Study of the Profile Distribution of the Diffuse Attenuation Coefficient and Secchi Disk Depth in the Northwestern South China Sea
Abstract
1. Introduction
2. Methods and Data
2.1. Hydrolight
2.2. Cruise and Sampling
2.2.1. Absorption and Attenuation Measurements
2.2.2. Backscattering Measurements
2.2.3. Chla Data
2.2.4. Surface Boundary Conditions
2.3. Accuracy Evaluation Indicators
3. Results and Applications
3.1. Spectral Characteristics of
3.2. Spatial and Vertical Distribution Characteristics of
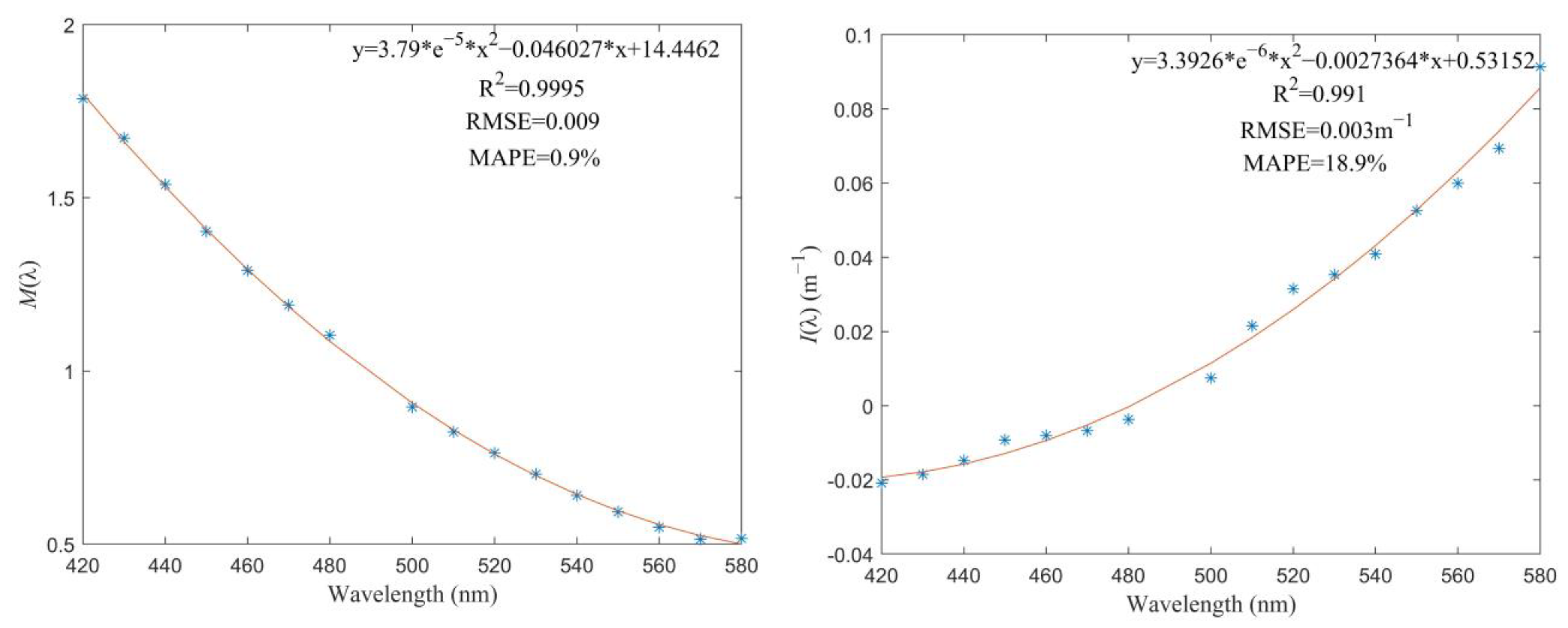
3.3. Spectral Model of the Diffuse Attenuation Coefficient
3.4. Algorithm for Estimation Based on the Diffuse Attenuation Coefficient
4. Discussion
4.1. Discussion about
4.2. Comparison of
4.3. Comparison of
5. Conclusions
Author Contributions
Funding
Data Availability Statement
Acknowledgments
Conflicts of Interest
Abbreviations
| Abbreviations | Definitions | Units |
| The downwelling irradiance | ||
| The diffuse attenuation coefficient for downwelling irradiance | ||
| Remote sensing reflectance | ||
| Photosynthetically available radiation | ||
| Absorption coefficient | ||
| Attenuation coefficient | ||
| Total minus water absorption coefficient | ||
| Total minus water attenuation coefficient | ||
| Particulate scattering coefficient | ||
| Particulate backscattering coefficient | ||
| Volume scattering function | ||
| Particulate volume scattering function | ||
| Water volume scattering function | ||
| Chlorophyll a concentration | ||
| The absorption of the baseline | ||
| The absorption line height | ||
| based on the absorption line height method | ||
| The Secchi disk depth | ||
| The depth of the euphotic zone | ||
References
- Gordon, H.R.; Smith, R.C.; Ronald, J.; Zaneveld, V. Introduction to Ocean Optics. In Proceedings of the Society of Photo-Optical Instrumentation Engineers (SPIE) Conference Series, Monterey, CA, USA, 1 March 1980; pp. 14–55. [Google Scholar]
- Lee, Z.P.; Du, K.P.; Arnone, R. A model for the diffuse attenuation coefficient of downwelling irradiance. J. Geophys. Res.-Oceans 2005, 110, 10. [Google Scholar] [CrossRef]
- Huang, C.C.; Yao, L.; Huang, T.; Zhang, M.L.; Zhu, A.X.; Yang, H. Wind and rainfall regulation of the diffuse attenuation coefficient in large, shallow lakes from long-term MODIS observations using a semianalytical model. J. Geophys. Res. Atmos. 2017, 122, 6748–6763. [Google Scholar] [CrossRef]
