Pulsed Orthogonal Time Frequency Space: A Fast Acquisition and High-Precision Measurement Signal for Low Earth Orbit Position, Navigation, and Timing
Abstract
1. Introduction
- A novel signal named Pulse-OTFS is proposed in this paper, which has the advantages of both high-precision measurement and fast acquisition. We exploit the property of OTFS modulation to naturally convert a continuous signal into a pulsed signal by arranging multiple identical PRN code sequences in the delay-Doppler domain, which results in the generation of time–domain Pulse-OTFS signals with different duty cycles.
- We introduce the mathematical model of the OTFS modulation and Pulse-OTFS signals and derive general expressions for the power spectral density (PSD) and autocorrelation function (ACF) of OTFS modulation, which are equally applicable to the proposed signal. We also discuss the relationship between the proposed signal properties and parameters as well as the connection with BPSK.
- The navigation performance of Pulse-OTFS is evaluated in comprehensive detail and compared with that of the original OTFS signal, traditional GNSS signal, and Locata signal, i.e., Pulse-BPSK. The results indicate that the carrier power-to-noise density ratio ( of the proposed signal is about 8 dB lower than that of the GNSS and Locata signals for the same code-tracking accuracy. This means that the proposed signal achieves higher measurement accuracy at the same . Meanwhile, the acquisition complexity is reduced by at least 89.4%. It also has advantages in terms of compatibility and anti-multipath performance.
- We implement an experimental platform based on software-defined radio (SDR) and verify the advantage in the fast acquisition and code-tracking accuracy of the proposed signal through a real analog channel. The experimental results are consistent with the theoretical performance analysis.
2. The Proposed Pulse-OTFS Signal
2.1. Signal Model
2.1.1. Pulse-OTFS
2.1.2. Transmission and Reception Process
2.2. Derivation of ACF and PSD
2.2.1. Derivation of ACF
2.2.2. Derivation of PSD
2.2.3. Analysis of PSD and ACF
3. Performance Evaluation
3.1. Quantization Loss
3.2. Acquisition Performance
3.2.1. Ambiguity Function
3.2.2. Acquisition Complexity
