Assessing Geometric and Radiometric Accuracy of DJI P4 MS Imagery Processed with Agisoft Metashape for Shrubland Mapping
Abstract
1. Introduction
2. Materials and Methods
2.1. Description of the Study Area
2.2. Basic Data
2.2.1. UAS Image Acquisition
2.2.2. Ground Control and Verification Points
2.2.3. Reflectance Panels
2.2.4. Radiometric Validation Points
2.3. Resources
2.3.1. Hardware
2.3.2. Software
2.4. Methodology
- Without GCPs;
- One GCP: five tests were performed using one GCP, selecting the ones in the corners (GCPs 1, 3, 6, 8) and the one nearest the centre (GCP 12);
- Five GCPs: one from each extreme of the study area plus the one nearest the centre (GCPs 1, 3, 6, 8, and 12);
- Twelve GCPs.
3. Implementation and Results
3.1. Geometric Accuracy Assessment
3.2. Radiometric Accuracy Assessment
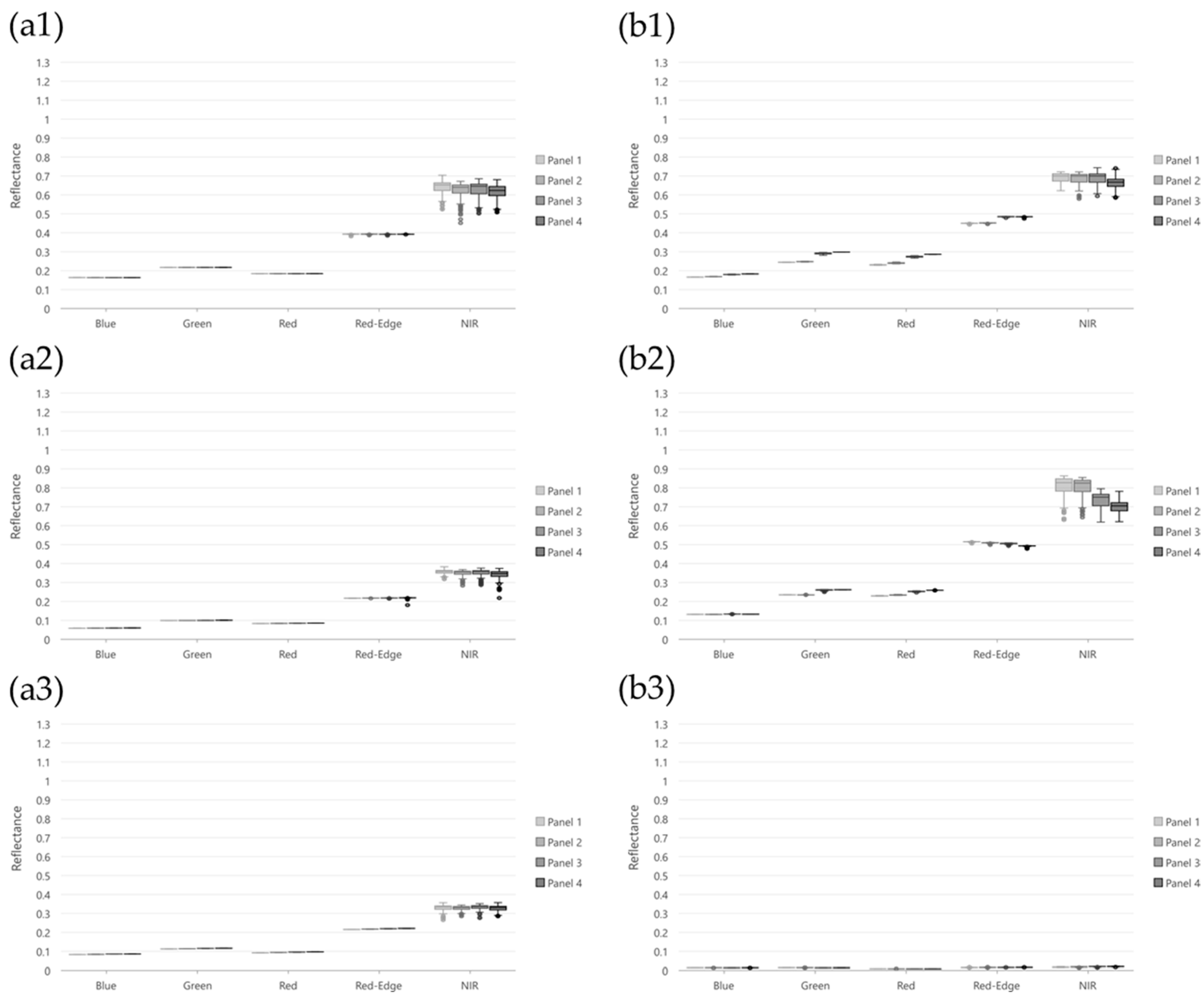
- In Figure 15, the mean of the differences, , between the mean reflectance values and the corresponding laboratory values according to the radiometric method: (a) with panels, (b) with ILS, and (c) with panels and ILS; the UAS and the flight date. The reflectance values of the panels in the NIR band for both cameras have a greater spread (in contrast, the spread of the NIR reflectance values of the panels measured in the laboratory have a minor spread). Furthermore, the spread on the 11th appears to be slightly smaller. As it had been raining the days before the flight, this result may be attributed to the humidity. Records of the relative humidity on the flight time period on both days have mean values of 71% and 60%, respectively, for the 10th and 11th. The NIR radiation reaching the camera sensors has travelled through the atmosphere. If humidity is high, some NIR waves will be absorbed by water vapour along the way. This selective absorption alters the overall NIR reflectance measured by the cameras, leading to variations compared to the laboratory measurement (where there was no atmospheric interference). Since visible wavelengths are less affected by water vapour, their reflectance measurements show less variation between laboratory and field conditions [46];
- The reflectance values of the panels on the orthomosaics produced with different calibration methods vary significantly between cameras and days;
