional features of the background, enhancing the rationality of the target-local region difference computation.
- Non-concentric differential model: This avoids conflicts of high-weight values at the model center, reduces energy at the target location, and effectively minimizes weak target loss.
- High-weight focuses on the transition region: Targeting the transition area between the target and background is a critical factor for visual differentiation in human perception by incorporating positional relevance into the weight allocation strategy and optimizing the allocation mechanism using the Gabor function. It not only enhances the local contrast of the target but also improves the suppression of complex backgrounds.
2. Materials and Methods
2.1. Non-Identical Distribution Difference Model
As a band-pass filter, the DoG filters can effectively suppress smooth backgrounds and, to some extent, high-frequency noise, enhancing target edges and local features. Thus, the DoG model is applied to infrared small target detection and has been extended to multi-scale spaces. It provides stable detection performance in uniform backgrounds and achieves a level of real-time capability. The definition of two-dimensional DoG filtering is as follows:
where and represent the standard deviations at two different scales.
The DoG filter in Equation (1) suppresses smooth backgrounds and high-frequency noise, enhancing target edges and features. In uniform backgrounds, it delivers stable detection performance, adapts to varying target sizes in multi-scale spaces, and supports real-time applications. However, since the Gaussian distribution is isotropic and lacks directional sensitivity, it cannot effectively capture background variations across different directions in complex scenes, which impacts performance. To overcome the limitations of isotropic Gaussian models in handling complex, anisotropic background clutter, the iDoGb [32] model replaces the Gaussian distribution with a Gabor function, introducing directional sensitivity to better manage complex scenes:
where σs control the frequency response along axes, allowing for anisotropic scaling, and governs the orientation, enabling directional sensitivity. The Gabor function is defined as follows:
where
is the coordinates rotation with angle . The iDoGb approach uses four different angles: , with , and . Furthermore, it does not include the cosine term, resulting in a directional Gaussian filter.
The Gabor function provides directionality and effectively captures complex background features. However, small targets generally lack significant directional differences. Thus, the Gaussian function better aligns with the inherent characteristics of small targets from the perspective of matched filtering. To integrate the advantages of both, we define the DoGaGb model as:
where . Figure 2 illustrates the schematic representations of three concentric structures. The bright central region is designated for extracting target features, while the surrounding darker regions are used for capturing local background characteristics. The differential model is employed to identify and capture the contrast between the target and the background. We suggest that the model in Figure 2b may not align well with the distribution characteristics of infrared small targets and their background. Infrared small targets generally exhibit isotropic distributions, whereas the background tends to be anisotropic. To address this disparity, we relax the constraint in iDoGb. This adjustment allows the model to better adapt to the diverse distribution patterns of the background while preserving its effectiveness in detecting isotropic small targets, as demonstrated in Figure 2c.
Figure 2.
Schematic diagram of three differential structures in a plane. (a) DoG, , . (b) iDoGb, , , , , . (c) DoGaGb, , , , .
Furthermore, as shown in Figure 3, the directionality of the Gabor function aids in extracting background features in segmented regions. It shows the planar representation of the DoGaGb differential model proposed in this paper, which incorporates a Gaussian nested with a Gabor function. The central target region remains rotation-invariant, with controlling the circular scale. The surrounding background region adapts to different orientations through , while and regulate the scale and aspect ratio of the elliptical shape.
Figure 3.
The DoGaGb model under different orientations. , , . (a) . (b) . (c) . (d) .
2.2. Non-Concentric Structure Differential Model
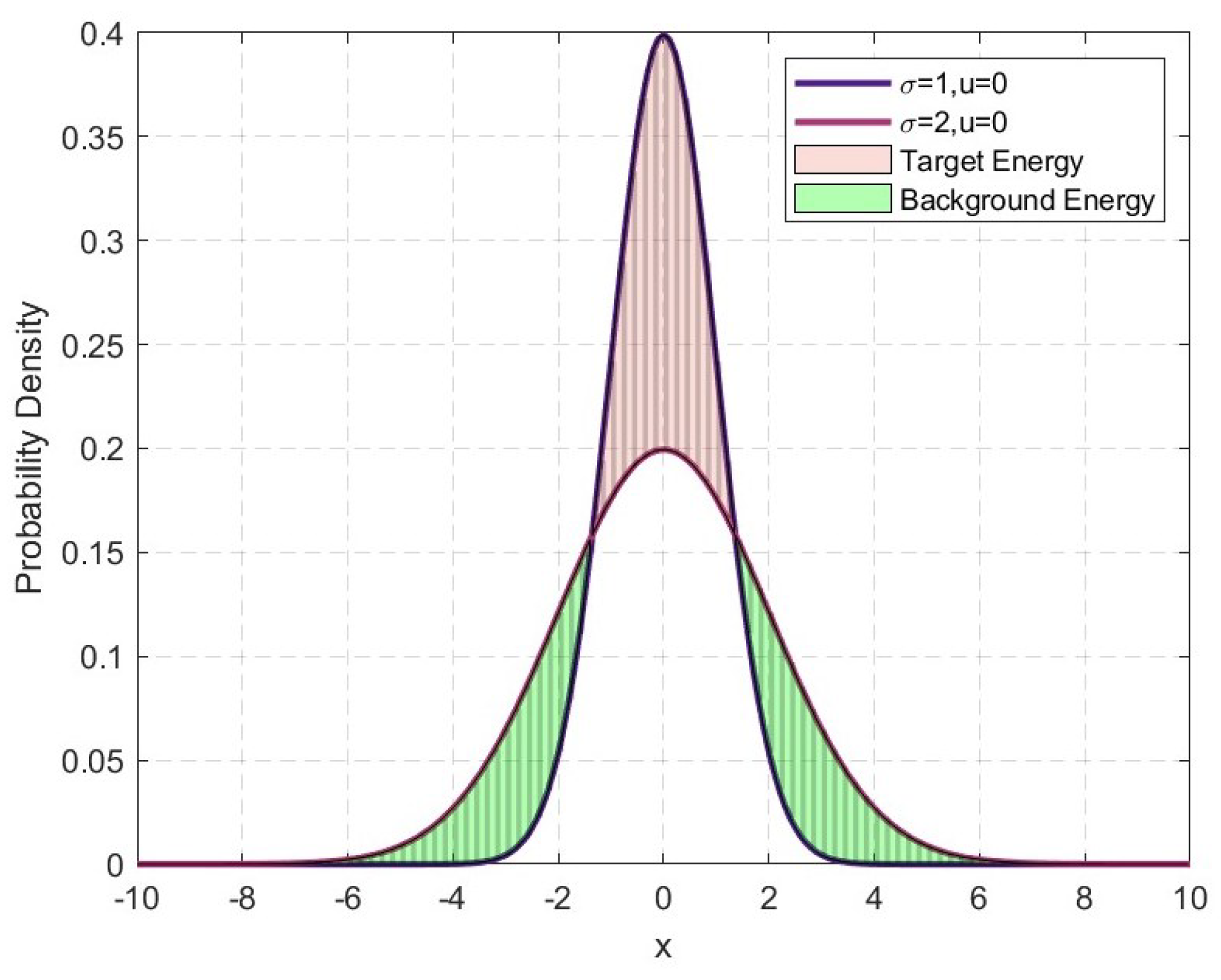
The concentric structure of the Gaussian difference model can suppress the background to a certain extent, but it also weakens the energy of the target. We know that the Gaussian model is a location-dependent distribution model where data become more concentrated as they approach the center. The parameter controls the width of the data distribution. Generally, data that fall beyond from the center can be considered outliers and ignored. The Gabor function can be considered a generalized form of the Gaussian function, exhibiting similar data distribution characteristics. Therefore, both exhibit the characteristic of data concentration towards the center. When used as a filter, the center of the filter is assigned a high weight, gradually decreasing outward until the furthest point is reached at . Figure 4 shows the energy distribution of a one-dimensional concentric Gaussian differential model. It can be observed that concentric differential models result in competing high weights at the center, weakening the peak energy weight of the target.
