Early Detection of Rubber Tree Powdery Mildew by Combining Spectral and Physicochemical Parameter Features
Abstract
1. Introduction
2. Materials and Methods
2.1. Study Area
2.2. Data Acquisition
2.2.1. Collection of Leaf Reflectance Spectra
2.2.2. Collection of Leaf Physicochemical Parameters
2.3. Feature Extraction and Analysis
2.3.1. Vegetation Indices Extraction and Selection
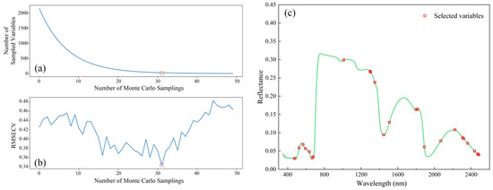
2.3.2. Optimal Wavelengths Selection
2.3.3. Continuous Wavelet Transform and Features Extraction
2.4. Model Construction
2.5. Accuracy Assessment
3. Results
3.1. Spectral and Physiological Responses of Rubber Tree Powdery Mildew
3.2. Optimal Feature Extraction Results for Rubber Tree Powdery Mildew
3.2.1. Vegetation Indices
3.2.2. Optimal Wavelengths
3.2.3. Wavelet Features
3.3. Comparison of the Performance of Models with Different Features
4. Discussion
5. Conclusions
Author Contributions
Funding
Data Availability Statement
Acknowledgments
Conflicts of Interest
References
- Liyanage, K.K.; Khan, S.; Mortimer, P.E.; Hyde, K.D.; Xu, J.; Brooks, S.; Ming, Z. Powdery Mildew Disease of Rubber Tree. For. Pathol. 2016, 46, 90–103. [Google Scholar] [CrossRef]
- Limkaisang, S.; Kom-un, S.; Takamatsu, S.; Furtado, E.L.; Liew, K.W.; Salleh, B.; Sato, Y. Molecular Phylogenetic and Morphological Analyses of Oidium Heveae, a Powdery Mildew of Rubber Tree. Mycoscience 2005, 46, 220–226. [Google Scholar] [CrossRef]
- Liyanage, S.; Jacob, C.K. Diseases of Economic Importance in Rubber. In Developments in Crop Science; Elsevier: Amsterdam, The Netherlands, 1992; Volume 23, pp. 324–359. [Google Scholar]
- Thomas, S.; Kuska, M.T.; Bohnenkamp, D.; Brugger, A.; Alisaac, E.; Wahabzada, M.; Behmann, J.; Mahlein, A.-K. Benefits of Hyperspectral Imaging for Plant Disease Detection and Plant Protection: A Technical Perspective. J. Plant Dis. Prot. 2018, 125, 5–20. [Google Scholar] [CrossRef]
- Zhang, J.C.; Pu, R.; Wang, J.; Huang, W.; Yuan, L.; Luo, J. Detecting Powdery Mildew of Winter Wheat Using Leaf Level Hyperspectral Measurements. Comput. Electron. Agric. 2012, 85, 13–23. [Google Scholar] [CrossRef]
- Ashourloo, D.; Mobasheri, M.R.; Huete, A. Developing Two Spectral Disease Indices for Detection of Wheat Leaf Rust (Pucciniatriticina). Remote Sens. 2014, 6, 4723–4740. [Google Scholar] [CrossRef]
- Abdulridha, J.; Ampatzidis, Y.; Roberts, P.; Kakarla, S.C. Detecting Powdery Mildew Disease in Squash at Different Stages Using UAV-Based Hyperspectral Imaging and Artificial Intelligence. Biosyst. Eng. 2020, 197, 135–148. [Google Scholar] [CrossRef]
- Zhou, R.-Q.; Jin, J.-J.; Li, Q.-M.; Su, Z.-Z.; Yu, X.-J.; Tang, Y.; Luo, S.-M.; He, Y.; Li, X.-L. Early Detection of Magnaporthe Oryzae-Infected Barley Leaves and Lesion Visualization Based on Hyperspectral Imaging. Front. Plant Sci. 2019, 9, 1962. [Google Scholar] [CrossRef]