- Lee, Z.P.; Shang, S.L.; Du, K.P.; Wei, J.W. Resolving the long-standing puzzles about the observed Secchi depth relationships. Limnol. Oceanogr. 2018, 63, 2321–2336. [Google Scholar] [CrossRef]
- Enaganti, P.K.; Dwivedi, P.K.; Srivastava, A.K.; Goel, S. Study of solar irradiance and performance analysis of submerged monocrystalline and polycrystalline solar cells. Prog. Photovolt. 2020, 28, 725–735. [Google Scholar] [CrossRef]
- Lewis, M.R.; Carr, M.-E.; Feldman, G.C.; Esaias, W.; McClain, C. Influence of penetrating solar radiation on the heat budget of the equatorial Pacific Ocean. Nature 1990, 347, 543–545. [Google Scholar] [CrossRef]
- Castillo-Ramirez, A.; Santamaria-del-Angel, E.; Gonzalez-Silvera, A.; Frouin, R.; Sebastia-Frasquet, M.T.; Tan, J.; Lopez-Calderon, J.; Sanchez-Velasco, L.; Enriquez-Paredes, L. A New Algorithm to Estimate Diffuse Attenuation Coefficient from Secchi Disk Depth. J. Mar. Sci. Eng. 2020, 8, 558. [Google Scholar] [CrossRef]
- Lee, Z.P.; Darecki, M.; Carder, K.L.; Davis, C.O.; Stramski, D.; Rhea, W.J. Diffuse attenuation coefficient of downwelling irradiance: An evaluation of remote sensing methods. J. Geophys. Res.-Oceans 2005, 110, 9. [Google Scholar] [CrossRef]
- Chen, B.Z.; Wang, L.; Song, S.Q.; Huang, B.Q.; Sun, J.; Liu, H.B. Comparisons of picophytoplankton abundance, size, and fluorescence between summer and winter in northern South China Sea. Cont. Shelf Res. 2011, 31, 1527–1540. [Google Scholar] [CrossRef]
- Zheng, W.; Zhou, W.; Cao, W.; Liu, Y.; Wang, G.; Deng, L.; Li, C.; Zhang, Y.; Zeng, K. Vertical Variability of Total and Size-Partitioned Phytoplankton Carbon in the South China Sea. Remote Sens. 2021, 13, 993. [Google Scholar] [CrossRef]
- Xue, H.J.; Chai, F.; Pettigrew, N.; Xu, D.Y.; Shi, M.; Xu, J.P. Kuroshio intrusion and the circulation in the South China Sea. J. Geophys. Res.-Oceans 2004, 109, 14. [Google Scholar] [CrossRef]
- Wang, M.; And, S.H.S.; Harding, L.W. Retrieval of diffuse attenuation coefficient in the Chesapeake Bay and turbid ocean regions for satellite ocean color applications. J. Geophys. Res. Oceans 2009, 114, C10011. [Google Scholar] [CrossRef]
