Study on Ship Kelvin Wake Detection in Numerically Simulated SAR Images
Abstract
1. Introduction
2. Kelvin Wake Modeling
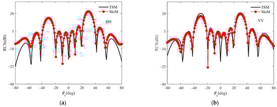
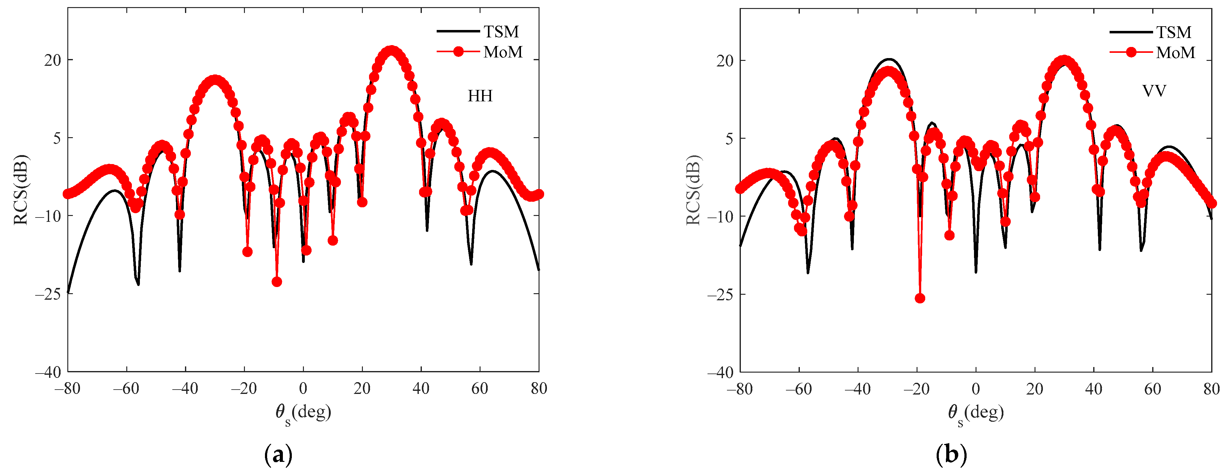
3. Scattering from a Dielectric Two-Scale Profile
4. Range–Doppler Algorithm
5. Inverse Problems of Kelvin Wake Detection in Numerically Simulated SAR Images
6. Results and Discussion
6.1. Influence of Various SAR System Parameters on Kelvin Wake Detection in Numerically Simulated SAR Images
6.1.1. Influence of Various Polarization on Kelvin Wake Detection in Numerically Simulated SAR Images
6.1.2. Influence of Different Pitch Angles on Kelvin Wake Detection in Numerically Simulated SAR Images
6.1.3. Influence of Various Wavebands on Kelvin Wake Detection in Numerically Simulated SAR Images
6.2. Influence of Various Ship Parameters on Kelvin Wake Detection in Numerically Simulated SAR Images
6.2.1. Influence of Various Ship Speeds on Kelvin Wake Detection in Numerically Simulated SAR Images
6.2.2. Influence of Various Ship Azimuth Angles on Kelvin Wake Detection in Numerically Simulated SAR Images
6.3. Influence of Noise on the Kelvin Wake in Simulated SAR Images
7. Conclusions
Author Contributions
Funding
Data Availability Statement
Conflicts of Interest
References
- Gong, M.; Cao, Y.; Wu, Q. A Neighborhood-Based Ratio Approach for Change Detection in SAR Images. IEEE Geosci. Remote Sens. Lett. 2012, 9, 307–311. [Google Scholar] [CrossRef]
- Hakim, W.L.; Achmad, A.R.; Eom, J.; Lee, C.-W. Land Subsidence Measurement of Jakarta Coastal Area Using Time Series Interferometry with Sentinel-1 SAR Data. J. Coast. Res. 2020, 102, 75–81. [Google Scholar] [CrossRef]
- Kang, M.S.; Kim, K.T. Automatic SAR Image Registration via Tsallis Entropy and Iterative Search Process. IEEE Sens. J. 2020, 20, 7711–7720. [Google Scholar] [CrossRef]
- Lyden, J.; Hammond, R.; Lyzenga, D.; Shuchman, R. Synthetic Aperture Radar Imaging of Surface Ship Wakes. J. Geophys. Res. 1988, 93, 12293–12303. [Google Scholar] [CrossRef]
- Wright, J. A new model for sea clutter. IEEE Trans. Antennas Propag. 1968, 16, 217–223. [Google Scholar] [CrossRef]
- Wright, J. Backscattering from capillary waves with application to sea clutter. IEEE Trans. Antennas Propag. 1966, 14, 749–754. [Google Scholar] [CrossRef]