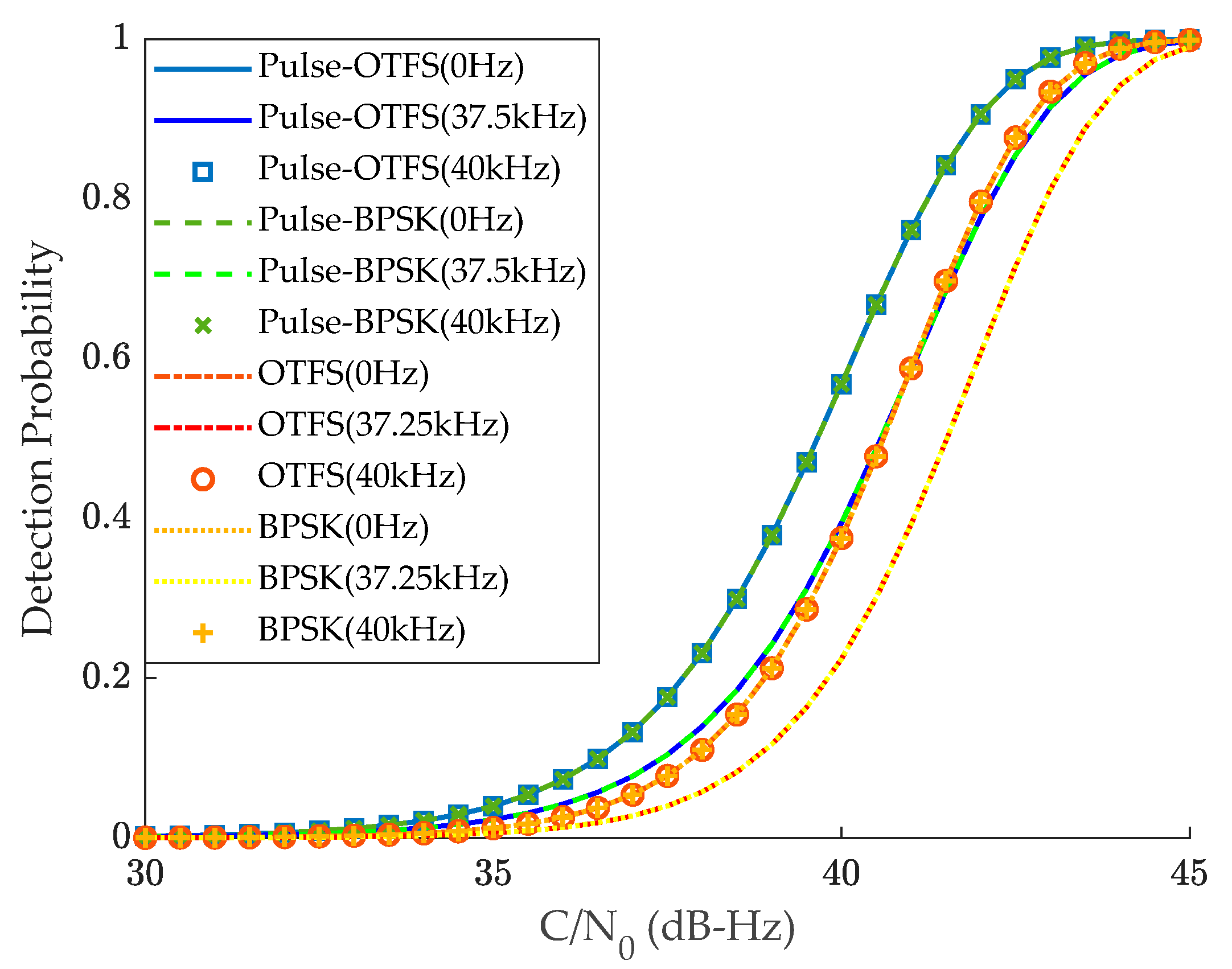
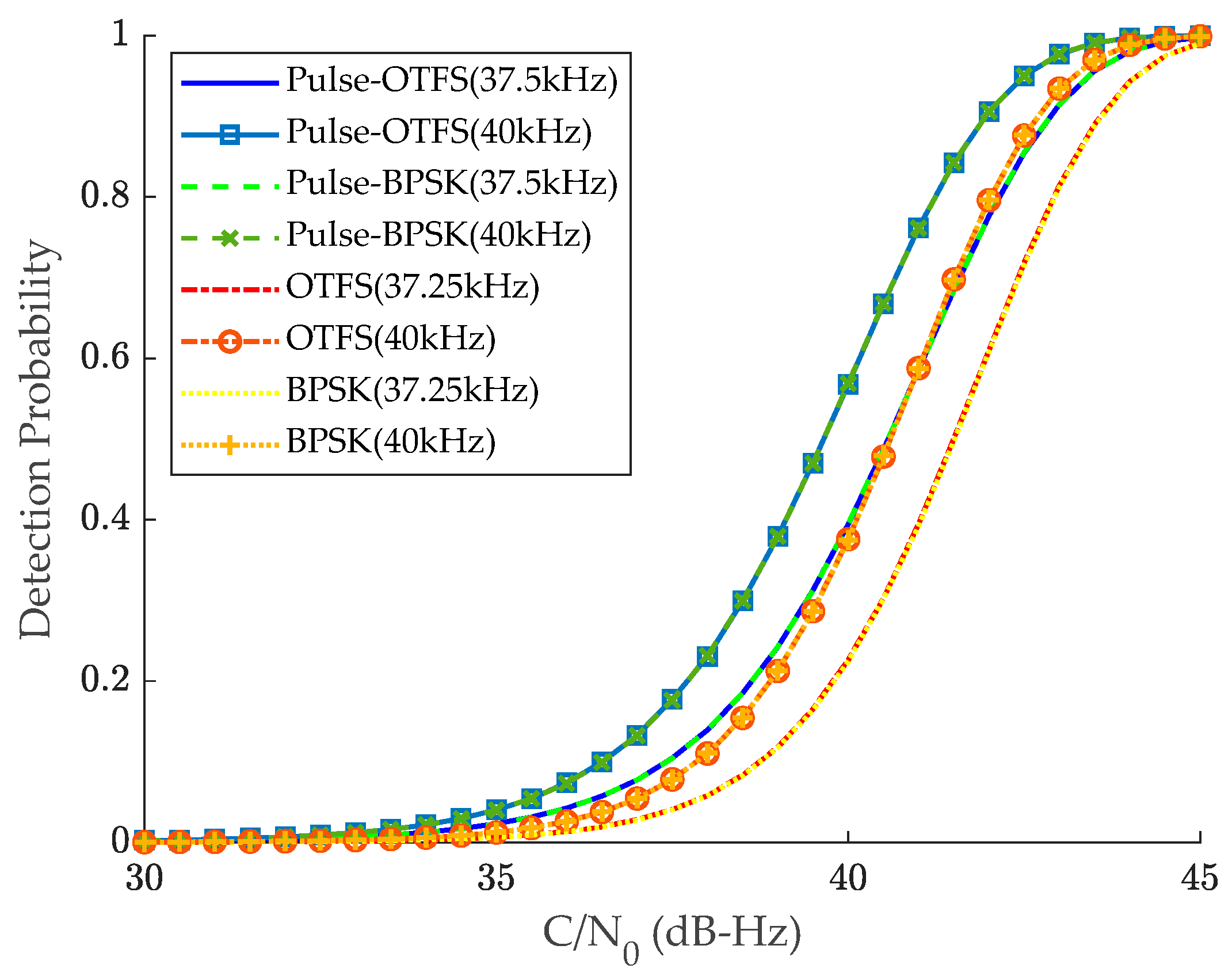
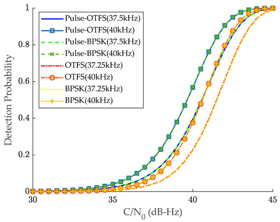
3.2.3. Acquisition Probability
3.3. Code-Tracking Performance
3.4. Anti-Multipath Performance
3.5. Compatibility
4. Simulation and Experimental Results
4.1. Simulation
4.2. Experiment
4.2.1. System Setup
4.2.2. Experimental Results and Discussion
5. Conclusions
Author Contributions
Funding
Data Availability Statement
Conflicts of Interest
References
- Kassas, Z.M. Navigation from Low-Earth Orbit: Part 2: Models, Implementation, and Performance. In Position, Navigation, and Timing Technologies in the 21st Century; Morton, Y.J., van Diggelen, F., Spilker, J.J., Jr., Parkinson, B.W., Eds.; Wiley: Hoboken, NJ, USA, 2020; pp. 1381–1412. [Google Scholar]
- Reid, T.G.R.; Neish, A.M.; Walter, T.; Enge, P.K. Broadband LEO Constellations for Navigation: Broadband LEOs for Navigation. J. Inst. Navig. 2018, 65, 205–220. [Google Scholar] [CrossRef]
- Reid, T.; Gunning, K.; Perkins, A.; Lo, S.; Walter, T. Going Back for the Future: Large/Mega LEO Constellations for Navigation. In Proceedings of the 32nd International Technical Meeting of the Satellite Division of The Institute of Navigation (ION GNSS+ 2019), Miami, FL, USA, 16–20 September 2019; pp. 2452–2468. [Google Scholar]
- Joerger, M.; Gratton, L.; Pervan, B.; Cohen, C.E. Analysis of Iridium-Augmented GPS for Floating Carrier Phase Positioning. Navig. J. Inst. Navig. 2010, 57, 137–160. [Google Scholar] [CrossRef]
- Kassas, Z.M.; Khairallah, N.; Kozhaya, S. Ad Astra: Simultaneous Tracking and Navigation with Megaconstellation LEO Satellites. IEEE Aerosp. Electron. Syst. 2024, 39, 3267440. [Google Scholar] [CrossRef]
- Yao, Z.; Lu, M. Next-Generation GNSS Signal Design: Theories; Principles and Technologies; Springer: Singapore, 2021; pp. 15–38. [Google Scholar]
- Hegarty, C.; Kaplan, E. Understanding GPS: Principles and Applications, 2nd ed.; Artech House: Norwood, MA, USA, 2005; pp. 83–88. [Google Scholar]
- Betz, J.W. Binary Offset Carrier Modulations for Radionavigation. Navigation 2001, 48, 227–246. [Google Scholar] [CrossRef]
