Next Article in Journal
Optimizing the Vegetation Health Index for Agricultural Drought Monitoring: Evaluation and Application in the Yellow River Basin
Previous Article in Journal
Multi-Camera Rig and Spherical Camera Assessment for Indoor Surveys in Complex Spaces
 
 
Font Type:
Arial Georgia Verdana
Font Size:
Aa Aa Aa
Line Spacing:
Column Width:
Background:
Technical Note

Impact Analysis of Orthogonal Circular-Polarized Interference on GNSS Spatial Anti-Jamming Array

by
Ke Zhang
1,2,
Xiangjun Li
1,2,
Lei Chen
1,2,*,
Zengjun Liu
1,2 and
Yuchen Xie
1,2
1
College of Electronic Science and Technology, National University of Defense Technology, Changsha 410073, China
2
Key Laboratory of Satellite Navigation Technology, Changsha 410073, China
*
Author to whom correspondence should be addressed.
Remote Sens. 2024, 16(23), 4506; https://doi.org/10.3390/rs16234506
Submission received: 13 October 2024 / Revised: 20 November 2024 / Accepted: 29 November 2024 / Published: 1 December 2024

Abstract

With the continuous advancement of electromagnetic countermeasures, new types of interference signals (e.g., multi-polarization suppression interference) pose a significant threat to conventional Global Navigation Satellite System (GNSS) services, even when the receiver employs a right-handed circularly polarized (RHCP) anti-jamming array. This paper proposes a receiving signal model for orthogonal circularly polarized (OCP) interference signals based on conventional arrays, following an analysis of the non-ideal characteristics of actual arrays. Furthermore, the mechanism by which OCP interference signals affect anti-jamming performance is examined. Power inversion (PI) and linear constrained minimum variance (LCMV) techniques, applied to both uniform linear arrays and central circular arrays, are utilized to verify the impact of these interference signals. Simulation and physical testing demonstrate that OCP interference significantly affects the interference subspace of the conventional RHCP array, potentially leading to a reduction in the anti-jamming performance of the receiver. To effectively suppress multi-polarization interference, anti-jamming GNSS receivers must either ensure the consistency of cross-polarization among the elements of the array or adopt polarization-sensitive arrays.

1. Introduction

The Global Navigation Satellite System (GNSS) is a wireless navigation system that provides positioning, navigation, and timing services. It offers several advantages, including extensive coverage, all-weather functionality, and high precision, and it plays an increasingly vital role in national economy and defense [1]. However, the power of the navigation signals reaching the ground is very weak, making GNSS receivers susceptible to complex electromagnetic interference. Strong interference can cause ordinary GNSS receivers to malfunction, significantly threatening the availability and robustness of satellite navigation system services [2]. Therefore, enhancing the anti-jamming capabilities of GNSS receivers is of great practical importance.
For broadband suppression interference, traditional frequency-domain and time-domain filtering algorithms are ineffective. Although machine learning can effectively detect interference, it cannot suppress it [3]. Adaptive arrays are currently the primary method for combating broadband suppression interference, as they can flexibly adjust their beams to either direct the main beam toward the satellite or form a null toward the interference [4]. With the ongoing intensification of electromagnetic countermeasures, traditional methods have gradually evolved toward the integration of multiple domains, including the energy domain, time domain, frequency domain, spatial domain, and polarization domain. In recent years, the continuous advancement of polarimetric radar technology has led to rapid research and development in interference and anti-jamming techniques within the polarization domain [5]. Concurrently, related technologies are receiving increasing attention in the field of satellite navigation. Additionally, as urbanization progresses, interference signals encounter complex environments characterized by strong reflections, which can result in the multi-polarization characteristics of the interference signals. Since conventional anti-jamming arrays lack polarization resolution capabilities, the effects of multi-polarization interference can be highly concealed and deceptive, leading to significant uncertainty. To enhance the service performance of satellite navigation in complex electromagnetic environments, it is essential to analyze the impact of polarization-domain interference on conventional anti-jamming receivers.
Due to the fact that GNSS signals are RHCP signals, conventional anti-jamming receivers typically utilize an RHCP array. Currently, researchers primarily focus on anti-jamming algorithms and the non-ideal characteristics of antennas and channels in conventional anti-jamming receivers [6,7]. These anti-jamming algorithms can be broadly categorized into two types. The first type requires prior information, such as the direction of arrival (DOA) of the signal and interference, as well as reference signals, and subsequently performs beam control based on this information [8]. Examples of such algorithms include minimum mean square error (MMSE), minimum variance distortionless response (MVDR), and linear constrained minimum variance (LCMV) [9]. The second type of algorithm can suppress interference without prior knowledge, with power inversion (PI) being a typical example [10]. Without accounting for the non-ideal characteristics of arrays and radio frequency (RF) channels, all these algorithms can effectively mitigate various types of interference signals. In addition to algorithm development, arrays are constrained by factors such as installation location, size, and RF devices, and they encounter numerous non-ideal characteristics, particularly the mutual coupling of the array [10] and channel noise [11]. For instance, to reduce the mutual coupling effect between array elements, researchers have proposed various methods, including high-impedance surface technology with periodic electromagnetic bandgap structures [12], metamaterial technology [13], motion virtual arrays [14,15], and switching arrays [16] to enhance the isolation between array elements. Overall, conventional receivers’ anti-jamming algorithms often overlook the impact of multi-polarization interference and fail to adequately address the non-ideal characteristics of the array in the polarization domain.
However, the polarization characteristics of interference signals are diverse, particularly in the case of any polarized wave interference signal composed of two incoherent OCP interferences [17]. To suppress various polarized interference signals, polarization-sensitive arrays designed for interference suppression have garnered significant attention [18]. These studies encompass algorithms such as the Least Mean Squares (LMS) algorithm based on dual-polarization patch arrays [19], the MVDR algorithm based on dual circular polarization arrays [20], the PI algorithm based on dual-polarization arrays [21], LCMV algorithm [22], the Polarized Pattern Constrained Minimum Variance (PCMV) algorithm [23], and the Ellipsoid Minimum Variance Distortionless Response (EMVDR) algorithm [24], as well as vector arrays [25] and variable polarization arrays [26]. These algorithms primarily focus on analyzing the beam nulling performance of polarization-sensitive arrays under various interference scenarios, demonstrating effective multi-polarization interference suppression in specific contexts. However, current research on dual-polarized arrays is largely confined to enhancing existing algorithms or utilizing specialized arrays. It predominantly emphasizes the increased degrees of freedom afforded by polarization-sensitive arrays, while neglecting the impact of the non-ideal characteristics of the arrays themselves on anti-jamming performance.
For actual GNSS arrays, anti-jamming configurations can receive not only linearly polarized (LP) and RHCP signals, but also LHCP signals. In miniaturized arrays, as the mutual coupling effect intensifies, the cross-polarization characteristics are affected by varying elevation and azimuth angles. This leads to a deterioration in the performance of traditional anti-jamming arrays when facing OCP interference. In this article, we establish a signal model for receiving multi-polarization interference signals based on the cross-polarization characteristics of actual anti-jamming arrays. We analyze the mechanisms by which OCP interference signals influence the anti-jamming performance of these arrays. Using a 7-element uniform linear array and a 7-element central circular array as examples, we specifically simulate and analyze the impact of OCP interference on two typical algorithms, PI and LCMV.

