Machine Learning Modelling for Soil Moisture Retrieval from Simulated NASA-ISRO SAR (NISAR) L-Band Data
Abstract
1. Introduction
2. Materials and Methods
2.1. Study Area and Dataset
2.2. Simulated NISAR Dataset
2.3. Methodology
2.3.1. Polarimetric Decomposition Technique
2.3.2. Vegetation Attenuation
2.3.3. Machine Learning (ML) Modelling
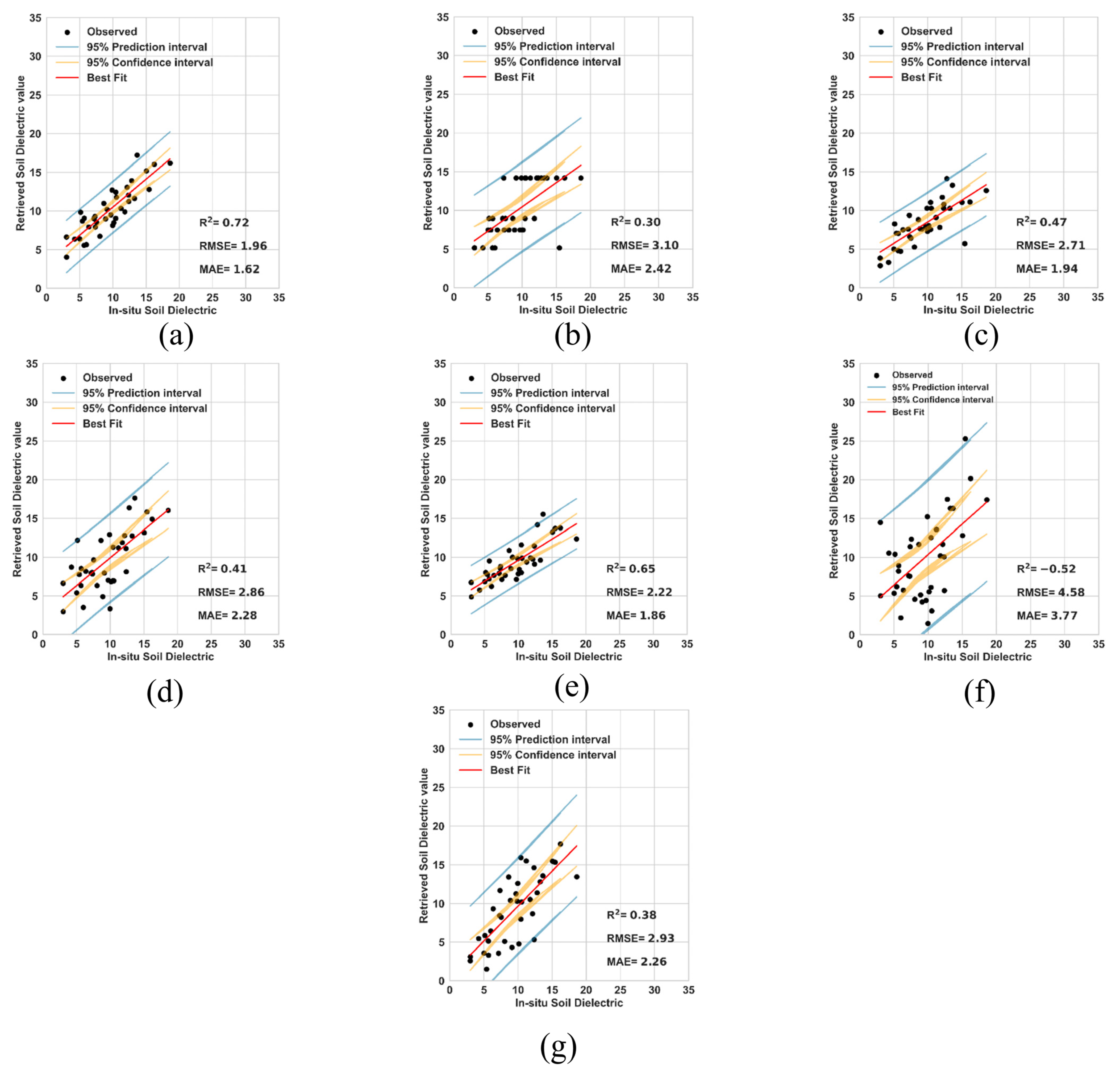
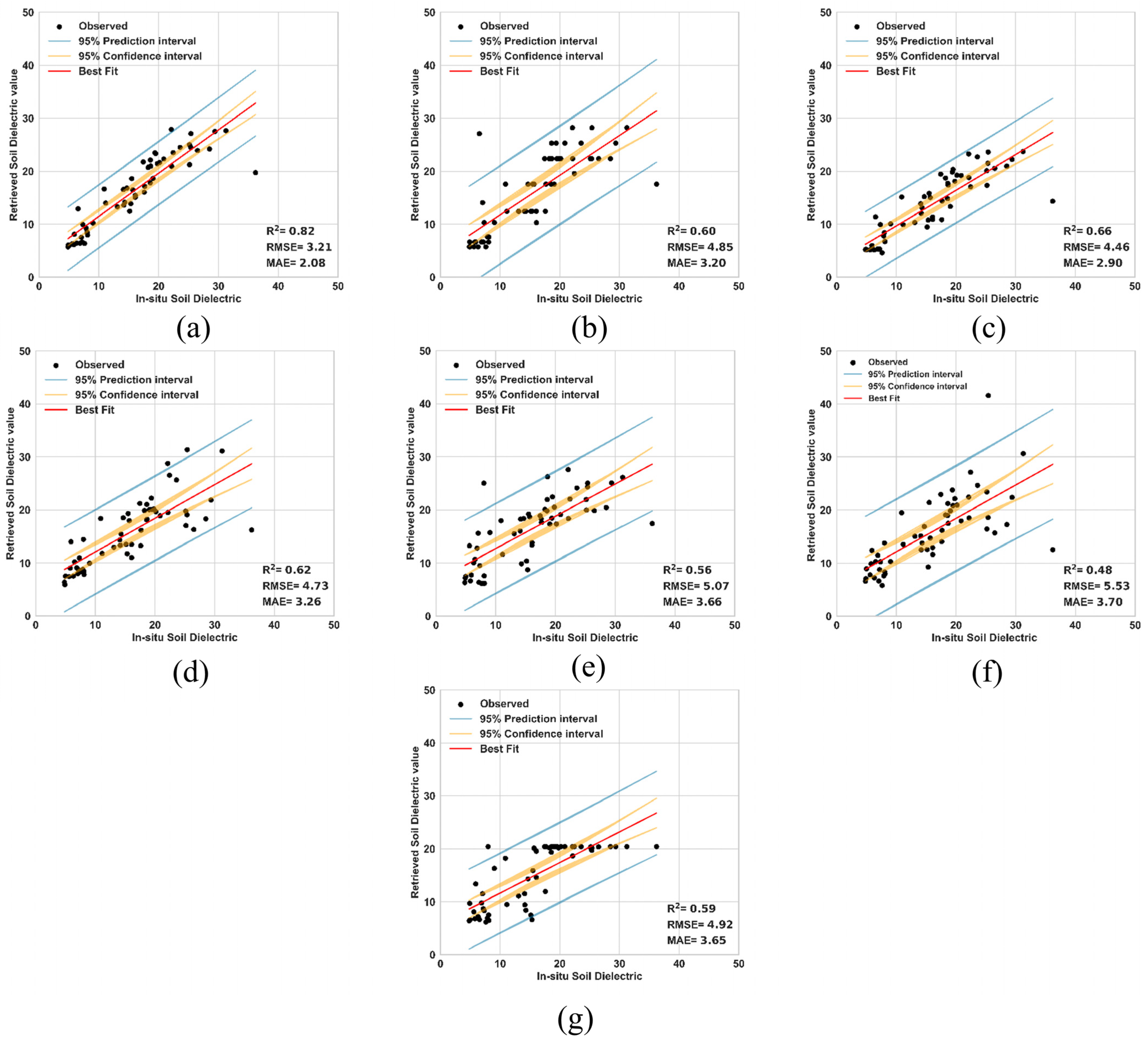
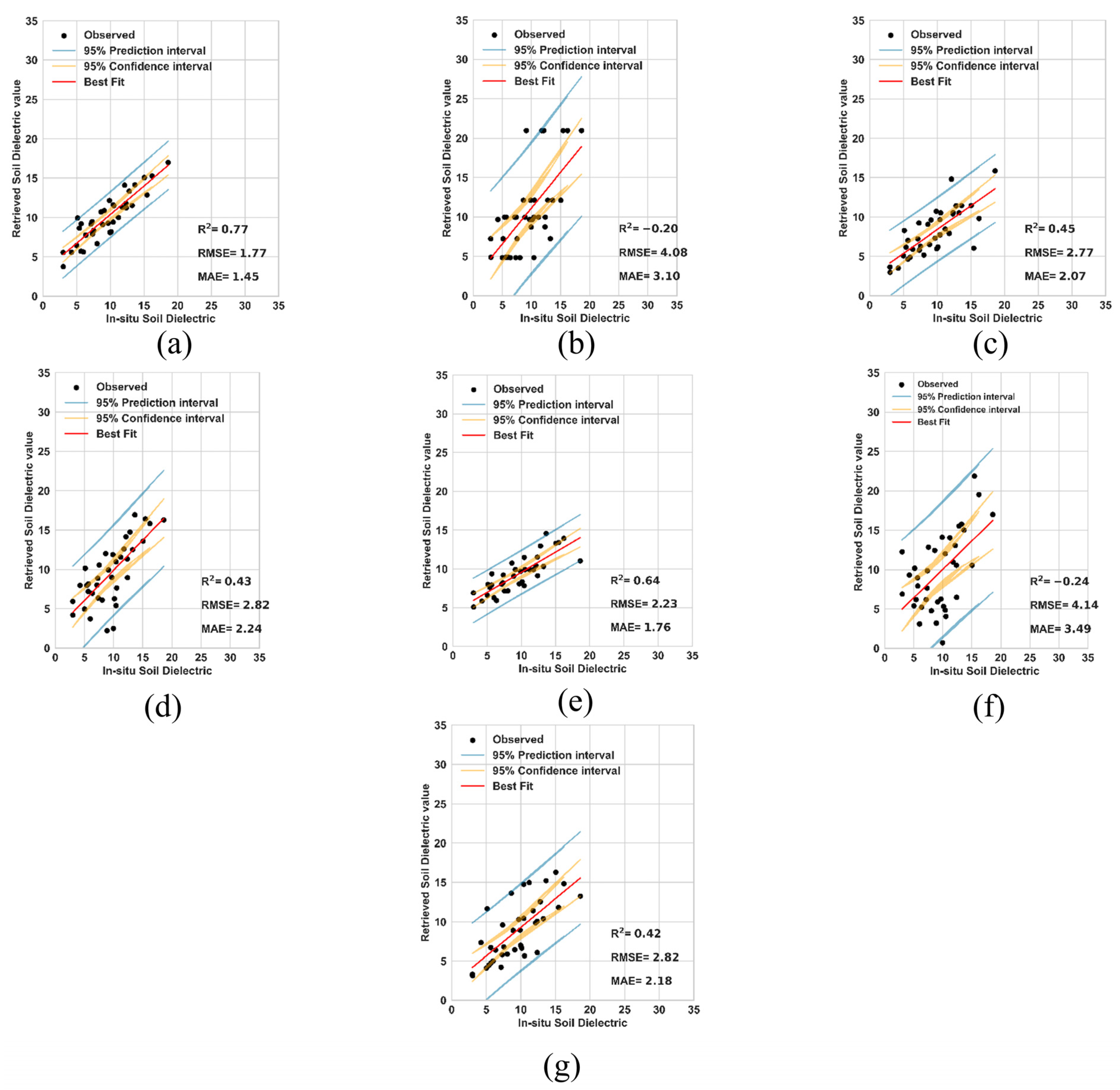
3. Results
3.1. Results without Considering Vegetation Effects
3.2. Results with Consideration of Vegetation Effects
4. Discussion
5. Conclusions
- To retrieve the dielectric constant and soil moisture in different types of crop fields using seven different ML algorithms incorporated by the SAR decomposition models from fully polarimetric L-band data.
- The random forest algorithm performed better than the decision tree, XGBoost, SGD, KNN, NN, and MLR algorithms in handling complex nonlinear data.
- The incorporation of vegetation correction using the Water Cloud Model (WCM) has consistently yielded better results than those obtained without this correction.
- The Water Cloud Model is highly suitable for incorporating Leaf Area Index (LAI) and Plant Water Content (PWC) parameters, making it ideal for soil moisture studies within vegetated areas using the L-band data.
- The surface roughness parameter significantly plays an important role when modelling SAR-based soil moisture. The study estimates soil moisture with and without the incorporation of the surface roughness parameter in the model.
Author Contributions
Funding
Data Availability Statement
Acknowledgments
Conflicts of Interest
References
- Babaeian, E.; Sadeghi, M.; Jones, S.B.; Montzka, C.; Vereecken, H.; Tuller, M. Ground, Proximal, and Satellite Remote Sensing of Soil Moisture. Rev. Geophys. 2019, 57, 530–616. [Google Scholar] [CrossRef]
- Robinson, D.A.; Abdu, H.; Lebron, I.; Jones, S.B. Imaging of Hill-Slope Soil Moisture Wetting Patterns in a Semi-Arid Oak Savanna Catchment Using Time-Lapse Electromagnetic Induction. J. Hydrol. 2012, 416–417, 39–49. [Google Scholar] [CrossRef]
- Li, H.; Robock, A.; Wild, M. Evaluation of Intergovernmental Panel on Climate Change Fourth Assessment Soil Moisture Simulations for the Second Half of the Twentieth Century. J. Geophys. Res. Atmos. 2007, 112, 1–15. [Google Scholar] [CrossRef]
