Integrating Satellite Images and Machine Learning for Flood Prediction and Susceptibility Mapping for the Case of Amibara, Awash Basin, Ethiopia
Abstract
1. Introduction
2. Materials and Methods
2.1. Description of the Study Area
2.2. Datasets
2.3. Methods
2.3.1. Data Preprocessing and Standardization
2.3.2. Machine Learning Models Evaluated in this Study
Random Forest
Linear Regression
Support Vector Machine (SVM)
Long Short-Term Memory (LSTM)
2.3.3. Parameters Considered in Developing the Models
Feature Selection
2.3.4. Machine Learning Accuracy Assessment Metrics
Receiver Operating Characteristic (ROC) Curve
2.3.5. Flood Prediction Techniques
2.3.6. Flood Susceptibility Mapping
3. Results and Discussion
3.1. Feature Importance
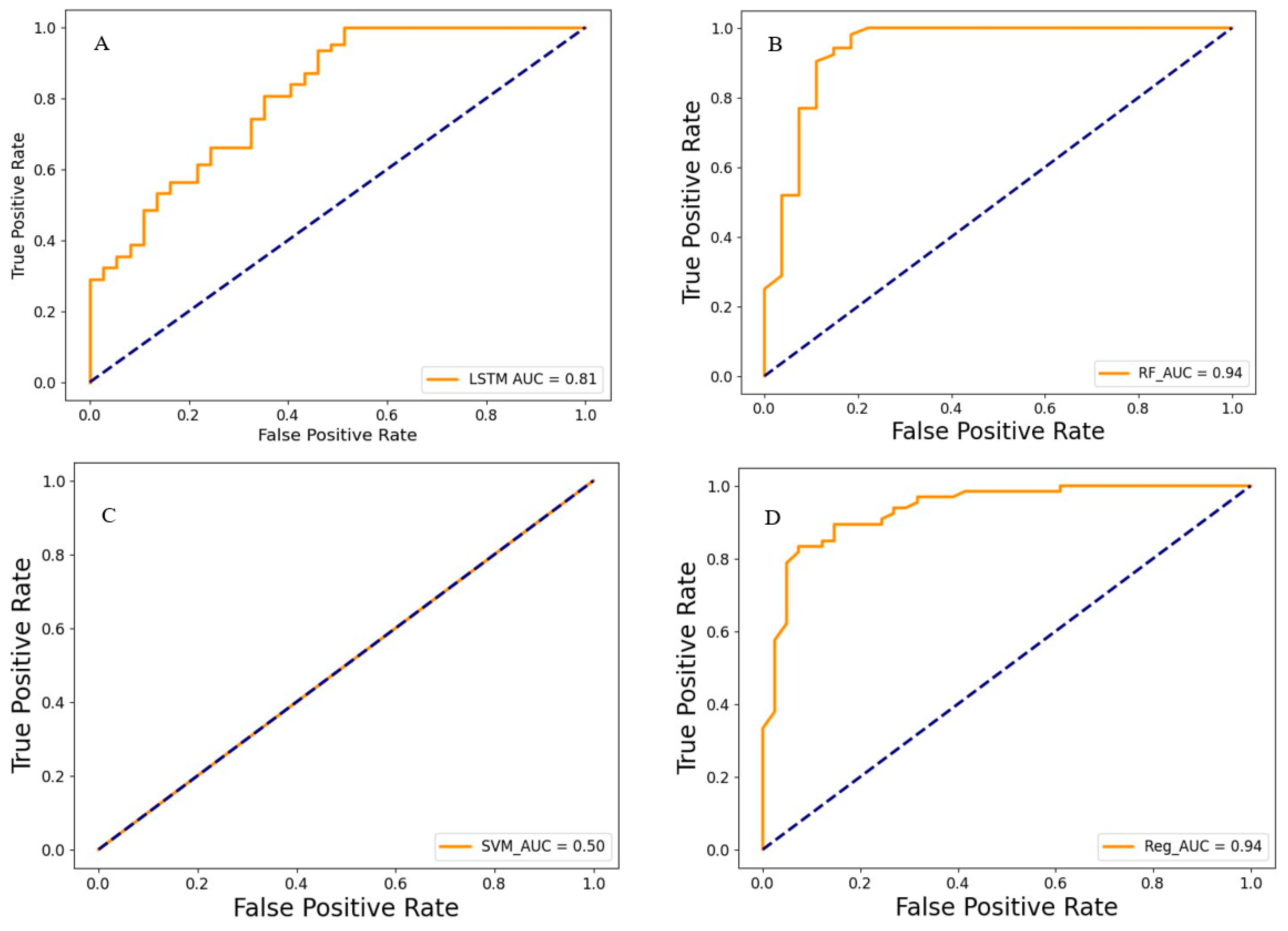
3.2. Performances of the Machine Learning Models
3.3. Flood Susceptibility Maps
4. Conclusions
Author Contributions
Funding
Data Availability Statement
Acknowledgments
Conflicts of Interest
References
- Giovannettone, J.; Copenhaver, T.; Burns, M.; Choquette, S. A statistical approach to mapping flood susceptibility in the Lower Connecticut River Valley Region. Water Resour. Res. 2018, 54, 7603–7618. [Google Scholar] [CrossRef]
- UNDRR; CRED. The Human Cost of Disasters: An Overview of the Last 20 Years (2000–2019). UNDRR. 2021. Towards an IGAD Regional Flood Risk Profile: Preliminary Results of the Regional Flood Risk Assessment. 2020. Available online: https://www.preventionweb.net/files/74124_humancostofdisasters20002019reportu.pdf (accessed on 12 June 2024).
