Mapping Crop Leaf Area Index and Canopy Chlorophyll Content Using UAV Multispectral Imagery: Impacts of Illuminations and Distribution of Input Variables
Abstract
1. Introduction
2. Materials and Methods
2.1. Experiment Sites and Ground Measurements
2.2. UAV and Camera System
2.3. Orthoimage of Multispectral Reflectance
2.4. Estimation of LAI and Canopy Chlorophyll Content
- Gaussian LUT (LUT-G)
 
- Uniform LUT (LUT-U)
 
- Uniform dense LUT (LUT-UD)
 
3. Results
3.1. Impacts of the Distribution of Input Variables for LUT Generation
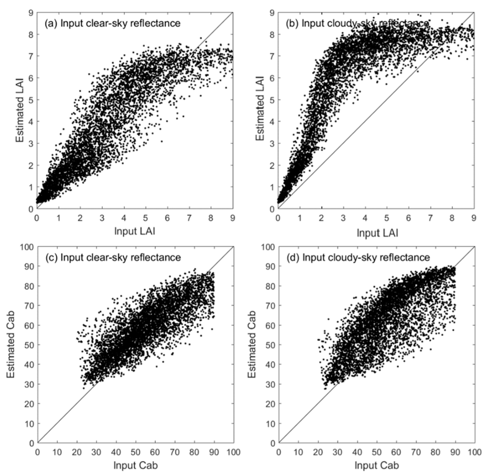
3.2. Impacts of Illumination Conditions
3.3. Comparison with Ground Canopy Nitrogen Content
3.4. Comparison with Ground Biomass
4. Discussion
5. Conclusions
Author Contributions
Funding
Data Availability Statement
Acknowledgments
Conflicts of Interest
References
- Mcbratney, A.; Whelan, B.; Ancev, T.; Mcbratney, A.; Bouma, J. Future Directions of Precision Agriculturew. Precis. Agric. 2005, 6, 7–23. [Google Scholar] [CrossRef]
 - Weiss, M.; Jacob, F.; Duveiller, G. Remote sensing for agricultural applications: A meta-review. Remote Sens. Environ. 2020, 236, 111402. [Google Scholar] [CrossRef]
 - Salamí, E.; Barrado, C.; Pastor, E. UAV Flight Experiments Applied to the Remote Sensing of Vegetated Areas. Remote Sens. 2014, 6, 11051–11081. [Google Scholar] [CrossRef]
 - Li, W.; Weiss, M.; Waldner, F.; Defourny, P.; Demarez, V.; Morin, D.; Hagolle, O.; Baret, F. A Generic Algorithm to Estimate LAI, FAPAR and FCOVER Variables from SPOT4_HRVIR and Landsat Sensors: Evaluation of the Consistency and Comparison with Ground Measurements. Remote Sens. 2015, 7, 15494–15516. [Google Scholar] [CrossRef]
 - Delloye, C.; Weiss, M.; Defourny, P. Retrieval of the canopy chlorophyll content from Sentinel-2 spectral bands to estimate nitrogen uptake in intensive winter wheat cropping systems. Remote Sens. Environ. 2018, 216, 245–261. [Google Scholar] [CrossRef]
 - Sun, L.; Gao, F.; Xie, D.; Anderson, M.; Chen, R.; Yang, Y.; Yang, Y.; Chen, Z. Reconstructing daily 30 m NDVI over complex agricultural landscapes using a crop reference curve approach. Remote Sens. Environ. 2021, 253, 112156. [Google Scholar] [CrossRef]
 - Li, W.; Baret, F.; Weiss, M.; Buis, S.; Lacaze, R.; Demarez, V.; Dejoux, J.-F.; Battude, M.; Camacho, F. Combining hectometric and decametric satellite observations to provide near real time decametric FAPAR product. Remote Sens. Environ. 2017, 200, 250–262. [Google Scholar] [CrossRef]