- Vereecken, H.; Huisman, J.A.; Pachepsky, Y.; Montzka, C.; van der Kruk, J.; Bogena, H.; Weihermüller, L.; Herbst, M.; Martinez, G.; Vanderborght, J. On the Spatio-Temporal Dynamics of Soil Moisture at the Field Scale. J. Hydrol. 2014, 516, 76–96. [Google Scholar] [CrossRef]
- Xing, M.; He, B.; Ni, X.; Wang, J.; An, G.; Shang, J.; Huang, X. Retrieving Surface Soil Moisture over Wheat and Soybean Fields during Growing Season Using Modified Water Cloud Model from Radarsat-2 SAR Data. Remote Sens. 2019, 11, 1956. [Google Scholar] [CrossRef]
- He, B.; Xing, M.; Bai, X. A Synergistic Methodology for Soil Moisture Estimation in an Alpine Prairie Using Radar and Optical Satellite Data. Remote Sens. 2014, 6, 10966–10985. [Google Scholar] [CrossRef]
- Hajnsek, I.; Jagdhuber, T.; Schon, H.; Papathanassiou, K.P. Potential of Estimating Soil Moisture Under Vegetation Cover by Means of PolSAR. IEEE Trans. Geosci. Remote Sens. 2009, 47, 442–454. [Google Scholar] [CrossRef]
- Chen, L.; Xing, M.; He, B.; Wang, J.; Shang, J.; Huang, X.; Xu, M. Estimating Soil Moisture Over Winter Wheat Fields During Growing Season Using Machine-Learning Methods. IEEE J. Sel. Top. Appl. Earth Obs. Remote Sens. 2021, 14, 3706–3718. [Google Scholar] [CrossRef]
- Chauhan, N.S.; Miller, S.; Ardanuy, P. Spaceborne Soil Moisture Estimation at High Resolution: A Microwave-Optical/IR Synergistic Approach. Int. J. Remote Sens. 2003, 24, 4599–4622. [Google Scholar] [CrossRef]
- Ahmed, A.; Zhang, Y.; Nichols, S. Review and Evaluation of Remote Sensing Methods for Soil-Moisture Estimation. SPIE Rev. 2011, 2, 28001. [Google Scholar] [CrossRef]
- Barrett, B.W.; Dwyer, E.; Whelan, P. Soil Moisture Retrieval from Active Spaceborne Microwave Observations: An Evaluation of Current Techniques. Remote Sens. 2009, 1, 210–242. [Google Scholar] [CrossRef]
- Sehler, R.; Li, J.; Reager, J.T.; Ye, H. Investigating Relationship Between Soil Moisture and Precipitation Globally Using Remote Sensing Observations. J. Contemp. Water Res. Educ. 2019, 168, 106–118. [Google Scholar] [CrossRef]
- Lakshmi, V. Remote Sensing of Soil Moisture. ISRN Soil Sci. 2013, 2013, 424178. [Google Scholar] [CrossRef]
