Abstract
Flooding is the most pervasive hydrological disaster globally. This study presents a comprehensive analysis of torrential rain and flood characteristics across three major urban agglomerations (CY, MRYR, and YRD) in the Yangtze River Basin from 1991 to 2020. Utilizing satellite-derived microwave SSM/I data and CHIRPS precipitation datasets, this study examines the impacts of urbanization and climate change on flood risk patterns. The results showed: (1) In 1998, the MRYR had the highest flood risk due to heavy rainfall and poor flood control, but by 2020, risk shifted to the CY with rapid urbanization and more rainfall, while the YRD maintained the lowest risk due to advanced flood control. (2) The relationship between impervious surface area and flood risk varied by region. The CY showed a negative correlation (−0.41), suggesting effective flood mitigation through topography and infrastructure; the MRYR had a slight positive correlation (0.12), indicating increased risks from urban expansion; and the YRD’s weak negative correlation (−0.18) reflected strong flood control systems. This research underscores the imperative of strategic urban planning and effective water resource management to mitigate future flood risks and contributes valuable insights to ongoing efforts in flood disaster prevention and control within the Yangtze River Basin.
1. Introduction
Flooding poses a significant global challenge, increasingly exacerbated by climate change, particularly in low-latitude regions []. The Yangtze River Basin in China exemplifies this issue, housing critical urban agglomerations such as Chengdu–Chongqing (CY), the Middle Region of the Yangtze River (MRYR), and the Yangtze River Delta (YRD). These densely populated areas are vital for national economic growth but are highly vulnerable to flooding due to rapid urbanization, which has diminished natural water absorption and strained drainage systems. The 2020 Yangtze River flood illustrated these risks, resulting in severe economic losses and widespread human impact []. Addressing these flood threats is crucial for effective water resource management and urban planning, with remote sensing technology emerging as a vital tool in this effort [].
The interplay of urbanization and climate change significantly influences torrential rain and flooding in urban agglomerations [,,]. Current research has highlighted key areas of focus, including the dual impacts of these factors and the application of remote sensing in flood forecasting []. Research indicates that the interactions between climate change and urbanization have intensified extreme precipitation events in the Yangtze River Basin. For example, Liu et al. [] and Gu et al. [] found that these factors contribute to greater instability in extreme precipitation in the middle reaches of the Yangtze River. Additionally, Huang et al. [] noted that urbanization has altered precipitation patterns, leading to asymmetrical changes that exacerbate drought conditions. Qi et al. [] emphasized the influence of economic growth on flood risk, particularly highlighting the advantages of raising dikes as a mitigation strategy. Regarding future flood risks, Jiang et al. [] and Liu et al. [] examined increasing flood hazards and highlighted the necessity for further research into the relationship between urbanization and flooding. Tian et al. [] assessed urban water resource management from an ecological civilization perspective, while Zuo et al. [] and Sajjad et al. [] emphasized the potential of remote sensing data for effective flood management.
Remote sensing technology offers a powerful means to monitor and analyze flood events with high precision. Microwave sensors, such as the Special Scanning Microwave Imager (SSM/I) and the Advanced Microwave Scanning Radiometer-EOS (AMSR-E), provide all-weather observations, which are essential for flood monitoring and early warning, especially in the frequently overcast conditions of the Yangtze River Basin [,]. Moreover, recent advancements in remote sensing have facilitated the development of predictive models for urban flooding, although challenges remain in their real-world applications [,]. In addition, tools such as Google Earth Engine (GEE) and Synthetic Aperture Radar (SAR) [,] have been effectively used for data extraction and model validation, further emphasizing the potential and limitations of remote sensing in floods.
Despite these advances, the existing research often lacks a watershed system perspective. Urban agglomerations within the same river basin experience distinct flooding dynamics that necessitate a unified analysis approach. The concurrent occurrence of river and urban flooding can exacerbate urban flood impacts. In China’s inland urban agglomerations, many cities are situated along rivers, with urban drainage systems interconnected with river channels []. This spatial configuration elevates the risk of cascading disasters, where external river flooding triggers internal urban inundation []. For instance, the concurrent occurrence of river and urban flooding may overwhelm drainage systems, paralyze transportation networks, and disrupt critical infrastructure, including power grids, water treatment facilities, and hospitals. Therefore, utilizing remote sensing technology to analyze floods in urban agglomerations within the same watershed is crucial. This necessitates a deeper understanding of the relationship between urbanization and flooding, along with enhanced accuracy and spatio-temporal resolution in remote sensing data for urban flood predictions.
This study aims to leverage SSM/I remote sensing data, Climate Hazards Center InfraRed Precipitation with Station data (CHIRPS), and land use data from 1991 to 2020 to conduct a thorough analysis of torrential rain and flood characteristics in the Yangtze River Basin’s three major urban agglomerations. By calculating the Normalized Difference Frequency Index (NDFI) and the Normalized Difference Polarization Index (NDPI), we assess land surface moisture and identify potential flood disaster risks. We further analyze the impact and risk distribution of various factors influencing flood disasters by combining precipitation and land use data. This study provides a scientific basis for disaster prevention and mitigation while promoting coordinated development in urban planning and water resource management, which are essential components for addressing the growing challenges posed by more frequent and severe flood disasters.
2. Study Area and Method
The Yangtze River, one of the world’s largest rivers, is prone to flooding due to its distinct rainy seasons. The river basin includes the CY, MRYR, and YDR urban agglomerations []. The CY, located in southwestern China, encompasses the megacities of Chengdu and Chongqing, serving as the economic hub of Southwest China, with a total area of approximately 180,000 km2 and a population exceeding 90 million []. The MRYR, situated in Hubei Province, lies at the confluence of the Yangtze and Han Rivers, covering an area of about 100,000 km2 with a population of over 60 million, connecting China’s eastern coastal regions with inland areas []. The YRD, located in eastern coastal China, includes City of Shanghai and parts of Jiangsu and Zhejiang provinces, spanning around 210,000 km2 and housing a population of more than 150 million, making it a globally important economic zone []. The impermeable areas of these three urban agglomerations in 2020 are shown in Figure 1. While these areas are located at different positions along the Yangtze River, they are all threatened by floods from the Yangtze River and its tributaries. Collectively, these three urban agglomerations faced economic losses of over CNY 500 billion due to flooding events in recent decades [].