 - Gao, F.; Zhang, X. Mapping Crop Phenology in Near Real-Time Using Satellite Remote Sensing: Challenges and Opportunities. J. Remote Sens. 2021, 2021, 8379391. [Google Scholar] [CrossRef]
 - Xie, C.; Yang, C. A review on plant high-throughput phenotyping traits using UAV-based sensors. Comput. Electron. Agric. 2020, 178, 105731. [Google Scholar] [CrossRef]
 - Li, W.; Comar, A.; Weiss, M.; Jay, S.; Colombeau, G.; Lopez-Lozano, R.; Madec, S.; Baret, F. A Double Swath Configuration for Improving Throughput and Accuracy of Trait Estimate from UAV Images. Plant Phenomics 2021, 2021, 9892647. [Google Scholar] [CrossRef]
 - Guillen-Climent, M.L.; Zarco-Tejada, P.J.; Jimenez-Berni, J.A.; North, P.; Villalobos, F. Mapping radiation interception in row-structured orchards using 3D simulation and high-resolution airborne imagery acquired from a UAV. Precis. Agric. 2012, 13, 473–500. [Google Scholar] [CrossRef]
 - Verger, A.; Vigneau, N.; Chéron, C.; Gilliot, J.-M.; Comar, A.; Baret, F. Green area index from an unmanned aerial system over wheat and rapeseed crops. Remote Sens. Environ. 2014, 152, 654–664. [Google Scholar] [CrossRef]
 - Wan, L.; Zhang, J.; Dong, X.; Du, X.; Zhu, J.; Sun, D.; Liu, Y.; He, Y.; Cen, H. Unmanned aerial vehicle-based field phenotyping of crop biomass using growth traits retrieved from PROSAIL model. Comput. Electron. Agric. 2021, 187, 106304. [Google Scholar] [CrossRef]
 - Zarco-Tejada, P.J.; González-Dugo, V.; Berni, J.A.J. Fluorescence, temperature and narrow-band indices acquired from a UAV platform for water stress detection using a micro-hyperspectral imager and a thermal camera. Remote Sens. Environ. 2012, 117, 322–337. [Google Scholar] [CrossRef]
 - Chen, J.M.; Black, T.A. Defining leaf area index for non-flat leaves. Plant Cell Environ. 1992, 15, 421–429. [Google Scholar] [CrossRef]
 - Shadchina, T.M.; Dmitrieva, V.V. Leaf chlorophyll content as a possible diagnostic mean for the evaluation of plant nitrogen uptake from the soil. J. Plant Nutr. 1995, 18, 1427–1437. [Google Scholar] [CrossRef]
 - Gitelson, A.A.; Viña, A.; Ciganda, V.; Rundquist, D.C.; Arkebauer, T.J. Remote estimation of canopy chlorophyll content in crops. Geophys. Res. Lett. 2005, 32, L08403. [Google Scholar] [CrossRef]
 - Gitelson, A.A.; Peng, Y.; Huemmrich, K.F. Relationship between fraction of radiation absorbed by photosynthesizing maize and soybean canopies and NDVI from remotely sensed data taken at close range and from MODIS 250m resolution data. Remote Sens. Environ. 2014, 147, 108–120. [Google Scholar] [CrossRef]