- Walker, J.P.; Houser, P.R.; Willgoose, G.R. Active Microwave Remote Sensing for Soil Moisture Measurement: A Field Evaluation Using ERS-2. Hydrol. Process. 2004, 18, 1975–1997. [Google Scholar] [CrossRef]
- Zhang, L.; Lv, X.; Wang, R. Soil Moisture Estimation Based on Polarimetric Decomposition and Quantile Regression Forests. Remote Sens. 2022, 14, 4183. [Google Scholar] [CrossRef]
- Minasny, B. Microwave Dielectric Behavior of Wet Soils; Springer: Dordrecht, The Netherlands, 2006; Volume 133, ISBN 1402032714. [Google Scholar]
- Kabir, H.; Khan, M.J.; Brodie, G.; Gupta, D.; Pang, A.; Jacob, M.V.; Antunes, E. Measurement and Modelling of Soil Dielectric Properties as a Function of Soil Class and Moisture Content. J. Microw. Power Electromagn. Energy 2020, 54, 3–18. [Google Scholar] [CrossRef]
- Wang, J.R.; Schmugge, T.J. An Empirical Model for the Complex Dielectric Permittivity of Soils as a Function of Water Content. IEEE Trans. Geosci. Remote Sens. 1980, GE-18, 288–295. [Google Scholar] [CrossRef]
- Singh, A.; Meena, G.K.; Kumar, S.; Gaurav, K. Analysis of the Effect of Incidence Angle and Moisture Content on the Penetration Depth of L- and S-Band SAR Signals into the Ground Surface. ISPRS Ann. Photogramm. Remote Sens. Spat. Inf. Sci. 2018, 4, 197–202. [Google Scholar] [CrossRef]
- Dobson, M.C.; Kouyate, F.; Ulaby, F.T. A Reexamination of Soil Textural Effects on Microwave Emission and Backscattering. IEEE Trans. Geosci. Remote Sens. 1983, GE-22, 530–536. [Google Scholar] [CrossRef]
- Hallikainen, M.T.; Ulabz, F.T.; Dobson, M.C.; El-Rayes, M.A.; Wu, L.K. Microwave Dielectric Behavior of Wet Soil-Part I: Empirical Models and Experimental Observations. IEEE Trans. Geosci. Remote Sens. 1985, GE-23, 25–34. [Google Scholar] [CrossRef]
- Mironov, V.L.; Kosolapova, L.G.; Fomin, S. V Physically and Mineralogically Based Spectroscopic Dielectric Model for Moist Soils. IEEE Trans. Geosci. Remote Sens. 2009, 47, 2059–2070. [Google Scholar] [CrossRef]
- Mironov, V.L.; Kosolapova, L.G.; Savin, I.V.; Muzalevskiy, K.V. Temperature Dependent Dielectric Model at 1.4 GHz for a Tundra Organic-Rich Soil Thawed and Frozen. In Proceedings of the 2015 IEEE International Geoscience and Remote Sensing Symposium (IGARSS), Milan, Italy, 26–31 July 2015; pp. 2016–2019. [Google Scholar]