- Christian Aid. Counting the Cost 2022: A Year of Climate Breakdown. 2022. Available online: https://www.christianaid.org.uk/resources/our-work/counting-cost-2022-year-climate-breakdown (accessed on 12 June 2014).
- FAO; WFP. Special Report—2021 FAO/WFP Crop and Food Security Assessment Mission (CFSAM) to the Republic of South Sudan; FAO: Rome, Italy, 2022. [Google Scholar]
- Reed, C.; Anderson, W.; Kruczkiewicz, A.; Nakamura, J.; Gallo, D.; Seager, R.; McDermind, S.S. The impact of flooding on food security across Africa. Proc. Natl. Acad. Sci. USA 2022, 119, e2119399119. [Google Scholar] [CrossRef] [PubMed]
- Balgah, R.A.; Buchenrieder, G.R.; Mbue, I.M. When nature frowns: A comprehensive impact assessment of the 2012 Babessi floods on people’s livelihoods in rural Cameroon. Jàmbá J. Disaster Risk Stud. 2015, 7, 197. [Google Scholar] [CrossRef] [PubMed]
- Mamo, S.; Berhanu, B.; Melesse, A.M. Chapter 29—Historical flood events and hydrological extremes in Ethiopia. In Extreme Hydrology and Climate Variability; Melesse, A.M., Abtew, W., Senay, G., Eds.; Elsevier: Amsterdam, The Netherlands, 2019; pp. 379–384. [Google Scholar]
- Woldegebrael, S.M.; Kidanewold, B.B.; Melesse, A.M. Development and Evaluation of a Web-Based and Interactive Flood Management Tool for Awash and Omo-Gibe Basins, Ethiopia. Water 2022, 14, 2195. [Google Scholar] [CrossRef]
- Amede, T.; Van den Akker, E.; Berdel, W.; Keller, C.; Tilahun, G.; Dejen, A.; Legesse, G.; Abebe, H. Facilitating livelihoods diversification through flood-based land restoration in pastoral systems of Afar, Ethiopia. Renew. Agric. Food Syst. 2020, 37, S43–S54. [Google Scholar] [CrossRef]
- Tegegne, G.; Melesse, A.M.; Asfaw, D.H.; Worqlul, A.W. Flood Frequency Analyses Over Different Basin Scales in the Blue Nile River Basin, Ethiopia. Hydrology 2020, 7, 44. [Google Scholar] [CrossRef]
- Lei, X.; Chen, W.; Panahi, M.; Falah, F.; Rahmati, O.; Uuemaa, E.; Kalantari, Z.; Ferreira, C.S.S.; Rezaie, F.; Tiefenbacher, J.P.; et al. Urban flood modeling using deep-learning approaches in Seoul, South Korea. J. Hydrol. 2021, 601, 126684. [Google Scholar] [CrossRef]
- Zhang, S.; Pan, B. An urban storm-inundation simulation method based on GIS. J. Hydrol. 2014, 517, 260–268. [Google Scholar] [CrossRef]
- Kalantari, Z.; Ferreira, C.S.S.; Koutsouris, A.J.; Ahlmer, A.K.; Cerdà, A.; Destouni, G. Assessing Flood Probability for Transportation Infrastructure Based on Catchment Characteristics, Sediment Connectivity and Remotely Sensed Soil Moisture. Sci. Total Environ. 2019, 661, 393–406. [Google Scholar] [CrossRef]
- Rahmati, O.; Darabi, H.; Panahi, M.; Kalantari, Z.; Naghibi, S.A.; Ferreira, C.S.S.; Kornejady, A.; Karimidastenaei, Z.; Mohammadi, F.; Stefanidis, S.; et al. Development of novel hybridized models for urban flood susceptibility mapping. Sci. Rep. 2020, 10, 12937. [Google Scholar] [CrossRef]
- Motta, M.; Neto, M.C.; Sarmento, P. A mixed approach for urban prediction using Machine Learning and GIS. Int. J. Disaster Risk Reduct. 2021, 56, 102154. [Google Scholar] [CrossRef]