Figure 1.
Location map of the three major urban agglomerations in the Yangtze River Basin (IA indicates impermeable area; Abbreviations for urban agglomerations names and city names can be found in Appendix A).
Using satellite observations, we evaluated precipitation and surface flooding during the summer months from 1 June to 31 August, encompassing the major flood period of 2020. This involved comparing precipitation, surface flooding, and land use against long-term averages from 1991 to 2020.
2.1. Precipitation Detection and Validation
Precipitation data from both local and remote sources were used. Remote precipitation data were obtained from the CHIRPS database (Version 2.0) at a spatial resolution of 0.25°, maintained by the Climate Hazards Group at the University of California []. CHIRPS was selected for its high spatial resolution and long data period, which includes significant flood events in the Yangtze River Basin in 1998 and 2020. From the collected daily precipitation data (1991–2020), we calculated the maximum daily precipitation (Pm value) and total precipitation (Pt value) for each flood season (1 June to 31 August).
Daily local rain gauge data were sourced from the China Meteorological Administration (CMA), covering 220 rain gauge stations in the Yangtze River Basin from 1991 to 2020. However, due to missing data, only 201 stations matched the time coverage of the CHIRPS data.
The Pearson correlation coefficient (Equation (1)) measures the linear relationship between the local and remote precipitation data:
where C and O represent the total or daily maximum precipitation amounts from CHIRPS and local rain gauges, respectively.
PBIAS (Equation (2)) assesses the aggregate statistical bias between the two data sources. Daily precipitation comparisons were focused on precipitation thresholds greater than 0.1 mm/day during the flood season.
2.2. Flood-Affected Area Detection
Passive microwave remote sensing is effective for detecting surface moisture and water inundation, as it can penetrate cloud cover, providing broad spatio-temporal coverage. Previous studies have demonstrated the applicability of this method for large-scale flood detection. For instance, Kubota et al. [] developed Global Surface Water Satellite Mapping (GSMaWS) using GMI and AMSR2 data, while Liu et al. [] combined this method with detailed geographical data to detect surface flooding caused by Typhoon Hagibis in 2019.
We used passive microwave remote sensing data from the Specialized Microwave Imager (SSM/I) (NASA, American, https://ghrc.nsstc.nasa.gov/uso/ds_docs/ssmi_netcdf/ssmi_ssmis_dataset.html, accessed on 13 October 2024) spanning 1991 to 2020 to analyze the spatio-temporal distribution of surface water logging in the Yangtze River Basin over the past 30 years. The SSM/I data, provided by the National Snow and Ice Data Center (NSIDC), are on an Equal-Area Scalable Earth Grid (EASE-Grid) with a resolution of 25 km. The data were resampled to a 0.25° grid size for analysis. NDFI and NDPI are sensitivity indices for the presence of surface water. NDFI differentiates water bodies from non-water areas by analyzing reflectance variations across spectral bands in remote sensing imagery. NDPI integrates precipitation data, allowing for the identification of unusual precipitation patterns before and after flood events. Both indices are effective in monitoring flood processes, using Equations (3) and (4).
where TB36.5V, TB22.2V, TB19.35V, and TB36.5H represent brightness temperatures at 36.5, 22.2, and 19.35 GHz vertical polarization, and 36.5 GHz horizontal polarization, respectively. These were used to calculate the maximum NDFI (NDPIm) and NDPI (NDPIm) for each pixel during the flood season annually.
2.3. Flood Intensity Assessment
Flood intensity was quantified based on the deviation (anomaly) of Pm, Pt, NDFIm, and NDPIm from their long-term averages for each year. The formulae for calculating anomalies are:
where aPm, aPt, aNDFIm, and aNDPIm represent the anomalies for Pm, Pt, NDFIm, and NDPIm, respectively. The subscript indicates the year. The symbols μ and σ represent the multi-year (1991–2020) average and standard deviation, respectively. The symbols x (longitude) and y (latitude) represent the pixel location.
If the results from Equations (5)–(8) are greater than 0, then Pm, Pt, NDFIm, and NDPIm are above average for the year. If aPm, aPt, aNDFIm, and aNDPIm become more positive in a given year, it signifies a significant increase in Pm, Pt, NDFIm, and NDPIm compared to other years. Areas with higher anomalies experience unusually intense or voluminous precipitation and surface flooding.
2.4. Land Use and Imperviousness
This research focused on flood levels within the three major urban agglomerations in the Yangtze River Basin. This required detailed annual land use data. We used the 30 m annual China Land Cover Dataset (CLCD) developed by Yang et al. [], based on Landsat images via Google Earth Engine.
We examined changes in imperviousness throughout the urbanization process. Imperviousness is a critical indicator reflecting the extent of land covered by buildings, roads, and other infrastructure. Impervious surfaces typically prevent rainwater from infiltrating the soil, which increase surface runoff and, consequently, the risk of flooding.
3. Results
3.1. Validation Results and Urban Imperviousness Trends
Compared to the measured precipitation at various sites in the Yangtze River Basin (as shown in Figure 2), the Pearson correlation coefficients r for Pt and Pm were 0.7 and 0.6, respectively, with PBIAS values of −0.4 and −0.3. These findings are consistent with the related literature [], demonstrating that CHIRPS accurately reflects precipitation conditions in the Yangtze River Basin, providing a reliable data source for further research.

Figure 2.
Validation of CHIRPS precipitation data in the Yangtze River Basin.
