Individual Tree Segmentation Based on Seed Points Detected by an Adaptive Crown Shaped Algorithm Using UAV-LiDAR Data
Abstract
1. Introduction
2. Materials
2.1. Study Area
2.2. Data Collection
2.2.1. UAV-LiDAR Data
2.2.2. Measured Data
2.3. Data Preprocessing
3. Methods
3.1. An Adaptive Crown Shaped Algorithm for Individual Tree Segmentation
3.1.1. Extraction of Crown Surface Points
3.1.2. Adaptive Crown Shaped Algorithm for Seed Point Detection
3.1.3. Elimination of False Seed Points
3.1.4. Individual Tree Segmentation Based on Seed Points
3.2. Extraction of Geometric Features
3.2.1. Tree Height
3.2.2. Crown Diameter
3.2.3. Crown Projection Area
3.3. Accuracy Assessment
4. Results
4.1. Results of Extracted Canopy Surface
4.2. Results of Detected Seed Points
4.3. Results of Individual Tree Segmentation
4.4. Estimation of Crown Structural Parameters
5. Discussion
5.1. Factors Affecting Precision
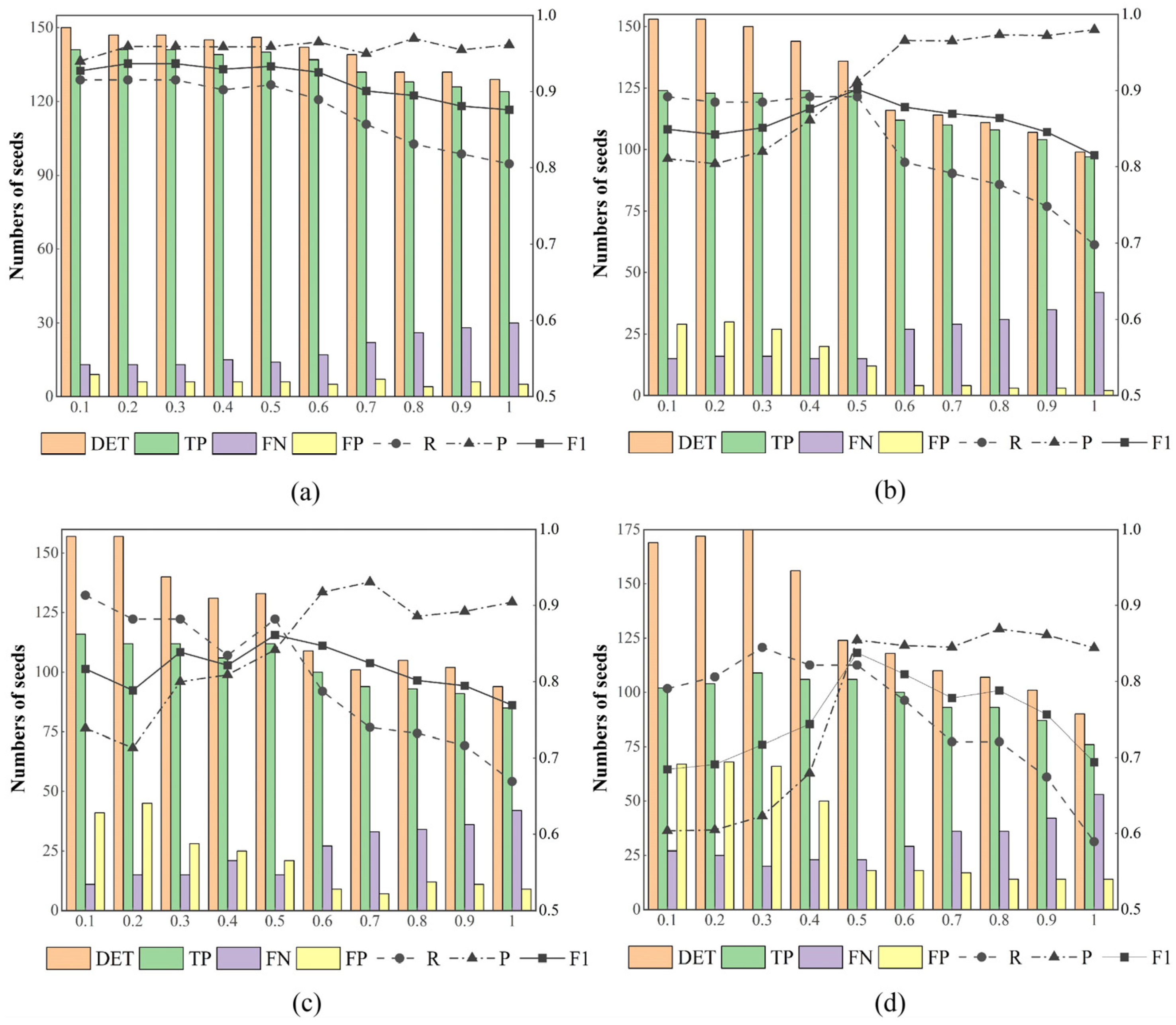
5.1.1. Determination of the Interval of Y-Axis
5.1.2. Effect of Interval ζ
5.1.3. Effect of Gaussian Smoothing Parameter
5.2. Comparison with Existing Methods
5.2.1. Seed Point Detection
5.2.2. Individual Tree Segmentation
5.3. Limitations and Prospects
6. Conclusions
Author Contributions
Funding
Data Availability Statement
Acknowledgments
Conflicts of Interest
References
- Li, Z.; Liu, Q.; Pang, Y. Review on forest parameters inversion using LiDAR. J. Remote Sens. 2016, 20, 1138–1150. [Google Scholar]
- Jaskierniak, D.; Lucieer, A.; Kuczera, G.; Turner, D.; Lane, P.N.J.; Benyon, R.G.; Haydon, S. Individual tree detection and crown delineation from Unmanned Aircraft System (UAS) LiDAR in structurally complex mixed species eucalypt forests. ISPRS J. Photogramm. Remote Sens. 2021, 171, 171–187. [Google Scholar] [CrossRef]
- Ferraz, A.; Bretar, F.; Jacquemoud, S.; Gonçalves, G.; Pereira, L.; Tomé, M.; Soares, P. 3-D mapping of a multi-layered mediterranean forest using ALS data. Remote Sens. Environ. 2012, 121, 210–223. [Google Scholar] [CrossRef]
- Hao, Y.; Widagdo, F.R.A.; Liu, X.; Liu, Y.; Dong, L.; Li, F. A hierarchical region-merging algorithm for 3-D segmentation of individual trees using UAV-LiDAR point clouds. IEEE Trans. Geosci. Remote Sens. 2022, 60, 5701416. [Google Scholar] [CrossRef]
- Koch, B.; Heyder, U.; Weinacker, H. Detection of individual tree crowns in airborne lidar data. Photogramm. Eng. Remote Sens. 2006, 72, 357–363. [Google Scholar] [CrossRef]
- Ahmadi, S.A.; Ghorbanian, A.; Golparvar, F.; Mohammadzadeh, A.; Jamali, S. Individual tree detection from unmanned aerial vehicle (UAV) derived point cloud data in a mixed broadleaf forest using hierarchical graph approach. Eur. J. Remote Sens. 2022, 55, 520–539. [Google Scholar] [CrossRef]