- Park, C.-H.; Montzka, C.; Jagdhuber, T.; Jonard, F.; De Lannoy, G.; Hong, J.; Jackson, T.J.; Wulfmeyer, V. A Dielectric Mixing Model Accounting for Soil Organic Matter. Vadose Zone J. 2019, 18, 190036. [Google Scholar] [CrossRef]
- Park, C.H.; Behrendt, A.; LeDrew, E.; Wulfmeyer, V. New Approach for Calculating the Effective Dielectric Constant of the Moist Soil for Microwaves. Remote Sens. 2017, 9, 732. [Google Scholar] [CrossRef]
- Liao, T.-H.; Kim, S.-B.; Handwerger, A.L.; Fielding, E.J. Soil Moisture Retrieval Using L-Band SAR Over Landslide Regions in Northern California Grasslands. In Proceedings of the 2021 IEEE International Geoscience and Remote Sensing Symposium IGARSS, Brussels, Belgium, 11–16 July 2021; pp. 5881–5883. [Google Scholar]
- Shi, H.; Lopez-Sanchez, J.M.; Yang, J.; Li, P.; Zhao, L.; Zhao, J. Contribution of Polarimetry and Multi-Incidence to Soil Moisture Estimation Over Agricultural Fields Based on Time Series of L-Band SAR Data. IEEE J. Sel. Top. Appl. Earth Obs. Remote Sens. 2021, 14, 300–313. [Google Scholar] [CrossRef]
- Burgin, M.S.; van Zyl, J.J. Regression-Based Soil Moisture Estimation from SMAP Polarimetric Radar Data with Aquarius Derived Coefficients. In Proceedings of the 2017 IEEE International Geoscience and Remote Sensing Symposium (IGARSS), Fort Worth, TX, USA, 23–28 July 2017; pp. 4136–4138. [Google Scholar]
- Bindlish, R.; Barros, A.P. Parameterization of Vegetation Backscatter in Radar-Based, Soil Moisture Estimation. Remote Sens. Environ. 2001, 76, 130–137. [Google Scholar] [CrossRef]
- Dobson, M.C.; Ulaby, F.T. Active Microwave Soil Moisture Research. IEEE Trans. Geosci. Remote Sens. 1986, GE-24, 23–36. [Google Scholar] [CrossRef]
- Zribi, M.; Chahbi, A.; Shabou, M.; Lili-Chabaane, Z.; Duchemin, B.; Baghdadi, N.; Amri, R.; Chehbouni, A. Soil Surface Moisture Estimation over a Semi-Arid Region Using ENVISAT ASAR Radar Data for Soil Evaporation Evaluation. Hydrol. Earth Syst. Sci. 2011, 15, 345–358. [Google Scholar] [CrossRef]
- Singh, S.K.; Prasad, R.; Srivastava, P.K.; Yadav, S.A.; Yadav, V.P.; Sharma, J. Incorporation of First-Order Backscattered Power in Water Cloud Model for Improving the Leaf Area Index and Soil Moisture Retrieval Using Dual-Polarized Sentinel-1 SAR Data. Remote Sens. Environ. 2023, 296, 113756. [Google Scholar] [CrossRef]