Figure 4.
Energy distribution of concentric Gaussian differences.
Additionally, the weight distribution in the surrounding background regions is relatively small, leading to insufficient extraction of background feature information. Figure 5 shows the 3D representation of three concentric differential models, with the z-axis indicating the weight distribution across various orientations. The negative weights in the background regions are minimal, causing the structure to rely heavily on the absolute grayscale of the target. Consequently, fragile targets are prone to being missed in these detection models. Therefore, we aim to separate the central positions of the two models in the differential structure to maximally retain the peak energy weight at the central target position.
Figure 5.
3D display of three concentric differential models. (a) DoG, , . (b) DoGb, , , , , . (c) DoGaGb, , , , .
2.2.1. Weights Allocation
As mentioned above, the weight distributions in the Gabor and Gaussian models are determined by their distance from the center, with weights gradually decreasing from the center to the periphery. In the concentrically nested differential models, the positive model captures target features, while the negative model captures background features. The difference between these two models highlights the distinctions between the target and the background. These feature values are calculated using filters with predefined dimensions.
As illustrated in Figure 6a, in the uniform background, the size of the filter has minimal impact on performance as long as it matches the target size, regardless of the weight distribution or position. However, in more complex scenes, such as when clutter is present near the target, the selection of filter weights and scales can lead to oscillations in the feature values. As shown in Figure 6b, the target is approaching a bright background in one direction. If the background feature calculation in this direction, based on the scale of the illustrated filter, includes background clutter, the feature value may potentially exceed that of the target, leading to missed detection. However, the figure also shows that human eyes can easily identify the target, as they primarily rely on the contrast between the target and its closest background. Therefore, when calculating background feature values, a positional weighting scheme should be introduced. The allocation principle should ensure that positions closer to the target edge are assigned higher weights.
Figure 6.
Schematic diagram of a small target against a homogeneous background and a small target located at the edge of bright clutter. (a) homogeneous background (b) the edge of bright clutter.
In fact, regardless of how complex the background is, if a target can be perceived by the human eye, it must follow this principle: it creates identifiable differences with its closest neighborhood. This assumption is not tailored to a specific scene but adheres to the fundamental principle that targets can be perceived in any scene. For Gaussian and Gabor distributions, the specific weight values are determined by the scale and mean value d. Next, we analyze the selection of scale and mean in the model.
2.2.2. Center Offset
Figure 4 presents a schematic diagram of two one-dimensional Gaussian difference models with different offsets on the same scale. The pink area denotes positive values, representing the distribution of target energy, while the green area indicates negative values, reflecting the distribution of background energy. The height of each vertical bar can be interpreted as the weight of the gray level that contributes to the calculation at that point in the image. As shown in Figure 4, although the concentric Gaussian distribution reasonably allocates weights to both the target area and the local background, the overall weight distribution remains relatively concentrated. This concentric structure results in a significant reduction in the weight of the critical central region of the target.
Consequently, this approach can lead to missed detections when addressing weak targets and can cause false alarms in complex scenes. To address this issue, both the DoG and iDoGb models set the sigma of the second Gaussian model to infinity to achieve optimal retention of target energy. However, this results in the weight distribution of the second Gaussian being similar to that of mean filtering, thereby wasting some potential prior information. Figure 7 illustrates three differential structures with varying center displacements. It is evident that as the distance between the two center positions increases, both the target signal energy and the background component are retained more completely.
Figure 7.
Energy distribution of concentric one-dimensional standard Gaussian differences under different background parameters . (a) represents the energy distribution when the parameter = 1, (b) shows the case when , and (c) illustrates the distribution for . The shaded areas indicate the target energy (red) and background energy (green).
We designed a non-concentric structure called NDoGaGb, as shown in Equations (6) and (7), which introduces an offset d to reduce the weight loss in the target region and enhance the weight information in the background region. The NDoGaGb structure is better able to resist interference from complex backgrounds and improves the detection performance for dim targets.
where
The directional parameter ranges from 0, , …, to .
In other words, the contrast between the target and background inherently has a positional correlation. The Gabor function is a model that effectively represents these position-dependent characteristics. Obviously, as indicated by the above analysis, we should set the highest weight of the Gabor filter in the transition area between the target and the background in Formula (1). This is a crucial step. It can enhance the local differences between the target and the background while reducing the interference from distant, irrelevant background clutter on the model. As follows, we have determined the setting of the core parameter d in Formula (6).
where is the scale of Gaussian distribution and the effective area of the target is . Considering the dimensions of the infrared small targets, which vary from 1 × 1 to 9 × 9, the value is accordingly set to range between 0 and 2 for this specific task.
2.3. Feature Intensity Standardization
In the section above, we analyze how nested Gaussian and Gabor function models can be used to detect differences between the target and background across various directions. However, these differences ultimately reflect only the absolute grayscale levels of the target and background. When the target is extremely weak and its absolute grayscale is significantly lower than background variations, relying solely on these absolute grayscale differences may not be sufficient for detection. Therefore, enhancing the target’s features becomes essential. Typically, small targets display grayscale differences in all directions, unlike the background. One of the most effective methods for enhancing target features involves multiplying and fusing responses from different directions, which requires converting absolute grayscale differences into relative differences to minimize anomalies.