 - Houlès, V.; Guérif, M.; Mary, B. Elaboration of a nitrogen nutrition indicator for winter wheat based on leaf area index and chlorophyll content for making nitrogen recommendations. Eur. J. Agron. 2007, 27, 1–11. [Google Scholar] [CrossRef]
 - Arroyo-Mora, J.P.; Kalacska, M.; Løke, T.; Schläpfer, D.; Coops, N.C.; Lucanus, O.; Leblanc, G. Assessing the impact of illumination on UAV pushbroom hyperspectral imagery collected under various cloud cover conditions. Remote Sens. Environ. 2021, 258, 112396. [Google Scholar] [CrossRef]
 - Hakala, T.; Honkavaara, E.; Saari, H.; Mäkynen, J.; Kaivosoja, J.; Pesonen, L.; Pölönen, I. Spectral Imaging from Uavs Under Varying Illumination Conditions. ISPRS Int. Arch. Photogramm. Remote Sens. Spat. Inf. Sci. 2013, XL-1/W2, 189–194. [Google Scholar] [CrossRef]
 - Wang, S.; Baum, A.; Zarco-Tejada, P.J.; Dam-Hansen, C.; Thorseth, A.; Bauer-Gottwein, P.; Bandini, F.; Garcia, M. Unmanned Aerial System multispectral mapping for low and variable solar irradiance conditions: Potential of tensor decomposition. ISPRS J. Photogramm. Remote Sens. 2019, 155, 58–71. [Google Scholar] [CrossRef]
 - Darvishzadeh, R.; Matkan, A.A.; Ahangar, A.D. Inversion of a Radiative Transfer Model for Estimation of Rice Canopy Chlorophyll Content Using a Lookup-Table Approach. IEEE J. Sel. Top. Appl. Earth Obs. Remote Sens. 2012, 5, 1222–1230. [Google Scholar] [CrossRef]
 - Verrelst, J.; Camps-Valls, G.; Muñoz-Marí, J.; Rivera, J.P.; Veroustraete, F.; Clevers, J.G.P.W.; Moreno, J. Optical remote sensing and the retrieval of terrestrial vegetation bio-geophysical properties—A review. ISPRS J. Photogramm. Remote Sens. 2015, 108, 273–290. [Google Scholar] [CrossRef]
 - Combal, B.; Baret, F.; Weiss, M.; Trubuil, A.; Macé, D.; Pragnère, A.; Myneni, R.; Knyazikhin, Y.; Wang, L. Retrieval of canopy biophysical variables from bidirectional reflectance: Using prior information to solve the ill-posed inverse problem. Remote Sens. Environ. 2002, 84, 1–15. [Google Scholar] [CrossRef]
 - Verger, A.; Baret, F.; Camacho, F. Optimal modalities for radiative transfer-neural network estimation of canopy biophysical characteristics: Evaluation over an agricultural area with CHRIS/PROBA observations. Remote Sens. Environ. 2011, 115, 415–426. [Google Scholar] [CrossRef]
 - Duan, S.-B.; Li, Z.-L.; Wu, H.; Tang, B.-H.; Ma, L.; Zhao, E.; Li, C. Inversion of the PROSAIL model to estimate leaf area index of maize, potato, and sunflower fields from unmanned aerial vehicle hyperspectral data. Int. J. Appl. Earth Obs. Geoinf. 2013, 26, 12–20. [Google Scholar] [CrossRef]
 - Minolta SPAD 502 MANUAL; Industrial Meter, Ramsey; Minolta Corp: Macquarie Park, Australia, 2009.