- Bhogapurapu, N.; Dey, S.; Mandal, D.; Bhattacharya, A.; Karthikeyan, L.; McNairn, H.; Rao, Y.S. Soil Moisture Retrieval over Croplands Using Dual-Pol L-Band GRD SAR Data. Remote Sens. Environ. 2022, 271, 112900. [Google Scholar] [CrossRef]
- Zribi, M.; Muddu, S.; Bousbih, S.; Al Bitar, A.; Tomer, S.K.; Baghdadi, N.; Bandyopadhyay, S. Analysis of L-Band SAR Data for Soil Moisture Estimations over Agricultural Areas in the Tropics. Remote Sens. 2019, 11, 1122. [Google Scholar] [CrossRef]
- Srivastava, H.S.; Sivasankar, T.; Gavali, M.D.; Patel, P. Soil Moisture Estimation underneath Crop Cover Using High Incidence Angle C-Band Sentinel-1 SAR Data. Kuwait J. Sci. 2024, 51, 100101. [Google Scholar] [CrossRef]
- Hajj, M.E.; Baghdadi, N.; Zribi, M.; Bazzi, H. Synergic Use of Sentinel-1 and Sentinel-2 Images for Operational Soil Moisture Mapping at High Spatial Resolution over Agricultural Areas. Remote Sens. 2017, 9, 1292. [Google Scholar] [CrossRef]
- Carranza, C.; Nolet, C.; Pezij, M.; van der Ploeg, M. Root Zone Soil Moisture Estimation with Random Forest. J. Hydrol. 2021, 593, 125840. [Google Scholar] [CrossRef]
- Chaudhary, S.K.; Srivastava, P.K.; Gupta, D.K.; Kumar, P.; Prasad, R.; Pandey, D.K.; Das, A.K.; Gupta, M. Machine Learning Algorithms for Soil Moisture Estimation Using Sentinel-1: Model Development and Implementation. Adv. Sp. Res. 2022, 69, 1799–1812. [Google Scholar] [CrossRef]
- Akhavan, Z.; Hasanlou, M.; Hosseini, M.; McNairn, H. Decomposition-Based Soil Moisture Estimation Using Uavsar Fully Polarimetric Images. Agronomy 2021, 11, 145. [Google Scholar] [CrossRef]
- McNairn, H.; Jackson, T.J.; Wiseman, G.; Bélair, S.; Berg, A.; Bullock, P.; Colliander, A.; Cosh, M.H.; Kim, S.B.; Magagi, R.; et al. The Soil Moisture Active Passive Validation Experiment 2012 (SMAPVEX12): Prelaunch Calibration and Validation of the SMAP Soil Moisture Algorithms. IEEE Trans. Geosci. Remote Sens. 2015, 53, 2784–2801. [Google Scholar] [CrossRef]
- Wang, H.; Magagi, R.; Goita, K. Comparison of Different Polarimetric Decompositions for Soil Moisture Retrieval over Vegetation Covered Agricultural Area. Remote Sens. Environ. 2017, 199, 120–136. [Google Scholar] [CrossRef]
- Cloude, S.R.; Pottier, E. An Entropy Based Classification Scheme for Land Applications of Polarimetric SAR. IEEE Trans. Geosci. Remote Sens. 1997, 35, 68–78. [Google Scholar] [CrossRef]