- The reflectance values of all the panels in all bands from the orthomosaics produced with the images acquired by the Altum camera on both days are quite different from those obtained in the laboratory for all calibration methods. In fact, the reflectance values of the panels on the radiometrically calibrated orthomosaics produced with the ALTUM images differ by more than 56% for the blue, green, and red bands and more than 31% for the red-edge, and 19% for the NIR bands.
- The radiometric calibration using only the ILS data produced results that are unacceptable for both cameras and days of image acquisition. Indeed, the differences between the mean reflectance values of the panels in the orthomosaics are equal to or bigger than 45% for all bands, except for the NIR in the orthomosaics produced with the ALTUM camera and only on the second day of acquisition (in the first day, the value is equal to 59%);
- The radiometric correction using both the panels and ILS appears to furnish acceptable results for the P4MS orthomosaics in the red, red-edge, and NIR bands (Figure 15). Nonetheless, when observing Figure 13, one can observe that those bands have reflectance values higher than 1 (except for the red band on day 11 November). As the red and the NIR bands are fundamental to computing the NDVI maps, and the radiometric correction with the ILS data alone is not reliable; this method is considered to be unreliable as well;
- The mean differences in the reflectance values for the P4MS camera, obtained with the radiometric correction using the panels, when compared between days are quite different, being those of the 11 November higher. The values reach 61% for the blue, 47% for the green, and 33% for the red bands but similar for the red-edge and NIR bands (9% and 4%, respectively). On the contrary, the reflectance values obtained with the radiometric correction using only the ILS are similar between the two days but much lower than the reference (the mean differences are all bigger than 51% for all bands);
- Repeating the same analysis but for the ALTUM camera, the results do not follow the same tendency, i.e., when the radiometric correction is carried out with the panel, the percentage of variation of the reflectance values on the 11 November is analogous, varying from 27% for the NIR until 82% for the blue bands. When the radiometric calibration is performed using the ILS instead, the conclusion is similar, with a slight increase in the percentage of variation (except for the NIR band on the 11, which changes from 27% to 19%).