 - Cerovic, Z.G.; Masdoumier, G.; Ben Ghozlen, N.; Latouche, G. A new optical leaf-clip meter for simultaneous non-destructive assessment of leaf chlorophyll and epidermal flavonoids. Physiol. Plant. 2012, 146, 251–260. [Google Scholar] [CrossRef] [PubMed]
 - Schaepman-Strub, G.; Schaepman, M.E.; Painter, T.H.; Dangel, S.; Martonchik, J.V. Reflectance quantities in optical remote sensing-definitions and case studies. Remote Sens. Environ. 2006, 103, 27–42. [Google Scholar] [CrossRef]
 - Verhoef, W. Light scattering by leaf layers with application to canopy reflectance modeling: The SAIL model. Remote Sens. Environ. 1984, 16, 125–141. [Google Scholar] [CrossRef]
 - Jacquemoud, S.; Verhoef, W.; Baret, F.; Bacour, C.; Zarco-Tejada, P.J.; Asner, G.P.; François, C.; Ustin, S.L. PROSPECT + SAIL models: A review of use for vegetation characterization. Remote Sens. Environ. 2009, 113 (Suppl. S1), S56–S66. [Google Scholar] [CrossRef]
 - Jacquemoud, S.; Baret, F. PROSPECT: A model of leaf optical properties spectra. Remote Sens. Environ. 1990, 34, 75–91. [Google Scholar] [CrossRef]
 - Weidong, L.; Baret, F.; Xingfa, G.; Qingxi, T.; Lanfen, Z.; Bing, Z. Relating soil surface moisture to reflectance. Remote Sens. Environ. 2002, 81, 238–246. [Google Scholar] [CrossRef]
 - Weiss, M.; Baret, F.; Myneni, R.; Pragnère, A.; Knyazikhin, Y. Investigation of a model inversion technique to estimate canopy biophysical variables from spectral and directional reflectance data. Agron. 2000, 20, 3–22. [Google Scholar] [CrossRef]
 - Sinha, S.K.; Padalia, H.; Dasgupta, A.; Verrelst, J.; Rivera, J.P. Estimation of leaf area index using PROSAIL based LUT inversion, MLRA-GPR and empirical models: Case study of tropical deciduous forest plantation, North India. Int. J. Appl. Earth Obs. Geoinf. 2019, 86, 102027. [Google Scholar] [CrossRef] [PubMed]
 - Wang, L.; Chen, S.; Li, D.; Wang, C.; Jiang, H.; Zheng, Q.; Peng, Z. Estimation of Paddy Rice Nitrogen Content and Accumulation Both at Leaf and Plant Levels from UAV Hyperspectral Imagery. Remote Sens. 2021, 13, 2956. [Google Scholar] [CrossRef]
 - Clevers, J.G.P.W.; Kooistra, L. Using Hyperspectral Remote Sensing Data for Retrieving Canopy Chlorophyll and Nitrogen Content. IEEE J. Sel. Top. Appl. Earth Obs. Remote Sens. 2012, 5, 574–583. [Google Scholar] [CrossRef]
 







| Crop | Field Name | Center Coordinate (N, E, °)  | Flight Date | Weather | 
|---|---|---|---|---|
| Rapeseed | AURIAC | 43.52, 1.82 | 20/01/2016 | Cloudy | 
| BAZIEGE | 43.47, 1.63 | 13/01/2016 | Clear | |
| CARAMAN 1 | 43.54, 1.77 | 04/12/2015 | Cloudy | |
| 14/01/2016 | Cloudy | |||
| CARAMAN 2 | 43.55, 1.76 | 04/12/2015 | Cloudy | |
| 14/01/2016 | Cloudy | |||
| DELM 1 | 43.529, 1.66 | 02/12/2016 | Cloudy | |
| 13/01/2016 | Clear | |||
| DELM 2 | 43.528, 1.660 | 02/12/2015 | Cloudy | |
| 13/01/2016 | Clear | |||
| DELM 3 | 43.527, 1.661 | 02/12/2015 | Cloudy | |
| 13/01/2016 | Clear | |||
| GRANGETTES 1 | 43.478, 1.707 | 03/12/2015 | Clear | |
| 20/01/2016 | Cloudy | |||
| GRANGETTES 2 | 43.479, 1.708 | 03/12/2015 | Clear | |
| 20/01/2016 | Cloudy | |||
| Sunflower | FRANDAT-01 | 43.99, 0.66 | 06/07/2016 | Clear | 
