Machine Learning-Based Estimation of Daily Cropland Evapotranspiration in Diverse Climate Zones
Abstract
1. Introduction
2. Materials and Methods
2.1. Description of the Flux Sites
2.2. Flux and Auxiliary
2.3. Machine Learning Models
2.3.1. Random Forest (RF)
2.3.2. Support Vector Machine (SVM)
2.3.3. Extreme Gradient Boosting (XGB)
2.3.4. Backpropagation Neural Network (BP)
2.3.5. Model Development
2.4. Evaluating Indicators
3. Results
3.1. The Overall Performance of Four Machine Learning Models in Simulating ET
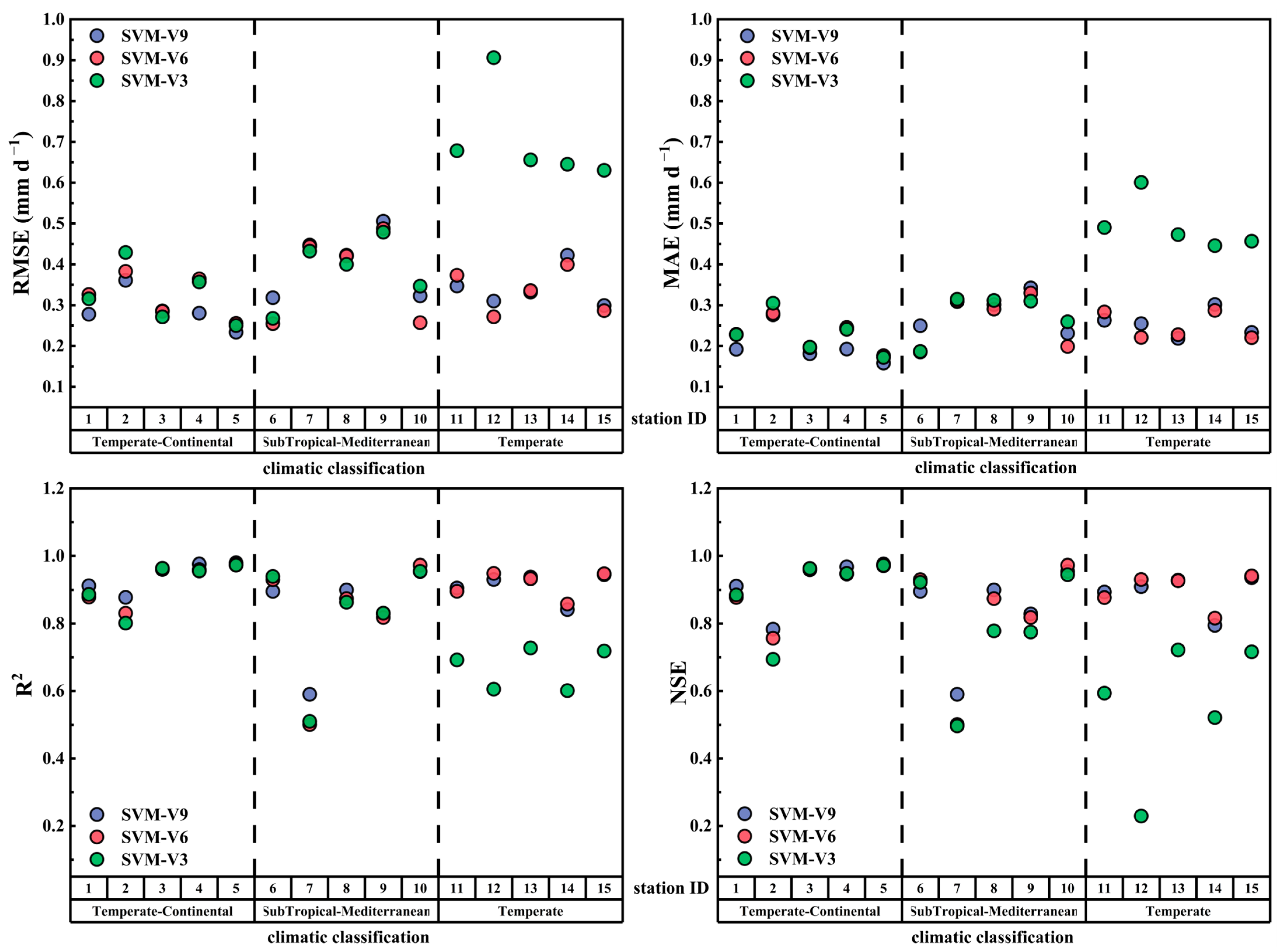
3.2. Performance of Four Machine Learning Models in Simulating ET in Different Climatic Regions
3.3. Runtime Analysis of Four Machine Learning Models in ET Simulation
4. Discussion
4.1. Importance of Input Factors for Simulating Evapotranspiration
4.2. Optimal Input Factor Combinations and Machine Learning Models for Simulating Evapotranspiration
4.3. Uncertainties
5. Conclusions
Supplementary Materials
Author Contributions
Funding
Data Availability Statement
Acknowledgments
Conflicts of Interest
Nomenclature
| Ta | daily mean air temperature (°C) |
| Rn | net radiation (MJ/m2 d) |
| G | soil heat flux (MJ/m2 d) |
| EF | evaporative fraction (W m−2/W m−2) |
| LAI | leaf area index (m2/m2) |
| PPFD | photosynthetic photon flux density (µmol/m2 s) |
| VPD | vapor pressure deficit (kPa) |
| U | wind speed (m/s) |
| P | atmospheric pressure (kPa) |
| V3, V6, V9 | three, six, and nine input factor combinations |
| RMSE | root mean square error |
| R2 | determination coefficient |
| MAE | mean absolute error |
| GPI | global performance indicator |
| NSE | Nash–Sutcliffe efficiency coefficient |
| RF | random forest |
| SVM | support vector machine |
| XGB | extreme gradient boosting |
| BP | backpropagation neural network |
| TCCZ | temperate–continental climate zone |
| SMCZ | subtropical–Mediterranean climate zone |
| TCZ | temperate climate zone |
References
- Yang, Y.; Roderick, M.L.; Guo, H.; Miralles, D.G.; Zhang, L.; Fatichi, S.; Luo, X.; Zhang, Y.; McVicar, T.R.; Tu, Z. Evapotranspiration on a greening Earth. Nat. Rev. Earth Environ. 2023, 4, 626–641. [Google Scholar] [CrossRef]
- Sivakumar, M.V.K.; Stefanski, R. Climate and Land Degradation—An Overview. In Climate and Land Degradation; Sivakumar, M.V.K., Ndiang’ui, N., Eds.; Springer: Berlin/Heidelberg, Germany, 2007; pp. 105–135. [Google Scholar]
- McCabe, M.F.; Wood, E.F. Scale influences on the remote estimation of evapotranspiration using multiple satellite sensors. Remote Sens. Environ. 2006, 105, 271–285. [Google Scholar] [CrossRef]
- Foster, T.; Brozović, N. Simulating crop-water production functions using crop growth models to support water policy assessments. Ecol. Econ. 2018, 152, 9–21. [Google Scholar] [CrossRef]
- Igbadun, H.E.; Tarimo, A.K.; Salim, B.A.; Mahoo, H.F. Evaluation of selected crop water production functions for an irrigated maize crop. Agric. Water Manag. 2007, 94, 1–10. [Google Scholar] [CrossRef]
- Dong, Q.; Zhan, C.; Wang, H.; Wang, F.; Zhu, M. A review on evapotranspiration data assimilation based on hydrological models. J. Geog. Sci. 2016, 26, 230–242. [Google Scholar] [CrossRef][Green Version]
- Srivastava, R.; Panda, R.; Halder, D. Effective crop evapotranspiration measurement using time-domain reflectometry technique in a sub-humid region. Theor. Appl. Climatol. 2017, 129, 1211–1225. [Google Scholar] [CrossRef]
- Hirschi, M.; Michel, D.; Lehner, I.; Seneviratne, S.I. A site-level comparison of lysimeter and eddy covariance flux measurements of evapotranspiration. Hydrol. Earth Syst. Sci. 2017, 21, 1809–1825. [Google Scholar] [CrossRef]
- Renard, B.; Kavetski, D.; Kuczera, G.; Thyer, M.; Franks, S.W. Understanding predictive uncertainty in hydrologic modeling: The challenge of identifying input and structural errors. Water Resour. Res. 2010, 46. [Google Scholar] [CrossRef]
- de Carvalho Alves, M.; de Carvalho, L.G.; Vianello, R.L.; Sediyama, G.C.; de Oliveira, M.S.; de Sá Junior, A. Geostatistical improvements of evapotranspiration spatial information using satellite land surface and weather stations data. Theor. Appl. Climatol. 2013, 113, 155–174. [Google Scholar] [CrossRef]