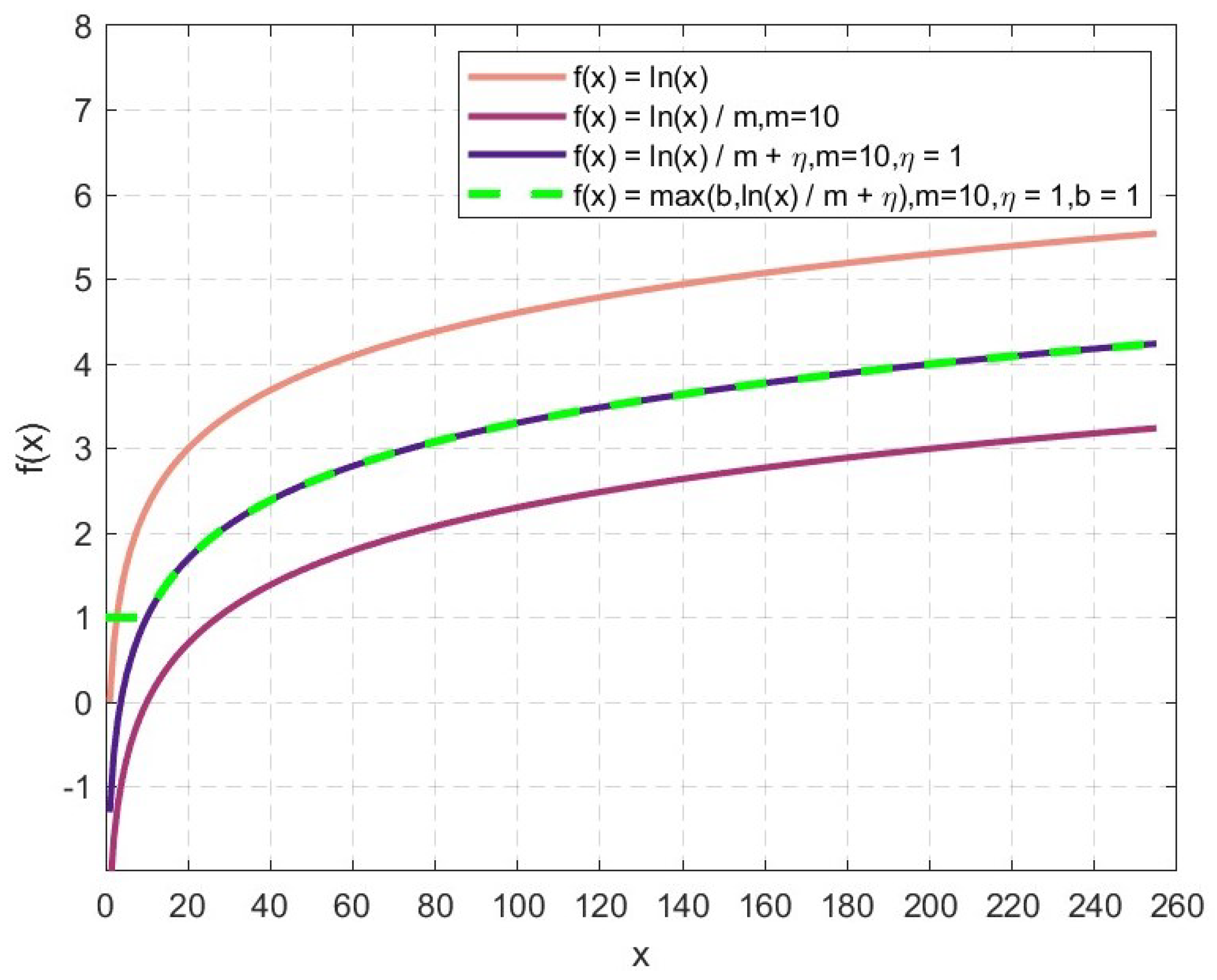
We compare the differential response obtained at the current point with the fluctuations in the background area for that direction and use this comparison value as the relative differential response value for that direction. We employ the logarithmic function as a standard for calculating relative differences, using the difference between the maximum and minimum values in the background as an indicator of background fluctuations. In our dataset, this difference ranges between 0 and 255. Directly using this range to transform absolute differences into relative ones can result in excessive suppression, potentially leading to missed target detections. Therefore, we first scale the max-min difference into a smaller range by grouping every 10 grayscale levels and then apply the logarithm to these adjusted values.
where is the set of points in the sub-neighborhood of the background in the i-th direction at the current point. is the error coefficient to ensure that the value of the function is greater than 1. m is the division interval for the difference between the maximum and minimum values, which can be set to 10 here. Figure 8 illustrates the range of relative differences between the target and background described using the natural logarithm function, with the green section representing the method adopted in this paper, corresponding to the function in Equation (9). Figure 9 is an illustration of the effectiveness of feature normalization.
Figure 8.
Diagrams of several natural logarithm functions.
Figure 9.
Illustration of the effectiveness of feature normalization. (a) Original Image; (b) Experimental result without logarithmic function normalization; (c) Experimental result with logarithmic function normalization.
2.4. Target Feature Enhanced Module
We fuse features at different scales and orientations to maximize the enhancement of the target. Following the approach of the iDoGb model, we divide the NDoGaGb model at the same angle into two diagonal directions, thus forming a differential model under eight directions.
where s represents all scales. According to the definition of small target size, the scale of can be set between 0.2 and 2. The directional parameter ranges from 0, , …, to . Here, each is divided into diagonal directions, so the corresponding multiplication fusion is for 8 directions.
2.5. Threshold Segmentation
Following the series of operations described above, the features of small targets are significantly enhanced. Through experimentation, we confirmed that these targets can be effectively extracted using adaptive threshold segmentation. The threshold is defined as
where and denote the mean value and the standard deviation of rNDoGaGb. For infrared small target detection, the selection of the value for k is typically governed by the minimum signal-to-clutter ratio (SCR) required for the detection of the target, which is inherently linked to the specific dataset and task. In our experiments, k is a factor ranging from 1 to 30. The operator symbol “·” stands for multiplication.
3. Results
In this section, we detail our experiments, starting with datasets, the evaluation metrics, and baseline methods. We then showcase the performance of our algorithm through both qualitative and quantitative experimental results.
3.1. Datasets
Our data sources mainly come from three public datasets. They are the SIRST dataset [5], the NUDT-SIRST dataset [49], and the IRSAT dataset [54], respectively. The experimental data displayed in the qualitative evaluation section are all derived from these three datasets. In addition, we have also extracted a portion of six datasets as experimental data for quantitative evaluation. Table 1 presents detailed information on the six groups of test datasets.
Table 1.
Detailed description of the six real sequences.