2. Array Signals Model

For a conventional anti-jamming receiver, the signal reception and processing architecture is illustrated in Figure 1. GNSS signals and multipolar interference signals are received simultaneously by an array composed of N elements. These signals are processed by the RF front end and sampled by an analog-to-digital converter (ADC). Subsequently, the sampled signals are multiplied by a set of weights. Finally, the signals from all antenna elements are summed together to produce the adaptive array output.
When the spacing between array elements is less than the carrier wavelength, the received GNSS useful signal and interfering baseband signal can be expressed as
X = X R X L = A R · V A L · V · s R s L + η R η L
and
X R ( L ) = X R ( L ) 1 , X R ( L ) 2 , , X R ( L ) N T s R ( L ) = s R 0 , s R ( L ) 1 , , s R ( L ) M T V = v 0 , v 1 , , v M A R ( L ) = A R ( L ) 0 0 0 0 A R ( L ) 1 0 0 0 A R ( L ) M
where (∙)T represents transpose; ŋ represents Gaussian white noise vector; v is the directional vector related to the DOA and array form; s R and s L , respectively, represents the RHCP signal and LHCP signal received at the reference phase point, where s R 0 represents the useful signal received at the reference phase point; and M represents the number of interference signals. A R and A L , respectively, represents the RHCP and LHCP response vectors of the elements in the array.
Then, the output of the array is
Y = w T X R + w T X L + η = w T · V · A R · s R + w T · V · A L · s L + η
where η represents weighted Gaussian white noise.
Assuming that the received GNSS signal, interference, and thermal noise are uncorrelated and that the multi-polarized interference signals are also uncorrelated, the cross-correlation matrix of the array signal can be expressed as
R X X = E X R X R H + E X L X L H = p R 0 ( A R 0 V 0 ) · ( A R 0 V 0 ) H + m = 1 M p R m ( A Rm V m ) · ( A Rm V m ) H + p L m ( A Lm V m ) · ( A Lm V m ) H + σ 2 I
where E · represents the expected value, and · H represents the complex conjugate of the matrix. On the right-hand side of Equation (4), the first term represents the covariance matrix of the useful signals and the second term represents the covariance matrix of the interference signals. Meanwhile, p R 0 represents the average power of the useful signal, and p R m and p L m , respectively, represent the average power of RHCP interference and LHCP interference. σ 2 represents the average noise power. Under strong interference conditions, the covariance of the array is mainly determined by the covariance matrix of the interference signal, as the interference signal is far stronger than the useful signal.
Considering that GNSS signals are much weaker than interference signals and noise. In order to intuitively understand the impact of cross-polarization on received signals, the cross-polarization matrix Φ m is defined to satisfy A Lm = A Rm Φ m and be a diagonal matrix; then, the covariance matrix of the array can be simplified as
R X X m = 1 M A Rm ( p R m V m V m H + p L m Φ m V m V m H Φ m H ) A Rm H
As illustrated in Figure 1, the cross-polarization factor matrix represents the cross-polarization characteristics of antenna elements under various incident directions, given that OCP signals share the same receiving channel.
An analysis of Equation (5) reveals the following:
  • For an ideal RHCP anti-jamming array, since A Rm 2 is much greater than A Lm 2 and Φ m approaches a zero vector, the influence of LHCP interference on the covariance matrix of the anti-jamming array can be disregarded.
  • For a non-ideal anti-jamming array, if the cross-polarization matrix remains constant, it indicates that the non-ideal characteristics of the array elements exert the same influence on both OCP interferences.
  • For a non-ideal anti-jamming array, if the non-ideal characteristics of the array elements exert inconsistent effects on the two OCP interferences, the cross-polarization matrix will be an ideal matrix. Consequently, the LHCP interference will inevitably influence the eigenvectors of the covariance matrix.
For conventional anti-jamming arrays, the presence of non-ideal cross-polarization results in non-zero vectors that exhibit asymmetry. This asymmetry is influenced by several factors, including array configuration, element spacing, element design, and installation position. Consequently, the effect of LHCP interference on the covariance matrix of anti-jamming arrays is characterized by numerous uncertainties, which can lead to varying impacts on the anti-jamming performance of the array.