- Li, Z.-L.; Tang, R.; Wan, Z.; Bi, Y.; Zhou, C.; Tang, B.; Yan, G.; Zhang, X. A review of current methodologies for regional evapotranspiration estimation from remotely sensed data. Sensors 2009, 9, 3801–3853. [Google Scholar] [CrossRef]
- Duro, D.C.; Franklin, S.E.; Dubé, M.G. A comparison of pixel-based and object-based image analysis with selected machine learning algorithms for the classification of agricultural landscapes using SPOT-5 HRG imagery. Remote Sens. Environ. 2012, 118, 259–272. [Google Scholar] [CrossRef]
- Feng, Y.; Cui, N.; Gong, D.; Zhang, Q.; Zhao, L. Evaluation of random forests and generalized regression neural networks for daily reference evapotranspiration modelling. Agric. Water Manag. 2017, 193, 163–173. [Google Scholar] [CrossRef]
- Fukuda, S.; Spreer, W.; Yasunaga, E.; Yuge, K.; Sardsud, V.; Müller, J. Random Forests modelling for the estimation of mango (Mangifera indica L. cv. Chok Anan) fruit yields under different irrigation regimes. Agric. Water Manag. 2013, 116, 142–150. [Google Scholar] [CrossRef]
- Prasad, N.; Patel, N.; Danodia, A. Crop yield prediction in cotton for regional level using random forest approach. Spatial Inf. Res. 2021, 29, 195–206. [Google Scholar] [CrossRef]
- Hipni, A.; El-shafie, A.; Najah, A.; Karim, O.A.; Hussain, A.; Mukhlisin, M. Daily forecasting of dam water levels: Comparing a support vector machine (SVM) model with adaptive neuro fuzzy inference system (ANFIS). Water Resour. Manag. 2013, 27, 3803–3823. [Google Scholar] [CrossRef]
- Dou, X.; Yang, Y. Modeling evapotranspiration response to climatic forcings using data-driven techniques in grassland ecosystems. Adv. Meteorol. 2018, 2018, 1824317. [Google Scholar] [CrossRef]
- Liu, M.; Tang, R.; Li, Z.-L.; Yao, Y.; Yan, G. Global land surface evapotranspiration estimation from meteorological and satellite data using the support vector machine and semiempirical algorithm. IEEE J. Sel. Top. Appl. Earth Obs. Remote Sens. 2018, 11, 513–521. [Google Scholar] [CrossRef]
- Pathy, A.; Meher, S.; Balasubramanian, P. Predicting algal biochar yield using eXtreme Gradient Boosting (XGB) algorithm of machine learning methods. Algal Res. 2020, 50, 102006. [Google Scholar] [CrossRef]
- Liu, X.; Kang, S.; Li, F. Simulation of artificial neural network model for trunk sap flow of Pyrus pyrifolia and its comparison with multiple-linear regression. Agric. Water Manag. 2009, 96, 939–945. [Google Scholar] [CrossRef]
- Kumar, M.; Raghuwanshi, N.; Singh, R. Artificial neural networks approach in evapotranspiration modeling: A review. Irrig. Sci. 2011, 29, 11–25. [Google Scholar] [CrossRef]
- Pagano, A.; Amato, F.; Ippolito, M.; De Caro, D.; Croce, D.; Motisi, A.; Provenzano, G.; Tinnirello, I. Machine learning models to predict daily actual evapotranspiration of citrus orchards under regulated deficit irrigation. Ecol. Inf. 2023, 76, 102133. [Google Scholar] [CrossRef]
- Chen, Y.; Xue, Y.; Hu, Y. How multiple factors control evapotranspiration in North America evergreen needleleaf forests. Sci. Total Environ. 2018, 622, 1217–1224. [Google Scholar] [CrossRef]
- Beck, H.E.; Zimmermann, N.E.; McVicar, T.R.; Vergopolan, N.; Berg, A.; Wood, E.F. Present and future Köppen-Geiger climate classification maps at 1-km resolution. Sci. Data 2018, 5, 1–12. [Google Scholar] [CrossRef] [PubMed]
- Allen, R.G.; Pereira, L.S.; Raes, D.; Smith, M. Crop evapotranspiration-Guidelines for computing crop water requirements-FAO Irrigation and drainage paper 56. Fao Rome 1998, 300, D05109. [Google Scholar]
- Sugita, M.; Brutsaert, W. Daily evaporation over a region from lower boundary layer profiles measured with radiosondes. Water Resour. Res. 1991, 27, 747–752. [Google Scholar] [CrossRef]
- Li, S.; Kang, S.; Li, F.; Zhang, L.; Zhang, B. Vineyard evaporative fraction based on eddy covariance in an arid desert region of Northwest China. Agric. Water Manag. 2008, 95, 937–948. [Google Scholar] [CrossRef]