3.2. Evaluation Metrics
To better demonstrate the effectiveness of our proposed algorithm, we use the signal-to-clutter ratio (SCR) as a metric to represent the challenge of detecting small targets. The SCR is defined as
where and denote the mean values of the target region and the surrounding background region, respectively, as illustrated in Figure 10. Here, is the standard deviation of the background. This SCR, calculated using the mean target value, is also known as the mean signal-to-clutter ratio (MSCR). In the course of our experimental study, the parameters a and b denote the dimensions of the enclosing rectangle for the infrared small targets, specifically capturing its height and width. The variable d defines the computational domain that represents the background area, which is meticulously centered and symmetric relative to the target area. To streamline the process of comparative analysis, we have adopted a value of d equal to 15, mirroring the parameterization used in the study presented in paper [34]. As a general rule, an increase in the signal-to-clutter ratio tends to enhance the detectability of the target.
Figure 10.
Diagram of the target and its surrounding background.
The capacity to amplify the visibility of small and faint targets while effectively muting intricate backgrounds is pivotal in assessing the comprehensive efficacy of the detection algorithm. Consequently, the enhancement of the signal-to-clutter ratio gain (SCRG) and the background suppression factor (BSF) serves as the prevalent benchmarks for evaluation. The SCRG is delineated as follows:
where the suffixes “in” and “out” represent the original image and the processed image, respectively. The definition of BSF is as follows:
where and represent the standard deviations of the background before and after the detection algorithm, respectively. Higher SCRG and BSF values are desired, as they indicate better detection capability.
To delve deeper into performance evaluation, we turn to the Receiver Operating Characteristic (ROC) curve, a graphical representation that maps out the interplay between the true positive rate (TPR) and the false positive rate (FPR). In the realm of infrared small target detection, these metrics are quantified as follows.
The closer the ROC curve hones in on the upper left-hand corner of the graph, the more robust the algorithm’s performance.
3.3. Baselines
The method proposed in this paper is fundamentally based on modeling the human visual mechanism and integrates both frequency-domain and spatial-domain feature extraction techniques to improve infrared small target detection. Its implementation can also be viewed as a filter with weighted differences. Therefore, we initially selected relevant state-of-the-art methods for performance comparison. TOPHAT, a classic background suppression method, was used as one of our baselines. DoG [16] and iDoGb [32] are closely related to our approach and served as key inspirations, making them our top choices for comparison. LCM [12] and MPCM [13] are representative methods of the local relative difference ratio approach and the local absolute difference-based classification approaches, respectively. Our method utilizes an optimized weighted difference approach, converting it into relative differences. Therefore, we use them as baseline methods for comparison. Our method aims to improve small target detection performance in complex scenes. Low-rank assumption-based methods like NRAM [34] and PSTNN [36] demonstrate greater robustness in such challenging conditions, making them important benchmarks for our comparisons. Table 2 shows the parameter settings for each method. Methods such as DoG and our approach involve simple convolution operations with a computational complexity of for an image of size and a filter of size . In contrast, methods like NRAM and PSTNN involve iterative optimization or matrix decomposition operations, resulting in significantly higher computational costs.
Table 2.
Detailed parameter settings for the eight methods.
3.4. Qualitative Aassessment
The method proposed in this paper is inspired by the mechanism of human visual target detection and is designed to address complex scenes and small targets, thereby enhancing the algorithm’s adaptability in challenging environments. To evaluate and analyze the effectiveness of the algorithm, we consider two dimensions: first, from the perspective of application scenes, assessing its generalization ability across various contexts; second, from the perspective of image feature distributions, examining its performance in three common challenging scenes.
We analyze several typical scenes commonly encountered in the application of infrared small target detection technology in Section 3.4.1, including: (1) sky scenes, (2) sea-sky scenes, (3) urban scenes, and (4) suburban scenes.
However, the difficulty of small target detection is not entirely determined by the application scene; the fundamental reason lies in the distribution characteristics of the target and background, which lead to differences in detection performance. Therefore, we selected several complex scenes with easily missed targets to compare the performance of the proposed method against baseline methods while also validating the design of our model, as detailed in Section 3.4.2. This includes three cases: (1) The target has a relatively high contrast but is situated at the edge of background clutter, causing the background to interfere with the feature value calculation, which reduces the target’s prominence in the response. (2) The target exhibits considerable energy in a local region but is affected by high-intensity false alarms in the background. (3) The target is located against a bright background, resulting in relatively low contrast with the surrounding background.
In addition, in Section 3.4.3, we presented the segmentation results of our proposed method in 12 different complex scenes, including both single-target and multi-target scenes, to further demonstrate the performance of the method presented in this paper.
These figures illustrate the comparative ability of the method introduced in this paper and other baseline methods to suppress the background and highlight the target. The x-axis and y-axis denote the spatial coordinates within the image, while the z-axis represents the saliency values assigned to each pixel under various algorithms. To facilitate comparison, all the results have been normalized to a scale of 0 to 1. A larger disparity in saliency values between the target location and the background clutter indicates more robust algorithm performance, which is also beneficial for subsequent binary segmentation. In the 3D plot, the target’s position is indicated by a red circle; the absence of such an annotation suggests that the algorithm has mistakenly treated the target as part of the background.
3.4.1. Adaptability to Application Scenes
Robustness against sky scenes: As shown in Figure 11, in sky scenes, the background clutter exhibits a rather uniform structure, with substantial gradient responses typically confined to the edges of clouds. There is a significant correlation between adjacent background regions. Consequently, most of these methods are capable of retaining the target. However, certain methods struggle to adequately suppress the clutter from cloud formations, which poses difficulties for the subsequent binary segmentation process. Besides our method, the global feature-based NRAM and PSTNN methods also show consistent performance.
Figure 11.
Detection performance of different algorithms in sky scenes. Examples 1–5 correspond to different test cases. The arrow in the 3D plot shows the target position, the rectangle in the grayscale image marks the target location, and the red circle represents the ground truth target position in the detection results.
Robustness against sea-sky scenes: Compared to sky scenes, maritime settings are inherently more intricate. As shown in Figure 12, the diverse perspectives from which targets are captured by detectors result in substantial variations in image characteristics. Elements such as the horizon line, the fluctuating sea surface, and the bright ships near the shore can significantly disrupt detection performance. Methods based on local features that do not distinguish direction and scale, such as TOPHAT and DoG, experience significant degradation in performance, mainly due to limitations in background suppression capabilities. Methods based on global features exhibit a high probability of missed detections, as can be seen with the NRAM and PSTNN.
Figure 12.
Detection performance of different algorithms in sea-sky scenes. Examples 1–5 correspond to different test cases. The arrow in the 3D plot shows the target position, the rectangle in the grayscale image marks the target location, and the red circle represents the ground truth target position in the detection results.
Robustness against urban scenes: In urban scenes shown in Figure 13, the interfering objects are not only bright buildings but also come in various shapes and are relatively complex. The detection of targets mainly relies on the capabilities of the background suppression model. The method presented in this paper performs the best compared to other methods, demonstrating strong robustness. The detection performance of other methods fluctuates significantly due to the differences in specific scenes.