- Nevo, S.; Morin, E.; Gerzi Rosenthal, A.; Metzger, A.; Barshai, C.; Weitzner, D.; Voloshin, D.; Kratzert, F.; Elidan, G.; Dror, G.; et al. Flood forecasting with machine learning models in an operational framework. Hydrol. Earth Syst. Sci. 2022, 26, 4013–4032. [Google Scholar] [CrossRef]
- Nur-Adib, M.; Harun, A.N.B.; Goto, M.; Cheros, F.; Haron, N.A.; Nawi, M.N.M. Evaluation of Machine Learning approach in flood prediction scenarios and its input parameters: A systematic review. IOP Conf. Ser. Earth Environ. Sci. 2020, 479, 012038. [Google Scholar]
- Kabir, S.; Patidar, S.; Xia, X.; Liang, Q.; Neal, J.; Pender, G. A deep convolutional neural network model for rapid prediction of fluvial flood inundation. J. Hydrol. 2020, 590, 125481. [Google Scholar] [CrossRef]
- Falah, F.; Rahmati, O.; Rostami, M.; Ahmadisharaf, E.; Daliakopoulos, I.N.; Pourghasemi, H.R. Artificial Neural Networks for Flood Susceptibility Mapping in Data-Scarce Urban Areas. In Spatial Modeling in GIS and R for Earth and Environmental Sciences; Elsevier: Amsterdam, The Netherlands, 2019; pp. 323–336. [Google Scholar]
- Michielsen, A.; Kalantari, Z.; Lyon, S.W.; Liljegren, E. Predicting and communicating flood risk of transport infrastructure based on watershed characteristics. J. Environ. Manag. 2016, 182, 505–518. [Google Scholar] [CrossRef]
- Wang, Y.; Hong, H.; Chen, W.; Li, S.; Panahi, M.; Khosravi, K.; Shirzadi, A.; Shahabi, H.; Panahi, S.; Costache, R. Flood susceptibility mapping in Dingnan County (China) using adaptive neuro-fuzzy inference system with biogeography-based optimization and imperialistic competitive algorithm. J. Environ. Manag. 2019, 247, 712–729. [Google Scholar] [CrossRef] [PubMed]
- Zehra, N. Prediction Analysis of Floods using Machine Learning Algorithms (NARX and SVM). Int. J. Sci. Basic Appl. Res. (IJSBAR) 2020, 49, 24–34. [Google Scholar]
- Ali, M.H.M.; Asmai, S.A.; Abidin, Z.Z.; Abas, Z.A.; Emran, N.A. Flood prediction using Deep Learning Models. Int. J. Adv. Comput. Sci. Appl. 2022, 13, 972–981. [Google Scholar] [CrossRef]
- Karimi, P.; Bastiaanssen, W.G.M.; Molden, D. Water Accounting Plus (WA+)—A water accounting procedure for complex river basins based on satellite measurements. Hydrol. Earth Syst. Sci. 2013, 17, 2459–2472. [Google Scholar] [CrossRef]
- Mohr, P. Plate Tectonics of the Red Sea and East Africa. Nature 1970, 228, 547–548. [Google Scholar] [CrossRef]
- Shiferaw, H.; Bewket, W.; Alamirew, T.; Zeleke, G.; Teketay, D.; Bekele, K.; Schaffner, U.; Eckert, S. Implications of land use/land cover dynamics and Prosopis invasion on ecosystem service values in Afar Region. Ethiopia 2019, 675, 354–366. [Google Scholar] [CrossRef] [PubMed]
- ReliefWorld. Ethiopia Flood Response Plan—2020 Kiremt Season Floods (September 2020), Informing Humanitarians Worldwide 24/7—A Service Provided by UN OCHA. Available online: https://reliefweb.int/report/ethiopia/ethiopia-flood-response-plan-2020-kiremt-season-floods-september-2020 (accessed on 12 June 2024).