- Liang, X.; Pang, Y.; Chen, B. Accurate measurement of individual tree position based on DBH extraction of terrestrial laser scanning. For. Res. 2020, 33, 67–74. [Google Scholar]
- Zhu, B.; Luo, H.; Jin, J.; Yue, C. Optimization of individual tree segmentation methods for high canopy density plantation based on UAV LiDAR. Sci. Silvae Sin. 2022, 58, 48–59. [Google Scholar]
- Balsi, M.; Esposito, S.; Fallavollita, P.; Nardinocchi, C. Single-tree detection in high-density LiDAR data from UAV-based survey. Eur. J. Remote Sens. 2018, 51, 679–692. [Google Scholar] [CrossRef]
- Xu, D.; Wang, H.; Xu, W.; Luan, Z.; Xu, X. LiDAR applications to estimate forest biomass at individual tree scale: Opportunities, challenges and future perspectives. Forests 2021, 12, 550. [Google Scholar] [CrossRef]
- Liu, H.; Zhang, X.; Zhang, Y.; Zhu, Y.; Liu, H.; Wang, L. Review on individual tree detection based on airborne LiDAR. Laser Optoelectron. Prog. 2018, 8, 82805. [Google Scholar]
- Lee, H.; Slatton, K.C.; Roth, B.E.; Cropper, W.P. Adaptive clustering of airborne LiDAR data to segment individual tree crowns in managed pine forests. Int. J. Remote Sens. 2010, 31, 117–139. [Google Scholar] [CrossRef]
- Sun, Y.; Lin, W. Extraction of the parameters of single tree structure based on SFM algorithm. J. Northwest For. Univ. 2020, 35, 180–184+218. [Google Scholar] [CrossRef]
- Wang, X.; Song, K.; Wang, Z.; Da, L.; Mokroš, M. Usage of Structure-from-Motion for urban forest inventory. J. Southwest For. Univ. (Nat. Sci.) 2021, 41, 139–148. [Google Scholar]
- Huo, L.; Lindberg, E.; Holmgren, J. Towards low vegetation identification: A new method for tree crown segmentation from LiDAR data based on a symmetrical structure detection algorithm (SSD). Remote Sens. Environ. 2022, 270, 112857. [Google Scholar] [CrossRef]
- Wu, X.; Shen, X.; Cao, L.; Wang, G.; Cao, F. Assessment of individual tree detection and canopy cover estimation using Unmanned Aerial Vehicle based Light Detection and Ranging (UAV-LiDAR) data in planted forests. Remote Sens. 2019, 11, 908. [Google Scholar] [CrossRef]
- Yu, H.; Feng, S.; Shen, Y.; Liu, P. Research on single tree segmentation algorithm of UAV LiDAR plantation. Laser Infrared 2022, 52, 757–762. [Google Scholar] [CrossRef]
- Itakura, K.; Miyatani, S.; Hosoi, F. Estimating tree structural parameters via automatic tree segmentation from LiDAR point cloud data. IEEE J. Sel. Top. Appl. Earth Observ. Remote Sens. 2022, 15, 555–564. [Google Scholar] [CrossRef]
- Tang, F.; Ruan, Z.; Liu, X.; Zhang, Y. A new method of individual tree recognition based on airborne LiDAR data. Remote Sens. Technol. Appl. 2011, 26, 196–201. [Google Scholar]
- Hamraz, H.; Contreras, M.A.; Zhang, J. Vertical stratification of forest canopy for segmentation of understory trees within small-footprint airborne LiDAR point clouds. ISPRS J. Photogramm. Remote Sens. 2017, 130, 385–392. [Google Scholar] [CrossRef]