Figure 13.
Detection performance of different algorithms in urban scenes. Examples 1–5 correspond to different test cases. The arrow in the 3D plot shows the target position, the rectangle in the grayscale image marks the target location, and the red circle represents the ground truth target position in the detection results.
Robustness against suburban scenes: The suburban scene is a common application for infrared small target detection, often appearing alongside sky backgrounds. It includes interference from vegetation, land, mountains, and other background elements, which visually appear chaotic and make feature extraction challenging. This scene is considered one of the more difficult ones. In Figure 14, the targets are all set against a sky background, where the local background around the targets is relatively uniform. As a result, most methods can retain the targets but may produce some false alarms. In the subsequent analysis of adaptability under different image features, we will further demonstrate detection performance in a complete suburban ground background, providing a more intuitive display of our model’s capabilities.
Figure 14.
Detection performance of different methods in suburban scenes. Examples 1–5 correspond to different test cases. The arrow in the 3D plot shows the target position, the rectangle in the grayscale image marks the target location, and the red circle represents the ground truth target position in the detection results.
3.4.2. Adaptability to Challenging Image Distributions
Robustness for targets at background clutter edges: We design a non-concentric differential filter, which aims to maximize the preservation of target energy. By assigning higher weights to the transition regions, the filter enhances the differential response at these positions. It mitigates the impact of distant, high-intensity background clutter on the target feature response within the filter’s coverage area. Figure 15 shows the comparison results between the proposed method and the baseline method for case (1). In particular, compared with the concentric structure-based differential filter methods, DoG and IDoG, the proposed non-concentric structure demonstrates a clear advantage in enhancing the contrast between the target and the background. Overall, methods based on global features, such as NRAM and PSTNN, exhibit relatively better performance. The other baseline methods rely on the calculation of local features, and due to the lack of a reasonable weighting of the local background, the target is not prominently highlighted in the final map.
Figure 15.
Detection performance of different methods for targets at the edge of background clutter. Examples 1–4 correspond to different test cases. The rectangle in the grayscale image marks the target location, and the red circle represents the ground truth target position in the detection results.
Robustness in scenes with high-intensity background interference: In these scenes, the target is often located against a dark background. While it has enough contrast to be visually recognized, intense background clutter is not fully suppressed, resulting in the target being overshadowed. We use the DoGaGb model to obtain the most accurate differential response values in each direction. These directional response values are then fused to distinguish the target from background clutter, as even high-intensity background clutter is likely to exhibit little or no difference in one or more directions. The experimental results are shown in Figure 16. In such scenes, the sparse highlighted background clutter can cause false detections in methods like NRAM and PSTNN. Other saliency-based methods do not fully suppress the background or effectively highlight the true targets.
Figure 16.
Detection performance of different algorithms for targets at the edge of background clutter. Examples 5–8 correspond to different test cases. The rectangle in the grayscale image marks the target location, and the red circle represents the ground truth target position in the detection results.
Robustness for low-contrast targets located in high-intensity backgrounds: When the target is in a high-energy, saturated background with low absolute grayscale, both differential and ratio models show weak saliency responses. By applying a logarithmic function, we combine the differential and ratio differences to convert the absolute differences from the DoGaGb model into relative differences, enhancing the local contrast of targets. In these cases, most saliency-based models can preserve general targets to some extent, but the responses are not prominent, making subsequent segmentation challenging. Figure 17 demonstrates the detection performance of our method in this scene. Compared to several baseline methods, we achieved relatively more stable performance in handling this type of scene.
Figure 17.
Detection performance of different algorithms for targets at the edge of background clutter. Examples 9–12 correspond to different test cases. The rectangle in the grayscale image marks the target location, and the red circle represents the ground truth target position in the detection results.
3.4.3. Adaptability to Multi-Target and Visualization Results
The robust background suppression and target enhancement capabilities of our method provide a solid basis for subsequent target segmentation. The method showed outstanding detection performance across the three complex scenes discussed, confirming the rationality of the model design presented in this paper. Furthermore, we included experimental results for 12 sets of scenes, differentiating between single-targets in Figure 18 and multi-target cases in Figure 19.
Figure 18.
The detection and segmentation results of the proposed method in single-target scenes. Numbers 1–6 represent different test cases, while (a–f) correspond to various steps in the detection process. The rectangle in the grayscale image (a,d) indicates the location of the target, and the red circle in the 3D plot (b,e) marks the ground truth target position in the detection results.
Figure 19.
The detection and segmentation results of the proposed method in multi-target scenes. Numbers 7–12 represent different test cases, while (a–f) correspond to various steps in the detection process. The rectangle in the grayscale image (a,d) indicates the location of the target, and the red circle in the 3D plot (b,e) marks the ground truth target position in the detection results.
The six sets of images in the single-target scenes consistently demonstrated strong detection and segmentation performance. In the multi-target scenes, despite the targets being situated in local backgrounds with different characteristics, our method was still able to detect them accurately. Notably, in scene 9, the 2 closely positioned targets were successfully detected and segmented.
3.5. Quantitative Assessment
Beyond showcasing the robustness of our approach through the visual demonstration of single-frame target detection across various backgrounds and signal-to-noise ratios, we further substantiate our findings with quantitative assessments via the signal-to-clutter ratio gain (SCRG), background suppression factor (BSF), and Receiver Operating Characteristic (ROC) curves. Table 3 details the comparative experimental outcomes for all 8 methodologies across datasets 1 through 6. Due to the design of the models in the NRAM and PSTNN methods, the local variance of the targets is 0, so we do not conduct statistics for SCRG; our method, because it enhances the target in 8 directions, results in a very significant local signal-to-clutter ratio gain, and therefore we record it as INF (infinity).
Table 3.
SCRG and BSF of the six real sequences.
The ROC curve presented in our experimental results inherently incorporates both false detection rates and missed detection rates, as it plots the true positive rate against the false positive rate across various threshold settings. This analysis effectively captures the trade-offs between false alarms and missed detections, providing a comprehensive evaluation of the model’s performance. Figure 20 is the ROC curve of the single-frame dataset 1. Figure 21 shows the ROC curves of our method compared to the baseline methods across 6 groups of test sequences, where subfigures (a–f) correspond to sequences 1–6 in Table 1, respectively. Our approach is marked with a deep red solid line, while dashed lines represent the other methods. It can be observed that our method consistently remains closest to the top-left corner, indicating a relatively strong adaptability to various scenes.
Figure 20.
ROC curve of single-frame dataset 1.
Figure 21.
ROC curves for 6 groups of test sequences. (a–f) correspond to Seq 1–Seq 6, respectively.