- Guo, A.; Huang, W.; Ye, H.; Dong, Y.; Ma, H.; Ren, Y.; Ruan, C. Identification of Wheat Yellow Rust Using Spectral and Texture Features of Hyperspectral Images. Remote Sens. 2020, 12, 1419. [Google Scholar] [CrossRef]
- Shi, Y.; Huang, W.; González-Moreno, P.; Luke, B.; Dong, Y.; Zheng, Q.; Ma, H.; Liu, L. Wavelet-Based Rust Spectral Feature Set (WRSFs): A Novel Spectral Feature Set Based on Continuous Wavelet Transformation for Tracking Progressive Host–Pathogen Interaction of Yellow Rust on Wheat. Remote Sens. 2018, 10, 525. [Google Scholar] [CrossRef]
- Zhang, J.; Lin, Y.; Wang, J.; Huang, W.; Chen, L.; Zhang, D. Spectroscopic Leaf Level Detection of Powdery Mildew for Winter Wheat Using Continuous Wavelet Analysis. J. Integr. Agric. 2012, 11, 1474–1484. [Google Scholar] [CrossRef]
- Zhao, Y.-R.; Li, X.; Yu, K.-Q.; Cheng, F.; He, Y. Hyperspectral Imaging for Determining Pigment Contents in Cucumber Leaves in Response to Angular Leaf Spot Disease. Sci. Rep. 2016, 6, 27790. [Google Scholar] [CrossRef] [PubMed]
- Martins, G.D.; Galo, M.D.L.B.T.; Vieira, B.S. Detecting and Mapping Root-Knot Nematode Infection in Coffee Crop Using Remote Sensing Measurements. IEEE J. Sel. Top. Appl. Earth Obs. Remote Sens. 2017, 10, 5395–5403. [Google Scholar] [CrossRef]
- Wu, Y.; Zhao, Q.; Yin, X.; Wang, Y.; Tian, W. Multi-Parameter Health Assessment of Jujube Trees Based on Unmanned Aerial Vehicle Hyperspectral Remote Sensing. Agriculture 2023, 13, 1679. [Google Scholar] [CrossRef]
- Liu, Y.; Zhang, Y.; Jiang, D.; Zhang, Z.; Chang, Q. Quantitative Assessment of Apple Mosaic Disease Severity Based on Hyperspectral Images and Chlorophyll Content. Remote Sens. 2023, 15, 2202. [Google Scholar] [CrossRef]
- Ata-Ul-Karim, S.T.; Cao, Q.; Zhu, Y.; Tang, L.; Rehmani, M.I.A.; Cao, W. Non-Destructive Assessment of Plant Nitrogen Parameters Using Leaf Chlorophyll Measurements in Rice. Front. Plant Sci. 2016, 7, 1829. [Google Scholar] [CrossRef] [PubMed]
- Sims, N.C.; De Barro, P.; Newnham, G.J.; Kalyebi, A.; Macfadyen, S.; Malthus, T.J. Spectral Separability and Mapping Potential of Cassava Leaf Damage Symptoms Caused by Whiteflies (Bemisia tabaci). Pest Manag. Sci. 2018, 74, 246–255. [Google Scholar] [CrossRef] [PubMed]
- Huang, W.; Guan, Q.; Luo, J.; Zhang, J.; Zhao, J.; Liang, D.; Huang, L.; Zhang, D. New Optimized Spectral Indices for Identifying and Monitoring Winter Wheat Diseases. IEEE J. Sel. Top. Appl. Earth Obs. Remote Sens. 2014, 7, 2516–2524. [Google Scholar] [CrossRef]
- Zarco-Tejada, P.J.; Camino, C.; Beck, P.S.A.; Calderon, R.; Hornero, A.; Hernández-Clemente, R.; Kattenborn, T.; Montes-Borrego, M.; Susca, L.; Morelli, M.; et al. Previsual Symptoms of Xylella Fastidiosa Infection Revealed in Spectral Plant-Trait Alterations. Nat. Plants 2018, 4, 432–439. [Google Scholar] [CrossRef]
- Tian, L.; Xue, B.; Wang, Z.; Li, D.; Yao, X.; Cao, Q.; Zhu, Y.; Cao, W.; Cheng, T. Spectroscopic Detection of Rice Leaf Blast Infection from Asymptomatic to Mild Stages with Integrated Machine Learning and Feature Selection. Remote Sens. Environ. 2021, 257, 112350. [Google Scholar] [CrossRef]