- Zhao, D.; Pang, Y.; Li, Z.; Liu, L. Isolating individual trees in a closed coniferous forest using small footprint LiDAR data. Int. J. Remote Sens. 2014, 35, 7199–7218. [Google Scholar] [CrossRef]
- Geng, L.; Li, M.; Fan, W.; Wang, B. Individual tree structure parameters and effective crown of the stand extraction base on airborne LiDAR data. Sci. Silvae Sin. 2018, 54, 62–72. [Google Scholar]
- Zhen, Z.; Quackenbush, L.J.; Stehman, S.V.; Zhang, L.J. Agent-based region growing for individual tree crown delineation from airborne laser scanning (ALS) data. Int. J. Remote Sens. 2015, 36, 1965–1993. [Google Scholar] [CrossRef]
- Lahivaara, T.; Seppanen, A.; Kaipio, J.P.; Vauhkonen, J.; Korhonen, L.; Tokola, T.; Maltamo, M. Bayesian approach to tree detection based on airborne laser scanning data. IEEE Trans. Geosci. Remote Sens. 2014, 52, 2690–2699. [Google Scholar] [CrossRef]
- Leckie, D.G.; Gougeon, F.A.; Tinis, S.; Nelson, T.; Burnett, C.N.; Paradine, D. Automated tree recognition in old growth conifer stands with high resolution digital imagery. Remote Sens. Environ. 2005, 94, 311–326. [Google Scholar] [CrossRef]
- Chen, X.; Jiang, K.; Zhu, Y.; Wang, X.; Yun, T. Individual tree crown segmentation directly from UAV-Borne LiDAR data using the PointNet of deep learning. Forests 2021, 12, 131. [Google Scholar] [CrossRef]
- Chen, Q.; Baldocchi, D.; Gong, P.; Kelly, M. Isolating individual trees in a savanna woodland using small footprint LiDAR data. Photogramm. Eng. Remote Sens. 2006, 72, 923–932. [Google Scholar] [CrossRef]
- Wu, B.; Yu, B.; Wu, Q.; Huang, Y.; Chen, Z.; Wu, J. Individual tree crown delineation using localized contour tree method and airborne LiDAR data in coniferous forests. Int. J. Appl. Earth Obs. Geoinf. 2016, 52, 82–94. [Google Scholar] [CrossRef]
- Hui, Z.; Li, N.; Cheng, P.; Li, Z.; Cai, Z. Single tree segmentation method for terrestrial LiDAR point cloud based on connectivity marker optimization. Chin. J. Lasers 2023, 50, 147–155. [Google Scholar] [CrossRef]
- Wang, X.-H.; Zhang, Y.-Z.; Xu, M.-M. A multi-threshold segmentation for tree-level parameter extraction in a deciduous forest using small-footprint airborne LiDAR data. Remote Sens. 2019, 11, 2109. [Google Scholar] [CrossRef]
- Wang, X.; Huang, Y.; Xing, Y.; Li, D.; Zhao, X. The single tree segmentation of UAV high-density LiDAR point cloud data based on coniferous plantations. J. Cent. South Univ. For. Technol. 2022, 42, 66–77. [Google Scholar] [CrossRef]
- Ma, K.; Xiong, Y.; Jiang, F.; Chen, S.; Sun, H. A novel vegetation point cloud density tree-segmentation model for overlapping crowns using UAV LiDAR. Remote Sens. 2021, 13, 1442. [Google Scholar] [CrossRef]