- Jönsson, P.; Eklundh, L. TIMESAT—A program for analyzing time-series of satellite sensor data. Comput. Geosci. 2004, 30, 833–845. [Google Scholar] [CrossRef]
- Breiman, L. Random forests. Mach. Learn. 2001, 45, 5–32. [Google Scholar] [CrossRef]
- da Silva Júnior, J.C.; Medeiros, V.; Garrozi, C.; Montenegro, A.; Gonçalves, G.E. Random forest techniques for spatial interpolation of evapotranspiration data from Brazilian’s Northeast. Comput. Electron. Agric. 2019, 166, 105017. [Google Scholar] [CrossRef]
- Dou, X.; Yang, Y. Evapotranspiration estimation using four different machine learning approaches in different terrestrial ecosystems. Comput. Electron. Agric. 2018, 148, 95–106. [Google Scholar] [CrossRef]
- Gocić, M.; Motamedi, S.; Shamshirband, S.; Petković, D.; Ch, S.; Hashim, R.; Arif, M. Soft computing approaches for forecasting reference evapotranspiration. Comput. Electron. Agric. 2015, 113, 164–173. [Google Scholar] [CrossRef]
- Kişi, O.; Cimen, M. Evapotranspiration modelling using support vector machines/Modélisation de l’évapotranspiration à l’aide de ‘support vector machines’. Hydrol. Sci. J. 2009, 54, 918–928. [Google Scholar] [CrossRef]
- Tang, D.; Feng, Y.; Gong, D.; Hao, W.; Cui, N. Evaluation of artificial intelligence models for actual crop evapotranspiration modeling in mulched and non-mulched maize croplands. Comput. Electron. Agric. 2018, 152, 375–384. [Google Scholar] [CrossRef]
- Yao, Y.; Liang, S.; Li, X.; Chen, J.; Liu, S.; Jia, K.; Zhang, X.; Xiao, Z.; Fisher, J.B.; Mu, Q. Improving global terrestrial evapotranspiration estimation using support vector machine by integrating three process-based algorithms. Agric. For. Meteorol. 2017, 242, 55–74. [Google Scholar] [CrossRef]
- Fan, J.; Yue, W.; Wu, L.; Zhang, F.; Cai, H.; Wang, X.; Lu, X.; Xiang, Y. Evaluation of SVM, ELM and four tree-based ensemble models for predicting daily reference evapotranspiration using limited meteorological data in different climates of China. Agric. For. Meteorol. 2018, 263, 225–241. [Google Scholar] [CrossRef]
- Chen, T.; Guestrin, C. Xgboost: A scalable tree boosting system. In Proceedings of the 22nd ACM SIGKDD International Conference on Knowledge Discovery and Data Mining, San Francisco, CA, USA, 13 August 2016; pp. 785–794. [Google Scholar]
- Wu, L.; Peng, Y.; Fan, J.; Wang, Y. Machine learning models for the estimation of monthly mean daily reference evapotranspiration based on cross-station and synthetic data. Hydrol. Res. 2019, 50, 1730–1750. [Google Scholar] [CrossRef]
- Zhou, Z.; Zhao, L.; Lin, A.; Qin, W.; Lu, Y.; Li, J.; Zhong, Y.; He, L. Exploring the potential of deep factorization machine and various gradient boosting models in modeling daily reference evapotranspiration in China. Arabian J. Geosci. 2020, 13, 1–20. [Google Scholar] [CrossRef]
- Maier, H.R.; Dandy, G.C. Neural networks for the prediction and forecasting of water resources variables: A review of modelling issues and applications. Environ. Modell. Softw. 2000, 15, 101–124. [Google Scholar] [CrossRef]
- Han, X.; Wei, Z.; Zhang, B.; Li, Y.; Du, T.; Chen, H. Crop evapotranspiration prediction by considering dynamic change of crop coefficient and the precipitation effect in back-propagation neural network model. J. Hydrol. 2021, 596, 126104. [Google Scholar] [CrossRef]
- Traore, S.; Luo, Y.; Fipps, G. Deployment of artificial neural network for short-term forecasting of evapotranspiration using public weather forecast restricted messages. Agric. Water Manag. 2016, 163, 363–379. [Google Scholar] [CrossRef]
- Gill, E.J.; Singh, E.B.; Singh, E.S. Training back propagation neural networks with genetic algorithm for weather forecasting. In Proceedings of the IEEE 8th International Symposium on Intelligent Systems and Informatics, Subotica, Serbia, 10–11 September 2010; pp. 465–469. [Google Scholar]
- R Core Team, R. R: A Language and Environment for Statistical Computing; R Foundation for Statistical Computing: Vienna, Austria, 2021. Available online: https://www.R-project.org/ (accessed on 15 October 2023).