- Zhu, H.; Chu, B.; Zhang, C.; Liu, F.; Jiang, L.; He, Y. Hyperspectral Imaging for Presymptomatic Detection of Tobacco Disease with Successive Projections Algorithm and Machine-Learning Classifiers. Sci. Rep. 2017, 7, 4125. [Google Scholar] [CrossRef]
- Milton, E.J.; Schaepman, M.E.; Anderson, K.; Kneubühler, M.; Fox, N. Progress in Field Spectroscopy. Remote Sens. Environ. 2009, 113, S92–S109. [Google Scholar] [CrossRef]
- Cheng, X.; Feng, Y.; Guo, A.; Huang, W.; Cai, Z.; Dong, Y.; Guo, J.; Qian, B.; Hao, Z.; Chen, G.; et al. Detection of Rubber Tree Powdery Mildew from Leaf Level Hyperspectral Data Using Continuous Wavelet Transform and Machine Learning. Remote Sens. 2024, 16, 105. [Google Scholar] [CrossRef]
- Cerovic, Z.G.; Masdoumier, G.; Ghozlen, N.B.; Latouche, G. A New Optical Leaf-Clip Meter for Simultaneous Non-Destructive Assessment of Leaf Chlorophyll and Epidermal Flavonoids. Physiol. Plant. 2012, 146, 251–260. [Google Scholar] [CrossRef]
- Gitelson, A.A.; Gritz †, Y.; Merzlyak, M.N. Relationships between Leaf Chlorophyll Content and Spectral Reflectance and Algorithms for Non-Destructive Chlorophyll Assessment in Higher Plant Leaves. J. Plant Physiol. 2003, 160, 271–282. [Google Scholar] [CrossRef] [PubMed]
- Gitelson, A.A.; Viña, A.; Ciganda, V.; Rundquist, D.C.; Arkebauer, T.J. Remote Estimation of Canopy Chlorophyll Content in Crops. Geophys. Res. Lett. 2005, 32, L08403. [Google Scholar] [CrossRef]
- Kim, M.S.; Daughtry, C.S.T.; Chappelle, E.W.; McMurtrey, J.E.; Walthall, C.L. The Use of High Spectral Resolution Bands for Estimating Absorbed Photosynthetically Active Radiation (A Par). In Proceedings of the 6th International Symposium on Physical Measurements and Signatures in Remote Sensing, Val D’Isere, France, 17–21 January 1994. [Google Scholar]
- Haboudane, D.; Miller, J.R.; Tremblay, N.; Zarco-Tejada, P.J.; Dextraze, L. Integrated Narrow-Band Vegetation Indices for Prediction of Crop Chlorophyll Content for Application to Precision Agriculture. Remote Sens. Environ. 2002, 81, 416–426. [Google Scholar] [CrossRef]
- Daughtry, C.S.; Walthall, C.L.; Kim, M.S.; De Colstoun, E.B.; McMurtrey, J.E., III. Estimating Corn Leaf Chlorophyll Concentration from Leaf and Canopy Reflectance. Remote Sens. Environ. 2000, 74, 229–239. [Google Scholar] [CrossRef]
- Filella, I.; Serrano, L.; Serra, J.; Peñuelas, J. Evaluating Wheat Nitrogen Status with Canopy Reflectance Indices and Discriminant Analysis. Crop Sci. 1995, 35, 1400–1405. [Google Scholar] [CrossRef]
- Penuelas, J.; Frederic, B.; Filella, I. Semi-Empirical Indices to Assess Carotenoids/Chlorophyll-a Ratio from Leaf Spectral Reflectance. Photosynthetica 1995, 31, 221–230. [Google Scholar]
- Blackburn, G.A. Spectral Indices for Estimating Photosynthetic Pigment Concentrations: A Test Using Senescent Tree Leaves. Int. J. Remote Sens. 1998, 19, 657–675. [Google Scholar] [CrossRef]