4. Discussions
Through the analysis of the experiments above, it can be seen that multidimensional feature extraction is essential when dealing with complex backgrounds. We have conducted a brief analysis of the main reasons for the performance differences among various methods. The method presented in this paper designs a non-concentric differential filter, which aims to maximize the preservation of target energy. By assigning higher weights to the transition regions, the filter enhances the differential response at these positions. It mitigates the impact of distant, high-intensity background clutter on the target feature response within the filter’s coverage area. We have explored the factors that contribute to the performance differences among each method as follows.
- Filter weights allocation mechanism: In the face of complex scenes, both the Tophat and DoG classic methods are basically unable to function properly. However, compared to the undifferentiated weight configuration of Tophat, one of the filters in DoG and iDoGb uses differential weight allocation, which relatively achieves better background effects. The method proposed in this paper employs different weight configurations in both the target filter and the background filter, which results in more stable detection performance in complex scenes, particularly for small targets that are infinitely close to the background.
- Perception of directional difference features: The Tophat and DoG methods do not differentiate directions when calculating the differences between the target and its local background, which limits their effectiveness. The IDoGb, MPCM, LCM, and the method proposed in this paper incorporate direction-aware modules. By enhancing directional sensitivity, these methods achieve improved performance in complex environments.
- Collaboration of absolute and relative gray level differences: Absolute and relative differences are often represented in the forms of subtraction and ratios. As is widely known, the detection of a target depends on its grayscale level. Using only absolute grayscale differences, the energy of weak targets in the scene is too low and is often overwhelmed by the energy of bright background clutter. Theoretically, relative differences better match the human eye’s mechanism for capturing local saliency, but establishing a reasonable ratio modeling threshold for segmentation is challenging. Tophat, DoG, MPCM, and iDoG are typical differential models, while LCM is a classic ratio model. Each has its limitations. LCM, MPCM, and iDoGb have enhanced their respective models by incorporating directional features, which have led to performance gains. Our method incorporates two different feature types, effectively suppressing background to ensure the detection of low-energy targets.
- The trade-off between local features and global features: Methods based on the low-rank and sparse assumption, such as NRAM and PSTNN, perform notably well in complex scenes. They focus more on global features, enabling them to cope with very complex backgrounds. However, their adaptability to larger targets becomes weaker. Additionally, some critical local features (such as grayscale and gradient) are not fully utilized, making further performance optimization difficult. Moreover, the iterative process makes it challenging to engineer these methods.
In summary, the method proposed in this paper integrates the aforementioned various feature modeling ideas, and its performance is better compared to single feature modeling approaches. However, our method still has certain limitations. For instance, the weight distribution scheme has a certain bias, the ability to capture the grayscale at the target edges is insufficient, and sometimes it may lead to issues such as smaller target scales after segmentation. Additionally, our method is aimed at situations such as close-range drones, where target splitting may occur. Ultimately, the explicitly extracted features by humans are limited. Future research work will combine deep learning to explore more implicit feature extraction methods in order to further enhance the detection capability of small targets.
5. Conclusions
Infrared small-target detection in complex scenes remains a central research challenge, with existing methods still exhibiting certain limitations. Rather than constructing a model tailored to a particular scene, we instead examine the underlying relationship between human visual perception and image feature distributions. Our findings indicate that human visual detectability of a target primarily depends on the background pixels immediately adjacent to the target’s edges; as the distance from these edges increases, the relevance of those pixels correspondingly diminishes. Through this analysis, which elucidates the intrinsic reasons for missed detections and the associated image feature distributions, we developed a new model designed to handle complex scenes. In particular, we introduce a novel non-concentric differential model. By adjusting the center offset, this model enhances the retention of target energy and elevates the contrast between the target and its local background. Moreover, inspired by the principles of human vision and the positional relevance of features, we leverage directional Gabor functions to guide the weighting allocation, thus effectively mitigating issues caused by targets adjacent to image edges. In addition, we incorporate an improved logarithmic function to balance absolute grayscale differences and local contrast, thereby suppressing bright interference and enhancing the prominence of weak and small targets. Extensive experimental evaluations confirm the efficacy of this approach and its superior detection performance.
Author Contributions
Conceptualization, L.P.; methodology, L.P. and Z.L.; validation, L.P.; formal analysis, L.P.; investigation, L.P.; original draft preparation, L.P.; review and editing, L.P., Z.L., T.L. and P.J.; funding acquisition, Z.L. All authors have read and agreed to the published version of the manuscript.
Funding
This research was funded by the National Natural Science Foundation of China under Grant 62302471, the Postdoctoral Fellowship Program of CPSF under Grant GZC20232565, and the fellowship of the China Postdoctoral Science Foundation under Grant 2023M743401.
Data Availability Statement
The datasets employed in this study are openly accessible. The SIRST dataset [5], the NUDT-SIRST dataset [49], and the IRSAT dataset [54] serve as the primary data sources for qualitative evaluations, as illustrated in the examples shown throughout the manuscript. These datasets are available in the public domain, and further inquiries regarding data and processing scripts can be addressed to the corresponding author.
Conflicts of Interest
The authors declare no conflicts of interest.
