Observations of Optical Properties and Chlorophyll-a Concentration in Qiandao Lake Using Shipborne Lidar
Abstract
1. Introduction
2. Materials and Methods
2.1. Shipborne Lidar and Experiment
2.2. Lidar Data Preprocessing
2.3. Method for Estimating the Optical Properties
2.4. Method for Estimating Chlorophyll-a Concentration
2.5. Parameterization of the Subsurface Chlorophyll Layer
2.6. Evaluation Metrics
3. Results
3.1. An Example of Lidar Data Preprocessing
3.2. Calculation of the Lidar Ratio Sp(z)
3.3. Calculation of the Optical Contribution of Biological Components f
3.4. A Step-by-Step Example of the Lidar Inversion Process
3.5. Optical Properties Consistency Check
3.6. Vertical Distribution of Optical Properties and Chlorophyll-a Concentrations
4. Discussion
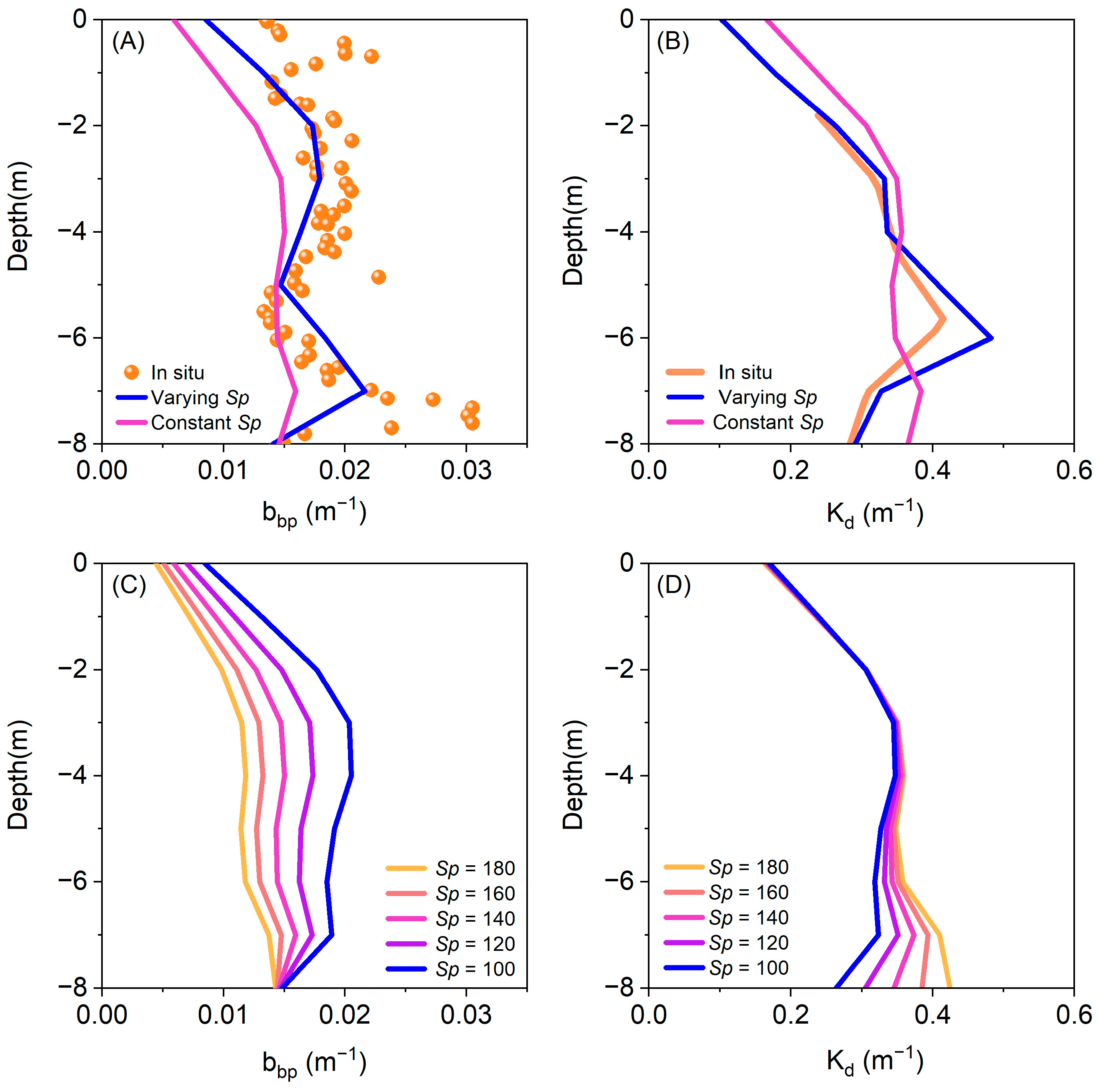
4.1. Influence of the Lidar Ratio Sp(z)
4.2. Influence of the Reference Depth zm and the Reference Value bbp(zm)
4.3. Influence of the Bottom Echo Signal
4.4. Influence of Multiple Scattering
5. Conclusions
Supplementary Materials
Author Contributions
Funding
Data Availability Statement
Acknowledgments
Conflicts of Interest
References
- Zhou, Y.; Jeppesen, E.; Zhang, Y.; Shi, K.; Liu, X.; Zhu, G. Dissolved organic matter fluorescence at wavelength 275/342 nm as a key indicator for detection of point-source contamination in a large chinese drinking water lake. Chemosphere 2016, 144, 503–509. [Google Scholar] [CrossRef] [PubMed]
- Zhou, Y.; Liu, M.; Zhou, L.; Jang, K.S.; Xu, H.; Shi, K.; Zhu, G.; Liu, M.; Deng, J.; Zhang, Y.; et al. Rainstorm events shift the molecular composition and export of dissolved organic matter in a large drinking water reservoir in china: High frequency buoys and field observations. Water Res. 2020, 187, 116471. [Google Scholar] [CrossRef] [PubMed]
- Li, Y.; Zhou, Y.; Zhou, L.; Zhang, Y.; Xu, H.; Jang, K.S.; Kothawala, D.N.; Spencer, R.G.M.; Jeppesen, E.; Brookes, J.D.; et al. Changes in water chemistry associated with rainstorm events increase carbon emissions from the inflowing river mouth of a major drinking water reservoir. Environ. Sci. Technol. 2022, 56, 16494–16505. [Google Scholar] [CrossRef]
- Zhang, Y.; Wu, Z.; Liu, M.; He, J.; Shi, K.; Wang, M.; Yu, Z. Thermal structure and response to long-term climatic changes in lake qiandaohu, a deep subtropical reservoir in china. Limnol. Oceanogr. 2014, 59, 1193–1202. [Google Scholar] [CrossRef]
- Dong, C.Y.; Yu, Z.M.; Wi, Z.X.; Wu, C.J. Study on seasonal characteristics of thermal stratification in lacustrine zone of lake qiandao. Chin. J. Environ. Sci. 2013, 34, 2574–2581. [Google Scholar]