- Gamon, J.A.; Penuelas, J.; Field, C.B. A Narrow-Waveband Spectral Index That Tracks Diurnal Changes in Photosynthetic Efficiency. Remote Sens. Environ. 1992, 41, 35–44. [Google Scholar] [CrossRef]
- Merzlyak, M.N.; Gitelson, A.A.; Chivkunova, O.B.; Rakitin, V.Y. Non-destructive Optical Detection of Pigment Changes during Leaf Senescence and Fruit Ripening. Physiol. Plant. 1999, 106, 135–141. [Google Scholar] [CrossRef]
- Metternicht, G. Vegetation Indices Derived from High-Resolution Airborne Videography for Precision Crop Management. Int. J. Remote Sens. 2003, 24, 2855–2877. [Google Scholar] [CrossRef]
- Zarco-Tejada, P.J.; Berjón, A.; López-Lozano, R.; Miller, J.R.; Martín, P.; Cachorro, V.; González, M.R.; de Frutos, A. Assessing Vineyard Condition with Hyperspectral Indices: Leaf and Canopy Reflectance Simulation in a Row-Structured Discontinuous Canopy. Remote Sens. Environ. 2005, 99, 271–287. [Google Scholar] [CrossRef]
- Chappelle, E.W.; Kim, M.S.; McMurtrey, J.E. Ratio Analysis of Reflectance Spectra (RARS): An Algorithm for the Remote Estimation of the Concentrations of Chlorophyll A, Chlorophyll B, and Carotenoids in Soybean Leaves. Remote Sens. Environ. 1992, 39, 239–247. [Google Scholar] [CrossRef]
- Rondeaux, G.; Steven, M.; Baret, F. Optimization of Soil-Adjusted Vegetation Indices. Remote Sens. Environ. 1996, 55, 95–107. [Google Scholar] [CrossRef]
- Rouse, J.W.; Haas, R.H.; Schell, J.A.; Deering, D.W. Monitoring Vegetation Systems in the Great Plains with ERTS. In Proceedings of the Third Earth Resources Technology Satellite-1 Symposium, Washington, DC, USA, 10–14 December 1974. [Google Scholar]
- Thenkabail, P.S.; Smith, R.B.; De Pauw, E. Hyperspectral Vegetation Indices and Their Relationships with Agricultural Crop Characteristics. Remote Sens. Environ. 2000, 71, 158–182. [Google Scholar] [CrossRef]
- Gitelson, A.; Merzlyak, M.N. Spectral Reflectance Changes Associated with Autumn Senescence of Aesculus hippocastanum L. and Acer platanoides L. Leaves. Spectral Features and Relation to Chlorophyll Estimation. J. Plant Physiol. 1994, 143, 286–292. [Google Scholar] [CrossRef]
- Gitelson, A.A.; Merzlyak, M.N. Remote Estimation of Chlorophyll Content in Higher Plant Leaves. Int. J. Remote Sens. 1997, 18, 2691–2697. [Google Scholar] [CrossRef]
- Jordan, C.F. Derivation of Leaf-Area Index from Quality of Light on the Forest Floor. Ecology 1969, 50, 663–666. [Google Scholar] [CrossRef]
- Broge, N.H.; Leblanc, E. Comparing Prediction Power and Stability of Broadband and Hyperspectral Vegetation Indices for Estimation of Green Leaf Area Index and Canopy Chlorophyll Density. Remote Sens. Environ. 2001, 76, 156–172. [Google Scholar] [CrossRef]
- Haboudane, D. Hyperspectral Vegetation Indices and Novel Algorithms for Predicting Green LAI of Crop Canopies: Modeling and Validation in the Context of Precision Agriculture. Remote Sens. Environ. 2004, 90, 337–352. [Google Scholar] [CrossRef]