- Hein, G.W.; Avila-Rodriguez, J.-A.; Wallner, S.; Pratt, A.R.; Owen, J.; Issler, J.-L.; Betz, J.W.; Hegarty, C.J.; Lenahan, S.; Rushanan, J.J. MBOC: The New Optimized Spreading Modulation Recommended for GALILEO L1 OS and GPS L1C. In Proceedings of the 2006 IEEE/ION Position, Location, And Navigation Symposium, San Diego, CA, USA, 25 April 2006; pp. 883–892. [Google Scholar]
- Lestarquit, L.; Artaud, G.; Issler, J. AltBOC for Dummies or Everything You Always Wanted to Know About AltBOC. In Proceedings of the 21st International Technical Meeting of the Satellite Division of the Institute of Navigation (ION GNSS 2008), Savannah, GA, USA, 16–19 September 2008; pp. 961–970. [Google Scholar]
- Kowatsch, M.; Lafferl, J. A Spread-Spectrum Concept Combining Chirp Modulation and Pseudonoise Coding. IEEE Trans. Commun. 1983, 31, 1133–1142. [Google Scholar] [CrossRef]
- Zhao, X.; Huang, X.; Tang, X.; Feng, X.; Sun, G. Chirp Pseudo-Noise Signal and Its Receiving Scheme for LEO Enhanced GNSS. IET Radar Sonar Navig. 2022, 16, 34–50. [Google Scholar] [CrossRef]
- Xiao, L.; Li, S.; Qian, Y.; Chen, D.; Jiang, T. An Overview of OTFS for Internet of Things: Concepts, Benefits, and Challenges. IEEE Internet Things J. 2022, 9, 7596–7618. [Google Scholar] [CrossRef]
- Xiao, L.; Liu, G.; Xiao, P.; Jiang, T. Error Probability Analysis for Rectangular Differential OFDM With Index Modulation Over Dispersive Channels. IEEE Wirel. Commun. Lett. 2021, 10, 2795–2799. [Google Scholar] [CrossRef]
- Xue, L.; Li, X.; Wu, W.; Dong, J. Multifunctional Signal Design for Measurement, Navigation and Communication Based on BOC and BPSK Modulation. Remote Sens. 2022, 14, 1653. [Google Scholar] [CrossRef]
- Deng, L.; Yang, Y.; Ma, J.; Feng, Y.; Ye, L.; Li, H. OFDM-BOC: A Broadband Multicarrier Navigation Modulation-Based BOC for Future GNSS. IEEE Trans. Veh. Technol. 2023, 73, 3964–3979. [Google Scholar] [CrossRef]
- Wang, D.; Michel, F. OFDM Transmission for Time-Based Range Estimation. IEEE Signal Process. Lett. 2010, 17, 571–574. [Google Scholar] [CrossRef]
- Liu, X.; Liang, M.; Morton, Y.; Closas, P.; Zhang, T.; Hong, Z. Performance Evaluation of MSK and OFDM Modulations for Future GNSS Signals. GPS Solut. 2014, 18, 163–175. [Google Scholar] [CrossRef]