3. Cross-Polarization Characteristics of Array

The patch antenna offers several advantages, including miniaturization, ease of integration with carriers, and the flexible implementation of multi-polarization and multi-frequency performance. As a result, it is one of the primary configurations used in anti-jamming arrays for GNSS receivers. For instance, a typical orthogonally fed RHCP patch antenna operating at the GPS L1 frequency was analyzed using CST Studio Suite to determine its radiation characteristics. This analysis did not account for non-ideal factors such as the installation environment, substrate imperfections, and processing errors, as illustrated in Figure 2. The dimensions of the element as shown in Figure 2a are 35 mm × 35 mm × 5 mm, while the patch measures 24.8 mm × 24.8 mm, and the substrate has a permittivity of 12.
From Figure 2b,c, it is evident that the patch antenna operates effectively at 1575 MHz (GPS L1), achieving a maximum gain exceeding 3 dBi and a beamwidth greater than 117 degrees, as illustrated by the red and blue lines in Figure 2c. The RHCP antenna is capable of simultaneously receiving LHCP and RHCP signals. The cross-polarization gain, as shown in Figure 2d, indicates the ratio of the receiving gain of the RHCP signal to that of the LHCP signal. It is evident that the cross-polarization characteristics of the patch antenna are suboptimal. Furthermore, cross-polarization deteriorates progressively with an increasing elevation angle. Specifically, the cross-polarization remains above 20 dB when the elevation is less than 45°, but it drops below 15 dB when the elevation exceeds 60°.
Furthermore, the aforementioned patch antenna was integrated into a 7-element uniform linear array and a 7-element central circular array, as illustrated in Figure 3. The cross-polarization characteristics of each element at various element spacings were obtained through electromagnetic simulations, as depicted in Figure 4.
Comparing Figure 2 and Figure 4, it can be observed that the cross-polarization of each element deteriorates with elevation, becoming more complex due to their varying relative positions. Furthermore, the cross-polarization of the uniform linear array and the central circular array is less than 16 dB and 13 dB, respectively, when the elevation exceeds 60°. From Figure 4a,b, it is evident that the consistency of cross-polarization characteristics further deteriorates as the spacing between elements decreases from 0.5 times the wavelength to 0.4 times the wavelength. Additionally, Figure 4c,d illustrate that the cross-polarization characteristics of the elements in the central circular array further deteriorate as the spacing between elements reduces from 0.5 times the wavelength to 0.4 times the wavelength.
For a patch antenna, circularly polarized wave excitation can be achieved through the vector superposition of two orthogonally polarized waves after a 90° phase shift. Consequently, the amplitude and phase consistency of these two orthogonal waves directly determine the circularly polarized performance of the patch antenna. In an array configuration, the differences in boundary conditions among each element result in varying mutual coupling effects. This asymmetric mutual coupling exacerbates the mismatch in amplitude and phase between the two orthogonal waves, thereby impacting the cross-polarization characteristics of the array elements. Taking a uniform linear array as an example, the elements within the array are more significantly affected by mutual coupling than the edge elements, and the reduced spacing between the elements further intensifies this mutual coupling effect. As a result, the cross-polarization characteristics exhibit distinct patterns of variation.
Through the analysis of actual patch arrays, the cross-polarization characteristics of these arrays exhibit the following patterns:
  • The non-ideal characteristics of cross-polarization are unavoidable and are primarily influenced by objective factors, such as the positioning and mutual coupling of array elements. When considering additional non-ideal factors, including the installation environment, suboptimal substrate, and processing errors, the cross-polarization characteristics may deteriorate even further.
  • The non-ideal cross-polarization characteristics indicate that the reception of the RHCP signal and LHCP signal in each element is inconsistent due to the non-ideal effects of the array.
  • The cross-polarization characteristics of the array elements deteriorate significantly at high elevation angles, resulting in a reduced capacity to suppress OCP signals.
In summary, for the miniaturization of GNSS arrays, it is important to consider that interference typically originates from high elevation angles. Consequently, the OCP interference received by the array can be compared with the main polarization interference. Therefore, the cross-polarization characteristics of the array should not be overlooked. Additionally, factors such as errors in the dielectric board, feeding network, and installation carrier can lead to non-ideal amplitude and phase characteristics of the array elements, further complicating the cross-polarization characteristics of the array.

4. Simulation and Analysis

Based on the analysis presented in the previous section, this section selects a 7-element uniform linear array for simulation verification, as illustrated in Figure 2. The array employs a spatial anti-jamming algorithm, utilizing RHCP as the primary polarization and LHCP as the OCP. The cross-polarization parameters of the array elements are derived from actual simulation results obtained using CST Studio Suite. Two typical anti-jamming algorithms are adopted to analyze the impact of OCP interference on the array: the first is a blind anti-jamming algorithm represented by PI, which does not require prior information; the second is the anti-jamming algorithm represented by LCMV, which necessitates prior information such as the DOA of the signal and the interference.
To thoroughly assess the impact of OCP interference on the array, six interference scenarios were established. The detailed signal parameter settings, including the signal-to-noise ratio (SNR) and jamming-to-noise ratio (JNR), are presented in Table 1. Scenes 1 to 3 simulate situations where OCP interference originates from a single direction. Due to varying incident angles, the cross-polarization matrix of the array differs; as the elevation angle increases, the severity of cross-polarization also intensifies. Scenes 4 to 6 simulate scenarios where OCP interference arises from multiple directions, with the number of interference sources gradually increasing.