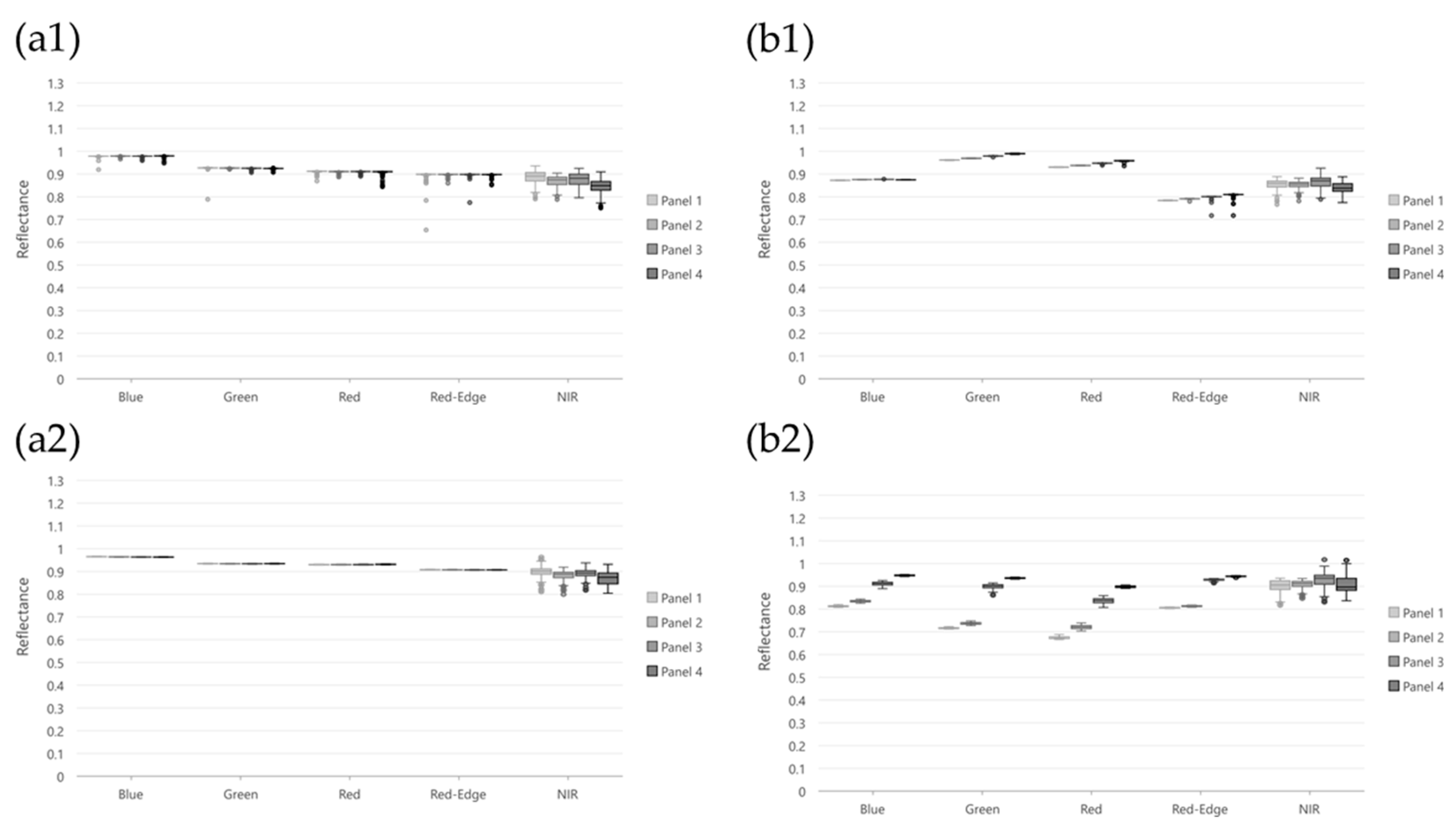
- The results are consistent between days for both cameras, and the differences between the reflectance values measured in the radiometrically calibrated orthomosaics and the corresponding laboratory values are no greater than 15% (Figure 18).
- The results obtained for the 10 of November are better, presenting a bias no greater than 5%.
- The boxplots in Figure 17 show that the reflectance values of the panels in the orthomosaics produced with the images of 11 November with both cameras are more inconsistent among the panels. However, those of the Altum camera present a higher degree of inconsistency.
- The NIR reflectance values are more consistent among panels, regardless of the camera.