- Li, W.; Guo, Q.; Jakubowski, M.K.; Kelly, M. A new method for segmenting individual trees from the LiDAR point cloud. Photogramm. Eng. Remote Sens. 2012, 78, 75–84. [Google Scholar] [CrossRef]
- Morsdorf, F.; Meier, E.; Allgwer, B.; Uesch, D. Clustering in airborne laser scanning raw data for segmentation of single trees. Int. Arch. Photogramm. Remote Sens. Spat. Inf. Sci. 2003, 34, W13. [Google Scholar]
- Polewski, P.; Yao, W.; Heurich, M.; Krzystek, P.; Stilla, U. Detection of fallen trees in ALS point clouds using a normalized cut approach trained by simulation. ISPRS J. Photogramm. Remote Sens. 2015, 105, 252–271. [Google Scholar] [CrossRef]
- Wu, J.; Cawse Nicholson, K.; Aardt, J.V. 3D tree reconstruction from simulated small footprint waveform LiDAR. Photogramm. Eng. Remote Sens. 2013, 79, 1147–1157. [Google Scholar] [CrossRef]
- Yan, W.; Guan, H.; Cao, L.; Yu, Y.; Li, C.; Lu, J. A self-adaptive mean shift tree-segmentation method using UAV LiDAR data. Remote Sens. 2020, 12, 515. [Google Scholar] [CrossRef]
- Liu, H.; Fan, W.; Xu, Y.; Lin, W. Research on single tree segmentation based on UAV LiDAR point cloud data. J. Cent. South Univ. For. Technol. 2022, 42, 45–53. [Google Scholar]
- Paris, C.; Valduga, D.; Bruzzone, L. A hierarchical approach to three-dimensional segmentation of LiDAR data at single-tree level in a multilayered forest. IEEE Trans. Geosci. Remote Sens. 2016, 54, 4190–4203. [Google Scholar] [CrossRef]
- Yang, J.; Kang, Z.; Cheng, S.; Yang, Z.; Akwensi, P.H. An individual tree segmentation method based on watershed algorithm and three-dimensional spatial distribution analysis from airborne LiDAR point clouds. IEEE J. Sel. Top. Appl. Earth Observ. Remote Sens. 2020, 13, 1055–1067. [Google Scholar] [CrossRef]
- Ma, Z.; Pang, Y.; Wang, D.; Liang, X.; Lu, H. Individual tree crown segmentation of a larch plantation using airborne laser scanning data based on region growing and canopy morphology features. Remote Sens. 2020, 12, 1078. [Google Scholar] [CrossRef]
- Nie, S.; Wang, C.; Xi, X.; Luo, S.; Zhu, X.; Li, G.; Liu, H.; Tian, J.; Zhang, S. Assessing the Impacts of Various Factors on Treetop Detection Using LiDAR-Derived Canopy Height Models. IEEE Trans. Geosci. Remote Sens. 2019, 57, 10099–10115. [Google Scholar] [CrossRef]
- Khosravipour, A.; Skidmore, A.K.; Wang, T.; Isenburg, M.; Khoshelham, K. Effect of slope on treetop detection using a LiDAR Canopy Height Model. ISPRS J. Photogramm. Remote Sens. 2015, 104, 44–52. [Google Scholar] [CrossRef]
- Stroner, M.; Urban, R.; Kremen, T.; Braun, J. UAV DTM acquisition in a forested area—Comparison of low-cost photogrammetry (DJI Zenmuse P1) and LiDAR solutions (DJI Zenmuse L1). Eur. J. Remote Sens. 2023, 56, 2179942. [Google Scholar] [CrossRef]