4.1. PI

The PI is a typical representative of null-type beamforming, and its optimization objective is to minimize the output power of the array [7]. To avoid weight convergence to zero solutions, take the constraint vector b = [1, 0, …, 0]T and let wHb = 1. The optimization problem can be mathematically expressed as
min w P I w P I H R x x w P I s . t .     w P I H b = 1
Considering that the interference signal is much stronger than the signal and noise, the optimal weight is
w PI μ P I ( m = 1 M A Rm ( p R m V m V m H + p L m Φ m V m V m H Φ m H ) A Rm H ) 1 · b
where μ P I is a coefficient related to the constraint vector and covariance matrix.
Taking two incoming OCP interferences in the same direction as an example, in order to simplify the analysis, assuming that the amplitude and phase responses of each array element are consistent, the normalized weights of the array are
w PI ( V 1 V 1 H + p L 1 p R 1 Φ 1 V 1 V 1 H Φ 1 H ) 1 · b = ( U 1 Λ 1 U 1 H + p L 1 p R 1 Φ 1 U 1 Λ 1 U 1 H Φ 1 H ) 1 · b
where V 1 V 1 H = U 1 Λ 1 U 1 H represents the diagonalization of the matrix V 1 V 1 H , while U 1 and Λ 1 are the unitary matrix and diagonal matrix, respectively. It is not difficult to see that in Equation (8), although the optimization criterion constrains the weight of element 1 to be 1, there is no strong constraint in the direction of beam nulling. According to the analysis of non-ideal cross-polarization characteristics in Section 2, cross-polarization is influenced by the position of the array elements and the direction of the incoming wave. Therefore, in Equation (8), Φ 1 U 1 Λ 1 U 1 H Φ 1 H is a full-rank matrix. The weights of the array are simultaneously affected by the power ratio of two OCP interference signals p L 1 / p R 1 and the cross-polarization matrix Φ 1 , which in turn affects the directional pattern of the array. Based on the analysis presented above, the cross-polarization characteristic matrix of the 7-element uniform linear array, obtained in Section 2, is substituted into the cross-polarization factor matrix in Equation (7). The anti-jamming performance under six interference scenarios was simulated and is illustrated in Figure 5 and Figure 6.
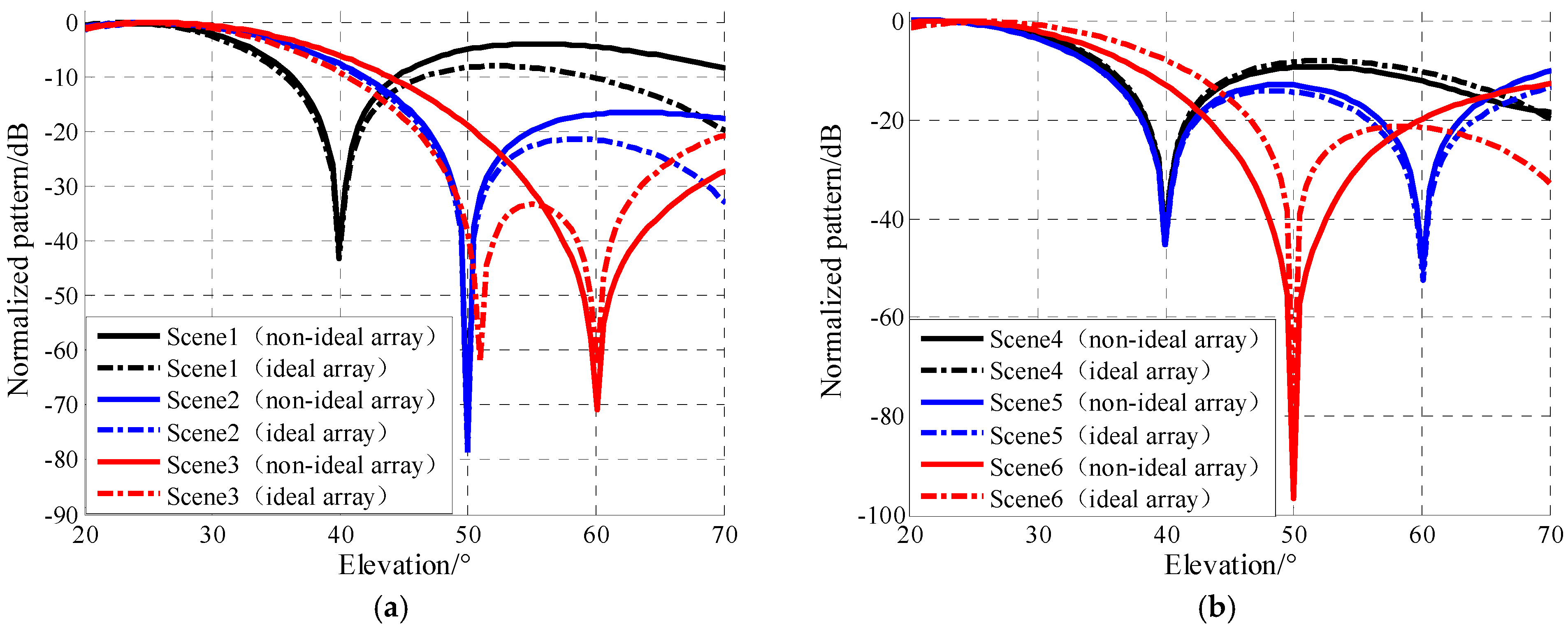
By comparing and analyzing Figure 5, it is evident that, in the absence of prior information, non-ideal arrays affected by cross-polarization exhibit a significant reduction in the interference null depth compared to ideal anti-jamming arrays. This indicates that the performance of the 7-element linear array against RHCP interference diminishes, with the extent of this reduction closely linked to the interference scenario and the characteristics of cross-polarization. For instance, in Scenes 1–3, simultaneous incidents of single LHCP interference and single RHCP interference from the same direction result in a suppression performance decrease of over 40 dB against RHCP interference. Given a signal-to-noise ratio of 60 dBc, the receiver in this context is unable to function effectively. In Scenes 4–6, the presence of multiple incoming LHCP interferences not only further diminishes the array’s suppression performance against RHCP interference but also causes a deviation in the direction of the null.
Further analysis of Figure 6 indicates that the impact of LHCP interference on non-ideal arrays is not only reflected in a reduction in the suppression performance against RHCP interference but is also constrained in its ability to suppress LHCP interference. Similarly, residual interference signals persist even after the adaptive spatial filtering of the array, which can further diminish the receiver’s capability to capture signals.
Based on the analysis presented, OCP interference significantly affects blind beamforming algorithms, such as PI. It not only diminishes the depth of the null for RHCP interference but may also cause a deviation in the null’s direction. Additionally, residual OCP interference signals persist even after adaptive filtering. When the impact of this interference is pronounced, it can compromise the receiver’s ability to counteract jamming. It is important to note that this numerical simulation is based purely on a theoretical model of the spatial PI algorithm, without accounting for weight calculation and convergence rates in specific engineering implementations. Nevertheless, the conclusions drawn remain relevant for receivers operating in complex environments, such as those involving rotational motion.