- c = radiometric correction with image at 1 m height; calibration with image of panel in-flight;
- d = day 10, day 11; s = band blue, …, NIR
4. Discussion
4.1. Geometric Accuracy
4.2. Radiometric Accuracy
5. Conclusions
Author Contributions
Funding
Data Availability Statement
Acknowledgments
Conflicts of Interest
References
- Hartling, S.; Sagan, V.; Maimaitijiang, M. Urban tree species classification using UAV-based multi-sensor data fusion and machine learning. GIsci. Remote Sens. 2021, 58, 1250–1275. [Google Scholar] [CrossRef]
- Navarro, A.; Young, M.; Allan, B.; Carnell, P.; Macreadie, P.; Ierodiaconou, D. The application of Unmanned Aerial Vehicles (UAVs) to estimate above-ground biomass of mangrove ecosystems. Remote Sens. Environ. 2020, 242, 111747. [Google Scholar] [CrossRef]
- Lyu, X.; Li, X.; Dang, D.; Dou, H.; Wang, K.; Lou, A. Unmanned Aerial Vehicle (UAV) Remote Sensing in Grassland Ecosystem Monitoring: A Systematic Review. Remote Sens. 2022, 14, 1096. [Google Scholar] [CrossRef]
- Rusnák, M.; Goga, T.; Michaleje, L.; Michalková, M.; Máčka, Z.; Bertalan, L.; Kidová, A. Remote Sensing of Riparian Ecosystems. Remote Sens. 2022, 14, 2645. [Google Scholar] [CrossRef]
- Yao, H.; Qin, R.; Chen, X. Unmanned Aerial Vehicle for Remote Sensing Applications—A Review. Remote Sens. 2019, 11, 1443. [Google Scholar] [CrossRef]
- de Castro, A.I.; Shi, Y.; Maja, J.M.; Peña, J.M. Uavs for vegetation monitoring: Overview and recent scientific contributions. Remote Sens. 2021, 13, 2139. [Google Scholar] [CrossRef]
- Tomljanović, K.; Franjević, M.; Balenović, I.; Ugarković, D.; Matak, I.; Jurjević, L.; Đuka, A.; Kolar, A. Application of UAS for Monitoring of Forest Ecosystems-A Review of Experience and Knowledge. Croat. J. For. Eng. 2022, 43, 487–504. [Google Scholar] [CrossRef]
- DJI Phantom 4 Multispectral—Plant Intelligence for Targeted Action. Available online: https://www.dji.com/pt/p4-multispectral (accessed on 1 October 2022).
- Ecke, S.; Dempewolf, J.; Frey, J.; Schwaller, A.; Endres, E.; Klemmt, H.-J.; Tiede, D.; Seifert, T. UAV-Based Forest Health Monitoring: A Systematic Review. Remote Sens. 2022, 14, 3205. [Google Scholar] [CrossRef]
- López, R.S.; Murga, R.E.T.; Silva-López, J.O.; Rojas-Briceño, N.B.; Fernández, D.G.; Oliva-Cruz, M.; Taddia, Y. Accuracy Assessment of Direct Georeferencing for Photogrammetric Applications Based on UAS-GNSS for High Andean Urban Environments. Drones 2022, 6, 388. [Google Scholar] [CrossRef]
- Losè, L.T.; Chiabrando, F.; Tonolo, F.G. Boosting the Timeliness of UAV Large Scale Mapping. Direct Georeferencing Approaches: Operational Strategies and Best Practices. ISPRS Int. J. Geo-Inf. 2020, 9, 578. [Google Scholar] [CrossRef]
- Aasen, H.; Burkart, A.; Bolten, A.; Bareth, G. Generating 3D hyperspectral information with lightweight UAV snapshot cameras for vegetation monitoring: From camera calibration to quality assurance. ISPRS J. Photogramm. Remote Sens. 2015, 108, 245–259. [Google Scholar] [CrossRef]
- Gómez-Candón, D.; De Castro, A.I.; López-Granados, F. Assessing the accuracy of mosaics from unmanned aerial vehicle (UAV) imagery for precision agriculture purposes in wheat. Precis. Agric. 2014, 15, 44–56. [Google Scholar] [CrossRef]
- Zhu, H.; Huang, Y.; An, Z.; Zhang, H.; Han, Y.; Zhao, Z.; Li, F.; Zhang, C.; Hou, C. Assessing radiometric calibration methods for multispectral UAV imagery and the influence of illumination, flight altitude and flight time on reflectance, vegetation index and inversion of winter wheat AGB and LAI. Comput. Electron. Agric. 2024, 219, 108821. [Google Scholar] [CrossRef]
- Daniels, L.; Eeckhout, E.; Wieme, J.; Dejaegher, Y.; Audenaert, K.; Maes, W.H. Identifying the Optimal Radiometric Calibration Method for UAV-Based Multispectral Imaging. Remote Sens. 2023, 15, 2909. [Google Scholar] [CrossRef]
- Xu, K.; Gong, Y.; Fang, S.; Wang, K.; Lin, Z.; Wang, F. Radiometric Calibration of UAV Remote Sensing Image with Spectral Angle Constraint. Remote Sens. 2019, 11, 1291. [Google Scholar] [CrossRef]
- Poncet, A.M.; Knappenberger, T.; Brodbeck, C.; Fogle, M.; Shaw, J.N.; Ortiz, B.V. Multispectral UAS Data Accuracy for Different Radiometric Calibration Methods. Remote Sens. 2019, 11, 1917. [Google Scholar] [CrossRef]
- Hunt, E.R.; Stern, A.J. Evaluation of Incident Light Sensors on Unmanned Aircraft for Calculation of Spectral Reflectance. Remote Sens. 2019, 11, 2622. [Google Scholar] [CrossRef]
- Ben-Dor, E.; Kruse, F.A.; Lefkoff, A.B.; Banin, A. Comparison of Three Calibration Techniques for Utilization of GER 63-Channel Aircraft Scanner Data of Makhtesh Ramon, Negev, Israel. Available online: https://pascal-francis.inist.fr/vibad/index.php?action=getRecordDetail&idt=3327714 (accessed on 26 November 2024).