- Aouissi, J.; Benabdallah, S.; Chabaâne, Z.L.; Cudennec, C. Evaluation of potential evapotranspiration assessment methods for hydrological modelling with SWAT—Application in data-scarce rural Tunisia. Agric. Water Manag. 2016, 174, 39–51. [Google Scholar] [CrossRef]
- Fan, J.; Wu, L.; Zhang, F.; Cai, H.; Ma, X.; Bai, H. Evaluation and development of empirical models for estimating daily and monthly mean daily diffuse horizontal solar radiation for different climatic regions of China. Renew. Sustain. Energy Rev. 2019, 105, 168–186. [Google Scholar] [CrossRef]
- Wu, Z.; Cui, N.; Hu, X.; Gong, D.; Wang, Y.; Feng, Y.; Jiang, S.; Lv, M.; Han, L.; Xing, L. Optimization of extreme learning machine model with biological heuristic algorithms to estimate daily reference crop evapotranspiration in different climatic regions of China. J. Hydrol. 2021, 603, 127028. [Google Scholar] [CrossRef]
- Bellido-Jiménez, J.; Estévez, J.; García-Marín, A. Reference evapotranspiration projections in Southern Spain (until 2100) using temperature-based machine learning models. Comput. Electron. Agric. 2023, 214, 108327. [Google Scholar] [CrossRef]
- Chia, M.Y.; Huang, Y.F.; Koo, C.H. Improving reference evapotranspiration estimation using novel inter-model ensemble approaches. Comput. Electron. Agric. 2021, 187, 106227. [Google Scholar] [CrossRef]
- Guo, D.; Westra, S.; Maier, H.R. Sensitivity of potential evapotranspiration to changes in climate variables for different Australian climatic zones. Hydrol. Earth Syst. Sci. 2017, 21, 2107–2126. [Google Scholar] [CrossRef]
- Esmaili, M.; Aliniaeifard, S.; Mashal, M.; Ghorbanzadeh, P.; Mehdi, S.; Gavilan, M.U.; Carrillo, F.F.; Lastochkina, O.; Tao, L. CO2 enrichment and increasing light intensity till a threshold level, enhance growth and water use efficiency of lettuce plants in controlled environment. Notulae Botanicae Horti Agrobot. 2020, 48, 2244–2262. [Google Scholar] [CrossRef]
- Zhou, L.; Wang, Y.; Jia, Q.; Li, R.; Zhou, M.; Zhou, G. Evapotranspiration over a rainfed maize field in northeast China: How are relationships between the environment and terrestrial evapotranspiration mediated by leaf area? Agric. Water Manag. 2019, 221, 538–546. [Google Scholar] [CrossRef]
- Suyker, A.E.; Verma, S.B. Interannual water vapor and energy exchange in an irrigated maize-based agroecosystem. Agric. For. Meteorol. 2008, 148, 417–427. [Google Scholar] [CrossRef]
- Ilic, M.; Jovic, S.; Spalevic, P.; Vujicic, I. Water cycle estimation by neuro-fuzzy approach. Comput. Electron. Agric. 2017, 135, 1–3. [Google Scholar] [CrossRef]
- Yang, J.; Wang, Y. Estimating evapotranspiration fraction by modeling two-dimensional space of NDVI/albedo and day–night land surface temperature difference: A comparative study. Adv. Water Resour. 2011, 34, 512–518. [Google Scholar] [CrossRef]
- Liu, Q.; Wang, T.; Han, Q.; Sun, S.; Liu, C.-q.; Chen, X. Diagnosing environmental controls on actual evapotranspiration and evaporative fraction in a water-limited region from northwest China. J. Hydrol. 2019, 578, 124045. [Google Scholar] [CrossRef]
- Huang, G.-B.; Zhu, Q.-Y.; Siew, C.-K. Extreme learning machine: Theory and applications. Neurocomputing 2006, 70, 489–501. [Google Scholar] [CrossRef]
- Abyaneh, H.Z.; Nia, A.M.; Varkeshi, M.B.; Marofi, S.; Kisi, O. Performance evaluation of ANN and ANFIS models for estimating garlic crop evapotranspiration. J. Irrig. Drain. Eng. 2011, 137, 280–286. [Google Scholar] [CrossRef]