4.2. LCMV

The optimization objective of the LCMV criterion is to minimize the output power of the array while adhering to specific linear constraints [6]. Therefore, the mathematical expression for its optimization problem is as follows:
min w L C M V w L C M V H R x x w L C M V s . t .     C H w L C M V = f
Assuming that the direction of arrival of the useful signal and right-handed circularly polarized interference is known, the constraint matrix C and the response vector of the constraint f are given as
C = v 0 , v 1 , v M f = 1 , 0 , 0
Applying the Lagrange multiplier method, the optimal weight is
w L C M V = R x x 1 C ( C H R x x 1 C ) 1 f
According to Equation (9), due to the stringent constraints on the direction of the useful signal and the interference signal, the array can still form a main beam in the direction of the useful signal and simultaneously create a null in the direction of the interference signal, even if the covariance matrix of the array changes. However, compared to an ideal array, the weights of the non-ideal array in Equation (11) are influenced by the power ratio of two orthogonal interference signals and the cross-polarization matrix. This, in turn, affects the directional pattern of the array in other unconstrained directions. Based on this analysis, the cross-polarization characteristic matrix of the 7-element uniform linear array is substituted into the cross-polarization matrix in Equation (11). The suppression performance under six interference scenarios is simulated and presented in Figure 7 and Figure 8.
By comparing and analyzing Figure 7, it can be observed that under the constraints of prior information such as the direction of arrival of useful signals and RHCP interference, non-ideal arrays affected by cross-polarization exhibit no significant changes in the beam direction, signal direction, or null performance in the interference direction when compared to an ideal anti-jamming array. However, new nulls may form in unconstrained directions, and other nulls are closely related to the interference scenario and the characteristics of cross-polarization. For instance, in Scene 3, a single LHCP interference and a single RHCP interference are incident simultaneously from the same direction. The array not only creates a null in the direction of the incoming interference wave at 60° but also establishes a null at an elevation angle of 51° where there is no interference. In Scene 4, the array forms a null in the direction of the incoming RHCP interference at 40° and a null at an elevation angle of 65° where there is no interference.
Further analysis of Figure 8 indicates that in Scenes 1–3, when the direction of LHCP interference aligns with that of RHCP interference, the non-ideal array demonstrates superior performance in suppressing LHCP interference. Conversely, in Scenes 4–6, where LHCP and RHCP interference originate from different directions, the non-ideal array not only exhibits reduced suppression performance for LHCP interference but also results in a shift in the null position. Consequently, residual interference signals remain after the adaptive spatial filtering performed by the array, which can lead to a decrease in the sensitivity of the received signal at the receiver.
Based on the analysis presented, the impact of OCP interference on beamforming algorithms, such as LCMV, with prior information assistance, primarily manifests as the formation of new null points in unconstrained directions for non-ideal arrays. When the directions of LHCP interference and RHCP interference are not perfectly aligned, the depth of the null points for OCP interference diminishes, and the direction of the null also deviates. These effects may result in a reduced anti-jamming capability of the receiver. Furthermore, without accounting for weight calculation and convergence rates in specific engineering implementations, the conclusions drawn from this numerical simulation—based purely on the theoretical framework of the spatial LCMV algorithm—remain applicable to receivers operating in complex environments, such as those involving rotational motion or strong reflections.