Over the 30 years, Figure 3 shows the significant changes in imperviousness for the three major urban agglomerations. Land use patterns changed, particularly towards the expansion of urban and industrial areas. The upward trend in imperviousness over the period indicates rapid urbanization. The impervious rate in the Yangtze River Basin nearly tripled, from 0.81% in 1991 to 2.46% in 2020. The CY more than quadrupled from 1991 (0.72%) to 2020 (2.98%). The impervious rate in the MRYR started at 1.50% and grew to 4.13%, nearly a 2.5-fold increase. The YRD recorded the most significant growth. Imperviousness increased by 10 percentage points, from 3.74% in 1991 to 13.74% in 2020. The average annual growth rates further underscore these trends, with the YRD and CY leading at 6.54% and 6.34%, respectively, while the MRYR saw more moderate growth at 4.89%. Analysis of the standard deviation reveals that the YRD experienced the most variability, indicating rapid but uneven urban expansion. This is likely due to its status as the most economically developed region along China’s eastern coast. Moreover, the increasing imperviousness, particularly in economically dynamic regions, correlates with heightened urban flood risks due to reduced natural infiltration and increased surface runoff.

Figure 3.
Imperviousness of the three major urban agglomerations in the Yangtze River Basin.
3.2. Precipitation Detection Results
From the analysis of precipitation from 1991 to 2020, for the three major urban agglomerations in the Yangtze River Basin, significant differences were noted among the three major urban agglomerations during the major basin-wide floods of 1998 and 2020.
Figure 4 presents a bar chart of the anomaly values of maximum daily precipitation (aPm) and total precipitation (aPt). These values are for the basin-wide floods of 1998 and 2020 across the three major urban agglomerations.

Figure 4.
Precipitation detection in the three major urban agglomerations of the Yangtze River Basin.
In the 1998 rainy season, the MRYR recorded an anomaly of 0.32 and 0.28 for the CY (mean of all grids). The maximum precipitation anomaly mainly occurred in the MRYR, where 35 pixels represented moderate risk precipitation anomalies greater than 2, accounting for 4.8% of the total area of the MRYR. Additionally, 13 pixels represented high-risk extreme precipitation anomalies greater than 3, covering 2.5% of the area. These results, as seen in Figure 4 (upper panel), indicate that the 1998 precipitation anomalies began primarily in the MRYR before progressing to the upstream CY. The YRD, meanwhile, showed negative total and maximum precipitation anomalies.
In the 2020 rainy season, all three major urban agglomerations experienced precipitation anomalies, which are clearly depicted in Figure 4 (lower panel). The YRD exhibited an average total precipitation anomaly of 2.10, while the CY and MRYR were at 1.40 and 1.28, respectively. The CY experienced the most significant maximum precipitation anomalies, with 27 pixels showing high-risk extreme precipitation anomalies greater than 3, covering 9.8% of the region’s total area. Additionally, two pixels in the CY represented ultra-high-risk extreme precipitation anomalies greater than 4. Both the MRYR and YRD had two pixels each displaying moderate risk precipitation anomalies greater than 2.
3.3. Flood Detection and Risk Level Assessment
From the analysis of precipitation from 1991 to 2020, for the three major urban agglomerations in the Yangtze River Basin, significant differences were noted among the three major urban agglomerations during the major basin-wide floods of 1998 and 2020.
This research conducted monitoring and level assessments of flood-affected areas in the Yangtze River Basin. The results showed that NDPI’s sensitivity to flood detection in urban agglomerations was significantly higher than NDFI’s. All three urban agglomerations had varying degrees of flooding issues in 1998 2020, as shown in Figure 5.

Figure 5.
Flood detection in the three major urban agglomerations of the Yangtze River Basin.
During the flood season of 1998, except for the CY, the average NDFI and NDPI anomaly values for the other two urban agglomerations were positive. The MRYR urban agglomeration’s average for aNDFIm was 0.12 and aNDPIm was 2.79. For the YRD, the average aNDFIm was 0.41 and aNDPIm was 0.97. The MRYR urban agglomeration experienced the most severe flooding. It had 66 pixels, which connotes medium-risk flood anomalies greater than 2. This accounted for 12.8% of its total area. It also had 15 pixels indicative of high-risk flood anomalies greater than 3. This accounted for 2.9% of its area. Based on statistical analysis of historical flood data and pixel count, flood risk levels for different areas were classified to identify regions more prone to severe flood events. The risk classification is shown in Table 1.

Table 1.
Flood risk classification based on aNDFIm and aNDPIm (measured in pixel count).
During the flood season of 2020, there was only one high-risk flood anomaly pixel with an aNDFIm greater than 3. It was located in the MRYR. The CY and MRYR mainly had medium-risk flood anomaly pixels with an aNDFIm greater than 2. They totaled 16 and 18, respectively. The YRD had only two such pixels. None of the three urban agglomerations had high-risk flood anomaly pixels with an aNDPIm greater than 5. There was a total of three medium-risk flood anomaly pixels greater than 2. One was in the CY and two were in the MRYR. Overall, the high-risk flood areas in 2020 were primarily in the CY and MRYR.
The classification of high-risk flood areas was based on the different sensitivities of the NDFI and NDPI indicators. Pixels with an aNDFIm greater than 3 and an aNDPIm above 5 were classified as high-risk flood areas. Table 2 presents the statistics of high-risk flood areas across the three major urban agglomerations. Each value in the table represents the number of pixels within each region that exceeded the defined thresholds. During the flood season of 1998, the MRYR of the Yangtze River had a relatively higher number of high-risk flood areas under both the NDFI and NDPI indicators. This was particularly true under the NDPI indicator. The number of high-risk flood areas significantly exceeded those of the CY and YRD. This indicates that the MRYR suffered more severe flood disasters in that year.

Table 2.
Statistics of high-risk flood areas in the three major urban agglomerations of the Yangtze River Basin (measured in pixel count).
In contrast, the CY and YRD had fewer high-risk flood pixels in 1998. This was especially true under the NDFI indicator, where almost no high-risk areas were identified. However, the number of high-risk flood pixels under the NDPI indicator for the CY suggests that this area also faced a certain level of flood risk.