- Zhang, Y.B.; Zhang, Y.L.; Zha, Y.; Shi, K.; Zhou, Y.Q.; Liu, M.L. Estimation of diffuse attenuation coefficient of photosynthetically active radiation in xin’anjiang reservoir based on landsat 8 data. Chin. J. Environ. Sci. 2015, 36, 4420–4429. [Google Scholar]
- Gu, Q.; Li, J.; Deng, J.; Lin, Y.; Ma, L.; Wu, C.; Wang, K.; Hong, Y. Eco-environmental vulnerability assessment for large drinking water resource: A case study of qiandao lake area, china. Front. Earth Sci. 2015, 9, 578–589. [Google Scholar] [CrossRef]
- Zhang, Y.; Liu, X.; Yin, Y.; Wang, M.; Qin, B. Predicting the light attenuation coefficient through secchi disk depth and beam attenuation coefficient in a large, shallow, freshwater lake. Hydrobiologia 2012, 693, 29–37. [Google Scholar] [CrossRef]
- Shen, M.; Duan, H.; Cao, Z.; Xue, K.; Loiselle, S.; Yesou, H. Determination of the downwelling diffuse attenuation coefficient of lake water with the sentinel-3a olci. Remote Sens. 2017, 9, 1246. [Google Scholar] [CrossRef]
- Xu, J.; Bian, Y.; Lyu, H.; Miao, S.; Li, Y.; Liu, H.; Xu, J. Estimation of particulate backscattering coefficient in turbid inland water using sentinel 3a-olci image. IEEE J. Sel. Top. Appl. Earth Obs. Remote Sens. 2021, 14, 8577–8593. [Google Scholar] [CrossRef]
- Watkins, R.H.; Sayers, M.J.; Shuchman, R.A.; Bosse, K.R. Validation of icesat-2 derived data products on freshwater lakes: Bathymetry, diffuse attenuation coefficient for downwelling irradiance (kd), and particulate backscatter coefficient (bbp). IEEE Geosci. Remote Sens. Lett. 2023, 20, 1501405. [Google Scholar] [CrossRef]
- Dörnhöfer, K.; Oppelt, N. Remote sensing for lake research and monitoring—Recent advances. Ecol. Indic. 2016, 64, 105–122. [Google Scholar] [CrossRef]
- Zhang, Y.; Zhang, Y.; Shi, K.; Zha, Y.; Zhou, Y.; Liu, M. A landsat 8 oli-based, semianalytical model for estimating the total suspended matter concentration in the slightly turbid xin’anjiang reservoir (china). IEEE J. Sel. Top. Appl. Earth Obs. Remote Sens. 2016, 9, 398–413. [Google Scholar] [CrossRef]
- Le, C.; Zha, Y.; Li, Y.; Sun, D.; Lu, H.; Yin, B. Eutrophication of lake waters in china: Cost, causes, and control. Environ. Manag. 2010, 45, 662–668. [Google Scholar] [CrossRef]
- Cornec, M.; Claustre, H.; Mignot, A.; Guidi, L.; Lacour, L.; Poteau, A.; D’Ortenzio, F.; Gentili, B.; Schmechtig, C. Deep chlorophyll maxima in the global ocean: Occurrences, drivers and characteristics. Global Biogeochem. Cycles 2021, 35, e2020GB006759. [Google Scholar] [CrossRef]
- Luo, J.; Hu, Z.; Chen, X.; Li, X.; Liu, L.; Yang, M.; Miao, H.; Chu, Y.; Xu, P.; Wang, F. Chlorophyll maxima layer in a large subtropical reservoir (xinanjiang reservoir): Spatial development process and limitation by co2 and phosphorus. Water Res. 2022, 222, 118912. [Google Scholar] [CrossRef] [PubMed]