- Kumar, S.; Siqueira, P.; Govil, H.; Agrawal, S. Spaceborne Synthetic Aperture Radar Remote Sensing: Techniques and Applications; CRC Press: Boca Raton, FL, USA, 2023; pp. 1–418. [Google Scholar] [CrossRef]
- Breiman, L. Random Forests. Mach. Learn. 2001, 45, 5–32. [Google Scholar] [CrossRef]
- Mukhopadhyay, R.; Kumar, S.; Aghababaei, H.; Kulshrestha, A. Estimation of Aboveground Biomass from PolSAR and PolInSAR Using Regression-Based Modelling Techniques. Geocarto Int. 2022, 37, 4181–4207. [Google Scholar] [CrossRef]
- Pekel, E. Estimation of Soil Moisture Using Decision Tree Regression. Theor. Appl. Climatol. 2020, 139, 1111–1119. [Google Scholar] [CrossRef]
- Zhang, T. Solving Large Scale Linear Prediction Problems Using Stochastic Gradient Descent Algorithms. In Proceedings of the Twenty-First International Conference on Machine Learning, Banff, AB, Canada, 4–8 July 2004; Association for Computing Machinery: New York, NY, USA, 2004; p. 116. [Google Scholar]
- Jia, Y.; Jin, S.; Savi, P.; Gao, Y.; Tang, J.; Chen, Y.; Li, W. GNSS-R Soil Moisture Retrieval Based on a XGboost Machine Learning Aided Method: Performance and Validation. Remote Sens. 2019, 11, 1655. [Google Scholar] [CrossRef]
- Ali, I.; Greifeneder, F.; Stamenkovic, J.; Neumann, M.; Notarnicola, C. Review of Machine Learning Approaches for Biomass and Soil Moisture Retrievals from Remote Sensing Data. Remote Sens. 2015, 7, 16398–16421. [Google Scholar] [CrossRef]
- Eroglu, O.; Kurum, M.; Boyd, D.; Gurbuz, A.C. High Spatio-Temporal Resolution CYGNSS Soil Moisture Estimates Using Artificial Neural Networks. Remote Sens. 2019, 11, 2272. [Google Scholar] [CrossRef]
- Wang, H.; Magagi, R.; Goita, K.; Jagdhuber, T.; Hajnsek, I. Evaluation of Simplified Polarimetric Decomposition for Soil Moisture Retrieval over Vegetated Agricultural Fields. Remote Sens. 2016, 8, 142. [Google Scholar] [CrossRef]
- Polarimetry|Get to Know SAR—NASA-ISRO SAR Mission (NISAR). Available online: https://nisar.jpl.nasa.gov/mission/get-to-know-sar/polarimetry/ (accessed on 29 June 2024).
- Radars|Observatory—NASA-ISRO SAR Mission (NISAR). Available online: https://nisar.jpl.nasa.gov/mission/observatory/radars/ (accessed on 29 June 2024).
- WMO OSCAR|Details for Instrument ROSE-L. Available online: https://space.oscar.wmo.int/instruments/view/rose_l (accessed on 29 June 2024).

