- Merton, R.; Huntington, J. Early Simulation Results of the ARIES-1 Satellite Sensor for Multi-Temporal Vegetation Research Derived from AVIRIS. In Proceedings of the Eighth Annual JPL Airborne Earth Science Workshop, Pasadena, CA, USA, 8–14 February 1999; Citeseer: Princeton, NJ, USA, 1999; pp. 9–11. [Google Scholar]
- Zarco-Tejada, P.J.; Miller, J.R.; Mohammed, G.H.; Noland, T.L.; Sampson, P.H. Chlorophyll Fluorescence Effects on Vegetation Apparent Reflectance: II. Laboratory and Airborne Canopy-Level Measurements with Hyperspectral Data. Remote Sens. Environ. 2000, 74, 596–608. [Google Scholar] [CrossRef]
- Zarco-Tejada, P.J.; Miller, J.R.; Mohammed, G.H.; Noland, T.L. Chlorophyll Fluorescence Effects on Vegetation Apparent Reflectance: I. Leaf-Level Measurements and Model Simulation. Remote Sens. Environ. 2000, 74, 582–595. [Google Scholar] [CrossRef]
- Dobrowski, S.Z.; Pushnik, J.C.; Zarco-Tejada, P.J.; Ustin, S.L. Simple Reflectance Indices Track Heat and Water Stress-Induced Changes in Steady-State Chlorophyll Fluorescence at the Canopy Scale. Remote Sens. Environ. 2005, 97, 403–414. [Google Scholar] [CrossRef]
- Sims, D.A.; Gamon, J.A. Relationships between Leaf Pigment Content and Spectral Reflectance across a Wide Range of Species, Leaf Structures and Developmental Stages. Remote Sens. Environ. 2002, 81, 337–354. [Google Scholar] [CrossRef]
- Barnes, J.D.; Balaguer, L.; Manrique, E.; Elvira, S.; Davison, A.W. A Reappraisal of the Use of DMSO for the Extraction and Determination of Chlorophylls a and b in Lichens and Higher Plants. Environ. Exp. Bot. 1992, 32, 85–100. [Google Scholar] [CrossRef]
- Peñuelas, J.; Filella, I.; Biel, C.; Serrano, L.; Savé, R. The Reflectance at the 950–970 Nm Region as an Indicator of Plant Water Status. Int. J. Remote Sens. 1993, 14, 1887–1905. [Google Scholar] [CrossRef]
- Babar, M.A.; Reynolds, M.P.; van Ginkel, M.; Klatt, A.R.; Raun, W.R.; Stone, M.L. Spectral Reflectance to Estimate Genetic Variation for In-Season Biomass, Leaf Chlorophyll, and Canopy Temperature in Wheat. Crop Sci. 2006, 46, 1046–1057. [Google Scholar] [CrossRef]
- Kononenko, I. Estimating Attributes: Analysis and Extensions of RELIEF. In Proceedings of the Machine Learning: ECML-94, Catania, Italy, 6–8 April 1994; Bergadano, F., De Raedt, L., Eds.; Springer: Berlin/Heidelberg, Germany, 1994; pp. 171–182. [Google Scholar]
- Li, H.; Liang, Y.; Xu, Q.; Cao, D. Key Wavelengths Screening Using Competitive Adaptive Reweighted Sampling Method for Multivariate Calibration. Anal. Chim. Acta 2009, 648, 77–84. [Google Scholar] [CrossRef]
- Mallat, S. A Wavelet Tour of Signal Processing; Elsevier: Amsterdam, The Netherlands, 1999. [Google Scholar]
- Mallat, S. Zero-Crossings of a Wavelet Transform. IEEE Trans. Inf. Theory 1991, 37, 1019–1033. [Google Scholar] [CrossRef]