As of 2020, only one high-risk flood pixel was identified in the MRYR under the NDFI. This shows that the flood risk in this area had decreased compared to 1998. Neither the CY nor the YRD had high-risk flood pixels under either the NDFI or NDPI. This indicates lower flood risks in these areas in 2020.
3.4. Flood and Precipitation Analysis
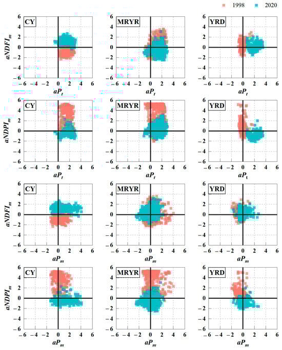
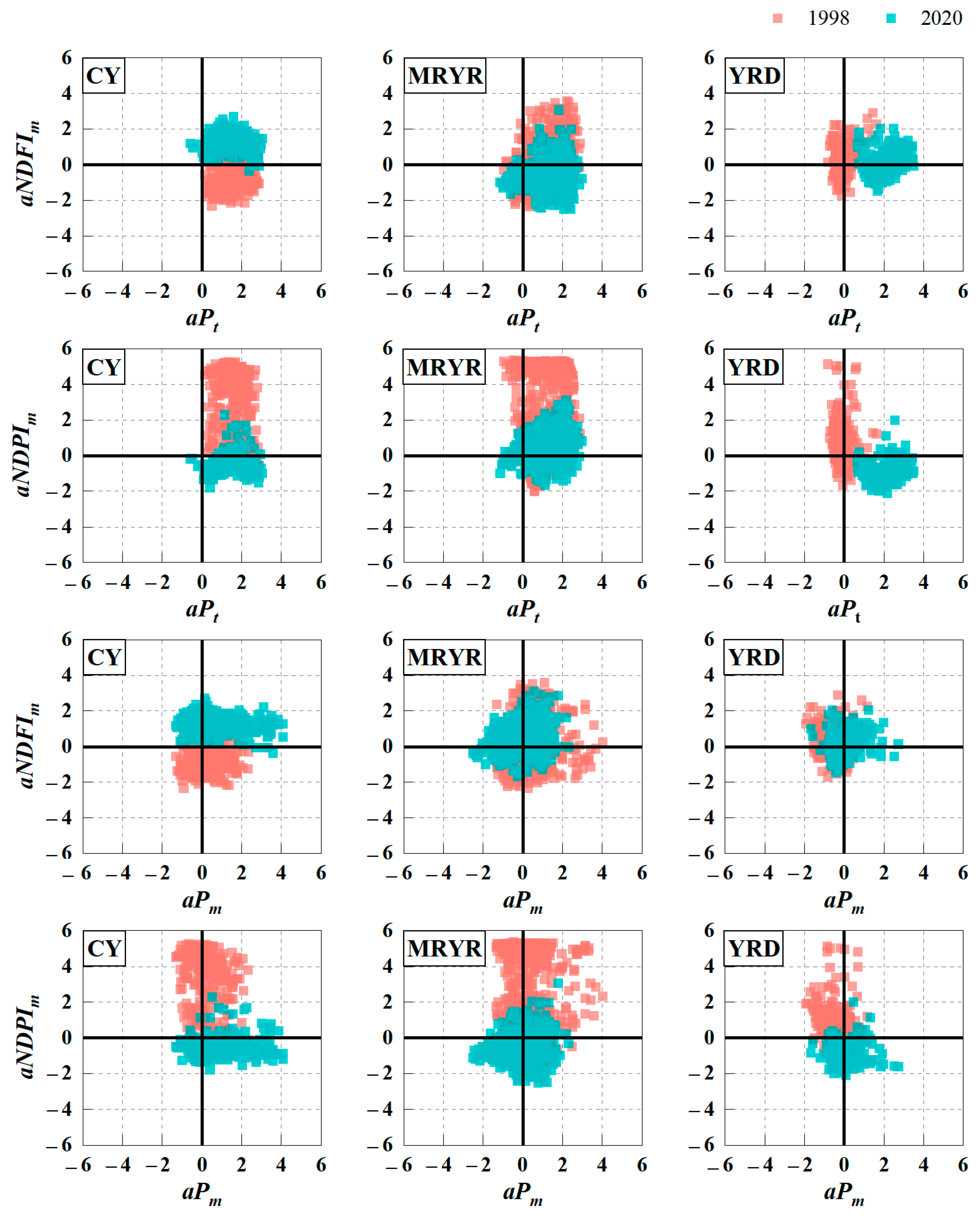
Figure 6 presents a scatter plot of aNDFIm and aNDPIm values against aPm and aPt values. These are for the CY, MRYR, and YRD in 1998 and 2020.

Figure 6.
Flood and precipitation analysis of the three major urban agglomerations in the Yangtze River Basin.
In the CY, aPt was similar between 1998 and 2020, but maximum precipitation (aPm) in 2020 was higher, indicating more extreme rainfall days. Flood indices (aNDFIm) were higher in 2020, aligning with the precipitation anomaly. However, aNDPIm was higher in 1998, possibly due to the influence of stepped reservoir groups built in the CY by 2020, which mitigated some flooding effects. The NDPI detected these impacts, demonstrating its sensitivity.
In the MRYR, aPt was nearly the same in both years, but aPm was higher in 1998. Both flood indices were higher in 1998 than in 2020, reflecting the severity of the 1998 flood. In the YRD, both aPt and aPm were significantly lower in 1998 compared to 2020. However, the flood indices were higher in 1998, suggesting that despite heavier rainfall in 2020, improved flood response capabilities reduced the impact.
Following the 1998 flood, floodplain reclamation and flood risk management were implemented in China, such as the construction of flood control embankments, improvements in drainage systems, and the implementation of early warning systems [,]. These measures significantly reduced flood risks and enhanced preparedness. As highlighted by Pan et al. [], the flood indicators for the middle and lower reaches of the Yangtze River were less severe in 2020 compared to 1998.