- Dai, X.; Shi, H.; Li, Y.; Ouyang, Z.; Huo, Z. Artificial neural network models for estimating regional reference evapotranspiration based on climate factors. Hydrol. Process. An Int. J. 2009, 23, 442–450. [Google Scholar] [CrossRef]






| Site | Latitude (°) | Longitude (°) | Altitude (m) | MAT (°C) | MAP (mm) | Country | Climate Zone | Period |
|---|---|---|---|---|---|---|---|---|
| US-ARM | 36.6058 | −97.4888 | 314 | 14.76 | 843 | USA | TCCZ | 2003–2012 |
| US-CRT | 41.6285 | −83.3471 | 180 | 10.10 | 849 | USA | TCCZ | 2011–2013 |
| US-Ne1 | 41.1651 | −96.4766 | 361 | 10.07 | 790 | USA | TCCZ | 2001–2013 |
| US-Ne2 | 41.1649 | −96.4701 | 362 | 10.08 | 789 | USA | TCCZ | 2001–2013 |
| US-Ne3 | 41.1797 | −96.4397 | 363 | 10.11 | 784 | USA | TCCZ | 2001–2013 |
| IT-BCi | 40.5238 | 14.9574 | 20 | 18.00 | 600 | Italy | SMCZ | 2004–2014 |
| IT-CA2 | 42.3772 | 12.0260 | 200 | 14.00 | 766 | Italy | SMCZ | 2011–2014 |
| US-TW2 | 38.1047 | −121.6433 | −5 | 15.50 | 421 | USA | SMCZ | 2012–2013 |
| US-TW3 | 38.1152 | −121.6469 | −9 | 15.60 | 421 | USA | SMCZ | 2013–2014 |
| US-TW | 38.1087 | −121.6531 | −6 | 15.60 | 421 | USA | SMCZ | 2009–2014 |
| BE-Lon | 50.5516 | 4.7461 | 167 | 10.00 | 800 | Belgium | TCZ | 2004–2014 |
| CH-Oe2 | 47.2863 | 7.7343 | 452 | 9.80 | 1155 | Switzerland | TCZ | 2004–2014 |
| DE-Geb | 51.1001 | 10.9143 | 162 | 8.50 | 470 | Germany | TCZ | 2001–2014 |
| DE-Kli | 50.8931 | 13.5224 | 478 | 7.60 | 842 | Germany | TCZ | 2004–2014 |
| FR-Gri | 48.8442 | 1.9519 | 125 | 12.00 | 650 | France | TCZ | 2004–2014 |
| Climate Zone | Variable | Xmean | Xmax | Xmin | Xsd | Xku | Xsk |
|---|---|---|---|---|---|---|---|
| TCCZ | Ta | 11.43 | 36.7 | −19.94 | 11.24 | −0.79 | −0.32 |
| VPD | 6.72 | 49.56 | 0 | 5.54 | 3.37 | 1.47 | |
| P | 97.71 | 101.65 | 94.77 | 0.92 | 1.97 | 0.99 | |
| U | 3.57 | 13.38 | 0.81 | 1.63 | 1.11 | 1.04 | |
| Rn | 96.83 | 270.59 | −28.87 | 65.43 | −1.22 | 0.15 | |
| G | 0.63 | 56.57 | −54.03 | 13.57 | 0.64 | 0.39 | |
| PPFD | 429.64 | 1049.81 | 0.31 | 204.23 | −0.59 | 0.29 | |
| LAI | 0.82 | 6.76 | 0 | 0.83 | 4.8 | 2.01 | |
| EF | 0.54 | 1 | 0.2 | 0.23 | −1.13 | 0.33 | |
| ET | 1.64 | 7.04 | 0.01 | 1.41 | 0.67 | 1.23 | |
| SMCZ | Ta | 16.19 | 29.8 | 0.08 | 5.95 | −0.63 | −0.23 |
| VPD | 8.68 | 30.78 | 0.18 | 5.42 | 0.88 | 1.07 | |
| P | 101.29 | 103.29 | 97.89 | 1.01 | 1.31 | −1.3 | |
| U | 2.98 | 9.57 | 0.56 | 1.8 | 0.09 | 0.9 | |
| Rn | 113.87 | 246.63 | −20.33 | 58.95 | −1.08 | −0.12 | |
| G | 3.34 | 34.12 | −19.63 | 8.04 | 0.92 | 0.75 | |
| PPFD | 517.56 | 970.1 | 31.58 | 207.45 | −1.01 | −0.08 | |
| LAI | 1.15 | 3.2 | 0.09 | 0.54 | −0.05 | 0.18 | |
| EF | 0.66 | 1 | 0.2 | 0.23 | −1.11 | −0.33 | |
| ET | 2.32 | 7.65 | 0.02 | 1.5 | 0.73 | 1.04 | |
| TCZ | Ta | 12.63 | 29.25 | −13.73 | 6.79 | 0.00 | −0.63 |
| VPD | 5.49 | 26.51 | 0.00 | 3.64 | 1.17 | 0.95 | |
| P | 99.12 | 102.46 | 92.73 | 1.89 | 0.27 | −1.17 | |
| U | 2.17 | 7.74 | 0.02 | 1.05 | 1.65 | 1.10 | |
| Rn | 86.37 | 235.35 | −63.52 | 54.70 | −0.82 | −0.05 | |
| G | 4.65 | 62.27 | −34.21 | 9.89 | 1.80 | 0.49 | |
| PPFD | 363.85 | 882.84 | −35.16 | 164.91 | −0.75 | −0.01 | |
| LAI | 1.91 | 7.64 | 0.02 | 1.55 | 1.58 | 1.40 | |
| EF | 0.62 | 1.00 | 0.20 | 0.20 | −0.93 | −0.17 | |
| ET | 1.62 | 6.69 | 0.01 | 1.15 | 0.07 | 0.82 |
| Climate Zone | Items | Rn | PPFD | EF | Ta | LAI | VPD | G | U | P |
|---|---|---|---|---|---|---|---|---|---|---|
| All sites | r | 0.788 | 0.648 | 0.591 | 0.59 | 0.513 | 0.394 | 0.316 | −0.09 | 0.035 |
| rank | 1 | 2 | 3 | 4 | 5 | 6 | 7 | 8 | 9 | |