- Chen, P.; Mao, Z.; Zhang, Z.; Liu, H.; Pan, D. Detecting subsurface phytoplankton layer in qiandao lake using shipborne lidar. Opt. Express 2020, 28, 558–569. [Google Scholar] [CrossRef] [PubMed]
- Seegers, B.N.; Werdell, P.J.; Vandermeulen, R.A.; Salls, W.; Stumpf, R.P.; Schaeffer, B.A.; Owens, T.J.; Bailey, S.W.; Scott, J.P.; Loftin, K.A. Satellites for long-term monitoring of inland us lakes: The meris time series and application for chlorophyll-a. Remote Sens. Environ. 2021, 266, 112685. [Google Scholar] [CrossRef]
- Matsushita, B.; Yang, W.; Yu, G.; Oyama, Y.; Yoshimura, K.; Fukushima, T. A hybrid algorithm for estimating the chlorophyll-a concentration across different trophic states in asian inland waters. ISPRS J. Photogrammet. Remote Sens. 2015, 102, 28–37. [Google Scholar] [CrossRef]
- Hou, X.; Feng, L.; Dai, Y.; Hu, C.; Gibson, L.; Tang, J.; Lee, Z.; Wang, Y.; Cai, X.; Liu, J.; et al. Global mapping reveals increase in lacustrine algal blooms over the past decade. Nat. Geosci. 2022, 15, 130–134. [Google Scholar] [CrossRef]
- Li, P.; Shi, W.; Liu, Q.; Yu, Y.; He, G.; Chen, L.; Ren, L.; Hong, R. Spatial and temporal distribution patterns of chlorophyll-a and the correlation analysis with environmental factors in lake qiandao. J. Lake Sci. 2011, 23, 568–574. [Google Scholar]
- Toming, K.; Kutser, T.; Laas, A.; Sepp, M.; Paavel, B.; Noges, T. First experiences in mapping lake water quality parameters with sentinel-2 msi imagery. Remote Sens. 2016, 8, 1227. [Google Scholar] [CrossRef]
- Sheffield, J.; Wood, E.F.; Pan, M.; Beck, H.; Coccia, G.; Serrat-Capdevila, A.; Verbist, K. Satellite remote sensing for water resources management: Potential for supporting sustainable development in data-poor regions. Water Resour. Res. 2018, 54, 9724–9758. [Google Scholar] [CrossRef]
- Chen, P.; Pan, D.; Wang, T.; Mao, Z.; Zhang, Y. Coastal and inland water monitoring using a portable hyperspectral laser fluorometer. Mar. Pollut. Bull. 2017, 119, 153–161. [Google Scholar] [CrossRef]
- Palmer, S.C.J.; Kutser, T.; Hunter, P.D. Remote sensing of inland waters: Challenges, progress and future directions. Remote Sens. Environ. 2015, 157, 1–8. [Google Scholar] [CrossRef]
- Jamet, C.; Ibrahim, A.; Ahmad, Z.; Angelini, F.; Babin, M.; Behrenfeld, M.J.; Boss, E.; Cairns, B.; Churnside, J.; Chowdhary, J.; et al. Going beyond standard ocean color observations: Lidar and polarimetry. Front. Mar. Sci. 2019, 6, 251. [Google Scholar] [CrossRef]
- Collister, B.L.; Zimmerman, R.C.; Sukenik, C.I.; Hill, V.J.; Balch, W.M. Remote sensing of optical characteristics and particle distributions of the upper ocean using shipboard lidar. Remote Sens. Environ. 2018, 215, 85–96. [Google Scholar] [CrossRef]