References
- Kou, R.; Wang, C.; Peng, Z.; Zhao, Z.; Chen, Y.; Han, J.; Huang, F.; Yu, Y.; Fu, Q. Infrared small target segmentation networks: A survey. Pattern Recognit. 2023, 143, 109788. [Google Scholar] [CrossRef]
- Wang, W.; Qin, H.; Cheng, W.; Wang, C.; Leng, H.; Zhou, H. Small target detection in infrared image using convolutional neural networks. Proc. AOPC 2017 Opt. Sens. Imaging Technol. Appl. 2017, 10462, 1335–1340. [Google Scholar]
- Zhao, B.; Wang, C.; Fu, Q.; Han, Z. A novel pattern for infrared small target detection with generative adversarial network. IEEE Trans. Geosci. Remote Sens. 2020, 59, 4481–4492. [Google Scholar] [CrossRef]
- Kou, R.; Wang, C.; Yu, Y.; Peng, Z.; Yang, M.; Huang, F.; Fu, Q. LW-IRSTNet: Lightweight infrared small target segmentation network and application deployment. IEEE Trans. Geosci. Remote Sens. 2023, 61, 5621313. [Google Scholar] [CrossRef]
- Dai, Y.; Wu, Y.; Zhou, F.; Barnard, K. Attentional local contrast networks for infrared small target detection. IEEE Trans. Geosci. Remote Sens. 2021, 59, 9813–9824. [Google Scholar] [CrossRef]
- Hou, Q.; Wang, Z.; Tan, F.; Zhao, Y.; Zheng, H.; Zhang, W. RISTDnet: Robust infrared small target detection network. IEEE Geosci. Remote Sens. Lett. 2021, 19, 7000805. [Google Scholar] [CrossRef]
- Sun, H.; Bai, J.; Yang, F.; Bai, X. Receptive-field and direction induced attention network for infrared dim small target detection with a large-scale dataset IRDST. IEEE Trans. Geosci. Remote Sens. 2023, 61, 5000513. [Google Scholar] [CrossRef]
- Gao, C.; Meng, D.; Yang, Y.; Wang, Y.; Zhou, X.; Hauptmann, A.G. Infrared patch-image model for small target detection in a single image. IEEE Trans. Image Process. 2013, 22, 4996–5009. [Google Scholar] [CrossRef] [PubMed]
- Dai, Y.; Wu, Y.; Song, Y. Infrared small target and background separation via column-wise weighted robust principal component analysis. Infrared Phys. Technol. 2016, 77, 421–430. [Google Scholar] [CrossRef]
- Zhang, T.; Wu, H.; Liu, Y.; Peng, L.; Yang, C.; Peng, Z. Infrared small target detection based on non-convex optimization with Lp-norm constraint. Remote Sens. 2019, 11, 559. [Google Scholar] [CrossRef]
- Dai, Y.; Wu, Y. Reweighted infrared patch-tensor model with both nonlocal and local priors for single-frame small target detection. IEEE J. Sel. Top. Appl. Earth Obs. Remote Sens. 2017, 10, 3752–3767. [Google Scholar] [CrossRef]
- Chen, C.P.; Li, H.; Wei, Y.; Xia, T.; Tang, Y.Y. A local contrast method for small infrared target detection. IEEE Trans. Geosci. Remote Sens. 2013, 52, 574–581. [Google Scholar] [CrossRef]
- Wei, Y.; You, X.; Li, H. Multiscale patch-based contrast measure for small infrared target detection. Pattern Recognit. 2016, 58, 216–226. [Google Scholar] [CrossRef]
- Deng, H.; Sun, X.; Liu, M.; Ye, C.; Zhou, X. Small infrared target detection based on weighted local difference measure. IEEE Trans. Geosci. Remote Sens. 2016, 54, 4204–4214. [Google Scholar] [CrossRef]
- Guan, X.; Peng, Z.; Huang, S.; Chen, Y. Gaussian scale-space enhanced local contrast measure for small infrared target detection. IEEE Geosci. Remote Sens. Lett. 2019, 17, 327–331. [Google Scholar] [CrossRef]
- Wang, X.; Lv, G.; Xu, L. Infrared dim target detection based on visual attention. Infrared Phys. Technol. 2012, 55, 513–521. [Google Scholar] [CrossRef]
- Han, J.; Liu, C.; Liu, Y.; Luo, Z.; Zhang, X.; Niu, Q. Infrared small target detection utilizing the enhanced closest-mean background estimation. IEEE J. Sel. Top. Appl. Earth Obs. Remote Sens. 2020, 14, 645–662. [Google Scholar] [CrossRef]
- Han, J.; Moradi, S.; Faramarzi, I.; Liu, C.; Zhang, H.; Zhao, Q. A local contrast method for infrared small-target detection utilizing a tri-layer window. IEEE Geosci. Remote Sens. Lett. 2019, 17, 1822–1826. [Google Scholar] [CrossRef]
- Han, J.; Liang, K.; Zhou, B.; Zhu, X.; Zhao, J.; Zhao, L. Infrared small target detection utilizing the multiscale relative local contrast measure. IEEE Geosci. Remote Sens. Lett. 2018, 15, 612–616. [Google Scholar] [CrossRef]
- Peng, L.; Zhang, T.; Huang, S.; Pu, T.; Liu, Y.; Lv, Y.; Zheng, Y.; Peng, Z. Infrared small-target detection based on multi-directional multi-scale high-boost response. Opt. Rev. 2019, 26, 568–582. [Google Scholar] [CrossRef]
- Du, P.; Hamdulla, A. Infrared small target detection using homogeneity-weighted local contrast measure. IEEE Geosci. Remote Sens. Lett. 2019, 17, 514–518. [Google Scholar] [CrossRef]
- Nasiri, M.; Chehresa, S. Infrared small target enhancement based on variance difference. Infrared Phys. Technol. 2017, 82, 107–119. [Google Scholar] [CrossRef]
- Lv, P.; Sun, S.; Lin, C.; Liu, G. A method for weak target detection based on human visual contrast mechanism. IEEE Geosci. Remote Sens. Lett. 2018, 16, 261–265. [Google Scholar] [CrossRef]
- Wu, L.; Ma, Y.; Fan, F.; Wu, M.; Huang, J. A double-neighborhood gradient method for infrared small target detection. IEEE Geosci. Remote Sens. Lett. 2020, 18, 1476–1480. [Google Scholar] [CrossRef]
- Peng, L.; Lu, Z.; Lei, T.; Jiang, P. Dual-Structure Elements Morphological Filtering and Local Z-Score Normalization for Infrared Small Target Detection against Heavy Clouds. Remote Sens. 2024, 16, 2343. [Google Scholar] [CrossRef]
- Han, J.; Moradi, S.; Faramarzi, I.; Zhang, H.; Zhao, Q.; Zhang, X.; Li, N. Infrared small target detection based on the weighted strengthened local contrast measure. IEEE Geosci. Remote Sens. Lett. 2020, 18, 1670–1674. [Google Scholar] [CrossRef]
- Cui, H.; Li, L.; Liu, X.; Su, X.; Chen, F. Infrared small target detection based on weighted three-layer window local contrast. IEEE Geosci. Remote Sens. Lett. 2021, 19, 7505705. [Google Scholar] [CrossRef]
- Chen, L.; Lin, L. Improved fuzzy C-Means for infrared small target detection. IEEE Geosci. Remote Sens. Lett. 2021, 19, 7001405. [Google Scholar] [CrossRef]
- Du, P.; Hamdulla, A. Infrared moving small-target detection using spatial–temporal local difference measure. IEEE Geosci. Remote Sens. Lett. 2019, 17, 1817–1821. [Google Scholar] [CrossRef]