- del Peral-Rosado, J.A.; L’opez-Salcedo, J.A.; Seco-Granados, G.; Zanier, F.; Crisci, M. Analysis of Positioning Capabilities of 3GPP LTE. In Proceedings of the 25th International Technical Meeting of the Satellite Division of The Institute of Navigation (ION GNSS 2012), Nashville, TN, USA, 17–21 September 2012; pp. 650–659. [Google Scholar]
- Shamaei, K.; Khalife, J.; Kassas, Z.M. Exploiting LTE Signals for Navigation: Theory to Implementation. IEEE Trans. Wirel. Commun. 2018, 17, 2173–2189. [Google Scholar] [CrossRef]
- Fischer, S. 5G NR Positioning. In 5G and Beyond; Lin, X., Lee, N., Eds.; Springer International Publishing: Cham, Switzerland, 2021; pp. 429–483. [Google Scholar]
- Shamaei, K.; Kassas, Z.M. Receiver Design and Time of Arrival Estimation for Opportunistic Localization with 5G Signals. IEEE Trans. Wirel. Commun. 2021, 20, 4716–4731. [Google Scholar] [CrossRef]
- Hadani, R.; Rakib, S.; Tsatsanis, M.; Monk, A.; Goldsmith, A.J.; Molisch, A.F.; Calderbank, R. Orthogonal Time Frequency Space Modulation. In Proceedings of the 2017 IEEE Wireless Communications and Networking Conference (WCNC), San Francisco, CA, USA, 19–22 March 2017; pp. 1–6. [Google Scholar]
- Das, S.S.; Prasad, R. Orthogonal Time Frequency Space Modulation: OTFS a Waveform for 6G, 1st ed.; River Publishers: New York, NY, USA, 2022; pp. 5–8. [Google Scholar]
- Hong, Y.; Thaj, T.; Viterbo, E. Delay-Doppler Communications: Principles and Applications; Academic Press: London, UK; San Diego, CA, USA; Cambridge, MA, USA; Oxford, UK, 2023; pp. 202–210. [Google Scholar]
- Liao, Y.; Liu, S.; Hong, X.; Shi, J.; Cheng, L. Integration of Communication and Navigation Technologies toward LEO-Enabled 6G Networks: A Survey. Space Sci. Technol. 2023, 3, 0092. [Google Scholar] [CrossRef]
- Foreman-Campins, G.; López-Salcedo, J.A.; Lohan, E.S. Orthogonal Time Frequency Space Modulation (OTFS) for Positioning Using LEO Satellites. In Proceedings of the 2024 36th Conference of Open Innovations Association (FRUCT), Lappeenranta, Finland, 30 October–1 November 2024; pp. 1–4. [Google Scholar]
- Wang, S.; Tang, X.; Lei, J.; Ma, C.; Wen, C.; Sun, G. High-Precision Doppler Frequency Estimation Based Positioning Using OTFS Modulations by Red and Blue Frequency Shift Discriminator. China Commun. 2024, 21, 17–31. [Google Scholar] [CrossRef]