- Churnside, J.H.; Sullivan, J.M.; Twardowski, M.S. Lidar extinction-to-backscatter ratio of the ocean. Opt. Express 2014, 22, 18698–18706. [Google Scholar] [CrossRef]
- Churnside, J.H.; Marchbanks, R.D.; Marshall, N. Airborne lidar observations of a spring phytoplankton bloom in the western arctic ocean. Remote Sens. 2021, 13, 2512. [Google Scholar] [CrossRef]
- Zhu, X.; Zhao, H.; Hu, E.; Gao, Y.; Zhou, Y.; Liu, D. Estimation of the seawater lidar ratio by modis: Spatial-temporal characteristics and ecological significance. Remote Sens. 2023, 15, 3328. [Google Scholar] [CrossRef]
- Behrenfeld, M.J.; Hu, Y.; O’Malley, R.T.; Boss, E.S.; Hostetler, C.A.; Siegel, D.A.; Sarmiento, J.L.; Schulien, J.; Hair, J.W.; Lu, X.; et al. Annual boom-bust cycles of polar phytoplankton biomass revealed by space-based lidar. Nat. Geosci. 2017, 10, 118–122. [Google Scholar] [CrossRef]
- Roddewig, M.R.; Churnside, J.H.; Shaw, J.A. Lidar measurements of the diffuse attenuation coefficient in yellowstone lake. Appl. Opt. 2020, 59, 3097–3101. [Google Scholar] [CrossRef]
- Moore, T.S.; Churnside, J.H.; Sullivan, J.M.; Twardowski, M.S.; Nayak, A.R.; McFarland, M.N.; Stockley, N.D.; Gould, R.W.; Johengen, T.H.; Ruberg, S.A. Vertical distributions of blooming cyanobacteria populations in a freshwater lake from lidar observations. Remote Sens. Environ. 2019, 225, 347–367. [Google Scholar] [CrossRef]
- Zhao, H.; Zhou, Y.; Wu, H.; Kutser, T.; Han, Y.; Ma, R.; Yao, Z.; Zhao, H.; Xu, P.; Jiang, C.; et al. Potential of mie-fluorescence-raman lidar to profile chlorophyll a concentration in inland waters. Environ. Sci. Technol. 2023, 57, 14226–14236. [Google Scholar] [CrossRef]
- Mellard, J.P.; Yoshiyama, K.; Litchman, E.; Klausmeier, C.A. The vertical distribution of phytoplankton in stratified water columns. J. Theor. Biol. 2011, 269, 16–30. [Google Scholar] [CrossRef]
- Xue, K.; Zhang, Y.; Duan, H.; Ma, R.; Loiselle, S.; Zhang, M. A remote sensing approach to estimate vertical profile classes of phytoplankton in a eutrophic lake. Remote Sens. 2015, 7, 14403–14427. [Google Scholar] [CrossRef]
- Churnside, J.H. Review of profiling oceanographic lidar. Optical Eng. 2014, 53, 51405. [Google Scholar] [CrossRef]
- Chen, P.; Jamet, C.; Zhang, Z.; He, Y.; Mao, Z.; Pan, D.; Wang, T.; Liu, D.; Yuan, D. Vertical distribution of subsurface phytoplankton layer in south china sea using airborne lidar. Remote Sens. Environ. 2021, 263, 112567. [Google Scholar] [CrossRef]