- Siegel, D.A.; Dickey, T.D. Observations of the Vertical Structure of the Diffuse Attenuation Coefficient Spectrum. Deep-Sea Res. Part A-Oceanogr. Res. Pap. 1987, 34, 547–563. [Google Scholar] [CrossRef]
- Cao, W.X.; Wu, T.F.; Yang, Y.Z.; Ke, T.; Li, C.; Guo, C. Monte Carlo simulations of the optical buoy’s shading effects. High Technol. Lett 2003, 13, 80–84. [Google Scholar]
- Maciel, D.A.; Barbosa, C.C.F.; de Moraes Novo, E.M.L.; Cherukuru, N.; Martins, V.S.; Júnior, R.F.; Jorge, D.S.; de Carvalho, L.A.S.; Carlos, F.M. Mapping of diffuse attenuation coefficient in optically complex waters of amazon floodplain lakes. ISPRS-J. Photogramm. Remote Sens. 2020, 170, 72–87. [Google Scholar] [CrossRef]
- Qing, S.; Cui, T.W.; Tang, J.W.; Song, Q.J.; Liu, R.J.; Bao, Y.H. An optical water classification and quality control model (OC_QC model) for spectral diffuse attenuation coefficient. ISPRS-J. Photogramm. Remote Sens. 2022, 189, 255–271. [Google Scholar] [CrossRef]
- Austin, R.W.; Petzold, T.J. The Determination of the Diffuse Attenuation Coefficient of Sea Water Using the Coastal Zone Color Scanner. In Oceanography from Space; Springer: Boston, MA, USA, 1981. [Google Scholar]
- Mueller, J.L. SeaWiFS algorithm for the diffuse attenuation coefficient, K (490), using water-leaving radiances at 490 and 555 nm. SeaWiFS Postlaunch Calibration Valid. Anal. 2000, 3, 24–27. [Google Scholar]
- Tiwari, S.P.; Shanmugam, P. A Robust Algorithm to Determine Diffuse Attenuation Coefficient of Downwelling Irradiance From Satellite Data in Coastal Oceanic Waters. IEEE J. Sel. Top. Appl. Earth Observ. Remote Sens. 2014, 7, 1616–1622. [Google Scholar] [CrossRef]
- Zhang, T.; Fell, F. An empirical algorithm for determining the diffuse attenuation coefficient Kd in clear and turbid waters from spectral remote sensing reflectance. Limnol. Oceanogr. Methods 2007, 5, 457–462. [Google Scholar] [CrossRef]
- Zhang, Y.; Wang, G.; Xu, Z.; Yang, Y.; Zhou, W.; Zheng, W.; Zeng, K.; Deng, L. Retrieval of diffuse attenuation coefficient in high frequency red tide area of the East China Sea based on buoy observation. J. Trop. Oceanogr. 2020, 39, 71–83. [Google Scholar]
- Preisendorfer, R.W. Hydrologic Optics; US Department of Commerce, National Oceanic and Atmospheric Administration: Washington, DC, USA, 1976.