- Del Prete, R.; Graziano, M.D.; Renga, A. First Results on Wake Detection in SAR Images by Deep Learning. Remote Sens. 2021, 12, 4573. [Google Scholar] [CrossRef]
- Ding, K.; Yang, J.; Wang, Z.; Ni, K.; Wang, X.; Zhou, Q. Specific Windows Search for Multi-Ship and Multi-Scale Wake Detection in SAR Images. Remote Sens. 2022, 14, 25. [Google Scholar] [CrossRef]
- Rey, M.T.; Tunaley, J.K.; Folinsbee, J.T.; Jahans, P.A.; Dixon, J.A.; Vant, M.R. Application of Radon Transform Techniques to Wake Detection in Seasat-A SAR Images. IEEE Trans. Geosci. Remote Sens. 1990, 28, 553–560. [Google Scholar] [CrossRef]
- Biondi, F. Low-Rank Plus Sparse Decomposition and Localized Radon Transform for Ship-Wake Detection in Synthetic Aperture Radar Images. IEEE Geosci. Remote Sens. Lett. 2018, 15, 117–121. [Google Scholar] [CrossRef]
- Biondi, F. A Polarimetric Extension of Low-Rank Plus Sparse Decomposition and Radon Transform for Ship Wake Detection in Synthetic Aperture Radar Images. IEEE Geosci. Remote Sens. Lett. 2019, 16, 75–79. [Google Scholar] [CrossRef]
- Graziano, M.D. SAR-based ship route estimation by wake components detection and classification. In Proceedings of the 2015 IEEE International Geoscience and Remote Sensing Symposium (IGARSS), Milan, Italy, 26–31 July 2015. [Google Scholar]
- Ai, J.; Qi, X.; Yu, W.; Deng, Y.; Liu, F.; Shi, L.; Jia, Y. A Novel Ship Wake CFAR Detection Algorithm Based on SCR Enhancement and Normalized Hough Transform. IEEE Geosci. Remote Sens. Lett. 2011, 8, 681–685. [Google Scholar] [CrossRef]
- Xu, Z.; Tang, B.; Cheng, S. Faint Ship Wake Detection in PolSAR Images. IEEE Geosci. Remote Sens. Lett. 2018, 15, 1055–1059. [Google Scholar] [CrossRef]
- Hennings, I.; Romeiser, R.; Alpers, W.; Viola, A. Radar imaging of Kelvin arms of ship wakes. Int. J. Remote Sens. 1999, 20, 2519–2543. [Google Scholar] [CrossRef]
- Tunaley, J.K.E.; Buller, E.H.; Wu, K.H.; Rey, M.T. The simulation of the SAR image of a ship wake. IEEE Trans. Geosci. Remote Sens. 1991, 29, 149–156. [Google Scholar] [CrossRef]
- Oumansour, K.; Wang, Y.; Saillard, J. Multifrequency SAR observation of a ship wake. IEE Proc. Radar Sonar Navig. 1996, 143, 275–280. [Google Scholar] [CrossRef]