| SMCZ | r | 0.692 | 0.601 | 0.524 | 0.437 | 0.513 | 0.252 | 0.204 | 0.461 | −0.068 |
| rank | 1 | 2 | 3 | 6 | 4 | 7 | 8 | 5 | 9 | |
| TCZ | r | 0.807 | 0.716 | 0.506 | 0.543 | 0.465 | 0.487 | 0.418 | −0.069 | −0.032 |
| rank | 1 | 2 | 4 | 3 | 6 | 5 | 7 | 8 | 9 | |
| TCCZ | r | 0.797 | 0.628 | 0.638 | 0.624 | 0.798 | 0.375 | 0.303 | −0.215 | −0.077 |
| rank | 2 | 4 | 3 | 5 | 1 | 6 | 7 | 8 | 9 |
| Input Combination | Input Data | |||
|---|---|---|---|---|
| RF | SVM | XGB | BP | |
| RF-V3 | SVM-V3 | XGB-V3 | BP-V3 | Rn, PPFD, EF |
| RF-V6 | SVM-V6 | XGB-V6 | BP-V6 | Rn, PPFD, EF, Ta, LAI, VPD |
| RF-V9 | SVM-V9 | XGB-V9 | BP-V9 | Rn, PPFD, EF, Ta, LAI, VPD, G, U, P |
| Site | RF-V3 | RF-V6 | RF-V9 | SVM-V3 | SVM-V6 | SVM-V9 | XGB-V3 | XGB-V6 | XGB-V9 | BP-V3 | BP-V6 | BP-V9 |
|---|---|---|---|---|---|---|---|---|---|---|---|---|
| US-ARM | −3.320 | 0.046 | 0.165 | −3.364 | −0.144 | 0.187 | −3.579 | 0.021 | 0.240 | −3.401 | −0.021 | 0.421 |
| US-CRT | −1.349 | 0.017 | 0.053 | −1.753 | 0.943 | 1.052 | −1.618 | 0.369 | −0.065 | −2.943 | 0.924 | 0.166 |
| US-Ne1 | −3.504 | 0.003 | 0.155 | −3.522 | 0.013 | 0.047 | −3.594 | −0.030 | 0.067 | −3.392 | 0.020 | 0.372 |
| US-Ne2 | −3.071 | −0.052 | 0.095 | −3.048 | 0.134 | 0.598 | −2.938 | −0.116 | 0.052 | −3.252 | 0.367 | 0.748 |
| US-Ne3 | −3.453 | −0.022 | 0.125 | −3.283 | 0.198 | 0.364 | −3.395 | −0.105 | 0.022 | −3.070 | 0.252 | 0.547 |
| IT-BCi | −0.742 | 0.320 | 0.355 | −2.120 | 0.309 | 0.225 | −1.868 | 0.593 | 0.539 | −3.407 | −0.353 | −0.703 |
| IT-CA2 | −1.547 | 0.008 | −0.041 | −1.333 | 1.076 | 0.772 | −2.360 | −0.131 | 0.112 | −2.885 | 0.931 | 0.468 |
| US-TW2 | −0.537 | 0.454 | 0.670 | −1.321 | 1.616 | 1.491 | −1.082 | −1.184 | −0.886 | −2.038 | 1.831 | 1.765 |
| US-TW3 | −3.083 | 0.026 | 0.216 | −1.724 | 0.196 | 0.125 | −2.169 | 0.414 | 0.707 | −2.029 | −1.839 | 0.800 |
| US-TW | −3.232 | −0.034 | 0.163 | −2.670 | 0.408 | 0.483 | −2.939 | −0.019 | 0.008 | −2.798 | 0.723 | 0.283 |
| BE-Lon | −1.160 | 0.215 | 0.278 | −1.150 | 0.234 | 0.346 | −1.259 | −0.251 | −0.004 | −3.654 | 0.004 | 0.166 |
| CH-Oe2 | −1.770 | 0.576 | −0.551 | −2.636 | 1.318 | 1.088 | −2.514 | 0.839 | 0.972 | −1.770 | 0.576 | −0.551 |
| DE-Geb | −3.390 | 0.021 | 0.076 | −3.117 | 0.189 | 0.257 | −3.704 | −0.112 | −0.021 | −2.549 | 0.276 | 0.273 |
| DE-Kli | −2.325 | −0.004 | −0.011 | −1.793 | 1.148 | 0.912 | −2.852 | 0.064 | −0.110 | −2.290 | 0.923 | 0.615 |
| FR-Gri | −3.162 | 0.269 | 0.209 | −2.892 | 0.584 | 0.473 | −3.414 | −0.190 | −0.168 | −2.878 | 0.276 | 0.576 |
| Mean | −2.376 | 0.123 | 0.130 | −2.382 | 0.548 | 0.561 | −2.619 | 0.011 | 0.098 | −2.824 | 0.326 | 0.396 |
| Models | Evaluating Indicators | Unit | Input Combination | |||
|---|---|---|---|---|---|---|
| V3 | V6 | V9 | Mean | |||
| RF | RMSE | mm d−1 | 0.738 | 0.427 | 0.415 | 0.527 |
| MAE | mm d−1 | 0.547 | 0.313 | 0.304 | 0.388 | |
| R2 | - | 0.618 | 0.844 | 0.850 | 0.771 | |
| NSE | - | 0.378 | 0.756 | 0.765 | 0.633 | |
| SVM | RMSE | mm d−1 | 0.774 | 0.347 | 0.344 | 0.488 |
| MAE | mm d−1 | 0.573 | 0.249 | 0.247 | 0.356 | |
| R2 | - | 0.622 | 0.894 | 0.896 | 0.804 | |
| NSE | - | 0.256 | 0.863 | 0.858 | 0.659 | |
| XGB | RMSE | mm d−1 | 0.780 | 0.429 | 0.425 | 0.545 |
| MAE | mm d−1 | 0.576 | 0.313 | 0.300 | 0.396 | |
| R2 | - | 0.597 | 0.827 | 0.824 | 0.749 | |
| NSE | - | 0.272 | 0.748 | 0.743 | 0.588 | |
| BP | RMSE | mm d−1 | 0.892 | 0.370 | 0.390 | 0.551 |
| MAE | mm d−1 | 0.627 | 0.267 | 0.275 | 0.390 | |
| R2 | - | 0.570 | 0.873 | 0.860 | 0.768 | |