- Dwyer, J.L.; Kruse, F.A.; Lefkoff, A.B. Effects of Empirical Versus Model-Based Reflectance Calibration on Automated Analysis of Imaging Spectrometer Data: A Case Study from the Drum Mountains, Utah. Photogrammetric Engineering and Remote Sensing. 1995. Available online: https://pubs.usgs.gov/publication/70187652 (accessed on 26 November 2024).
- Laliberte, A.S.; Goforth, M.A.; Steele, C.M.; Rango, A. Multispectral remote sensing from unmanned aircraft: Image processing workflows and applications for rangeland environments. Remote Sens. 2011, 3, 2529–2551. [Google Scholar] [CrossRef]
- Karpouzli, E.; Malthus, T. The empirical line method for the atmospheric correction of IKONOS imagery. Int. J. Remote Sens. 2003, 24, 1143–1150. [Google Scholar] [CrossRef]
- Staben, G.W.; Pfitzner, K.; Bartolo, R.; Lucieer, A. Empirical line calibration of WorldView-2 satellite imagery to reflectance data: Using quadratic prediction equations. Remote Sens. Lett. 2012, 3, 521–530. [Google Scholar] [CrossRef]
- Deng, L.; Hao, X.; Mao, Z.; Yan, Y.; Sun, J.; Zhang, A. A subband radiometric calibration method for UAV-based multispectral remote sensing. IEEE J. Sel. Top. Appl. Earth Obs. Remote Sens. 2018. Available online: https://ieeexplore.ieee.org/abstract/document/8386850/ (accessed on 26 November 2024). [CrossRef]
- Stow, D.; Hope, A.; Nguyen, A.T.; Phinn, S.; Benkelman, C.A. Monitoring detailed land surface changes using an airborne multi spectral digital camera system. IEEE Trans. Geosci. Remote Sens. 1996, 34, 1191–1203. [Google Scholar] [CrossRef]
- Wang, C.; Myint, S.W. A Simplified Empirical Line Method of Radiometric Calibration for Small Unmanned Aircraft Systems-Based Remote Sensing. IEEE J. Sel. Top. Appl. Earth Obs. Remote Sens. 2015, 8, 1876–1885. [Google Scholar] [CrossRef]
- Windle, A.E.; Silsbe, G.M. Evaluation of Unoccupied Aircraft System (UAS) Remote Sensing Reflectance Retrievals for Water Quality Monitoring in Coastal Waters. Front. Environ. Sci. 2021, 9, 674247. [Google Scholar] [CrossRef]
- Tinkham, W.T.; Swayze, N.C. Influence of Agisoft Metashape Parameters on UAS Structure from Motion Individual Tree Detection from Canopy Height Models. Forests 2021, 12, 250. [Google Scholar] [CrossRef]
- Jarahizadeh, S.; Salehi, B. A Comparative Analysis of UAV Photogrammetric Software Performance for Forest 3D Modeling: A Case Study Using AgiSoft Photoscan, PIX4DMapper, and DJI Terra. Sensors 2024, 24, 286. [Google Scholar] [CrossRef]
- Jurado, J.M.; López, A.; Pádua, L.; Sousa, J.J. Remote sensing image fusion on 3D scenarios: A review of applications for agriculture and forestry. Int. J. Appl. Earth Obs. Geoinf. 2022, 112, 102856. [Google Scholar] [CrossRef]
- Oliveira, B.R.F.; Keizer, J.J.; Foken, T. Changes of the aerodynamic characteristics of a flux site after an extensive windthrow. Biogeosciences 2022, 19, 2235–2243. [Google Scholar] [CrossRef]
- Oliveira, B.R.F.; Schaller, C.; Keizer, J.J.; Foken, T. Estimating immediate post-fire carbon fluxes using the eddy-covariance technique. Biogeosciences 2021, 18, 285–302. [Google Scholar] [CrossRef]
- Rede Nacional de Estações Permanentes GNSS. Available online: https://renep.dgterritorio.gov.pt/ (accessed on 7 October 2024).