- Torrence, C.; Compo, G.P. A Practical Guide to Wavelet Analysis. Bull. Am. Meteorol. Soc. 1998, 79, 61–78. [Google Scholar] [CrossRef]
- Cheng, T.; Rivard, B.; Sanchez-Azofeifa, A. Spectroscopic Determination of Leaf Water Content Using Continuous Wavelet Analysis. Remote Sens. Environ. 2011, 115, 659–670. [Google Scholar] [CrossRef]
- Vapnik, V. The Nature of Statistical Learning Theory; Springer Science & Business Media: Berlin/Heidelberg, Germany, 1999. [Google Scholar]
- Karatzoglou, A.; Meyer, D.; Hornik, K. Support Vector Machines in R. J. Stat. Softw. 2006, 15, 1–28. [Google Scholar] [CrossRef]
- Smola, A.J.; Schölkopf, B. A Tutorial on Support Vector Regression. Stat. Comput. 2004, 14, 199–222. [Google Scholar] [CrossRef]
- Breiman, L. Random Forests. Mach. Learn. 2001, 45, 5–32. [Google Scholar] [CrossRef]
- Hosmer, D.W., Jr.; Lemeshow, S.; Sturdivant, R.X. Applied Logistic Regression; John Wiley & Sons: Hoboken, NJ, USA, 2013; ISBN 978-0-470-58247-3. [Google Scholar]
- Pedregosa, F.; Varoquaux, G.; Gramfort, A.; Michel, V.; Thirion, B.; Grisel, O.; Blondel, M.; Prettenhofer, P.; Weiss, R.; Dubourg, V.; et al. Scikit-Learn: Machine Learning in Python. J. Mach. Learn. Res. 2011, 12, 2825–2830. [Google Scholar]
- Ustin, S.L.; Gitelson, A.A.; Jacquemoud, S.; Schaepman, M.; Asner, G.P.; Gamon, J.A.; Zarco-Tejada, P. Retrieval of Foliar Information about Plant Pigment Systems from High Resolution Spectroscopy. Remote Sens. Environ. 2009, 113, S67–S77. [Google Scholar] [CrossRef]
- Torriani, S.F.F.; Melichar, J.P.E.; Mills, C.; Pain, N.; Sierotzki, H.; Courbot, M. Zymoseptoria Tritici: A Major Threat to Wheat Production, Integrated Approaches to Control. Fungal Genet. Biol. 2015, 79, 8–12. [Google Scholar] [CrossRef]
- Song, L.; Wang, L.; Yang, Z.; He, L.; Feng, Z.; Duan, J.; Feng, W.; Guo, T. Comparison of Algorithms for Monitoring Wheat Powdery Mildew Using Multi-Angular Remote Sensing Data. Crop J. 2022, 10, 1312–1322. [Google Scholar] [CrossRef]
- Guo, A.; Huang, W.; Dong, Y.; Ye, H.; Ma, H.; Liu, B.; Wu, W.; Ren, Y.; Ruan, C.; Geng, Y. Wheat Yellow Rust Detection Using UAV-Based Hyperspectral Technology. Remote Sens. 2021, 13, 123. [Google Scholar] [CrossRef]
- Su, J.; Liu, C.; Hu, X.; Xu, X.; Guo, L.; Chen, W.-H. Spatio-Temporal Monitoring of Wheat Yellow Rust Using UAV Multispectral Imagery. Comput. Electron. Agric. 2019, 167, 105035. [Google Scholar] [CrossRef]








| Experimental Site | Number of Field Survey Samples | ||
|---|---|---|---|
| Healthy | Early | Sum | |
| Sanda Mountain | 43 | 21 | 64 |
| Ganlanba Farm | 30 | 30 | 60 |
| Dongfeng Farm | 29 | 10 | 39 |
| Indoor Laboratory | 50 | 50 | 100 |
| Category | Index/Spectral Feature | Definition | Description or Formula | Reference |
|---|---|---|---|---|
| Pigment | ARI | Anthocyanin reflectance index | (R550)−1 − (R700)−1 | [25] |
| AntGitelson | Anthocyanin (Gitelson) | (1/R550 − 1/R700) × R780 | [25] | |