- Montes, M.A.; Churnside, J.; Lee, Z.; Gould, R.; Arnone, R.; Weidemann, A. Relationships between water attenuation coefficients derived from active and passive remote sensing: A case study from two coastal environments. Appl. Opt. 2011, 50, 2990–2999. [Google Scholar] [CrossRef]
- Fernald, F.G. Analysis of atmospheric lidar observations: Some comments. Appl. Opt. 1984, 23, 652–653. [Google Scholar] [CrossRef]
- Morel, A.; Maritorena, S. Bio-optical properties of oceanic waters: A reappraisal. J. Geophys. Res. Oceans 2001, 106, 7163–7180. [Google Scholar] [CrossRef]
- Liu, H.; Chen, P.; Mao, Z.; Pan, D. Iterative retrieval method for ocean attenuation profiles measured by airborne lidar. Appl. Opt. 2020, 59, C42–C51. [Google Scholar] [CrossRef] [PubMed]
- Sullivan, J.M.; Twardowski, M.S.; Zaneveld, J.; Moore, C.C. Measuring optical backscattering in water. In Light Scattering Reviews 7; Springer: Berlin/Heidelberg, Germany, 2013; pp. 189–224. ISBN 978-3-642-21906-1. [Google Scholar]
- Baker, K.S.; Smith, R.C. Bio-optical classification and model of natural waters. 2. Limnol. Oceanogr. 1982, 27, 500–509. [Google Scholar] [CrossRef]
- Gordon, H.R. Can the lambert-beer law be applied to the diffuse attenuation coefficient of ocean water? Limnol. Oceanogr. 1989, 34, 1389–1409. [Google Scholar] [CrossRef]
- Beckmann, A.; Hense, I. Beneath the surface: Characteristics of oceanic ecosystems under weak mixing conditions—A theoretical investigation. Prog. Oceanogr 2007, 75, 771–796. [Google Scholar] [CrossRef]
- Liu, M.; Zhang, Y.; Shi, K.; Melack, J.; Zhang, Y.; Zhou, Y.; Zhu, M.; Zhu, G.; Wu, Z.; Liu, M. Spatial variations of subsurface chlorophyll maxima during thermal stratification in a large, deep subtropical reservoir. J. Geophys. Res.-Biogeo. 2020, 125, e2019JG005480. [Google Scholar] [CrossRef]
- Leach, T.H.; Beisner, B.E.; Carey, C.C.; Pernica, P.; Rose, K.C.; Huot, Y.; Brentrup, J.A.; Domaizon, I.; Grossart, H.-P.; Ibelings, B.W.; et al. Patterns and drivers of deep chlorophyll maxima structure in 100 lakes: The relative importance of light and thermal stratification. Limnol. Oceanogr. 2018, 63, 628–646. [Google Scholar] [CrossRef]
- Abdallah, H.; Baghdadi, N.; Bailly, J.S.; Pastol, Y.; Fabre, F. Wa-lid: A new lidar simulator for waters. IEEE Geosci. Remote Sens. Lett. 2012, 9, 744–748. [Google Scholar] [CrossRef]
- Gu, Q.; Zhang, Y.; Ma, L.; Li, J.; Wang, K.; Zheng, K.; Zhang, X.; Sheng, L. Assessment of reservoir water quality using multivariate statistical techniques: A case study of qiandao lake, china. Sustainability 2016, 8, 243. [Google Scholar] [CrossRef]
- Han, X.; Zhu, G.; Wu, Z.; Chen, W.; Zhu, M. Spatial-temporal variations of water quality parameters in xin’anjiang reservoir(lake qiandao) and the water protection strategy. J. Lake Sci. 2013, 25, 836–845. [Google Scholar]