- Zilman, G.; Zapolski, A.; Marom, M. On Detectability of a Ship’s Kelvin Wake in Simulated SAR Images of Rough Sea Surface. IEEE Trans. Geosci. Remote Sens. 2015, 53, 609–619. [Google Scholar] [CrossRef]
- Karakus, O.; Rizaev, I.; Achim, A. Ship Wake Detection in SAR Images via Sparse Regularization. IEEE Trans. Geosci. Remote Sens. 2020, 58, 1665–1677. [Google Scholar] [CrossRef]
- Karakuş, O.; Achim, A. On Solving SAR Imaging Inverse Problems Using Non-Convex Regularisation with a Cauchy-based Penalty. IEEE Trans. Geosci. Remote Sens. 2021, 59, 5828–5840. [Google Scholar] [CrossRef]
- Wehausen, J.V.; Laitone, E.V. Surface Waves. In Fluid Dynamics/Strömungsmechanik; Truesdell, C., Ed.; Springer: Berlin/Heidelberg, Germany, 1960; pp. 446–778. [Google Scholar]
- Kostyukov, A.A. Theory of Ship Waves and Wave Resistance; Effective Communications Inc.: Iowa City, IA, USA, 1968. [Google Scholar]
- Elfouhaily, T.; Chapron, B.; Katsaros, K.; Vandemark, D. A unified directional spectrum for long and short wind-driven waves. J. Geophys. Res. 1997, 102, 15781–15796. [Google Scholar] [CrossRef]
- Wei, Y.; Guo, L.; Li, J. Numerical Simulation and Analysis of the Spiky Sea Clutter from the Sea Surface with Breaking Waves. IEEE Trans. Antennas Propag. 2015, 63, 4983–4994. [Google Scholar] [CrossRef]
- Zhang, M.; Chen, H.; Yin, H.C. Facet-Based Investigation on EM Scattering from Electrically Large Sea Surface with Two-Scale Profiles: Theoretical Model. IEEE Trans. Geosci. Remote Sens. 2011, 49, 1967–1975. [Google Scholar] [CrossRef]
- Elfouhaily, T.M.; Guérin, C.-A. A critical survey of approximate scattering wave theories from random rough surfaces. Waves Random Media 2004, 14, R1–R40. [Google Scholar] [CrossRef]
- Debye, P. Polar Molecules; Chemical Catalog Co.: New York, NY, USA, 1929. [Google Scholar]
- Yulong, S.; Zhaoda, Z. Squint mode airborne SAR processing using RD algorithm. In Proceedings of the IEEE 1997 National Aerospace and Electronics Conference, NAECON 1997, Dayton, OH, USA, 14–17 July 1997; Volume 2, pp. 1025–1029. [Google Scholar] [CrossRef]
- Airbus Defence and Space, The TerraSAR-X Sample Products. Available online: https://www.intelligence-airbusds.com/en/ (accessed on 28 November 2019).