3.5. Imperviousness and Flood Relationship
The relationships between the flood indices, precipitation indices, and imperviousness rates in 1998 and 2020 for the urban agglomerations in the Yangtze River Basin are displayed in Figure 7; the horizontal axis represents the cities and the vertical axis shows the normalized values of the imperviousness rate (IMRm), aPm, aPt, aNDFIm, and aNDPIm. A1–A16 correspond to the 16 cities of the CY. B1–B31 represents the 31 cities of the MRYR. C1–C19 comprises the 19 cities of the YRD. Each bubble represents a specific city, and the larger the bubble, the higher the value of the normalized indices.

Figure 7.
Imperviousness and flood relationship in 1998 and 2020 for the three major urban agglomerations in the Yangtze River Basin.
From 1998 to 2020, most cities experienced a significant increase in imperviousness, reflecting rapid urbanization in these areas. The main drivers of increased impervious surfaces include urban expansion, infrastructure development, and population growth. However, the growth rate of imperviousness was not uniform across regions. Economic hubs, such as those in the YRD, saw a more rapid increase of approximately 10% in imperviousness over the past 30 years. In contrast, urban agglomerations with lower industrialization levels, such as the CY and the MRYR, showed slower growth rates (around 2.25% and 2.63%, respectively).
The values of aPm and aPt reflect the spatial and temporal variability in rainfall. For instance, the 1998 floods primarily affected the MRYR and YRD, with Nanchang (B26), Yingtan (B31), and Yangzhou (C11) being particularly impacted. In 2020, floods were concentrated in Leshan (A9) and Ya’an (A15) in the CY region, and Wuhan (B8) in the MRYR. These areas have complex terrain and relatively high imperviousness, which exacerbated runoff during extreme rainfall events, consistent with previous studies highlighting the flood vulnerability of these regions [,].
In the MRYR, the impact levels of imperviousness and precipitation on flooding were similar, with correlation coefficients of 0.12 and 0.14, respectively. In the CY and YRD regions, however, precipitation generally had a greater impact on flooding than imperviousness, as indicated by the higher correlation between precipitation indices and flood indices (Table 3). In the CY region, there was a strong negative correlation (−0.41) between imperviousness and flood indices.

Table 3.
Correlation coefficients between imperviousness rates and flood indices for the three major urban agglomerations in the Yangtze River Basin.
4. Discussion
This study used SSM/I remote sensing data, CHIRPS precipitation data, and land use data from 1991 to 2020. It analyzed the flood characteristics of three major urban agglomerations in the Yangtze River Basin. This research revealed significant differences among the urban agglomerations. These differences were in terms of flood disaster characteristics, risk levels, and the impact of changes in imperviousness during the urbanization process on flood disasters.
4.1. Precipitation and Flood Characteristics in Typical Years
The results of this study indicate that the spatial distribution and intensity of flood risks in 1998 and 2020 were significantly different across the three major urban agglomerations. In 1998, the Middle Region of the Yangtze River (MRYR) experienced the most severe flooding, which was primarily triggered by heavy precipitation anomalies, especially in cities like Nanchang and Yingtan. This is consistent with previous research by Jia et al. [], which identified the MRYR as a region highly vulnerable to flooding during years of extreme precipitation. In contrast, the Chengdu–Chongqing (CY) region experienced relatively lower flood risks during that year, likely due to the topographic advantages provided by its upstream location in the river basin, which allowed for more natural drainage of floodwaters.
In 2020, however, the flood risk profile shifted. While all three agglomerations showed precipitation anomalies, extreme precipitation events were concentrated in the CY region, particularly in Leshan and Ya’an, leading to heightened flood risks. The increase in precipitation intensity in the CY aligns with the findings of Zhang et al. [], which highlighted the growing vulnerability of this region to flooding due to rapid urbanization and the increasing presence of impervious surfaces. The comparison between these two years illustrates how changes in precipitation patterns, urbanization, and water management infrastructure have altered flood risk profiles over time.
4.2. Spatio-Temporal Characteristics of Flood Risks
Spatial distribution analyses of flood events in 1998 and 2020 revealed clear shifts in flood risk hotspots within the Yangtze River Basin. In 1998, flood risks were more concentrated in the MRYR and YRD regions, with significant precipitation anomalies in the MRYR driving widespread flooding. These flood-prone areas were closely aligned with regions experiencing the highest precipitation anomalies. The relatively flat terrain and extensive river networks in the MRYR may have amplified flood risks during heavy rainfall events, as water had fewer natural outlets.
By contrast, the spatial analysis of 2020 flood risks showed a greater focus on the CY region, especially urban areas where impervious surfaces increased due to rapid urban expansion. However, the spatial distribution of flood risks in the CY region was less aligned with precipitation anomalies, suggesting that urban infrastructure, particularly drainage systems, played a significant role in mitigating or exacerbating flood impacts. This shift between the two years highlights the dynamic nature of flood risks in the Yangtze River Basin and underscores the importance of considering both hydrological and urbanization processes in assessing flood vulnerability. Further comparison with studies by Liu et al. [] and Gu et al. [] highlights the importance of considering both spatial and temporal variability in flood risk analysis, particularly in rapidly urbanizing regions.
4.3. Potential Relationships Between Flood Risk and Urban Agglomeration Development
The correlation analysis between imperviousness rates and flood indices across the three urban agglomerations revealed varying relationships between urban development and flood risks. In the CY region, a negative correlation between imperviousness and flood indices (average correlation coefficient of −0.41) suggests that factors such as topography and flood control infrastructure have mitigated the risk of surface water accumulation, despite increased urbanization. This can also be attributed to recent flood management projects, such as stepped reservoir systems, which improve the region’s capacity to handle extreme rainfall.