- Kirk, J.T.O. Monte-Carlo Study of the Nature of the Underwater Light-Field in, and the Relationships between Optical-Properties of, Turbid Yellow Waters. Aust. J. Mar. Freshw. Res. 1981, 32, 517–532. [Google Scholar] [CrossRef]
- Gordon, H.R. Can the Lambert-Beer law be applied to the diffuse coefficient of ocean water? Limnol. Oceanogr. 1989, 34, 1389. [Google Scholar] [CrossRef]
- Kirk, J.T.O. Estimation of the Absorption and the Scattering Coefficients of Natural-Waters by Use of Underwater Irradiance Measurements. Appl. Opt. 1994, 33, 3276–3278. [Google Scholar] [CrossRef] [PubMed]
- Mobley, C.D. Light and Water: Radiative Transfer in Natural Waters; Academic Press: Cambridge, MA, USA, 1994. [Google Scholar]
- He, S.Y.; Zhang, X.D.; Xiong, Y.H.; Gray, D. A Bidirectional Subsurface Remote Sensing Reflectance Model Explicitly Accounting for Particle Backscattering Shapes. J. Geophys. Res.-Oceans 2017, 122, 8614–8626. [Google Scholar] [CrossRef]
- Mobley, C.D.; Sundman, L.K.; Boss, E. Phase function effects on oceanic light fields. Appl. Opt. 2002, 41, 1035–1050. [Google Scholar] [CrossRef]
- Huang, J.; Duan, H.; Ma, R.; Zhang, Y. Study on regional parameters of radiative transfer simulation based on Hydrolight in Taihu Lake. J. Univ. Chin. Acad. Sci. 2014, 31, 613–625. [Google Scholar]
- Liu, Q.; Liu, B.Y.; Wu, S.H.; Liu, J.T.; Zhang, K.L.; Song, X.Q.; Chen, X.C.; Zhu, P.Z. Design of the Ship-Borne Multi-Wavelength Polarization Ocean Lidar System and Measurement of Seawater Optical Properties. In Proceedings of the 29th International Laser Radar Conference (ILRC), Hefei, China, 24–28 June 2019. [Google Scholar]
- Wang, G.F.; Cao, W.X.; Yang, D.T.; Xu, D.Z. Variation in downwelling diffuse attenuation coefficient in the northern South China Sea. Chin. J. Oceanol. Limnol. 2008, 26, 323–333. [Google Scholar] [CrossRef]
- Zhao, W.; Cao, W.; Hu, S.; Wang, G. Comparison of diffuse attenuation coefficient of downwelling irradiance products derived from MODIS-Aqua in the South China Sea. Opt. Precis. Eng. 2018, 26, 14–24. [Google Scholar] [CrossRef]
- Saulquin, B.; Hamdi, A.; Gohin, F.; Populus, J.; Mangin, A.; d’Andon, O.F. Estimation of the diffuse attenuation coefficient KdPAR using MERIS and application to seabed habitat mapping. Remote Sens. Environ. 2013, 128, 224–233. [Google Scholar] [CrossRef]
- Zaneveld, J.R.V.; Bartz, R.; Kitchen, J.C. Reflective-tube absorption meter. In Proceedings of the Ocean Optics X, Orlando, FL, USA, 16–18 April 1990; pp. 124–136. [Google Scholar]
- Maffione, R.A.; Dana, D.R. Instruments and methods for measuring the backward-scattering coefficient of ocean waters. Appl. Opt. 1997, 36, 6057–6067. [Google Scholar] [CrossRef]
- Pope, R.M.; Fry, E.S. Absorption spectrum (380–700 nm) of pure water. 2. Integrating cavity measurements. Appl. Opt. 1997, 36, 8710–8723. [Google Scholar] [CrossRef]
- Sullivan, J.M.; Twardowski, M.S.; Zaneveld, J.R.V.; Moore, C.M.; Barnard, A.H.; Donaghay, P.L.; Rhoades, B. Hyperspectral temperature and salt dependencies of absorption by water and heavy water in the 400–750 nm spectral range. Appl. Opt. 2006, 45, 5294–5309. [Google Scholar] [CrossRef]