- Zhao, X.; Guo, Q.; Su, Y.; Xue, B. Improved progressive TIN densification filtering algorithm for airborne LiDAR data in forested areas. ISPRS J. Photogramm. Remote Sens. 2016, 117, 79–91. [Google Scholar] [CrossRef]
- Zhao, F.; Li, Z.; Wang, Y.; Pang, Y. The application of LiDAR data in forest. Remote Sens. Inf. 2008, 18, 106–108. [Google Scholar]
- Popescu, S.C.; Wynne, R.H.; Nelson, R.F. Measuring individual tree crown diameter with LiDAR and assessing its influence on estimating forest volume and biomass. Can. J. Remote Sens. 2003, 29, 564–577. [Google Scholar] [CrossRef]
- Jing, L.; Hu, B.; Noland, T.; Li, J. An individual tree crown delineation method based on multi-scale segmentation of imagery. ISPRS J. Photogramm. Remote Sens. 2012, 70, 88–98. [Google Scholar] [CrossRef]
- Xu, W.; Yang, H.; Li, Z.; Cheng, J.; Lin, H.; Yang, G. Single tree segmentation in close-planting orchard using UAV digital image. Geomat. Inf. Sci. Wuhan Univ. 2022, 47, 1906–1916. [Google Scholar]


















| Plot | Forest Type | Slope | Area (m2) | Stem Density (Plants/ha) | Difference |
|---|---|---|---|---|---|
| P1 | Planted coniferous forest | 1° | 277.98 | 5540 | Trees grow evenly. |
| P2 | Coniferous forest | 36° | 3021.74 | 460 | Trees grow randomly, with little variation in height. |
| P3 | Mixed forest | 6° | 4884.62 | 260 | Conifers grow better, with large height differences between trees. |
| P4 | Broadleaf forest | 5° | 2107.84 | 612 | Trees grow evenly and randomly. |
| Scanning Mode | Direction | Speed (m/s) | Height (m) | Point Density (pts/m2) | |
|---|---|---|---|---|---|
| 1 | orthographic scan | North–South | 5 | 100 | 197 |
| 2 | oblique scan at −60° | South–North | 5 | 100 | 197 |
| 3 | oblique scan at −60° | West–East | 5 | 100 | 197 |
| 4 | oblique scan at −60° | East–West | 5 | 100 | 197 |
| Plot | Number | Mean H (m) | Min H (m) | Max H (m) | Max CD (m) | Mean CD (m) | Mean CPA (m2) |
|---|---|---|---|---|---|---|---|
| P1 | 154 | 9.094 | 5.750 | 11.189 | 3.232 | 1.770 | 1.717 |
| P2 | 139 | 11.591 | 5.647 | 14.900 | 6.980 | 4.635 | 13.973 |
| P3 | 127 | 12.299 | 5.689 | 20.312 | 14.631 | 7.101 | 29.844 |
| P4 | 129 | 8.115 | 5.688 | 11.525 | 9.668 | 4.727 | 14.195 |
| Plot | Detected Seed Point | TP | FN | FP | R | P | F1 |
|---|---|---|---|---|---|---|---|
| P1 | 147 | 141 | 13 | 6 | 91.6% | 95.9% | 0.94 |
| P2 | 136 | 124 | 15 | 12 | 89.2% | 91.2% | 0.90 |
| P3 | 133 | 112 | 15 | 21 | 88.2% | 84.2% | 0.86 |
| P4 | 124 | 106 | 23 | 18 | 82.2% | 85.5% | 0.84 |
| Plot | Reference Tree | Correctly Segmented | Over-Segmented | Under-Segmented | AR | CE | OE |
|---|---|---|---|---|---|---|---|
| P1 | 154 | 135 | 6 | 13 | 87.7% | 3.9% | 8.4% |
| P2 | 139 | 112 | 12 | 15 | 80.6% | 8.6% | 10.8% |
| P3 | 127 | 93 | 19 | 15 | 73.2% | 14.9% | 11.8% |