| NSE | - | −0.161 | 0.842 | 0.793 | 0.491 | |
| Climate Zone | Input Combination | Input Data | |||
|---|---|---|---|---|---|
| RF | SVM | XGB | BP | ||
| SMCZ | RFS-V3 | SVMS-V3 | XGBS-V3 | BPS-V3 | Rn, PPFD, EF |
| RFS-V6 | SVMS-V6 | XGBS-V6 | BPS-V6 | Rn, PPFD, EF, LAI, U, Ta | |
| RFS-V9 | SVMT-V9 | XGBS-V9 | BPS-V9 | Rn, PPFD, EF, LAI, U, Ta, VPD, G, P | |
| TCZ | RFT-V3 | SVMT-V3 | XGBT-V3 | BPT-V3 | Rn, PPFD, Ta |
| RFT-V6 | SVMT-V6 | XGBT-V6 | BPT-V6 | Rn, PPFD, Ta, EF, VPD, LAI | |
| RFT-V9 | SVMT-V9 | XGBT-V9 | BPT-V9 | Rn, PPFD, Ta, EF, VPD, LAI, G, U, P | |
| TCCZ | RFC-V3 | SVMC-V3 | XGBC-V3 | BPC-V3 | LAI, Rn, EF |
| RFC-V6 | SVMC-V6 | XGBC-V6 | BPC-V6 | LAI, Rn, EF, PPFD, Ta, VPD | |
| RFC-V9 | SVMC-V9 | XGBC-V9 | BPC-V9 | LAI, Rn, EF, PPFD, Ta, VPD, G, U, P | |
| Models | Temperate–Continental | Models | Subtropical–Mediterranean | Models | Temperate | |||||||||
|---|---|---|---|---|---|---|---|---|---|---|---|---|---|---|
| RMSE | MAE | R2 | NSE | RMSE | MAE | R2 | NSE | RMSE | MAE | R2 | NSE | |||
| RFC-V3 | 0.398 | 0.287 | 0.887 | 0.778 | RFS-V3 | 0.383 | 0.294 | 0.833 | 0.776 | RFT-V3 | 0.713 | 0.508 | 0.655 | 0.546 |
| RFC-V6 | 0.404 | 0.288 | 0.888 | 0.767 | RFS-V6 | 0.443 | 0.338 | 0.786 | 0.682 | RFT-V6 | 0.410 | 0.291 | 0.865 | 0.840 |
| RFC-V9 | 0.391 | 0.278 | 0.893 | 0.762 | RFS-V9 | 0.463 | 0.357 | 0.775 | 0.664 | RFT-V9 | 0.411 | 0.291 | 0.867 | 0.839 |
| mean | 0.398 | 0.284 | 0.889 | 0.769 | mean | 0.430 | 0.330 | 0.798 | 0.707 | mean | 0.511 | 0.363 | 0.796 | 0.742 |
| SVMC-V3 | 0.325 | 0.229 | 0.916 | 0.893 | SVMS-V3 | 0.385 | 0.276 | 0.820 | 0.784 | SVMT-V3 | 0.703 | 0.493 | 0.669 | 0.557 |
| SVMC-V6 | 0.323 | 0.225 | 0.921 | 0.903 | SVMS-V6 | 0.373 | 0.263 | 0.819 | 0.778 | SVMT-V6 | 0.333 | 0.248 | 0.917 | 0.899 |
| SVMC-V9 | 0.288 | 0.200 | 0.941 | 0.920 | SVMS-V9 | 0.403 | 0.287 | 0.834 | 0.761 | SVMT-V9 | 0.342 | 0.254 | 0.912 | 0.893 |
| mean | 0.312 | 0.218 | 0.926 | 0.905 | mean | 0.387 | 0.275 | 0.824 | 0.774 | mean | 0.460 | 0.332 | 0.833 | 0.783 |
| XGBC-V3 | 0.376 | 0.269 | 0.891 | 0.848 | XGBS-V3 | 0.413 | 0.314 | 0.785 | 0.746 | XGBT-V3 | 0.732 | 0.520 | 0.624 | 0.526 |
| XGBC-V6 | 0.371 | 0.263 | 0.892 | 0.849 | XGBS-V6 | 0.476 | 0.346 | 0.744 | 0.622 | XGBT-V6 | 0.416 | 0.303 | 0.866 | 0.840 |
| XGBC-V9 | 0.361 | 0.250 | 0.899 | 0.840 | XGBS-V9 | 0.475 | 0.338 | 0.721 | 0.623 | XGBT-V9 | 0.404 | 0.289 | 0.873 | 0.848 |
| mean | 0.369 | 0.261 | 0.894 | 0.846 | mean | 0.455 | 0.333 | 0.750 | 0.664 | mean | 0.517 | 0.371 | 0.787 | 0.738 |
| BPC-V3 | 0.883 | 0.425 | 0.782 | 0.691 | BPS-V3 | 0.462 | 0.318 | 0.722 | 0.628 | BPT-V3 | 0.835 | 0.495 | 0.586 | 0.290 |
| BPC-V6 | 0.337 | 0.234 | 0.914 | 0.866 | BPS-V6 | 0.542 | 0.404 | 0.675 | 0.513 | BPT-V6 | 0.382 | 0.278 | 0.893 | 0.867 |
| BPC-V9 | 0.259 | 0.177 | 0.949 | 0.926 | BPS-V9 | 0.445 | 0.338 | 0.835 | 0.731 | BPT-V9 | 0.417 | 0.278 | 0.863 | 0.826 |
| mean | 0.493 | 0.279 | 0.882 | 0.828 | mean | 0.483 | 0.353 | 0.744 | 0.624 | mean | 0.544 | 0.350 | 0.781 | 0.661 |
| Climate Zone | Site | RF-V3 | RF-V6 | RF-V9 | SVM-V3 | SVM-V6 | SVM-V9 | XGB-V3 | XGB-V6 | XGB-V9 | BP-V3 | BP-V6 | BP-V9 |
|---|---|---|---|---|---|---|---|---|---|---|---|---|---|
| TCCZ | US-ARM | −0.386 | −0.319 | 0.675 | −1.112 | −1.495 | 0.746 | −0.207 | −0.471 | 1.135 | 0.193 | 0.261 | 2.505 |
| US-CRT | −0.226 | −0.268 | −0.301 | 0.312 | 0.393 | 0.466 | 0.003 | −0.003 | −0.038 | −3.508 | 0.178 | 0.466 | |