- Breiman, L. Random Forests. Mach. Learn. 2001, 45, 5–32. [Google Scholar] [CrossRef]
- Tanim, A.H.; McRae, C.B.; Tavakol-Davani, H.; Goharian, E. Flood Detection in Urban Areas Using Satellite Imagery and Machine Learning. Water 2022, 14, 1140. [Google Scholar] [CrossRef]
- Tang, Y.; Sun, Y.; Han, Z.; Soomro, S.; Wu, Q.; Tan, B.; Hu, C. Flood forecasting based on machine learning pattern recognition and dynamic migration of parameters. J. Hydrol. Reg. Stud. 2023, 47, 101406. [Google Scholar] [CrossRef]
- Li, B.; Yang, G.; Wan, R.; Dai, X.; Zhang, Y. Comparison of random forests and other statistical methods for the prediction of lake water level: A case study of the Poyang Lake in China. Hydrol. Res. 2016, 47, 69–83. [Google Scholar] [CrossRef]
- Yao, X.; Tham, L.G.; Dai, F.C. Landslide susceptibility mapping based on Support Vector Machine: A case study on natural slopes of Hong Kong, China. Geomorphology 2008, 101, 572–582. [Google Scholar] [CrossRef]
- Fang, Z.; Wang, Y.; Peng, L.; Hong, H. Predicting flood susceptibility using LSTM neural networks. J. Hydrol. 2021, 594, 125734. [Google Scholar] [CrossRef]
- Granata, F.; Di Nunno, F. Neuro-forecasting of daily stream flows in the UK for short-and medium-term horizons: A novel insight. J. Hydrol. 2023, 624, 129888. [Google Scholar] [CrossRef]
- Zou, Y.; Wang, J.; Lei, P.; Li, Y.A. A novel multi-step ahead forecasting model for flood based on time residual LSTM. J. Hydrol. 2023, 620, 129521. [Google Scholar] [CrossRef]
- Mahdavi, S.; Salehi, B.; Amani, M.; Granger, J.; Brisco, B.; Huang, W. A dynamic classification scheme for mapping spectrally similar classes: Application to wetland classification. Int. J. Appl. Earth Obs. Geoinf. 2019, 83, 101914. [Google Scholar] [CrossRef]
- Nguyen, D.L.; Chou, T.Y.; Hoang, T.V.; Chen, M.H. Flood Susceptibility Mapping Using Machine Learning Algorithms: A Case Study in Huong Khe District, Ha Tinh Province, Vietnam. Int. J. Geoinform. 2023, 19, 1–17. [Google Scholar] [CrossRef]
- Han, J.; Pei, J.; Kamber, M. Data Mining: Concepts and Techniques; Elsevier: Waltham, MA, USA, 2011. [Google Scholar]
- Chen, W.; Li, Y.; Xue, W.; Shahabi, H.; Li, S.; Hong, H.; Wang, X.; Bian, H.; Zhang, S.; Pradhan, B.; et al. Modeling flood susceptibility using data-driven approaches of naïve Bayes tree, alternating decision tree, and random forest methods. Sci. Total Environ. 2020, 701, 134979. [Google Scholar] [CrossRef] [PubMed]
- Shirzadi, A.; Bui, D.T.; Pham, B.T.; Solaimani, K.; Chapi, K.; Kavian, A.; Shahabi, H.; Revhaug, I. Shallow landslide susceptibility assessment using a novel hybrid intelligence approach. Environ. Earth Sci. 2017, 76, 60. [Google Scholar] [CrossRef]
- Bentivoglio, R.; Isufi, E.; Jonkman, S.N.; Taormina, R. Deep learning methods for flood mapping: A review of existing applications and future research directions. Hydrol. Earth Syst. Sci. 2022, 26, 4345–4378. [Google Scholar] [CrossRef]
- Al-Ruzouq, R.; Shanableh, A.; Jena, R.; Gibril, M.B.A.; Hammouri, N.A.; Lamghari, F. Flood susceptibility mapping using a novel integration of multi-temporal sentinel-1 data and eXtreme deep learning model. Geosci. Front. 2024, 15, 101780. [Google Scholar] [CrossRef]
- Haile, A.T.; Bekele, T.W.; Rientjes, T. Interannual comparison of historical floods through flood detection using multi-temporal Sentinel-1 SAR images, Awash River Basin, Ethiopia. Int. J. Appl. Earth Obs. Geoinf. 2023, 124, 103505. [Google Scholar]