- Li, Y.; Zhang, G.; Yu, J.; Li, G.; Li, Y. OTFS-Based Communication and Navigation Integrated Signal Transmission for LEO Satellites. In Proceedings of the 2022 IEEE 22nd International Conference on Communication Technology (ICCT), Nanjing, China, 11 November 2022; IEEE: New York, NY, USA, 2023; pp. 451–457. [Google Scholar]
- Ma, T.; Xu, Y.; Ou, X.; Huang, Y.; He, D.; Zhang, W. Iterative Channel Estimation for OTFS Using ZC Sequence with Low Peak-to-Average Power Ratio. In Proceedings of the ICC 2023—IEEE International Conference on Communications, Rome, Italy, 28 May–1 June 2023; IEEE: New York, NY, USA, 2023; pp. 2276–2281. [Google Scholar]
- Li, S.; Zhang, M.; Ju, C.; Wang, D.; Chen, W.; Zhou, P.; Wang, D. Downlink Carrier Frequency Offset Estimation for OTFS-Based LEO Satellite Communication System. IEEE Commun. Lett. 2024, 28, 163–167. [Google Scholar] [CrossRef]
- Gong, Z.; Jiang, F.; Li, C.; Shen, X. Simultaneous Localization and Communications with Massive MIMO-OTFS. IEEE J. Select. Areas Commun. 2023, 41, 3908–3924. [Google Scholar] [CrossRef]
- Barnes, J.; Rizos, C.; Kanli, M.; Pahwa, A.; Small, D.; Voigt, G.; Gambale, N.; Lamance, J. High Accuracy Positioning Using Locata’s next Generation Technology. In Proceedings of the 18th International Technical Meeting of the Satellite Division of The Institute of Navigation (ION GNSS 2005), Long Beach, CA, USA, 13–16 September 2005; pp. 2049–2056. [Google Scholar]
- Rizos, C.; Yang, L. Background and Recent Advances in the Locata Terrestrial Positioning and Timing Technology. Sensors 2019, 19, 1821. [Google Scholar] [CrossRef]
- Rizos, C. Locata: A Positioning System for Indoor and Outdoor Applications Where GNSS Does Not Work. In Proceedings of the 18th Association of Public Authority Surveyors Conference (APAS2013), Canberra, Australia, 12–14 March 2013; pp. 73–83. [Google Scholar]
- Talbot, S.L.; Farhang-Boroujeny, B. Spectral Method of Blind Carrier Tracking for OFDM. IEEE Trans. Signal Process. 2008, 56, 2706–2717. [Google Scholar] [CrossRef]
- Liu, C.; Li, F. On Spectrum Modeling of OFDM Signals for Digital Broadcasting. In Proceedings of the Proceedings 7th International Conference on Signal Processing, 2004. Proceedings. ICSP ’04. 2004, Beijing, China, 31 August–4 September 2004; IEEE: New York, NY, USA, 2004; pp. 1886–1889. [Google Scholar]