- Zhao, B.; Xiao, S.; Lu, H.; Wu, D. Spatial-temporal local contrast for moving point target detection in space-based infrared imaging system. Infrared Phys. Technol. 2018, 95, 53–60. [Google Scholar] [CrossRef]
- Huang, S.; Li, M.; Wang, X.; Zhao, X.; Yang, L.; Peng, Z. Infrared small target detection with directional difference of Gaussian filter. In Proceedings of the 2017 3rd IEEE International Conference on Computer and Communications (ICCC), Chengdu, China, 13–16 December 2017; pp. 1698–1701. [Google Scholar]
- Han, J.; Ma, Y.; Huang, J.; Mei, X.; Ma, J. An infrared small target detecting algorithm based on human visual system. IEEE Geosci. Remote Sens. Lett. 2016, 13, 452–456. [Google Scholar] [CrossRef]
- Kou, R.; Wang, C.; Fu, Q.; Yu, Y.; Zhang, D. Infrared small target detection based on the improved density peak global search and human visual local contrast mechanism. IEEE J. Sel. Top. Appl. Earth Obs. Remote Sens. 2022, 15, 6144–6157. [Google Scholar] [CrossRef]
- Zhang, L.; Peng, L.; Zhang, T.; Cao, S.; Peng, Z. Infrared small target detection via non-convex rank approximation minimization joint l 2, 1 norm. Remote Sens. 2018, 10, 1821. [Google Scholar] [CrossRef]
- Dai, Y.; Wu, Y.; Song, Y.; Guo, J. Non-negative infrared patch-image model: Robust target-background separation via partial sum minimization of singular values. Infrared Phys. Technol. 2017, 81, 182–194. [Google Scholar] [CrossRef]
- Zhang, L.; Peng, Z. Infrared small target detection based on partial sum of the tensor nuclear norm. Remote Sens. 2019, 11, 382. [Google Scholar] [CrossRef]
- Guan, X.; Zhang, L.; Huang, S.; Peng, Z. Infrared small target detection via non-convex tensor rank surrogate joint local contrast energy. Remote Sens. 2020, 12, 1520. [Google Scholar] [CrossRef]
- Kong, X.; Yang, C.; Cao, S.; Li, C.; Peng, Z. Infrared small target detection via nonconvex tensor fibered rank approximation. IEEE Trans. Geosci. Remote Sens. 2021, 60, 5000321. [Google Scholar] [CrossRef]
- Yang, L.; Yan, P.; Li, M.; Zhang, J.; Xu, Z. Infrared small target detection based on a group image-patch tensor model. IEEE Geosci. Remote Sens. Lett. 2022, 19, 7003505. [Google Scholar] [CrossRef]
- Liu, H.K.; Zhang, L.; Huang, H. Small target detection in infrared videos based on spatio-temporal tensor model. IEEE Trans. Geosci. Remote Sens. 2020, 58, 8689–8700. [Google Scholar] [CrossRef]
- Xu, E.; Wu, A.; Li, J.; Chen, H.; Fan, X.; Huang, Q. Infrared Target Detection Based on Joint Spatio-Temporal Filtering and L1 Norm Regularization. Sensors 2022, 22, 6258. [Google Scholar] [CrossRef]
- Yi, H.; Yang, C.; Qie, R.; Liao, J.; Wu, F.; Pu, T.; Peng, Z. Spatial-Temporal Tensor Ring Norm Regularization for Infrared Small Target Detection. IEEE Geosci. Remote Sens. Lett. 2023, 20, 7000205. [Google Scholar] [CrossRef]
- Zhang, G.; Hamdulla, A.; Ma, H. Infrared small target detection with patch tensor collaborative sparse and total variation constraint. IEEE Geosci. Remote Sens. Lett. 2022, 20, 4009005. [Google Scholar] [CrossRef]
- Hu, Y.; Ma, Y.; Pan, Z.; Liu, Y. Infrared dim and small target detection from complex scenes via multi-frame spatial–temporal patch-tensor model. Remote Sens. 2022, 14, 2234. [Google Scholar] [CrossRef]
- Wang, K.; Du, S.; Liu, C.; Cao, Z. Interior attention-aware network for infrared small target detection. IEEE Trans. Geosci. Remote Sens. 2022, 60, 5002013. [Google Scholar] [CrossRef]
- Zhang, M.; Zhang, R.; Yang, Y.; Bai, H.; Zhang, J.; Guo, J. ISNet: Shape matters for infrared small target detection. In Proceedings of the IEEE/CVF Conference on Computer Vision and Pattern Recognition, New Orleans, LA, USA, 18–24 June 2022; pp. 877–886. [Google Scholar]
- Chen, F.; Gao, C.; Liu, F.; Zhao, Y.; Zhou, Y.; Meng, D.; Zuo, W. Local patch network with global attention for infrared small target detection. IEEE Trans. Aerosp. Electron. Syst. 2022, 58, 3979–3991. [Google Scholar] [CrossRef]
- Chen, Y.; Li, L.; Liu, X.; Su, X. A multi-task framework for infrared small target detection and segmentation. IEEE Trans. Geosci. Remote Sens. 2022, 60, 1–9. [Google Scholar] [CrossRef]
- Li, B.; Xiao, C.; Wang, L.; Wang, Y.; Lin, Z.; Li, M.; An, W.; Guo, Y. Dense nested attention network for infrared small target detection. IEEE Trans. Image Process. 2022, 32, 1745–1758. [Google Scholar] [CrossRef] [PubMed]
- Aliha, A.; Liu, Y.; Ma, Y.; Hu, Y.; Pan, Z.; Zhou, G. A Spatial–Temporal Block-Matching Patch-Tensor Model for Infrared Small Moving Target Detection in Complex Scenes. Remote Sens. 2023, 15, 4316. [Google Scholar] [CrossRef]
- Tong, X.; Su, S.; Wu, P.; Guo, R.; Wei, J.; Zuo, Z.; Sun, B. MSAFFNet: A multiscale label-supervised attention feature fusion network for infrared small target detection. IEEE Trans. Geosci. Remote Sens. 2023, 61, 5002616. [Google Scholar] [CrossRef]
- Wu, F.; Zhang, T.; Li, L.; Huang, Y.; Peng, Z. RPCANet: Deep Unfolding RPCA Based Infrared Small Target Detection. In Proceedings of the IEEE/CVF Winter Conference on Applications of Computer Vision, Waikoloa, HI, USA, 3–8 January 2024; pp. 4809–4818. [Google Scholar]
- Wang, K.; Li, S.; Niu, S.; Zhang, K. Detection of infrared small targets using feature fusion convolutional network. IEEE Access 2019, 7, 146081–146092. [Google Scholar] [CrossRef]
- Hui, B.; Song, Z.; Fan, H.; Zhong, P.; Hu, W.; Zhang, X.; Ling, J.; Su, H.; Jin, W.; Zhang, Y.; et al. A dataset for infrared detection and tracking of dim-small aircraft targets under ground/air background. China Sci. Data 2020, 5, 291–302. [Google Scholar] [CrossRef]
Disclaimer/Publisher’s Note: The statements, opinions and data contained in all publications are solely those of the individual author(s) and contributor(s) and not of MDPI and/or the editor(s). MDPI and/or the editor(s) disclaim responsibility for any injury to people or property resulting from any ideas, methods, instructions or products referred to in the content. |
© 2024 by the authors. Licensee MDPI, Basel, Switzerland. This article is an open access article distributed under the terms and conditions of the Creative Commons Attribution (CC BY) license (https://creativecommons.org/licenses/by/4.0/).




