- Zaneveld, J.R.; Kitchen, J.; Moore, C. Scattering Error Correction of Reflection-Tube Absorption Meters. In Proceedings of the SPIE, Rome, Italy, 26–30 September 1994; Volume 2258. [Google Scholar]
- Savitzky, A.; Golay, M.J. Smoothing and differentiation of data by simplified least squares procedures. Anal. Chem. 1964, 36, 1627–1639. [Google Scholar] [CrossRef]
- Zhang, X.D.; Hu, L.B.; He, M.X. Scattering by pure seawater: Effect of salinity. Opt. Express 2009, 17, 5698–5710. [Google Scholar] [CrossRef]
- Boss, E.; Picheral, M.; Leeuw, T.; Chase, A.; Karsenti, E.; Gorsky, G.; Taylor, L.; Slade, W.; Ras, J.; Claustre, H. The characteristics of particulate absorption, scattering and attenuation coefficients in the surface ocean; Contribution of the Tara Oceans expedition. Methods Oceanogr. 2013, 7, 52–62. [Google Scholar] [CrossRef]
- Roesler, C.S.; Barnard, A.H. Optical proxy for phytoplankton biomass in the absence of photophysiology: Rethinking the absorption line height. Methods Oceanogr. 2013, 7, 79–94. [Google Scholar] [CrossRef]
- Deng, L.; Zhou, W.; Cao, W.; Zheng, W.; Wang, G.; Xu, Z.; Li, C.; Yang, Y.; Hu, S.; Zhao, W. Retrieving phytoplankton size class from the absorption coefficient and chlorophyll a concentration based on support vector machine. Remote Sens. 2019, 11, 1054. [Google Scholar] [CrossRef]
- Jerlov, N.G. Marine Optics; Elsevier: Amsterdam, The Netherlands, 1976. [Google Scholar]
- Austin, R.W. Spectral Dependence Of The Diffuse Attenuation Coefficient Of Light In Ocean Waters. Opt. Eng. 1986, 25, 253471. [Google Scholar] [CrossRef]
- Choubey, V.K. Laboratory experiment, field and remotely sensed data analysis for the assessment of suspended solids concentration and secchi depth of the reservoir surface water. Int. J. Remote Sens. 1998, 19, 3349–3360. [Google Scholar] [CrossRef]
- McQueen, D.J.; Johannes, M.R.S.; Lafontaine, N.R.; Young, A.S.; Longbotham, E.; Lean, D.R.S. Effects of Planktivore Abundance on Chlorophyll-A and Secchi Depth. Hydrobiologia 1990, 200, 337–341. [Google Scholar] [CrossRef]
- Civera, J.I.; Breijo, E.G.; Miro, N.L.; Sanchez, L.G.; Baixauli, J.G.; Gil, I.R.; Peris, R.M.; Fillol, M.A. Artificial neural network onto eight bit microcontroller for Secchi depth calculation. Sens. Actuator B-Chem. 2011, 156, 132–139. [Google Scholar] [CrossRef]
- Preisendorfer, R.W. Secchi Disk Science—Visual Optics of Natural-Waters. Limnol. Oceanogr. 1986, 31, 909–926. [Google Scholar] [CrossRef]
- Lee, Z.P.; Shang, S.L.; Hu, C.M.; Du, K.P.; Weidemann, A.; Hou, W.L.; Lin, J.F.; Lin, G. Secchi disk depth: A new theory and mechanistic model for underwater visibility. Remote Sens. Environ. 2015, 169, 139–149. [Google Scholar] [CrossRef]
- Platt, T. Primary production of the ocean water column as a function of surface light intensity: Algorithms for remote sensing. Deep Sea Res. Part A. Oceanogr. Res. Pap. 1986, 33, 149–163. [Google Scholar] [CrossRef]
- Austin, R.W.; Petzold, T.J. Spectral dependence of the diffuse attenuation coefficient of light in ocean waters: A reexamination using new data. In Proceedings of the Ocean Optics X, Orlando, FL, USA, 16–18 April 1990; pp. 79–93. [Google Scholar]