| P4 | 129 | 91 | 15 | 23 | 70.5% | 11.6% | 17.8% |
| Total | 549 | 431 | 52 | 66 | 78.5% | 9.5% | 12.0% |
| Plot | P1 | P2 | P3 | P4 | ||||||||
|---|---|---|---|---|---|---|---|---|---|---|---|---|
| Method | LM | CHM | Proposed | LM | CHM | Proposed | LM | CHM | Proposed | LM | CHM | Proposed |
| Detected Seed Points | 160 | 140 | 147 | 126 | 134 | 136 | 126 | 118 | 133 | 114 | 120 | 124 |
| TP | 133 | 130 | 141 | 114 | 121 | 124 | 104 | 106 | 112 | 95 | 104 | 106 |
| FN | 11 | 24 | 13 | 25 | 18 | 15 | 23 | 21 | 15 | 34 | 25 | 23 |
| FP | 17 | 10 | 6 | 12 | 13 | 12 | 22 | 12 | 21 | 19 | 16 | 18 |
| R | 90.4% | 84.4% | 91.6% | 82.0% | 87.1% | 89.2% | 81.9% | 83.4% | 88.2% | 73.6% | 80.6% | 82.2% |
| P | 83.1% | 92.9% | 95.9% | 91.2% | 90.3% | 91.2% | 82.5% | 89.8% | 84.2% | 83.3% | 86.7% | 85.5% |
| F1 | 0.86 | 0.88 | 0.94 | 0.86 | 0.89 | 0.90 | 0.82 | 0.86 | 0.86 | 0.78 | 0.84 | 0.84 |
| Plot | Reference Tree | Correctly Segmented | Over-Segmented | Under-Segmented | AR | CE | OE |
|---|---|---|---|---|---|---|---|
| P1 | 154 | 126 | 10 | 18 | 81.8% | 6.5% | 11.7% |
| P2 | 139 | 104 | 15 | 20 | 74.8% | 10.8% | 14.4% |
| P3 | 127 | 85 | 19 | 23 | 67.0% | 14.9% | 18.1% |
| P4 | 129 | 79 | 23 | 27 | 61.2% | 17.8% | 20.9% |
| Total | 549 | 394 | 67 | 88 | 71.8% | 12.2% | 16.0% |
Disclaimer/Publisher’s Note: The statements, opinions and data contained in all publications are solely those of the individual author(s) and contributor(s) and not of MDPI and/or the editor(s). MDPI and/or the editor(s) disclaim responsibility for any injury to people or property resulting from any ideas, methods, instructions or products referred to in the content. |
© 2024 by the authors. Licensee MDPI, Basel, Switzerland. This article is an open access article distributed under the terms and conditions of the Creative Commons Attribution (CC BY) license (https://creativecommons.org/licenses/by/4.0/).
Share and Cite
Yu, J.; Lei, L.; Li, Z. Individual Tree Segmentation Based on Seed Points Detected by an Adaptive Crown Shaped Algorithm Using UAV-LiDAR Data. Remote Sens. 2024, 16, 825. https://doi.org/10.3390/rs16050825
Yu J, Lei L, Li Z. Individual Tree Segmentation Based on Seed Points Detected by an Adaptive Crown Shaped Algorithm Using UAV-LiDAR Data. Remote Sensing. 2024; 16(5):825. https://doi.org/10.3390/rs16050825
Chicago/Turabian StyleYu, Jiao, Lei Lei, and Zhenhong Li. 2024. "Individual Tree Segmentation Based on Seed Points Detected by an Adaptive Crown Shaped Algorithm Using UAV-LiDAR Data" Remote Sensing 16, no. 5: 825. https://doi.org/10.3390/rs16050825
APA StyleYu, J., Lei, L., & Li, Z. (2024). Individual Tree Segmentation Based on Seed Points Detected by an Adaptive Crown Shaped Algorithm Using UAV-LiDAR Data. Remote Sensing, 16(5), 825. https://doi.org/10.3390/rs16050825