5. Experimental Verification and Analysis

To further verify the impact of OCP interference on the anti-jamming performance of the GNSS anti-jamming array, this paper presents wireless experiments conducted in an open environment using a 7-element central circular patch array operating at the GPS L1 frequency, as illustrated in Figure 9. The verification system comprises two OCP jamming antennas, a tested antenna array and a signal storage device. Each OCP antenna is capable of transmitting a single CP interference and two OCP interferences. The spacing between elements in the tested antenna array is 0.5 times the wavelength. The tested array can simultaneously receive GNSS signals from satellites and interference signals from the jamming antennas. The signals received by each element are first down-converted and sampled within the tested array; subsequently, the sampled digital signals are transmitted to the signal storage device via optical fiber. The stored digital signals can be extracted at any time and processed using a software receiver based on MATLAB R2013b. In this experiment, the sampling rate was set at 62 MHz, and the data acquisition time was 60 s for each interference scenario.
Considering the complex non-ideal characteristics of actual patch antenna arrays, which include not only the non-ideal cross-polarization of antennas but also non-ideal RF channels and process structures, it is impossible to accurately calibrate the non-ideal characteristics of cross-polarization. Additionally, the relative angular relationship between the interference and the array cannot be precisely calibrated in an open environment. To simplify the analysis based on these considerations, this paper employs signal subspace theory by directly performing eigenvalue decomposition on the covariance matrix of the sampled array signal [27]. The distribution of interference is characterized through eigenvectors, as illustrated in Figure 10. In five interference scenarios, we set up unidirectional RHCP jamming, unidirectional LHCP jamming, unidirectional OCP jamming, one direction with OCP jamming and the other direction with single LHCP jamming, and bidirectional OCP jamming, ensuring that the power of all jamming sources was equal.
In Figure 10, for a non-ideal RHCP array, it is straightforward to compare the eigenvalues of the covariance matrix of the array signals under unidirectional RHCP jamming and LHCP jamming. The first eigenvalue corresponding to RHCP is only 15 dB higher than that corresponding to LHCP, indicating that the actual array is affected not only by RHCP jamming but also by LHCP jamming, although the gain when receiving LHCP signals is lower than that when receiving RHCP signals. By comparing the eigenvalues under unidirectional RHCP jamming and unidirectional OCP jamming, it can be observed that the second eigenvalue under OCP jamming has significantly increased by nearly 50 dB. This suggests that the jamming subspace dimension at this time is 2, indicating that unidirectional OCP jamming is effectively equivalent to the impact of two jammers. Further analysis of the eigenvalue distribution under one direction with OCP jamming and the other direction with single LHCP jamming, and bidirectional OCP jamming, reveals that OCP has a pronounced effect on the third and fourth eigenvalues, indicating a significant influence on the jamming subspace. This validates the impact of OCP jamming on the anti-jamming weight, which, in turn, affects the array pattern.
Because, in actual wireless testing scenarios, the relative electrical angle between the antenna array and the interference cannot be accurately calibrated, there will always be errors in the DOA of the incoming interference. To further investigate the impact of OCP interference on the array pattern, the sampled digital signals from two interference scenarios—unidirectional RHCP jamming and unidirectional OCP jamming—were analyzed and synthesized based on PI. The synthesized array pattern is illustrated in Figure 11.
It is evident from the comparison of the array pattern in Figure 11 that, in the absence of orthogonal polarization interference, the antenna array can create a significant null near the direction of interference (azimuth 300°, elevation 20°). However, after applying orthogonal polarization interference in the same direction, the null depth of the array in that direction deteriorated by nearly 20 dB. The results of the wireless experiment are consistent with the numerical simulation findings presented in Section 4.1.
Based on the analysis of the eigenvalues of the covariance matrix for the array signal and the array pattern, it can be concluded that, for actual antenna arrays, the non-ideal characteristics of cross-polarization result in orthogonal polarization interference, which inevitably diminishes the anti-interference performance of traditional right-handed circularly polarized antenna arrays. The traditional ideal array signal model overlooks the impact of orthogonal polarization signals in the same direction and fails to accurately represent the characteristics of the array signal. The signal model proposed in this article more objectively captures the non-ideal characteristics of actual antenna arrays when confronted with orthogonal polarization interference.

6. Conclusions

This paper examines the interference scenario involving multiple polarized interference signals that simultaneously impact a traditional RHCP anti-jamming array. Taking into account the non-ideal cross-polarization characteristics of actual arrays, we constructed a signal model for receiving OCP signals and theoretically derived the mechanisms by which OCP interference signals affect the anti-jamming performance of the arrays due to these non-ideal cross-polarization characteristics. Simulation and physical testing conducted on a 7-element uniform linear array and a 7-element central circular array demonstrated that OCP interference significantly impacts the interference subspace of the array, thereby affecting the interference suppression pattern of the conventional RHCP array. This may result in a decrease in the anti-jamming performance of the receiver. To enhance the ability of GNSS anti-jamming arrays to suppress OCP interference signals, it is essential to mitigate the inconsistent effects of miniaturization on cross-polarization or to modify the implementation of the array elements. Furthermore, to effectively suppress more complex multipolar interference, polarization-sensitive arrays with higher degrees of polarization freedom should be employed.

Author Contributions

Conceptualization, K.Z. and X.L.; methodology, L.C. and Z.L.; validation, K.Z., X.L. and L.C.; formal analysis, X.L. and Y.X.; investigation, K.Z. and X.L.; resources, K.Z. and Z.L.; data curation, X.L.; writing—original draft preparation, K.Z. and X.L.; writing—review and editing, L.C. and Z.L.; visualization, L.C.; supervision, Z.L.; funding acquisition, K.Z. and Y.X. All authors have read and agreed to the published version of the manuscript.

Funding

This research was funded by the National Natural Science Foundation of China, Grant Nos. U20A0193 and 62003354 and the Key Laboratory Fund of satellite navigation technology of China, Grant No. WXDHS2023107.

Data Availability Statement

Data are available from the first and corresponding author on reasonable request. The data are not publicly available due to privacy.

Acknowledgments

We would like to thank the editor and the anonymous reviewers for their useful feedback that improved this paper.

Conflicts of Interest

The authors declare no conflicts of interest.