| Date | (Flight Line ID: 31606) Flight ID | Soil Moisture and Soil Dielectric Constant In-Situ Measurement Available | Surface Roughness In-Situ Measurement Available | QuadPol SAR Simulated NISAR Products Availabale |
|---|---|---|---|---|
| 7th June | -- | Yes | -- | -- |
| 10th June | -- | -- | Yes | -- |
| 11th June | -- | -- | Yes | -- |
| 12th June | -- | Yes | Yes | -- |
| 13th June | -- | -- | Yes | -- |
| 15th June | -- | Yes | Yes | -- |
| 16th June | -- | -- | Yes | -- |
| 17th June | Flight 12044 | Yes | Yes | Yes |
| 18th June | -- | -- | Yes | -- |
| 19th June | -- | -- | Yes | Yes |
| 21st June | -- | -- | Yes | -- |
| 22nd June | Flight 12046 | Yes | -- | Yes |
| 23rd June | Flight 12047 | Yes | -- | Yes |
| 24th June | -- | -- | Yes | -- |
| 25th June | Flight 12048 | Yes | -- | -- |
| 27th June | Flight 12049 | Yes | -- | Yes |
| 29th June | Flight 12050 | Yes | -- | Yes |
| 30th June | -- | -- | Yes | Yes |
| 3rd July | Flight 12055 | Yes | -- | Yes |
| 5th July | Flight 12056 | Yes | -- | Yes |
| 7th July | -- | -- | Yes | -- |
| 8th July | Flight 12057 | Yes | -- | Yes |
| 10th July | -- | Yes | -- | Yes |
| 13th July | Flight 12059 | Yes | -- | Yes |
| 14th July | Flight 12060 | Yes | -- | Yes |
| 17th July | Flight 12061 | Yes | -- | Yes |
| 19th July | -- | Yes | -- | -- |
| Soil Dielectric Constant | Soil Moisture | Soil Moisture without RMS-H and Correlation Length Variable | ||||||||
|---|---|---|---|---|---|---|---|---|---|---|
| Algorithms | Field Type | R2 | RMSE | MAE | R2 | RMSE (m3/m3) | MAE (m3/m3) | R2 | RMSE (m3/m3) | MAE (m3/m3) |
| Random Forest | Soybeans | 0.89 | 6.79 | 5.15 | 0.89 | 0.050 | 0.04 | 0.45 | 0.111 | 0.09 |
| Wheat | 0.73 | 4.01 | 2.67 | 0.88 | 0.031 | 0.02 | 0.87 | 0.032 | 0.02 | |
| Corn | 0.72 | 1.96 | 1.62 | 0.78 | 0.030 | 0.02 | 0.75 | 0.032 | 0.03 | |
| Decision Tree | Soybeans | 0.84 | 8.16 | 6.05 | 0.88 | 0.051 | 0.04 | 0.36 | 0.119 | 0.08 |
| Wheat | 0.58 | 4.98 | 3.53 | 0.77 | 0.044 | 0.03 | 0.66 | 0.053 | 0.44 | |
| Corn | 0.30 | 3.10 | 2.42 | 0.34 | 0.052 | 0.04 | 0.45 | 0.048 | 0.04 | |
| XGBoost | Soybeans | 0.65 | 12.05 | 8.28 | 0.77 | 0.072 | 0.05 | 0.36 | 0.119 | 0.09 |
| Wheat | 0.54 | 5.21 | 3.45 | 0.58 | 0.059 | 0.05 | 0.54 | 0.061 | 0.05 | |
| Corn | 0.47 | 2.71 | 1.94 | −0.25 | 0.072 | 0.06 | −0.33 | 0.074 | 0.06 | |
| Stochastic Gradient Descent | Soybeans | 0.58 | 13.11 | 10.92 | 0.62 | 0.092 | 0.08 | 0.41 | 0.115 | 0.09 |
| Wheat | 0.62 | 4.71 | 3.23 | 0.68 | 0.052 | 0.04 | 0.66 | 0.054 | 0.04 | |
| Corn | 0.41 | 2.86 | 2.28 | 0.50 | 0.045 | 0.04 | 0.48 | 0.046 | 0.04 | |
| KNN | Soybeans | 0.64 | 12.17 | 9.01 | 0.65 | 0.089 | 0.06 | 0.43 | 0.113 | 0.08 |
| Wheat | 0.53 | 5.28 | 3.79 | 0.66 | 0.053 | 0.04 | 0.68 | 0.051 | 0.04 | |
| Corn | 0.65 | 2.22 | 1.86 | 0.68 | 0.036 | 0.03 | 0.56 | 0.043 | 0.03 | |
| Multilinear Regression | Soybeans | 0.45 | 15.06 | 11.92 | 0.58 | 0.096 | 0.08 | 0.45 | 0.11 | 0.09 |
| Wheat | 0.50 | 5.40 | 3.85 | 0.62 | 0.056 | 0.05 | 0.60 | 0.058 | 0.05 | |
| Corn | −0.52 | 4.58 | 3.77 | −0.07 | 0.067 | 0.06 | 0.22 | 0.057 | 0.05 | |