- Mekonnen, T.M.; Mitiku, A.B.; Woldemichael, A.T. Flood Hazard Zoning of Upper Awash River Basin, Ethiopia, Using the Analytical Heerarchy Process (AHP) as Compared to Sensetivity Analysis. Sci. World J. 2023, 15, 1675634. [Google Scholar]
- Hasanuzzaman, M.; Islam, A.; Bera, B.; Shit, P.K. A comparison of performance measures of three machine learning algorithms for flood susceptibility mapping of river Silabati (tropical river, India). Phys. Chem. Earth Parts A/B/C 2022, 127, 103198. [Google Scholar] [CrossRef]
- Schoppa, L.; Disse, M.; Bachmair, S. Evaluating the performance of random forest for large-scale flood discharge simulation. J. Hydrol. 2020, 590, 125531. [Google Scholar] [CrossRef]
- Mosavi, A.; Ozturk, P.; Chau, K. Flood prediction using machine learning models: Literature review. Water 2018, 10, 1536. [Google Scholar] [CrossRef]
- Bachmair, S.; Svensson, C.; Prosdocimi, I.; Hannaford, J.; Stahl, K. Developing drought impact functions for drought risk management. Nat. Hazards Earth Syst. Sci. 2017, 17, 1947–1960. [Google Scholar] [CrossRef]
- El-Magd, S.A.; Pradhan, B.; Alamri, A. Machine learning algorithm for flash flood prediction mapping in Wadi El-Laqeita and surroundings, Central Eastern Desert, Egypt. Arab. J. Geosci. 2021, 14, 323. [Google Scholar] [CrossRef]
- Le, X.H.; Ho, H.V.; Lee, G.; Jung, S. Application of Long Short-Term Memory (LSTM) Neural Network for Flood Forecasting. Water 2019, 11, 1387. [Google Scholar] [CrossRef]
- Liu, Y.; Yang, Y.; Chin, R.J.; Wang, C.; Wang, C. Long Short-Term Memory (LSTM) Based Model for Flood Forecasting in Xiangjiang River. KSCE J Civ Eng. 2023, 27, 5030–5040. [Google Scholar] [CrossRef]
- Chang, L.C.; Amin, M.Z.M.; Yang, S.N.; Chang, F.J. Building ANN-based regional multi-step-ahead flood inundation forecast models. Water 2018, 10, 1283. [Google Scholar] [CrossRef]
- Chu, H.; Wu, W.; Wang, Q.; Nathan, R.; Wei, J. An ANN-based emulation modelling framework for flood inundation modelling: Application, challenges and future directions. Environ. Model. Softw. 2020, 124, 104587. [Google Scholar] [CrossRef]
- Rahman, M.; Ningsheng, C.; Islam, M.M.; Dewan, A.; Iqbal, J.; Washakh, R.A.A.; Shufeng, T. Flood Susceptibility Assessment in Bangladesh Using Machine Learning and Multi-criteria Decision Analysis. Earth Syst. Environ. 2019, 3, 585–601. [Google Scholar] [CrossRef]
- Mojaddadi, H.; Pradhan, B.; Nampak, H.; Ahmed, N.; bin Ghazali, A.H. Ensemble machine-learning-based geospatial approach for flood risk assessment using multi-sensor remote-sensing data and GIS. Geomat. Nat. Hazards Risk 2017, 8, 1080–1102. [Google Scholar] [CrossRef]
- Liaw, A.; Wiener, M. Classification and regression by randomForest. R News 2002, 2, 18–22. [Google Scholar]
- Cortes, C.; Vapnik, V. Support-vector networks. Mach. Learn. 1995, 20, 273–297. [Google Scholar] [CrossRef]
- Draper, N.R.; Smith, H. Applied Regression Analysis; John Wiley & Sons: Hoboken, NJ, USA, 1998. [Google Scholar] [CrossRef]
- Hochreiter, S.; Schmidhuber, J. Long short-term memory. Neural Comput. 1997, 9, 1735–1780. [Google Scholar] [CrossRef] [PubMed]
- Rajab, A.; Farman, H.; Islam, N.; Syed, D.; Elmagzoub, M.A.; Shaikh, A.; Akram, M.; Alrizq, M. Flood Forecasting by Using Machine Learning: A Study Leveraging Historic Climatic Records of Bangladesh. Water 2013, 15, 3970. [Google Scholar] [CrossRef]