- 3GPP. Study on New Radio (NR) to Support Non-Terrestrial Networks; 3rd Generation Partnership Project (3GPP): Valbonne, France, 2020; pp. 88–95. [Google Scholar]
- Betz, J.W.; Kolodziejski, K.R. Generalized Theory of Code Tracking with an Early-Late Discriminator Part I: Lower Bound and Coherent Processing. IEEE Trans. Aerosp. Electron. Syst. 2009, 45, 1538–1556. [Google Scholar] [CrossRef]
- Betz, J.W.; Kolodziejski, K.R. Generalized Theory of Code Tracking with an Early-Late Discriminator Part II: Noncoherent Processing and Numerical Results. IEEE Trans. Aerosp. Electron. Syst. 2009, 45, 1557–1564. [Google Scholar] [CrossRef]
- Van Nee, R.D.J. Spread-Spectrum Code and Carrier Synchronization Errors Caused by Multipath and Interference. IEEE Trans. Aerosp. Electron. Syst. 1993, 29, 1359–1365. [Google Scholar] [CrossRef]
- Irsigler, M.; Avila-Rodriguez, J.A.; Hein, G.W. Criteria for GNSS Multipath Performance Assessment. In Proceedings of the 18th International Technical Meeting of the Satellite Division of The Institute of Navigation (ION GNSS 2005), Long Beach, CA, USA, 13–16 September 2005; pp. 2166–2177. [Google Scholar]
















| Q (bit) | 1 | 2 | 3 | 4 | 5 | +∞ |
|---|---|---|---|---|---|---|
| Power ratio of the main lobe (%) | 83.86 | 84.24 | 94.03 | 98.52 | 99.59 | 99.93 |
| Quantization loss (dB) | −0.76 | −0.74 | −0.26 | −0.06 | −0.01 | 0 |
| Signals | Pulse-OTFS | Pulse-BPSK | OTFS | BPSK |
|---|---|---|---|---|
| Multiplication | ||||
| Addition |
| SSC (dB) | Pulse-OTFS(10,1023) | OTFS(10,1023) | Pulse-BPSK(5) | BPSK(5) |
|---|---|---|---|---|
| Pulse-OTFS(10,1023) | −70.11 | −70.11 | −70.32 | −70.32 |
| OTFS(10,1023) | −70.11 | −70.11 | −70.32 | −70.32 |
| Pulse-BPSK(5) | −70.32 | −70.32 | −68.41 | −68.41 |
| BPSK(5) | −70.32 | −70.32 | −68.41 | −68.41 |
| Parameter | Value |
|---|---|
| RF frequency | 2 GHz |
| Sampling rate | 20 MHz |
| Signal bandwidth (B) | 10.23 MHz |
| Signal period (NT) | 1 ms |
| Duty cycle (1/N) | 0.1 |
| Coherent integration time (Tcoh) | 1 ms or 10 ms |
| Early–late spacing of the correlator | 1 chip |
| Bandwidth of the DLL | 1 Hz |
| Bandwidth of the PLL | 10 Hz |