- Schneider, M.; Shih-Fu, C. A robust content based digital signature for image authentication. In Proceedings of the 3rd IEEE International Conference on Image Processing, Lausanne, Switzerland, 19 September 1996; Volume 223, pp. 227–230. [Google Scholar]
- Kak, A.C.; Slaney, M. Principles of Computerized Tomographic Imaging; Society for Industrial and Applied Mathematics: Philadelphia, PA, USA, 1988. [Google Scholar]
- Wan, T.; Canagarajah, N.; Achim, A. Segmentation of noisy colour images using Cauchy distribution in the complex wavelet domain. Image Process. IET 2011, 5, 159–170. [Google Scholar] [CrossRef]
- Kelley, B.T.; Madisetti, V.K. The fast discrete Radon transform. I. Theory. IEEE Trans. Image Process. 1993, 2, 382–400. [Google Scholar] [CrossRef]
- Peake, W.H.; Oliver, T.L. The Response of Terrestrial Surfaces at Microwave Frequencies; Ohio State University: Columbus, OH, USA, 1971. [Google Scholar]
- Shu, N. Principles of Microwave Remote Sensing; Wuhan University Press: Wuhan, China, 2003. [Google Scholar]
- Long, M.W. Radar Reflectivity of Land and Sea; Artech House: Norwood, MA, USA, 1983. [Google Scholar]
- Gagnon, L.; Jouan, A. Speckle Filtering of SAR Images-A Comparative Study Between Complex-Wavelet-Based and Standard Filters. Proc. SPIE 1997, 3169, 80–91. [Google Scholar] [CrossRef]





















| Figure | (m/s) | Ship Azimuth Angle | Viscosity Coefficient |
|---|---|---|---|
| Figure 3a | 6 | 0 | |
| Figure 3b | 6 | 0.6 | |
| Figure 3c | 10 | 0 | |
| Figure 3d | 10 | 0.6 | |
| Figure 3e | 10 | 0 | |
| Figure 3f | 10 | 0 |
| Pitch Angle | Waveband | Kelvin1 | Kelvin2 |
|---|---|---|---|
| L | × | × | |
| C | √ | √ | |
| X | √ | √ | |
| L | √ | √ | |
| C | √ | √ | |
| X | √ | √ | |
| L | √ | √ | |
| C | √ | √ | |
| X | √ | √ |
| Wind Speed (m/s) | Ship Azimuth Angle | (m/s) | Kelvin1 | Kelvin2 |
|---|---|---|---|---|
| 3 | 3 | × | × | |
| 5 | × | × | ||
| 6 | √ | √ | ||
| 10 | √ | √ | ||
| 3 | × | × | ||
| 5 | × | × | ||
| 6 | √ | √ | ||
| 10 | √ | √ | ||
| 6 | 3 | × | × | |
| 6 | × | × | ||
| 7 | × | √ | ||
| 10 | √ | √ | ||
| 3 | × | × | ||
| 6 | × | × | ||
| 7 | × | √ | ||
| 10 | √ | √ | ||
| 10 | 3 | × | × | |
| 6 | × | × | ||
| 10 | × | × | ||
| 11 | × | √ | ||
| 12 | √ | √ | ||
| 3 | × | × | ||
| 6 | × | × | ||
| 10 | × | × | ||
| 11 | × | √ | ||
| 12 | √ | √ |
Disclaimer/Publisher’s Note: The statements, opinions and data contained in all publications are solely those of the individual author(s) and contributor(s) and not of MDPI and/or the editor(s). MDPI and/or the editor(s) disclaim responsibility for any injury to people or property resulting from any ideas, methods, instructions or products referred to in the content. |
© 2023 by the authors. Licensee MDPI, Basel, Switzerland. This article is an open access article distributed under the terms and conditions of the Creative Commons Attribution (CC BY) license (https://creativecommons.org/licenses/by/4.0/).
Share and Cite
Wang, J.; Guo, L.; Wei, Y.; Chai, S. Study on Ship Kelvin Wake Detection in Numerically Simulated SAR Images. Remote Sens. 2023, 15, 1089. https://doi.org/10.3390/rs15041089
Wang J, Guo L, Wei Y, Chai S. Study on Ship Kelvin Wake Detection in Numerically Simulated SAR Images. Remote Sensing. 2023; 15(4):1089. https://doi.org/10.3390/rs15041089
Chicago/Turabian StyleWang, Jingjing, Lixin Guo, Yiwen Wei, and Shuirong Chai. 2023. "Study on Ship Kelvin Wake Detection in Numerically Simulated SAR Images" Remote Sensing 15, no. 4: 1089. https://doi.org/10.3390/rs15041089
APA StyleWang, J., Guo, L., Wei, Y., & Chai, S. (2023). Study on Ship Kelvin Wake Detection in Numerically Simulated SAR Images. Remote Sensing, 15(4), 1089. https://doi.org/10.3390/rs15041089