- Karim, F.; Armin, M.A.; Ahmedt-Aristizabal, D.; Tychsen-Smith, L.; Petersson, L. A Review of Hydrodynamic and Machine Learning Approaches for Flood Inundation Modeling. Water 2023, 15, 566. [Google Scholar] [CrossRef]







| S. No | Data Types | Source | Description |
|---|---|---|---|
| 1 | Streamflow | MoWE | Used to train the models |
| 2 | Rainfall | Satellite Rainfall (CHIRPS) (5 km) | Used to train the models |
| 3 | Sentinel 2 images | ESA | Used to train the models |
| 4 | Land use/land cover | ESA WorldCover (10 m) | Used to derive major LULC classes |
| 5 | DEM | SRTM (30 m) | Used to derive topographic parameters (slope, elevation, aspect, curvature, and TWI) |
| 6 | Soil | USDA | Used for deriving CN and soil texture |
| S. No | Flood Conditioning Factors | Source | Resampled Resolution (m) |
|---|---|---|---|
| 1 | DEM (elevation) | SRTM | 30 |
| 2 | Slope | Derived from DEM | 30 |
| 3 | Aspect | Derived from DEM | 30 |
| 4 | Curvature | Derived from DEM | 30 |
| 5 | Topographic Wetness Index (TWI) | Derived from DEM | 30 |
| 6 | Curve Number (CN) | From soil data | 30 |
| 7 | Soil | USDA (EnvirometriX Ltd.) | 30 |
| 8 | Rainfall | Climate Hazards Center (CHIRPS) | 30 |
| 9 | Land use/land cover (LULC) | Sentinel 2 | 30 |
| Model | Precision | Recall | F1-Score | Accuracy | AUC |
|---|---|---|---|---|---|
| SVM | 0.75 | 0.90 | 0.81 | 0.75 | 0.5 |
| LSTM | 0.79 | 0.87 | 0.83 | 0.76 | 0.81 |
| RF | 0.90 | 0.94 | 0.91 | 0.91 | 0.94 |
| Linear regression | 0.85 | 0.96 | 0.90 | 0.87 | 0.94 |
Disclaimer/Publisher’s Note: The statements, opinions and data contained in all publications are solely those of the individual author(s) and contributor(s) and not of MDPI and/or the editor(s). MDPI and/or the editor(s) disclaim responsibility for any injury to people or property resulting from any ideas, methods, instructions or products referred to in the content. |
© 2024 by the authors. Licensee MDPI, Basel, Switzerland. This article is an open access article distributed under the terms and conditions of the Creative Commons Attribution (CC BY) license (https://creativecommons.org/licenses/by/4.0/).
Share and Cite
Wedajo, G.K.; Lemma, T.D.; Fufa, T.; Gamba, P. Integrating Satellite Images and Machine Learning for Flood Prediction and Susceptibility Mapping for the Case of Amibara, Awash Basin, Ethiopia. Remote Sens. 2024, 16, 2163. https://doi.org/10.3390/rs16122163
Wedajo GK, Lemma TD, Fufa T, Gamba P. Integrating Satellite Images and Machine Learning for Flood Prediction and Susceptibility Mapping for the Case of Amibara, Awash Basin, Ethiopia. Remote Sensing. 2024; 16(12):2163. https://doi.org/10.3390/rs16122163
Chicago/Turabian StyleWedajo, Gizachew Kabite, Tsegaye Demisis Lemma, Tesfaye Fufa, and Paolo Gamba. 2024. "Integrating Satellite Images and Machine Learning for Flood Prediction and Susceptibility Mapping for the Case of Amibara, Awash Basin, Ethiopia" Remote Sensing 16, no. 12: 2163. https://doi.org/10.3390/rs16122163
APA StyleWedajo, G. K., Lemma, T. D., Fufa, T., & Gamba, P. (2024). Integrating Satellite Images and Machine Learning for Flood Prediction and Susceptibility Mapping for the Case of Amibara, Awash Basin, Ethiopia. Remote Sensing, 16(12), 2163. https://doi.org/10.3390/rs16122163