- Oniga, V.E.; Breaban, A.I.; Pfeifer, N.; Chirila, C. Determining the Suitable Number of Ground Control Points for UAS Images Georeferencing by Varying Number and Spatial Distribution. Remote Sens. 2020, 12, 876. [Google Scholar] [CrossRef]
- Awasthi, B.; Karki, S.; Regmi, P.; Dhami, D.S.; Thapa, S.; Panday, U.S. Analyzing the Effect of Distribution Pattern and Number of GCPs on Overall Accuracy of UAV Photogrammetric Results. Lect. Notes Civ. Eng. 2020, 51, 339–354. [Google Scholar] [CrossRef]
- Martínez-Carricondo, P.; Agüera-Vega, F.; Carvajal-Ramírez, F.; Mesas-Carrascosa, F.J.; García-Ferrer, A.; Pérez-Porras, F.J. Assessment of UAV-photogrammetric mapping accuracy based on variation of ground control points. Int. J. Appl. Earth Obs. Geoinf. 2018, 72, 1–10. [Google Scholar] [CrossRef]
- MicaSense. Use of Calibrated Reflectance Panels for MicaSense Data. Available online: https://support.micasense.com/hc/en-us/articles/115000765514-Use-of-Calibrated-Reflectance-Panels-For-MicaSense-Data (accessed on 29 November 2023).
- Pro-Lite Technology, Ltd. Available online: https://pro-lite.co.uk/products-services-index/light-measurement/reflectance-targets/ (accessed on 10 September 2022).
- Sampath, A.; Shrestha, M.; While, M.; Scholl, V.M. Guidelines for Calibration of Uncrewed Aircraft Systems Imagery; US Geological Survey Open-File Report; U.S. Geological Survey: Reston, VA, USA, 2023; Volume 2023, pp. 1–23. [Google Scholar] [CrossRef]
- Tomlin, C.D. Map algebra: One perspective. Landsc. Urban Plan. 1994, 30, 3–12. [Google Scholar] [CrossRef]
- Olsson, P.-O.; Vivekar, A.; Adler, K.; Millan, V.E.G.; Koc, A.; Alamrani, M.; Eklundh, L. Radiometric correction of multispectral uas images: Evaluating the accuracy of the parrot sequoia camera and sunshine sensor. Remote Sens. 2021, 13, 577. [Google Scholar] [CrossRef]
- Mamaghani, B.G.; Salvaggio, C. Comparative Study of Panel and Panelless-Based Reflectance Conversion Techniques for Agricultural Remote Sensing. Am. J. Agric. Sci. 2019, 6, 40–58. Available online: http://www.aascit.org/journal/ajas (accessed on 4 September 2024).
- Radiometric Calibration Model for MicaSense Sensors—MicaSense Knowledge Base. Available online: https://support.micasense.com/hc/en-us/articles/115000351194-Radiometric-Calibration-Model-for-MicaSense-Sensors (accessed on 20 March 2024).
- Agisoft Metashape User Manual Professional Edition, Version 2.1. 2024. Available online: https://www.agisoft.com/downloads/user-manuals/ (accessed on 1 July 2024).
- Best Practices Collecting Data with MicaSense Sensors. Available online: https://support.micasense.com/hc/en-us/articles/224893167-Best-practices-Collecting-Data-with-MicaSense-Sensors (accessed on 1 July 2024).
- Zumba, J.; Rodgers, J.; Indest, M. Impact of temperature and relative humidity on the near infrared spectroscopy measurements of cotton fiber micronaire. Text. Res. J. 2018, 88, 2279–2291. [Google Scholar] [CrossRef]
- Jiménez-Jiménez, S.I.; Ojeda-Bustamante, W.; Marcial-Pablo, M.D.J.; Enciso, J. Digital Terrain Models Generated with Low-Cost UAV Photogrammetry: Methodology and Accuracy. ISPRS Int. J. Geo-Inf. 2021, 10, 285. [Google Scholar] [CrossRef]
- Using Panels and or ILS in Post Processing. Available online: https://support.micasense.com/hc/en-us/articles/360025336894-Using-Panels-and-or-ILS-in-Post-Processing (accessed on 12 June 2024).