References

  1. Yuan, M.; Tang, X.; Ou, G. Authenticating GNSS civilian signals: A survey. Satell. Navig. 2023, 4, 6. [Google Scholar] [CrossRef]
  2. Kambham, J.S.L.; Ramarakula, M. An efficient approach for anti-jamming in IRNSS receivers using improved PSO based parametric wavelet packet thresholding. Satell. Navig. 2023, 3, 51–70. [Google Scholar] [CrossRef]
  3. Zhong, W.; Xiong, H.; Hua, Y.; Shah, D.H.; Liao, Z.; Xu, Y. TSFANet: Temporal-Spatial Feature Aggregation Network for GNSS Jamming Recognition. IEEE Trans. Instrum. Meas. 2024, 73, 2513513. [Google Scholar] [CrossRef]
  4. Radoš, K.; Brkić, M.; Begušić, D. Recent Advances on Jamming and Spoofing Detection in GNSS. Sensors 2024, 24, 4210. [Google Scholar] [CrossRef]
  5. Zhang, Q.; Zhou, R.; Shi, X.; Zhao, Y. Adaptive Dual-Polarization Filtering Method for Countering Active Jamming. Int. J. Antennas Propag. 2020, 2020, 4961402. [Google Scholar] [CrossRef]
  6. Li, S.; Wang, F.; Tang, X.; Ni, S.; Lin, H. Anti-Jamming GNSS Antenna Array Receiver with Reduced Phase Distortions Using a Robust Phase Compensation Technique. Remote. Sens. 2023, 15, 4344. [Google Scholar] [CrossRef]
  7. Xu, Z.; Dong, Q.; Li, S.; Yue, F.; Wang, M.; Xia, Z.; Chen, X.; Zhang, S.; Zou, G.; Wang, H. Robust Wideband Interference Suppression Method for GNSS Array Antenna Receiver via Hybrid Beamforming Technique. Remote. Sens. 2024, 16, 1913. [Google Scholar] [CrossRef]
  8. Fante, R.L.; Vaccaro, J.J. Wideband Couldcellation of Interference in a GPS Receive Array. IEEE Trans. Aerosp. Electron. Syst. 2000, 36, 549–564. [Google Scholar] [CrossRef]
  9. Frost, O.L. An Algorithm for Linearly Constrained Adaptive Array Processing. Proc. IEEE 1962, 60, 926–935. [Google Scholar] [CrossRef]
  10. Compton, R.T. The Power-Inversion Adaptive Array: Concept and Performance. IEEE Trans. Aerosp. Electron. Syst. 1979, 15, 803–814. [Google Scholar] [CrossRef]
  11. Andrew, S.; Svendsen, C.; Gupta, I.J. The Effect of Mutual Coupling on the Nulling Performance of Adaptive Antennas. IEEE Antennas Propag. Mag. 2012, 54, 17–38. [Google Scholar]
  12. Islam, M.T.; Alam, M.S. Compact EBG Structure for Alleviating Mutual Coupling Between Patch Array Elements. Prog. Electromagn. Res. 2013, 137, 425–438. [Google Scholar] [CrossRef]
  13. Qiu, Y.; Peng, L.; Jiang, X.; Sun, Z.; Tang, S. Ultra-Small Single-Negative Metamaterial Insulator for Mutual Coupling Reduction of High-Profile Monopole Array. Prog. Electromagn. Res. 2017, 72, 197–205. [Google Scholar] [CrossRef]
  14. Sun, Y.; Chen, F.; Lu, Z.; Wang, F. Anti-Jamming Method and Implementation for GNSS Receiver Based on Array Antenna Rotation. Remote Sens. 2022, 14, 4774. [Google Scholar] [CrossRef]
  15. Suzuki, T.; Matsuo, K.; Amano, Y. Rotating GNSS Antennas: Simultaneous LOS and NLOS Multipath Mitigation. GPS Solut. 2021, 24, 86. [Google Scholar] [CrossRef]
  16. LaMance, J.; Small, D. Locata Correlator-Based Beam Forming Antenna Technology for Precise Indoor Positioning and Attitude; ION GNSS: Porland, OR, USA, 2011; pp. 2436–2445. [Google Scholar]
  17. Kwansik, P.; Jiwon, S. Single-Antenna-Based GPS Anti-jamming Method Exploiting Polarization Diversity. IEEE Trans. Aerosp. Electron. Syst. 2021, 57, 919–934. [Google Scholar]
  18. Peng, F.; Wu, J.; Wang, S.; Li, Z.; Xiang, J. An anti-main-lobe jamming algorithm for airborne early warning radar based on APC-SVRGD joint optimization. J. Syst. Eng. Electron. 2022, 33, 134–143. [Google Scholar] [CrossRef]
  19. Cheuk, W.C.; Trinkle, M.; Gray, D.A. Null-steering LMS Dual-Polarised Adaptive Arrays for GPS. J. Glob. Position. Syst. 2005, 4, 258–267. [Google Scholar] [CrossRef]
  20. Wang, J.; Amin, M.G. Multiple Interference Couldcellation Performance for GPS Receivers with Dual-Polarized Arrays. EURASIP J. Adv. Signal Process. 2008, 2008, 597613. [Google Scholar] [CrossRef]
  21. Zhang, M.; Wang, L.; Xu, S.; Wang, Y. GPS Signal Anti-jamming Based on Dual-polarized Array. In Proceedings of the IEEE International Conference on Signal Processing, Communications and Computing (ICSPCC 2011), Xi’an, China, 14–16 September 2011; pp. 1–4. [Google Scholar]
  22. Zeng, W.; Wang, L.; Wang, Y.; Zhang, Z.; Zhang, M. Joint Polarized and Spatial Domain Anti-jamming Method for GNSS. In Proceedings of the IEEE International Conference on Signal Processing, Communications and Computing (ICSPCC 2013), Kunming, China, 5–8 August 2013; pp. 1–5. [Google Scholar]
  23. Zhang, K.; Chen, L.; Liu, Z.; Li, J.; Hu, D.; Sun, G. Interference Mitigation based on Polarized Pattern Constrained Minimum Variance (PCMV) using Dual-polarized Array. In Proceedings of the 12th China Satellite Navigation Conference (CSNC 2021), Nanchang, China, 22–25 May 2021; pp. 273–283. [Google Scholar]
  24. Sun, L.; Chen, J.P.; Tan, S.S. Research on multipath limiting array with fixed phase center. GPS Solut. 2015, 19, 505–510. [Google Scholar] [CrossRef]
  25. Hao, C.; Liu, Y.; Wang, X.; Sun, X. A Modified Anti-Jamming Method Using Dual-Polarized Ellipsoid Minimum Variance Distortionless Response to Predict the Coverage Ratio of Global Positioning System Signal. IEEE Sens. J. 2021, 23, 26839–26847. [Google Scholar] [CrossRef]
  26. Sha, S.; Lyu, T.; Zhang, H.; Gulliver, T.A.; Dong, Y. A low complexity STPAP algorithm based on an alternating polarization-sensitive array. EURASIP J. Adv. Signal Process. 2022, 25, 25. [Google Scholar] [CrossRef]
  27. Bengtsson, M.; Ottersten, B. A generalization of weighted subspace fitting to full-rank models. IEEE Trans. Signal Process. 2001, 49, 1002–1012. [Google Scholar] [CrossRef]
Figure 1. Array signal processing architecture.
Figure 1. Array signal processing architecture.
Remotesensing 16 04506 g001
Figure 2. Patch antenna and its radiation characteristics: (a) patch antenna; (b) S11 parameter; (c) gain pattern; (d) cross-polarization gain pattern.
Figure 2. Patch antenna and its radiation characteristics: (a) patch antenna; (b) S11 parameter; (c) gain pattern; (d) cross-polarization gain pattern.
Remotesensing 16 04506 g002
Figure 3. Seven-element patch array: (a) uniform linear array; (b) central circular array.
Figure 3. Seven-element patch array: (a) uniform linear array; (b) central circular array.
Remotesensing 16 04506 g003
Figure 4. Characteristics of cross-polarization pattern: (a) uniform linear array with spacing 0.5 times of wave; (b) uniform linear array with spacing 0.4 times of wave. (c) central circular array with spacing 0.5 times of wave; (d) central circular array with spacing 0.4 times of wave.
Figure 4. Characteristics of cross-polarization pattern: (a) uniform linear array with spacing 0.5 times of wave; (b) uniform linear array with spacing 0.4 times of wave. (c) central circular array with spacing 0.5 times of wave; (d) central circular array with spacing 0.4 times of wave.
Remotesensing 16 04506 g004aRemotesensing 16 04506 g004b
Figure 5. The normalized RHCP pattern of 7-element linear array against OCP interference based on PI: (a) under unidirectional interference; (b) under multi-directional interference.
Figure 5. The normalized RHCP pattern of 7-element linear array against OCP interference based on PI: (a) under unidirectional interference; (b) under multi-directional interference.
Remotesensing 16 04506 g005
Figure 6. The normalized LHCP pattern of 7-element linear array against OCP interference based on PI.
Figure 6. The normalized LHCP pattern of 7-element linear array against OCP interference based on PI.
Remotesensing 16 04506 g006
Figure 7. The normalized RHCP pattern of 7-element linear array against OCP interference based on LCMV: (a) under unidirectional interference; (b) under multi-directional interference.
Figure 7. The normalized RHCP pattern of 7-element linear array against OCP interference based on LCMV: (a) under unidirectional interference; (b) under multi-directional interference.
Remotesensing 16 04506 g007
Figure 8. The normalized LHCP pattern of 7-element linear array against OCP interference based on LCMV.
Figure 8. The normalized LHCP pattern of 7-element linear array against OCP interference based on LCMV.
Remotesensing 16 04506 g008
Figure 9. Anti-jamming experiment of 7-element central circular array: (a) the 7-element patch array; (b) experimental scene.
Figure 9. Anti-jamming experiment of 7-element central circular array: (a) the 7-element patch array; (b) experimental scene.
Remotesensing 16 04506 g009
Figure 10. Eigenvalues of covariance matrix in different interference scenes.
Figure 10. Eigenvalues of covariance matrix in different interference scenes.
Remotesensing 16 04506 g010
Figure 11. The normalized RHCP pattern of 7-element central circular array against OCP interference based on PI: (a) under one RHCP interference; (b) under one OCP interference.
Figure 11. The normalized RHCP pattern of 7-element central circular array against OCP interference based on PI: (a) under one RHCP interference; (b) under one OCP interference.
Remotesensing 16 04506 g011
Table 1. Simulation scene parameter.
Table 1. Simulation scene parameter.
ParameterScene1Scene2Scene3Scene4Scene5Scene6
SignalSNR/dBc−10
DOA/°(25, 0)
polarizationRHCP
Jamming1JNR/dBc606060606060
DOA/°(40, 0)(50, 0)(60, 0)(40, 0)(40, 0)(40, 0)
polarizationRHCPRHCPRHCPRHCPRHCPRHCP
Jamming2JNR/dBc606060606060
DOA/°(40, 0)(50, 0)(60, 0)(40, 0)(40, 0)(40, 0)
polarizationLHCPLHCPLHCPLHCPLHCPLHCP
Jamming3JNR/dBc——————606060
DOA/°——————(60, 0)(60, 0)(50, 0)
polarization——————LHCPLHCPLHCP
Jamming4JNR/dBc————————6060
DOA/°————————(60, 0)(60, 0)
polarization————————RHCPLHCP
Disclaimer/Publisher’s Note: The statements, opinions and data contained in all publications are solely those of the individual author(s) and contributor(s) and not of MDPI and/or the editor(s). MDPI and/or the editor(s) disclaim responsibility for any injury to people or property resulting from any ideas, methods, instructions or products referred to in the content.