| CIgreen | Green chlorophyll index | (R750 − R550)/R550 | [25] | |
| CIred-edge | Red-edge chlorophyll index | (R750 − R705)/R705 | [26] | |
| CARI | Chlorophyll absorption ratio index | (|(a × 670 + R670 + b)|/(a2 + 1)1/2) × (R700/R670) a = (R700 − R550)/150, b = R550 − (a × 550) | [27] | |
| TCARI | Transformed chlorophyll absorption and reflectance index | 3 × [(R700 − R670) − 0.2 × (R700 − R500)]/(R700/R670) | [28] | |
| MCARI | Modified chlorophyll absorption ratio index | [(R701 − R671) − 0.2 × (R701 − R549)]/(R700/R670) | [29] | |
| NRI | Nitrogen reflectance index | (R570 − R670)/(R570 + R670) | [30] | |
| NPCI | Normalized pigment chlorophyll index | (R680 − R430)/(R680 + R430) | [31] | |
| PSSRa | Pigments specific simple ratio a | R800/R680 | [32] | |
| PSSRb | Pigments specific simple ratio b | R800/R635 | [32] | |
| PRI | Photochemical/physiological reflectance index | (R531 − R570)/(R531 + R570) | [33] | |
| PSRI | Plant senescence reflectance Index | (R680 − R500)/R750 | [34] | |
| PPR | Plant pigment ratio | (R550 − R450)/(R550 + R450) | [35] | |
| RGI | Red green index | R690/R550 | [36] | |
| RARSa | Ratio analysis of reflectance spectra a | R675/R700 | [37] | |
| RARSb | Ratio analysis of reflectance spectra b | R675/(R700 × R650) | [37] | |
| RARSc | Ratio analysis of reflectance spectra c | R760/R500 | [37] | |
| OSAVI | Optimized soil-adjusted vegetation index | (1 + 0.16) ×(R800 − R670)/(R800 + R670 + 0.16) | [38] | |
| SIPI | Structure insensitive pigment index | (R800 − R445)/(R800 + R680) | [31] | |
| Structure | NDVI | Normalized difference vegetation index | (R800 − R670)/(R800 + R670) | [39] |
| NBNDVI | Narrow-band normalized Difference vegetation index | (R850 − R680)/(R850 + R680) | [40] | |
| ReNDVI | Red-edge normalized difference vegetation index | (R750 − R705)/(R750 + R705) | [41] | |
| GNDVI | Green normalized difference vegetation index | (R750 − R540 + R570)/(R750 + R540 − R570) | [42] | |
| GI | Greenness index | R554/R677 | [36] | |
| SR | Simple ratio | R900/R680 | [43] | |
| TVI | Triangular vegetation index | 0.5 × [120(R750 − R550) − 200(R670 − R550)] | [44] | |
| MTVI | Modified triangular vegetation index | 1.2 × [1.2(R800 − R550) − 2.5(R670 − R550)] | [45] | |
| RVSI | Red-edge vegetation stress Index | [(R712 + R752)/2] − R732 | [46] | |
| Physiology | FRI1 | Fluorescence ratio index 1 | R690/R630 | [47] |
| FRI2 | Fluorescence ratio index 2 | R750/R800 | [48] | |
| FRI3 | Fluorescence ratio index 3 | R690/R600 | [49] | |
| FRI4 | Fluorescence ratio index 4 | R740/R800 | [49] | |
| FCI | Fluorescence curvature index | /(R675 × R691) | [47] | |
| mRESR | Modified red-edge simple ratio index | (R750 − R445)/(R705 + R445) | [50] | |
| NPQI | Normalized Pheophytization Index | (R415 − R435)/(R415 + R435) | [51] | |
| PhRI | Physiological reflectance index | (R550 − R531)/(R531 + R550) | [33] | |
| Water content | WI | Water Index | R900/R970 | [52] |