- Köppl, C.J.; Malureanu, R.; Dam-Hansen, C.; Wang, S.; Jin, H.; Barchiesi, S.; Sandí, J.M.S.; Muñoz-Carpena, R.; Johnson, M.; Durán-Quesada, A.M.; et al. Hyperspectral reflectance measurements from UAS under intermittent clouds: Correcting irradiance measurements for sensor tilt. Remote Sens. Environ. 2021, 267, 112719. [Google Scholar] [CrossRef]
- Crusiol, L.G.T.; Nanni, M.R.; Furlanetto, R.H.; Cezar, E.; Silva, G.F.C. Reflectance calibration of UAV-based visible and near-infrared digital images acquired under variant altitude and illumination conditions. Remote Sens. Appl. 2020, 18, 100312. [Google Scholar] [CrossRef]
- Gitelson, A.; Merzlyak, M.N. Spectral Reflectance Changes Associated with Autumn Senescence of Aesculus hippocastanum L. and Acer platanoides L. Leaves. Spectral Features and Relation to Chlorophyll Estimation. J. Plant Physiol. 1994, 143, 286–292. [Google Scholar] [CrossRef]

































| UAS | Time | Flight Parameters | Observations |
|---|---|---|---|
| P4MS | 10 November 2022: 13:25 until 14:45 UTC 11 November 2022: 13:25 until 14:37 UTC | No. strips: 39 No. images: 1114 Overlaps (sideward and frontal): 75% GSD: 4 cm Height: 80.1 m With RTK | On Day 1, the RTK connection was lost four times, for three short periods and a longer one during almost a complete flight strip. On Day 2, the connection was lost for two long periods, corresponding to two flight strips |
| Altum | 10 November 2022: 13:28 until 13:52 UTC 11 November 2022: 13:37 until 13:57 UTC | No. strips: 27 No. images: 525 Overlaps (sideward and frontal): 75% GSD: 4 cm Height: 97.8 m Without RTK | The RTK mode did not work (camera and drone) |
| Bands | Blue 560 ± 20 nm | Green 560 ± 20 nm | Red 668 ± 10 nm | Red-Edge 717 ± 10 nm | NIR 840 ± 40 nm |
|---|---|---|---|---|---|
| Reflectance | 0.536 | 0.534 | 0.532 | 0.531 | 0.528 |
| Reflectance Panels | |||||
|---|---|---|---|---|---|
| Band | Camera | P_1 | P_2 | P_3 | P_4 |
| Blue | P4MS 450 ± 16 nm | 0.9856 | 1 | 1 | 1 |
| Altum 475 ± 20 nm | 0.9606 | 0.9883 | 1 | 1 | |
| Green | P4MS 560 ± 16 nm | 0.9324 | 0.9678 | 0.9998 | 0.9847 |
| Altum 560 ± 20 nm | 0.9314 | 0.9677 | 0.9997 | 0.9943 | |
| Red | P4MS 650 ± 16 nm | 0.9166 | 0.9581 | 0.98710 | 0.9701 |
| Altum 668 ± 10 nm | 0.9160 | 0.9558 | 0.9839 | 0.9794 | |
| Red-Edge | P4MS 730 ± 16 nm | 0.9036 | 0.9469 | 0.9751 | 0.9580 |
| Altum 717 ± 10 nm | 0.9065 | 0.9490 | 0.9774 | 0.9715 | |
| NIR | P4MS 840 ± 26 nm | 0.8988 | 0.9393 | 0.9641 | 0.9507 |
| Altum 840 ± 40 nm | 0.8985 | 0.9391 | 0.9638 | 0.9575 | |
| Camera | Sensor Pixel Size (μm) | Number of Pixels (MP) | Sensor Size (mm) | Focal Distance (mm) |
|---|---|---|---|---|
| P4MS | 3.03 | 2.08 | 4.86 × 3.95 | 5.74 |
| Altum | 3.45 | 3.19 | 7.12 × 5.33 | 8 |
| Day | GCP Identification | n VPs | RMSE X (m) | RMSE Y (m) | RMSE XY (m) | RMSE Z (m) | ||||
|---|---|---|---|---|---|---|---|---|---|---|
| P4MS | Altum | P4MS | Altum | P4MS | Altum | P4MS | Altum | |||
| 10 November 2022 | No GCPs | 17 | 0.029 | 2.711 | 0.039 | 7.239 | 0.049 | 7.730 | 1.952 | 47.206 |
| GCP1 | 16 | 0.024 | 7.913 | 0.041 | 10.805 | 0.048 | 13.393 | 0.074 | 21.410 | |
| GCP3 | 0.021 | - | 0.037 | - | 0.043 | - | 0.043 | - | ||
| GCP6 | 0.026 | - | 0.042 | - | 0.049 | - | 0.071 | - | ||
| GCP8 | 0.026 | - | 0.041 | - | 0.048 | - | 0.033 | - | ||