| Neural Network | Soybeans | 0.60 | 12.79 | 8.84 | 0.51 | 0.100 | 0.08 | 0.25 | 0.138 | 0.12 |
| Wheat | 0.40 | 5.94 | 4.65 | 0.45 | 0.075 | 0.05 | 0.27 | 0.081 | 0.06 | |
| Corn | 0.38 | 2.93 | 2.26 | 0.36 | 0.054 | 0.04 | −0.63 | 0.078 | 0.07 | |
| Soil Dielectric Constant | Soil Moisture | ||||||
|---|---|---|---|---|---|---|---|
| Algorithms | Field Type | R2 | RMSE | MAE | R2 | RMSE (m3/m3) | MAE (m3/m3) |
| Random Forest | Soybeans | 0.89 | 6.78 | 4.38 | 0.92 | 0.042 | 0.03 |
| Wheat | 0.82 | 3.21 | 2.08 | 0.91 | 0.027 | 0.02 | |
| Corn | 0.77 | 1.77 | 1.45 | 0.80 | 0.028 | 0.02 | |
| Decision Tree | Soybeans | 0.88 | 7.10 | 4.69 | 0.83 | 0.061 | 0.04 |
| Wheat | 0.60 | 4.85 | 3.20 | 0.85 | 0.035 | 0.03 | |
| Corn | −0.20 | 4.08 | 3.10 | 0.73 | 0.033 | 0.03 | |
| XGBoost | Soybeans | 0.74 | 10.27 | 7.40 | 0.91 | 0.046 | 0.03 |
| Wheat | 0.66 | 4.46 | 2.90 | 0.62 | 0.056 | 0.05 | |
| Corn | 0.45 | 2.77 | 2.07 | −0.07 | 0.067 | 0.06 | |
| Stochastic Gradient Descent | Soybeans | 0.61 | 12.69 | 10.54 | 0.65 | 0.088 | 0.07 |
| Wheat | 0.62 | 4.73 | 3.26 | 0.69 | 0.051 | 0.04 | |
| Corn | 0.43 | 2.82 | 2.24 | 0.52 | 0.045 | 0.03 | |
| KNN | Soybeans | 0.72 | 10.72 | 7.80 | 0.72 | 0.078 | 0.05 |
| Wheat | 0.56 | 5.07 | 3.66 | 0.69 | 0050 | 0.04 | |
| Corn | 0.64 | 2.23 | 1.76 | 0.66 | 0.038 | 0.03 | |
| Multilinear Regression | Soybeans | 0.47 | 14.77 | 11.90 | 0.62 | 0.092 | 0.07 |
| Wheat | 0.48 | 5.53 | 3.70 | 0.65 | 0.054 | 0.04 | |
| Corn | −0.24 | 4.14 | 3.49 | 0.11 | 0.061 | 0.05 | |
| Neural Network | Soybeans | 0.74 | 10.35 | 7.90 | 0.61 | 0.093 | 0.07 |
| Wheat | 0.59 | 4.92 | 3.65 | 0.40 | 0.070 | 0.06 | |
| Corn | 0.42 | 2.82 | 2.18 | 0.37 | 0.051 | 0.04 | |
Disclaimer/Publisher’s Note: The statements, opinions and data contained in all publications are solely those of the individual author(s) and contributor(s) and not of MDPI and/or the editor(s). MDPI and/or the editor(s) disclaim responsibility for any injury to people or property resulting from any ideas, methods, instructions or products referred to in the content. |
© 2024 by the authors. Licensee MDPI, Basel, Switzerland. This article is an open access article distributed under the terms and conditions of the Creative Commons Attribution (CC BY) license (https://creativecommons.org/licenses/by/4.0/).
Share and Cite
Dinesh, D.; Kumar, S.; Saran, S. Machine Learning Modelling for Soil Moisture Retrieval from Simulated NASA-ISRO SAR (NISAR) L-Band Data. Remote Sens. 2024, 16, 3539. https://doi.org/10.3390/rs16183539
Dinesh D, Kumar S, Saran S. Machine Learning Modelling for Soil Moisture Retrieval from Simulated NASA-ISRO SAR (NISAR) L-Band Data. Remote Sensing. 2024; 16(18):3539. https://doi.org/10.3390/rs16183539
Chicago/Turabian StyleDinesh, Dev, Shashi Kumar, and Sameer Saran. 2024. "Machine Learning Modelling for Soil Moisture Retrieval from Simulated NASA-ISRO SAR (NISAR) L-Band Data" Remote Sensing 16, no. 18: 3539. https://doi.org/10.3390/rs16183539
APA StyleDinesh, D., Kumar, S., & Saran, S. (2024). Machine Learning Modelling for Soil Moisture Retrieval from Simulated NASA-ISRO SAR (NISAR) L-Band Data. Remote Sensing, 16(18), 3539. https://doi.org/10.3390/rs16183539