Share and Cite

MDPI and ACS Style

Zhang, K.; Li, X.; Chen, L.; Liu, Z.; Xie, Y. Impact Analysis of Orthogonal Circular-Polarized Interference on GNSS Spatial Anti-Jamming Array. Remote Sens. 2024, 16, 4506. https://doi.org/10.3390/rs16234506

AMA Style

Zhang K, Li X, Chen L, Liu Z, Xie Y. Impact Analysis of Orthogonal Circular-Polarized Interference on GNSS Spatial Anti-Jamming Array. Remote Sensing. 2024; 16(23):4506. https://doi.org/10.3390/rs16234506

Chicago/Turabian Style

Zhang, Ke, Xiangjun Li, Lei Chen, Zengjun Liu, and Yuchen Xie. 2024. "Impact Analysis of Orthogonal Circular-Polarized Interference on GNSS Spatial Anti-Jamming Array" Remote Sensing 16, no. 23: 4506. https://doi.org/10.3390/rs16234506

APA Style

Zhang, K., Li, X., Chen, L., Liu, Z., & Xie, Y. (2024). Impact Analysis of Orthogonal Circular-Polarized Interference on GNSS Spatial Anti-Jamming Array. Remote Sensing, 16(23), 4506. https://doi.org/10.3390/rs16234506

Note that from the first issue of 2016, this journal uses article numbers instead of page numbers. See further details here.

Article Metrics

Back to TopTop