Conversely, the MRYR showed a slight positive correlation (average correlation coefficient of 0.12) between imperviousness and flood risk, indicating continued vulnerability despite moderate urbanization. The region’s geographical position at the confluence of major rivers increases its susceptibility to both fluvial and urban flooding, with large impervious surfaces further exacerbating flood risks by increasing surface runoff []. The weaker correlation observed in the YRD (average correlation coefficient of −0.18) is likely due to its more advanced flood control and drainage systems, which have effectively reduced urbanization’s impact on flood risks. These findings align with studies by Jiang et al. [], which also explored the impact of urbanization on flood risks, showing that the relationship is not uniform across the Yangtze River Basin. Local geography, urbanization pace, and water management infrastructure all influence flood vulnerability. This highlights the need for region-specific flood risk management strategies.
For the CY, rapid urbanization and favorable topographical drainage call for enhancing green infrastructure like rain gardens and permeable pavements to increase infiltration and reduce flood risks. Improving existing reservoirs and river channels through intelligent management systems will also help mitigate extreme rainfall impacts. For the MRYR, due to its flat terrain and susceptibility to flooding, strengthening regional flood early warning and dispatch systems is essential. Upgrading aging drainage infrastructure and implementing comprehensive river network management will help reduce urban waterlogging risks. For the YRD, expanding green infrastructure and leveraging advanced digital flood management systems for real-time monitoring will enhance the region’s resilience to extreme rainfall and minimize potential economic losses.
5. Conclusions
This study applied remote sensing technology, combining precipitation, land use data, NDFI, and NDPI to assess the flood risk characteristics and spatial distribution across three major urban agglomerations in the Yangtze River Basin.
The analysis of flood events in 1998 and 2020 revealed significant differences in flood risks across the three regions. In 1998, the MRYR suffered the highest flood risk, primarily due to intense rainfall and insufficient flood control infrastructure. In contrast, the CY and YRD regions had relatively lower risks. However, by 2020, flood risk in the MRYR had significantly decreased, due to improvements in urban planning and flood management. Meanwhile, in the CY region, rapid urbanization coupled with increased precipitation led to a rise in flood risk.
The relationship between impervious surface area and flood risk proved to be complex across the regions. In the CY region, the negative correlation (−0.41) indicated that topography and flood control infrastructure played a dominant role in mitigating floods. In contrast, the MRYR showed a slight positive correlation (0.12), suggesting that urban expansion in this area increased surface runoff and exacerbated flood risks. In the YRD, advanced flood control systems effectively reduced flood risks, as seen in the weaker correlation (−0.18). These findings emphasize the need for region-specific flood risk management strategies in the Yangtze River Basin, such as enhancing urban permeability, improving drainage systems, and investing in green infrastructure.
In conclusion, this study demonstrated the utility of remote sensing technology in monitoring and analyzing flood risks, providing a multidimensional perspective for flood risk assessment in urban agglomerations of the Yangtze River Basin. It confirmed the importance of adopting an integrated approach to urban planning and water resource management. The results can offer technical support for decision-makers to formulate more precise and effective flood management strategies. However, this study only considered impervious surface area and meteorological factors when exploring urban flood risks within the basin and did not delve into other hydrological factors, such as soil permeability and groundwater, which may also have influenced flood dynamics. In future research, these factors will be considered to enhance the reliability of flood risk assessment methods.
Author Contributions
Conceptualization, H.L., D.Y. and H.I.; methodology, H.L. and D.Y.; software, H.L. and H.I.; validation, H.L., D.Y. and H.C.; formal analysis, H.L. and H.I.; resources, H.I.; data curation, H.C. and D.Y.; writing—original draft preparation, H.L., Y.W. and Z.Z.; writing—review and editing, D.Y., H.I. and N.A.C.; visualization, H.L., Y.W. and Y.Z.; supervision, D.Y. and H.I.; project administration, D.Y., H.I. and Y.Z.; funding acquisition, D.Y., Y.W. and Y.Z. All authors have read and agreed to the published version of the manuscript.
Funding
This research was funded by the National Key Research and Development Program of China (Grant Nos. 2023YFC3206604-02, 2023YFC3006605, 2023YFC3206303), National Natural Science Foundation of China (Grant No. U2340208), Major Science and Technology Projects of the Ministry of Water Resources (Grant No. SKS-2022014), Pioneering Research Initiated by the Next Generation—the Japan Science and Technology Agency (Grant No. JPMJSP2133), and the National Natural Science Foundation of China (Grant Nos. 52409017, 52379006). This paper was also supported by the Shuimu Tsinghua Scholar Program.
Data Availability Statement
The data presented in this study are available on request from the corresponding author.
Conflicts of Interest
The authors declare no conflicts of interest.
Appendix A

Table A1.
List of abbreviations for urban agglomeration names and city names in the Yangtze River Basin.
Table A1.
List of abbreviations for urban agglomeration names and city names in the Yangtze River Basin.
CY | MRYR | YRD | |||
---|---|---|---|---|---|
A1 | Chongqing City | B1 | Ezhou City | C1 | Jiaxing City |
A2 | Chengdu City | B2 | Huanggang City | C2 | Huzhou City |
A3 | Zigong City | B3 | Huangshi City | C3 | Shanghai City |
A4 | Luzhou City | B4 | Jingmen City | C4 | Wuxi City |
A5 | Deyang City | B5 | Jingzhou City | C5 | Nanjing City |
A6 | Mianyang City | B6 | Qianjiang City | C6 | Taizhou City |
A7 | Suining City | B7 | Tianmen City | C7 | Suzhou City |
A8 | Neijiang City | B8 | Wuhan City | C8 | Nantong City |
A9 | Leshan City | B9 | Xiantao City | C9 | Changzhou City |
A10 | Nanchong City | B10 | Xianning City | C10 | Zhenjiang City |
A11 | Meishan City | B11 | Xiangyang City | C11 | Yangzhou City |
A12 | Yibin City | B12 | Xiaogan City | C12 | Wuhu City |
A13 | GuangAn City | B13 | Yichang City | C13 | Ma’anshan City |
A14 | Dazhou City | B14 | Changde City | C14 | Xuancheng City |
A15 | Ya’an City | B15 | Hengyang City | C15 | Chizhou City |
A16 | Ziyang City | B16 | Loudi City | C16 | Anqin City |
B17 | Xiangtan City | C17 | Tongling City | ||
B18 | Yiyang City | C18 | Chuzhou City | ||
B19 | Yueyang City | C19 | HeFei City | ||
B20 | Changsha City | ||||
B21 | Zhuzhou City | ||||
B22 | Fuzhou City | ||||
B23 | Ji’an City | ||||
B24 | Jingdezhen City | ||||
B25 | Jiujiang City | ||||
B26 | Nanchang City | ||||
B27 | Pingxiang City | ||||
B28 | Shangrao City | ||||
B29 | Xinyu City | ||||
B30 | Yichun City | ||||
B31 | Yingtan City |
CY: Chengdu–Chongqing; MRR: Middle Region of Yangtze River; YRD: Yangtze River Delta.