| US-Ne1 | −0.744 | −0.088 | 0.832 | 0.287 | −0.115 | 0.053 | −1.398 | −0.319 | 0.339 | 0.820 | −0.739 | 2.602 | |
| US-Ne2 | −0.320 | −0.763 | −0.087 | 0.105 | 0.091 | 2.124 | −1.348 | −0.924 | −0.189 | 0.554 | 0.859 | 2.652 | |
| US-Ne3 | −1.373 | −0.982 | −0.074 | 0.455 | 0.334 | 1.431 | −1.839 | −1.676 | −0.875 | 0.167 | 0.566 | 2.158 | |
| Mean | −0.610 | −0.484 | 0.209 | 0.009 | −0.158 | 0.964 | −0.958 | −0.679 | 0.074 | −0.355 | 0.225 | 2.077 | |
| SMCZ | IT-BCi | 0.170 | 0.206 | −0.149 | 0.057 | 0.070 | −0.232 | −0.374 | 0.034 | 0.145 | −0.019 | −3.778 | −1.361 |
| IT-CA2 | 0.228 | −0.755 | −0.898 | 0.905 | 0.840 | 0.981 | 0.220 | −0.455 | −0.071 | −2.127 | −2.151 | 1.342 | |
| US-TW2 | 0.467 | −1.006 | −1.144 | 0.345 | 0.361 | 0.383 | −0.208 | −2.346 | −2.879 | −0.361 | 1.092 | 0.087 | |
| US-TW3 | −0.128 | −0.624 | −0.666 | 0.581 | −0.106 | −0.375 | 1.830 | 0.539 | 0.818 | −2.054 | −1.265 | 0.336 | |
| US-TW | −0.332 | −0.872 | −0.670 | 0.003 | 2.447 | 0.649 | −0.075 | −0.665 | −1.308 | 0.132 | 0.476 | 0.963 | |
| Mean | 0.081 | −0.610 | −0.705 | 0.378 | 0.722 | 0.281 | 0.279 | −0.579 | −0.659 | −0.886 | −1.125 | 0.274 | |
| TCZ | BE-Lon | −1.160 | 0.215 | 0.278 | −1.150 | 0.234 | 0.346 | −1.259 | −0.251 | −0.004 | −3.654 | 0.004 | 0.166 |
| CH-Oe2 | −2.539 | 0.039 | −0.037 | −2.671 | 1.284 | 1.054 | −2.548 | 0.805 | 0.937 | −1.804 | 0.542 | −0.585 | |
| DE-Geb | −3.390 | 0.021 | 0.076 | −3.117 | 0.189 | 0.257 | −3.704 | −0.112 | −0.021 | −2.549 | 0.276 | 0.273 | |
| DE-Kli | −2.325 | −0.004 | −0.011 | −1.793 | 1.148 | 0.912 | −2.852 | 0.064 | −0.110 | −2.290 | 0.923 | 0.615 | |
| FR-Gri | −3.162 | 0.269 | 0.209 | −2.892 | 0.584 | 0.473 | −3.414 | −0.190 | −0.168 | −2.878 | 0.276 | 0.576 | |
| Mean | −2.515 | 0.108 | 0.103 | −2.325 | 0.688 | 0.608 | −2.756 | 0.063 | 0.127 | −2.635 | 0.404 | 0.209 | |
| All sites | Mean | −1.262 | −0.310 | −0.261 | −0.952 | 0.665 | 0.550 | −1.276 | −0.323 | −0.263 | −1.750 | −0.038 | 0.553 |
Disclaimer/Publisher’s Note: The statements, opinions and data contained in all publications are solely those of the individual author(s) and contributor(s) and not of MDPI and/or the editor(s). MDPI and/or the editor(s) disclaim responsibility for any injury to people or property resulting from any ideas, methods, instructions or products referred to in the content. |
© 2024 by the authors. Licensee MDPI, Basel, Switzerland. This article is an open access article distributed under the terms and conditions of the Creative Commons Attribution (CC BY) license (https://creativecommons.org/licenses/by/4.0/).
Share and Cite
Du, C.; Jiang, S.; Chen, C.; Guo, Q.; He, Q.; Zhan, C. Machine Learning-Based Estimation of Daily Cropland Evapotranspiration in Diverse Climate Zones. Remote Sens. 2024, 16, 730. https://doi.org/10.3390/rs16050730
Du C, Jiang S, Chen C, Guo Q, He Q, Zhan C. Machine Learning-Based Estimation of Daily Cropland Evapotranspiration in Diverse Climate Zones. Remote Sensing. 2024; 16(5):730. https://doi.org/10.3390/rs16050730
Chicago/Turabian StyleDu, Changmin, Shouzheng Jiang, Chuqiang Chen, Qianyue Guo, Qingyan He, and Cun Zhan. 2024. "Machine Learning-Based Estimation of Daily Cropland Evapotranspiration in Diverse Climate Zones" Remote Sensing 16, no. 5: 730. https://doi.org/10.3390/rs16050730
APA StyleDu, C., Jiang, S., Chen, C., Guo, Q., He, Q., & Zhan, C. (2024). Machine Learning-Based Estimation of Daily Cropland Evapotranspiration in Diverse Climate Zones. Remote Sensing, 16(5), 730. https://doi.org/10.3390/rs16050730