| Doppler Frequency Offset (kHz) | Pulse-OTFS(10,1023) | Pulse-BPSK(5) | OTFS(10,1023) | BPSK(5) |
|---|---|---|---|---|
| 0 | 21.30 | 21.94 | 21.30 | 20.98 |
| +0.5 | 21.14 | 21.71 | 14.39 | 13.48 |
| −0.5 | 21.28 | 21.92 | 12.99 | 13.56 |
| +5 | 12.39 | 12.88 | 1.27 | 1.79 |
| −5 | 13.46 | 14.41 | 0.83 | 0.57 |
| Doppler Frequency Offset (kHz) | Pulse-OTFS(10,1023) | Pulse-BPSK(5) | OTFS(10,1023) | BPSK(5) |
|---|---|---|---|---|
| 0 Hz | 0.015 | 0.017 | 0.142 | 0.144 |
| 40 kHz | 0.016 | 0.016 | 0.144 | 0.147 |
Disclaimer/Publisher’s Note: The statements, opinions and data contained in all publications are solely those of the individual author(s) and contributor(s) and not of MDPI and/or the editor(s). MDPI and/or the editor(s) disclaim responsibility for any injury to people or property resulting from any ideas, methods, instructions or products referred to in the content. |
© 2024 by the authors. Licensee MDPI, Basel, Switzerland. This article is an open access article distributed under the terms and conditions of the Creative Commons Attribution (CC BY) license (https://creativecommons.org/licenses/by/4.0/).
Share and Cite
Fu, D.; Lin, H.; Ma, M.; Yuan, M.; Ou, G. Pulsed Orthogonal Time Frequency Space: A Fast Acquisition and High-Precision Measurement Signal for Low Earth Orbit Position, Navigation, and Timing. Remote Sens. 2024, 16, 4432. https://doi.org/10.3390/rs16234432
Fu D, Lin H, Ma M, Yuan M, Ou G. Pulsed Orthogonal Time Frequency Space: A Fast Acquisition and High-Precision Measurement Signal for Low Earth Orbit Position, Navigation, and Timing. Remote Sensing. 2024; 16(23):4432. https://doi.org/10.3390/rs16234432
Chicago/Turabian StyleFu, Dong, Honglei Lin, Ming Ma, Muzi Yuan, and Gang Ou. 2024. "Pulsed Orthogonal Time Frequency Space: A Fast Acquisition and High-Precision Measurement Signal for Low Earth Orbit Position, Navigation, and Timing" Remote Sensing 16, no. 23: 4432. https://doi.org/10.3390/rs16234432
APA StyleFu, D., Lin, H., Ma, M., Yuan, M., & Ou, G. (2024). Pulsed Orthogonal Time Frequency Space: A Fast Acquisition and High-Precision Measurement Signal for Low Earth Orbit Position, Navigation, and Timing. Remote Sensing, 16(23), 4432. https://doi.org/10.3390/rs16234432