| FRANDAT-13 | 43.97, 0.65 | 06/07/2016 | Clear | |
| FRANDAT-27 | 43.98, 0.72 | 06/07/2016 | Clear | |
| FRANDAT-29 | 43.98, 0.71 | 06/07/2016 | Clear | |
| Wheat | ST-JEAN-POUTGE-1 | 43.73, 0.38 | 05/02/2016 | Clear | 
| 30/03/2016 | Clear | |||
| VIC- FEZENSAC-1  | 43.73, 0.31 | 10/02/2016 | Cloudy | |
| 30/03/2016 | Clear | |||
| VIC- FEZENSAC-2  | 43.73, 0.29 | 10/02/2016 | Cloudy | |
| VIC- FEZENSAC-4  | 43.74, 0.30 | 10/02/2016 | Cloudy | |
| VIC- FEZENSAC-3  | 43.74, 0.28 | 10/02/2016 | Cloudy | |
| 30/03/2016 | Clear | 
| Variable | Minimum | Maximum | Mean | Standard Deviation | Distribution | 
|---|---|---|---|---|---|
| LAI | 0 | 10 | 2 | 2 | Gauss | 
| ALA (°) | 30 | 80 | 60 | 20 | Gauss | 
| HsD | 0.1 | 0.5 | 0.2 | 0.5 | Gauss | 
| N | 1.2 | 2.2 | 1.5 | 0.3 | Gauss | 
| Cab (µg∙cm−2) | 20 | 90 | 45 | 30 | Gauss | 
| Cdm (g∙cm−2)  | 0.003 | 0.011 | 0.005 | 0.005 | Gauss | 
| Cw | 0.6 | 0.75 | 0.75 | 0.08 | Gauss | 
| Cbp | 0 | 0.08 | 0 | 0.3 | Gauss | 
| Bs | 0.5 | 2 | - | - | Gauss | 
| skyl | 0 | 0 | - | - | - | 
| Rapeseed | Sunflower | Wheat | |
|---|---|---|---|
| Gaussian | 0.65 (0.39) | 0.42 (0.37) | 0.58 (0.83) | 
| Uniform | 0.65 (0.39) | 0.49 (0.31) | 0.55 (1.17) | 
| Uniform Dense | 0.69 (0.36) | 0.51 (0.30) | 0.62 (1.23) | 
Disclaimer/Publisher’s Note: The statements, opinions and data contained in all publications are solely those of the individual author(s) and contributor(s) and not of MDPI and/or the editor(s). MDPI and/or the editor(s) disclaim responsibility for any injury to people or property resulting from any ideas, methods, instructions or products referred to in the content.  | 
© 2023 by the authors. Licensee MDPI, Basel, Switzerland. This article is an open access article distributed under the terms and conditions of the Creative Commons Attribution (CC BY) license (https://creativecommons.org/licenses/by/4.0/).
Share and Cite
Li, W.; Weiss, M.; Garric, B.; Champolivier, L.; Jiang, J.; Wu, W.; Baret, F. Mapping Crop Leaf Area Index and Canopy Chlorophyll Content Using UAV Multispectral Imagery: Impacts of Illuminations and Distribution of Input Variables. Remote Sens. 2023, 15, 1539. https://doi.org/10.3390/rs15061539
Li W, Weiss M, Garric B, Champolivier L, Jiang J, Wu W, Baret F. Mapping Crop Leaf Area Index and Canopy Chlorophyll Content Using UAV Multispectral Imagery: Impacts of Illuminations and Distribution of Input Variables. Remote Sensing. 2023; 15(6):1539. https://doi.org/10.3390/rs15061539
Chicago/Turabian StyleLi, Wenjuan, Marie Weiss, Bernard Garric, Luc Champolivier, Jingyi Jiang, Wenbin Wu, and Frédéric Baret. 2023. "Mapping Crop Leaf Area Index and Canopy Chlorophyll Content Using UAV Multispectral Imagery: Impacts of Illuminations and Distribution of Input Variables" Remote Sensing 15, no. 6: 1539. https://doi.org/10.3390/rs15061539
APA StyleLi, W., Weiss, M., Garric, B., Champolivier, L., Jiang, J., Wu, W., & Baret, F. (2023). Mapping Crop Leaf Area Index and Canopy Chlorophyll Content Using UAV Multispectral Imagery: Impacts of Illuminations and Distribution of Input Variables. Remote Sensing, 15(6), 1539. https://doi.org/10.3390/rs15061539
        