- Zhou, Y.; Zhang, Y.; Jeppesen, E.; Murphy, K.R.; Shi, K.; Liu, M.; Liu, X.; Zhu, G. Inflow rate-driven changes in the composition and dynamics of chromophoric dissolved organic matter in a large drinking water lake. Water Res. 2016, 100, 211–221. [Google Scholar] [CrossRef]
- Wang, C.; Li, Q.; Liu, Y.; Wu, G.; Liu, P.; Ding, X. A comparison of waveform processing algorithms for single-wavelength lidar bathymetry. ISPRS J. Photogrammet. Remote Sens. 2015, 101, 22–35. [Google Scholar] [CrossRef]
- Gordon, H.R. Interpretation of airborne oceanic lidar—Effects of multiple-scattering. Appl. Opt. 1982, 21, 2996–3001. [Google Scholar] [CrossRef] [PubMed]
- Zhou, Y.; Chen, Y.; Zhao, H.; Jamet, C.; Dionisi, D.; Chami, M.; Di Girolamo, P.; Churnside, J.H.; Malinka, A.; Zhao, H.; et al. Shipborne oceanic high-spectral-resolution lidar for accurate estimation of seawater depth-resolved optical properties. Light Sci. Appl. 2022, 11, 261. [Google Scholar] [CrossRef]













Disclaimer/Publisher’s Note: The statements, opinions and data contained in all publications are solely those of the individual author(s) and contributor(s) and not of MDPI and/or the editor(s). MDPI and/or the editor(s) disclaim responsibility for any injury to people or property resulting from any ideas, methods, instructions or products referred to in the content. |
© 2024 by the authors. Licensee MDPI, Basel, Switzerland. This article is an open access article distributed under the terms and conditions of the Creative Commons Attribution (CC BY) license (https://creativecommons.org/licenses/by/4.0/).
Share and Cite
Sang, X.; Mao, Z.; Li, Y.; Zhang, X.; Han, C.; Zhang, L.; Huang, H. Observations of Optical Properties and Chlorophyll-a Concentration in Qiandao Lake Using Shipborne Lidar. Remote Sens. 2024, 16, 4663. https://doi.org/10.3390/rs16244663
Sang X, Mao Z, Li Y, Zhang X, Han C, Zhang L, Huang H. Observations of Optical Properties and Chlorophyll-a Concentration in Qiandao Lake Using Shipborne Lidar. Remote Sensing. 2024; 16(24):4663. https://doi.org/10.3390/rs16244663
Chicago/Turabian StyleSang, Xuan, Zhihua Mao, Youzhi Li, Xianliang Zhang, Chang Han, Longwei Zhang, and Haiqing Huang. 2024. "Observations of Optical Properties and Chlorophyll-a Concentration in Qiandao Lake Using Shipborne Lidar" Remote Sensing 16, no. 24: 4663. https://doi.org/10.3390/rs16244663
APA StyleSang, X., Mao, Z., Li, Y., Zhang, X., Han, C., Zhang, L., & Huang, H. (2024). Observations of Optical Properties and Chlorophyll-a Concentration in Qiandao Lake Using Shipborne Lidar. Remote Sensing, 16(24), 4663. https://doi.org/10.3390/rs16244663