References
- Rentschler, J.; Avner, P.; Marconcini, M.; Su, R.; Strano, E.; Vousdoukas, M.; Hallegatte, S. Global evidence of rapid urban growth in flood zones since 1985. Nature 2023, 622, 87–92. [Google Scholar] [CrossRef] [PubMed]
- Jia, H.; Chen, F.; Pan, D.; Du, E.; Wang, L.; Wang, N.; Yang, A. Flood risk management in the Yangtze River basin —Comparison of 1998 and 2020 events. Int. J. Disaster Risk Reduct. 2022, 68, 102724. [Google Scholar] [CrossRef]
- Ward, P.J.; Jongman, B.; Aerts, J.C.J.H.; Bates, P.D.; Botzen, W.J.W.; Diaz Loaiza, A.; Hallegatte, S.; Kind, J.M.; Kwadijk, J.; Scussolini, P.; et al. A global framework for future costs and benefits of river-flood protection in urban areas. Nat. Clim. Chang. 2017, 7, 642–646. [Google Scholar] [CrossRef]
- Zhang, Y.; Chen, Z.; Zheng, X.; Chen, N.; Wang, Y. Extracting the location of flooding events in urban systems and analyzing the semantic risk using social sensing data. J. Hydrol. 2021, 603, 127053. [Google Scholar] [CrossRef]
- Li, Y.; Martinis, S.; Wieland, M. Urban flood mapping with an active self-learning convolutional neural network based on TerraSAR-X intensity and interferometric coherence. ISPRS J. Photogramm. Remote Sens. 2019, 152, 178–191. [Google Scholar] [CrossRef]
- Lin, L.; Di, L.; Yu, E.G.; Kang, L.; Shrestha, R.; Rahman, M.S.; Tang, J.; Deng, M.; Sun, Z.; Zhang, C.; et al. A review of remote sensing in flood assessment. In Proceedings of the 2016 Fifth International Conference on Agro-Geoinformatics (Agro-Geoinformatics), Tianjin, China, 18–20 July 2016; pp. 1–4. [Google Scholar] [CrossRef]
- Jiang, R.; Lu, H.; Yang, K.; Chen, D.; Zhou, J.; Yamazaki, D.; Pan, M.; Li, W.; Xu, N.; Yang, Y.; et al. Substantial increase in future fluvial flood risk projected in China’s major urban agglomerations. Commun. Earth Environ. 2023, 4, 389. [Google Scholar] [CrossRef]
- Liu, H.; Zou, L.; Xia, J.; Chen, T.; Wang, F. Impact assessment of climate change and urbanization on the nonstationarity of extreme precipitation: A case study in an urban agglomeration in the middle reaches of the Yangtze river. Sustain. Cities Soc. 2022, 85, 104038. [Google Scholar] [CrossRef]
- Gu, C.; Hu, L.; Zhang, X.; Wang, X.; Guo, J. Climate change and urbanization in the Yangtze River Delta. Habitat Int. 2011, 35, 544–552. [Google Scholar] [CrossRef]
- Huang, S.; Gan, Y.; Zhang, X.; Chen, N.; Wang, C.; Gu, X.; Ma, J.; Niyogi, D. Urbanization Amplified Asymmetrical Changes of Rainfall and Exacerbated Drought: Analysis Over Five Urban Agglomerations in the Yangtze River Basin, China. Earth’s Future 2023, 11, e2022EF003117. [Google Scholar] [CrossRef]
- Qi, W.; Feng, L.; Yang, H.; Liu, J.; Zheng, Y.; Shi, H.; Wang, L.; Chen, D. Economic growth dominates rising potential flood risk in the Yangtze River and benefits of raising dikes from 1991 to 2015. Environ. Res. Lett. 2022, 17, 034046. [Google Scholar] [CrossRef]
- Liu, W.; Fujii, K.; Maruyama, Y.; Yamazaki, F. Inundation Assessment of the 2019 Typhoon Hagibis in Japan Using Multi-Temporal Sentinel-1 Intensity Images. Remote Sens. 2021, 13, 639. [Google Scholar] [CrossRef]
- Tian, P.; Wu, H.; Yang, T.; Jiang, F.; Zhang, W.; Zhu, Z.; Yue, Q.; Liu, M.; Xu, X. Evaluation of urban water ecological civilization: A case study of three urban agglomerations in the Yangtze River Economic Belt, China. Ecol. Indic. 2021, 123, 107351. [Google Scholar] [CrossRef]
- Zuo, J.; Jiang, W.; Li, Q.; Du, Y. Remote sensing dynamic monitoring of the flood season area of Poyang Lake over the past two decades. Nat. Hazards Res. 2024, 4, 8–19. [Google Scholar] [CrossRef]
- Sajjad, A.; Lu, J.; Chen, X.; Chisenga, C.; Mazhar, N. Rapid assessment of riverine flood inundation in Chenab floodplain using remote sensing techniques. Geoenvironmental Disasters 2023, 10, 9. [Google Scholar] [CrossRef]
- Temimi, M.; Leconte, R.; Brissette, F.; Chaouch, N. Flood and soil wetness monitoring over the Mackenzie River Basin using AMSR-E 37GHz brightness temperature. J. Hydrol. 2007, 333, 317–328. [Google Scholar] [CrossRef]
- Lammers, R.; Li, A.; Nag, S.; Ravindra, V. Prediction models for urban flood evolution for satellite remote sensing. J. Hydrol. 2021, 603, 127175. [Google Scholar] [CrossRef]