| WSCT | Water Stress and Canopy Temperature | (R970 − R850)/(R970 + R850) | [53] |
| Input Feature | SVM | RF | LR | ||||||||||
|---|---|---|---|---|---|---|---|---|---|---|---|---|---|
| H | E | OA(%) | F1-Score | H | E | OA(%) | F1-Score | H | E | OA(%) | F1-Score | ||
| VIs | H | 47 | 14 | 68.9 | 0.740 | 47 | 14 | 71.7 | 0.758 | 45 | 16 | 69.8 | 0.738 |
| E | 19 | 26 | 16 | 29 | 16 | 29 | |||||||
| VIs + PFs | H | 47 | 14 | 70.8 | 0.752 | 51 | 10 | 74.5 | 0.791 | 45 | 16 | 71.1 | 0.750 |
| E | 17 | 28 | 17 | 28 | 14 | 31 | |||||||
| OWs | H | 48 | 13 | 77.4 | 0.800 | 47 | 14 | 65.1 | 0.718 | 51 | 10 | 80.2 | 0.829 |
| E | 11 | 34 | 23 | 22 | 11 | 34 | |||||||
| OWs + PFs | H | 51 | 10 | 80.2 | 0.829 | 47 | 14 | 67.9 | 0.734 | 52 | 9 | 82.1 | 0.846 |
| E | 11 | 34 | 20 | 25 | 10 | 35 | |||||||
| WFs | H | 57 | 4 | 92.5 | 0.934 | 58 | 3 | 87.7 | 0.899 | 56 | 5 | 91.5 | 0.926 |
| E | 4 | 41 | 10 | 35 | 4 | 41 | |||||||
| WFs + PFs | H | 59 | 2 | 94.3 | 0.952 | 55 | 6 | 90.6 | 0.917 | 56 | 5 | 93.4 | 0.941 |
| E | 4 | 41 | 4 | 41 | 2 | 43 | |||||||
Disclaimer/Publisher’s Note: The statements, opinions and data contained in all publications are solely those of the individual author(s) and contributor(s) and not of MDPI and/or the editor(s). MDPI and/or the editor(s) disclaim responsibility for any injury to people or property resulting from any ideas, methods, instructions or products referred to in the content. |
© 2024 by the authors. Licensee MDPI, Basel, Switzerland. This article is an open access article distributed under the terms and conditions of the Creative Commons Attribution (CC BY) license (https://creativecommons.org/licenses/by/4.0/).
Share and Cite
Cheng, X.; Huang, M.; Guo, A.; Huang, W.; Cai, Z.; Dong, Y.; Guo, J.; Hao, Z.; Huang, Y.; Ren, K.; et al. Early Detection of Rubber Tree Powdery Mildew by Combining Spectral and Physicochemical Parameter Features. Remote Sens. 2024, 16, 1634. https://doi.org/10.3390/rs16091634
Cheng X, Huang M, Guo A, Huang W, Cai Z, Dong Y, Guo J, Hao Z, Huang Y, Ren K, et al. Early Detection of Rubber Tree Powdery Mildew by Combining Spectral and Physicochemical Parameter Features. Remote Sensing. 2024; 16(9):1634. https://doi.org/10.3390/rs16091634
Chicago/Turabian StyleCheng, Xiangzhe, Mengning Huang, Anting Guo, Wenjiang Huang, Zhiying Cai, Yingying Dong, Jing Guo, Zhuoqing Hao, Yanru Huang, Kehui Ren, and et al. 2024. "Early Detection of Rubber Tree Powdery Mildew by Combining Spectral and Physicochemical Parameter Features" Remote Sensing 16, no. 9: 1634. https://doi.org/10.3390/rs16091634
APA StyleCheng, X., Huang, M., Guo, A., Huang, W., Cai, Z., Dong, Y., Guo, J., Hao, Z., Huang, Y., Ren, K., Hu, B., Chen, G., Su, H., Li, L., & Liu, Y. (2024). Early Detection of Rubber Tree Powdery Mildew by Combining Spectral and Physicochemical Parameter Features. Remote Sensing, 16(9), 1634. https://doi.org/10.3390/rs16091634