- Wang, Y.; Jing, Z.; Qi, Y. Coastal upwelling off eastern Hainan Island observed in the summer of 2013. J. Trop. Oceanogr. 2016, 35, 40–49. [Google Scholar]
- Chen, H.; Zhan, W.; Wen, M.; Li, L. Characteristics of shelf break and sedimentaion process at the Qiongdongnan basin, Northwestern South China Sea. Mar. Geol. Front. 2015, 31, 1–9. [Google Scholar]
- Wu, R.S.; Li, L. Summarization of study on upwelling system in the South China Sea. J. Oceanogr. Taiwan Strait 2003, 22, 269–276. [Google Scholar]
- Huang, B.Q.; Han, Z.M.; Cheng, X.R.; Wang, P.X. Foraminiferal responses to upwelling variations in the South China Sea over the last 220,000 years. Mar. Micropaleontol. 2003, 47, 1–15. [Google Scholar] [CrossRef]
- Koenings, J.; Edmundson, J. Secchi disk and photometer estimates of light regimes in Alaskan lakes: Effects of yellow color and turbidity. Limnol. Oceanogr. 1991, 36, 91–105. [Google Scholar] [CrossRef]
- Luhtala, H.; Tolvanen, H. Optimizing the use of Secchi depth as a proxy for euphotic depth in coastal waters: An empirical study from the Baltic Sea. ISPRS Int. J. Geo-Inf. 2013, 2, 1153–1168. [Google Scholar] [CrossRef]














Disclaimer/Publisher’s Note: The statements, opinions and data contained in all publications are solely those of the individual author(s) and contributor(s) and not of MDPI and/or the editor(s). MDPI and/or the editor(s) disclaim responsibility for any injury to people or property resulting from any ideas, methods, instructions or products referred to in the content. |
© 2023 by the authors. Licensee MDPI, Basel, Switzerland. This article is an open access article distributed under the terms and conditions of the Creative Commons Attribution (CC BY) license (https://creativecommons.org/licenses/by/4.0/).
Share and Cite
Zhang, X.; Li, C.; Zhou, W.; Zheng, Y.; Cao, W.; Liu, C.; Xu, Z.; Yang, Y.; Yang, Z.; Chen, F. Study of the Profile Distribution of the Diffuse Attenuation Coefficient and Secchi Disk Depth in the Northwestern South China Sea. Remote Sens. 2023, 15, 1533. https://doi.org/10.3390/rs15061533
Zhang X, Li C, Zhou W, Zheng Y, Cao W, Liu C, Xu Z, Yang Y, Yang Z, Chen F. Study of the Profile Distribution of the Diffuse Attenuation Coefficient and Secchi Disk Depth in the Northwestern South China Sea. Remote Sensing. 2023; 15(6):1533. https://doi.org/10.3390/rs15061533
Chicago/Turabian StyleZhang, Xianqing, Cai Li, Wen Zhou, Yuanning Zheng, Wenxi Cao, Cong Liu, Zhantang Xu, Yuezhong Yang, Zeming Yang, and Fei Chen. 2023. "Study of the Profile Distribution of the Diffuse Attenuation Coefficient and Secchi Disk Depth in the Northwestern South China Sea" Remote Sensing 15, no. 6: 1533. https://doi.org/10.3390/rs15061533
APA StyleZhang, X., Li, C., Zhou, W., Zheng, Y., Cao, W., Liu, C., Xu, Z., Yang, Y., Yang, Z., & Chen, F. (2023). Study of the Profile Distribution of the Diffuse Attenuation Coefficient and Secchi Disk Depth in the Northwestern South China Sea. Remote Sensing, 15(6), 1533. https://doi.org/10.3390/rs15061533