| GCP12 | 0.023 | - | 0.042 | - | 0.037 | - | 0.048 | - | ||
| GCP1, GCP3, GCP6, GCP8, GCP12 | 12 | 0.027 | 0.034 | 0.035 | 0.026 | 0.044 | 0.038 | 0.075 | 0.064 | |
| 12 GCPs | 5 | 0.029 | 0.022 | 0.045 | 0.029 | 0.054 | 0.034 | 0.039 | 0.063 | |
| 11 November 2022 | No GCPs | 17 | 0.023 | 0.258 | 0.049 | 1.466 | 0.054 | 1.489 | 0.262 | 48.626 |
| GCP1 | 16 | 0.025 | 7.148 | 0.050 | 9.418 | 0.056 | 11.824 | 0.042 | 17.915 | |
| GCP3 | 0.017 | - | 0.046 | - | 0.049 | - | 0.046 | - | ||
| GCP6 | 0.025 | - | 0.041 | - | 0.048 | - | 0.069 | - | ||
| GCP8 | 0.021 | - | 0.051 | - | 0.055 | - | 0.099 | - | ||
| GCP12 | 0.021 | - | 0.048 | - | 0.052 | - | 0.049 | - | ||
| GCP1, GCP3, GCP6, GCP8, GCP12 | 12 | 0.021 | 0.033 | 0.054 | 0.018 | 0.058 | 0.038 | 0.055 | 0.066 | |
| 12 GCPs | 5 | 0.017 | 0.022 | 0.048 | 0.027 | 0.051 | 0.034 | 0.050 | 0.046 | |
| Camera | Day | RBlue1 metre | RGreen1 metre | RRed1 metre | RRed-Edge1 metre | RNIR1 metre |
|---|---|---|---|---|---|---|
| P4MS | 10 | 82% RBluein-flight | 89% RGreenin-flight | 104% RRedin-flight | 102% RRed-Edgein-flight | 113% RNIRin-flight |
| 11 | 45% RBluein-flight | 51% RGreenin-flight | 66% RRedin-flight | 108% RRed-Edgein-flight | 115% RNIRin-flight | |
| Altum | 10 | 17% RBluein-flight | 23% RGreenin-flight | 20% RRedin-flight | 43% RRed-Edgein-flight | 71% RNIRin-flight |
| 11 | 19% RBluein-flight | 33% RGreenin-flight | 33% RRedin-flight | 54% RRed-Edgein-flight | 74% RNIRin-flight |
| Bands | Mean of Differences | Standard Deviation of Differences |
|---|---|---|
| Blue | −3.70% | 2.91% |
| Green | −4.00% | 4.00% |
| Red | −2.87% | 3.35% |
| Red-Edge | −1.44% | 4.61% |
| NIR | −0.95% | 5.39% |
| NDVI | 15% | 7% |
Disclaimer/Publisher’s Note: The statements, opinions and data contained in all publications are solely those of the individual author(s) and contributor(s) and not of MDPI and/or the editor(s). MDPI and/or the editor(s) disclaim responsibility for any injury to people or property resulting from any ideas, methods, instructions or products referred to in the content. |
© 2024 by the authors. Licensee MDPI, Basel, Switzerland. This article is an open access article distributed under the terms and conditions of the Creative Commons Attribution (CC BY) license (https://creativecommons.org/licenses/by/4.0/).
Share and Cite
da Silva, T.v.d.W.; Gomes Pereira, L.; Oliveira, B.R.F. Assessing Geometric and Radiometric Accuracy of DJI P4 MS Imagery Processed with Agisoft Metashape for Shrubland Mapping. Remote Sens. 2024, 16, 4633. https://doi.org/10.3390/rs16244633
da Silva TvdW, Gomes Pereira L, Oliveira BRF. Assessing Geometric and Radiometric Accuracy of DJI P4 MS Imagery Processed with Agisoft Metashape for Shrubland Mapping. Remote Sensing. 2024; 16(24):4633. https://doi.org/10.3390/rs16244633
Chicago/Turabian Styleda Silva, Tiago van der Worp, Luísa Gomes Pereira, and Bruna R. F. Oliveira. 2024. "Assessing Geometric and Radiometric Accuracy of DJI P4 MS Imagery Processed with Agisoft Metashape for Shrubland Mapping" Remote Sensing 16, no. 24: 4633. https://doi.org/10.3390/rs16244633
APA Styleda Silva, T. v. d. W., Gomes Pereira, L., & Oliveira, B. R. F. (2024). Assessing Geometric and Radiometric Accuracy of DJI P4 MS Imagery Processed with Agisoft Metashape for Shrubland Mapping. Remote Sensing, 16(24), 4633. https://doi.org/10.3390/rs16244633