- Wei, Z.; Zhe, C.; Pingping, L.; Zeming, T.; Yuzhu, Z.; Maochuan, H.; Bin, H. Urban Flood-Related Remote Sensing: Research Trends, Gaps and Opportunities. Remote Sens. 2022, 14, 5505. [Google Scholar] [CrossRef]
- Pellizzeri, T.M.; Gamba, P.; Lombardo, P.; Acqua, F.D.; Tortora, A. Flood monitoring in urban areas: Statistical vs. neurofuzzy approach. In Proceedings of the 2003 2nd GRSS/ISPRS Joint Workshop on Remote Sensing and Data Fusion over Urban Areas, Berlin, Germany, 22–23 May 2003; pp. 211–215. [Google Scholar] [CrossRef]
- Shastry, A.; Carter, E.; Coltin, B.; Sleeter, R.; McMichael, S.; Eggleston, J. Mapping floods from remote sensing data and quantifying the effects of surface obstruction by clouds and vegetation. Remote Sens. Environ. 2023, 291, 113556. [Google Scholar] [CrossRef]
- Lu, D.; Li, L.; Li, G.; Fan, P.; Ouyang, Z.; Moran, E. Examining Spatial Patterns of Urban Distribution and Impacts of Physical Conditions on Urbanization in Coastal and Inland Metropoles. Remote Sens. 2018, 10, 1101. [Google Scholar] [CrossRef]
- Wang, Y.; Li, C.; Liu, M.; Cui, Q.; Wang, H.; Lv, J.; Li, B.; Xiong, Z.; Hu, Y. Spatial characteristics and driving factors of urban flooding in Chinese megacities. J. Hydrol. 2022, 613, 128464. [Google Scholar] [CrossRef]
- Lu, H.; Zhang, C.; Jiao, L.; Wei, Y.; Zhang, Y. Analysis on the spatial-temporal evolution of urban agglomeration resilience: A case study in Chengdu-Chongqing Urban Agglomeration, China. Int. J. Disaster Risk Reduct. 2022, 79, 103167. [Google Scholar] [CrossRef]
- Lee, C.-C.; Yan, J.; Li, T. Ecological resilience of city clusters in the middle reaches of Yangtze river. J. Clean. Prod. 2024, 443, 141082. [Google Scholar] [CrossRef]
- Dong, L.; Longwu, L.; Zhenbo, W.; Liangkan, C.; Faming, Z. Exploration of coupling effects in the Economy–Society–Environment system in urban areas: Case study of the Yangtze River Delta Urban Agglomeration. Ecol. Indic. 2021, 128, 107858. [Google Scholar] [CrossRef]
- Yu, J.; Zou, L.; Xia, J.; Zhang, Y.; Zuo, L.; Li, X. Investigating the spatial–temporal changes of flood events across the Yangtze River Basin, China: Identification, spatial heterogeneity, and dominant impact factors. J. Hydrol. 2023, 621, 129503. [Google Scholar] [CrossRef]
- Funk, C.C.; Peterson, P.J.; Landsfeld, M.F.; Pedreros, D.H.; Verdin, J.P.; Rowland, J.D.; Romero, B.E.; Husak, G.J.; Michaelsen, J.C.; Verdin, A.P. A Quasi-Global Precipitation Time Series for Drought Monitoring; No. 832; US Geological Survey: Reston, VA, USA, 2014; p. 12. [Google Scholar]
- Kubota, T.; Shige, S.; Hashizume, H.; Aonashi, K.; Takahashi, N.; Seto, S.; Hirose, M.; Takayabu, Y.N.; Ushio, T.; Nakagawa, K.; et al. Global Precipitation Map Using Satellite-Borne Microwave Radiometers by the GSMaP Project: Production and Validation. IEEE Trans. Geosci. Remote Sens. 2007, 45, 2259–2275. [Google Scholar] [CrossRef]
- Yang, J.; Huang, X. The 30 m annual land cover dataset and its dynamics in China from 1990 to 2019. Earth Syst. Sci. Data 2021, 13, 3907–3925. [Google Scholar] [CrossRef]
- Wang, W.; Lin, H.; Chen, N.; Chen, Z. Evaluation of multi-source precipitation products over the Yangtze River Basin. Atmos. Res. 2021, 249, 105287. [Google Scholar] [CrossRef]
- Pan, C.; Zhao, J.; Chen, H.; Kang, Z.; Chen, S.; Jin, X. The Characteristics of the Yangtze Flooding During 1998 and 2020 Based on Atmospheric Water Tracing. Geophys. Res. Lett. 2023, 50, e2023GL104195. [Google Scholar] [CrossRef]
- Zhang, H.; Dou, Y.; Ye, L.; Zhang, C.; Yao, H.; Bao, Z.; Tang, Z.; Wang, Y.; Huang, Y.; Zhu, S.; et al. Realizing the full reservoir operation potential during the 2020 Yangtze river floods. Sci. Rep. 2022, 12, 2822. [Google Scholar] [CrossRef]
Disclaimer/Publisher’s Note: The statements, opinions and data contained in all publications are solely those of the individual author(s) and contributor(s) and not of MDPI and/or the editor(s). MDPI and/or the editor(s) disclaim responsibility for any injury to people or property resulting from any ideas, methods, instructions or products referred to in the content. |
© 2024 by the authors. Licensee MDPI, Basel, Switzerland. This article is an open access article distributed under the terms and conditions of the Creative Commons Attribution (CC BY) license (https://creativecommons.org/licenses/by/4.0/).